Flower Extracts as Multifunctional Dyes in the Cosmetics Industry
Abstract
:1. Introduction
2. Results and Discussion
2.1. Determination of Bioactive Compounds by HPLC-ESI–MS/MS
2.2. Determination of Antioxidant Properties
2.3. Assessment of Matrix Metallopeptidase Inhibition
2.4. Determination of Anti-Inflammatory Properties
2.5. Cytotoxicity Assessment
2.6. Determination of Sun Protection Factor
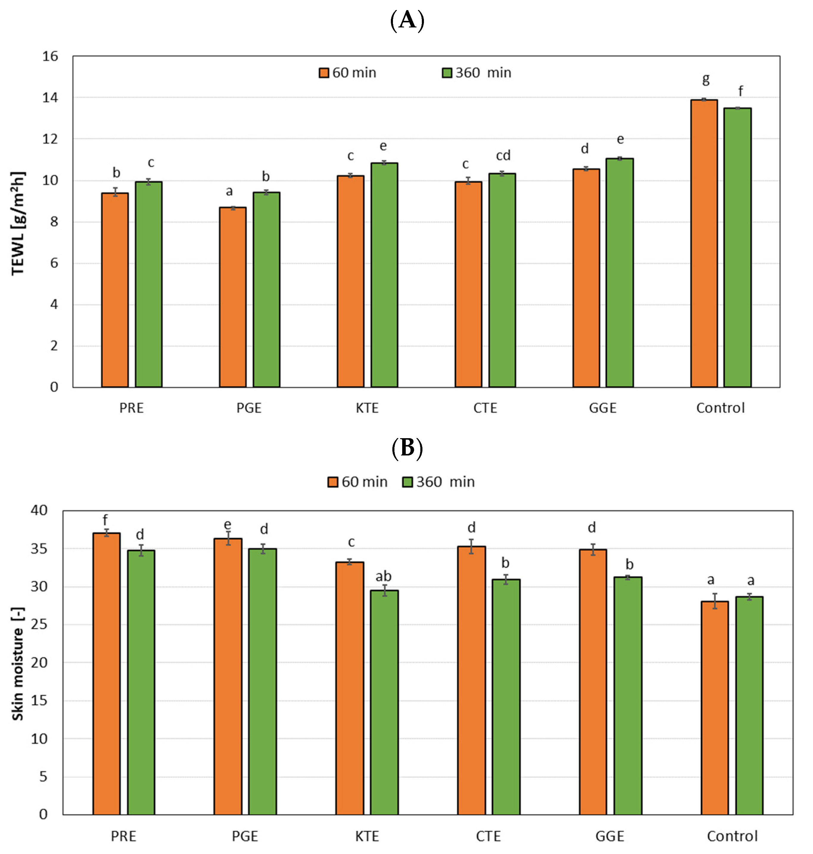
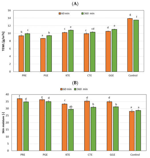
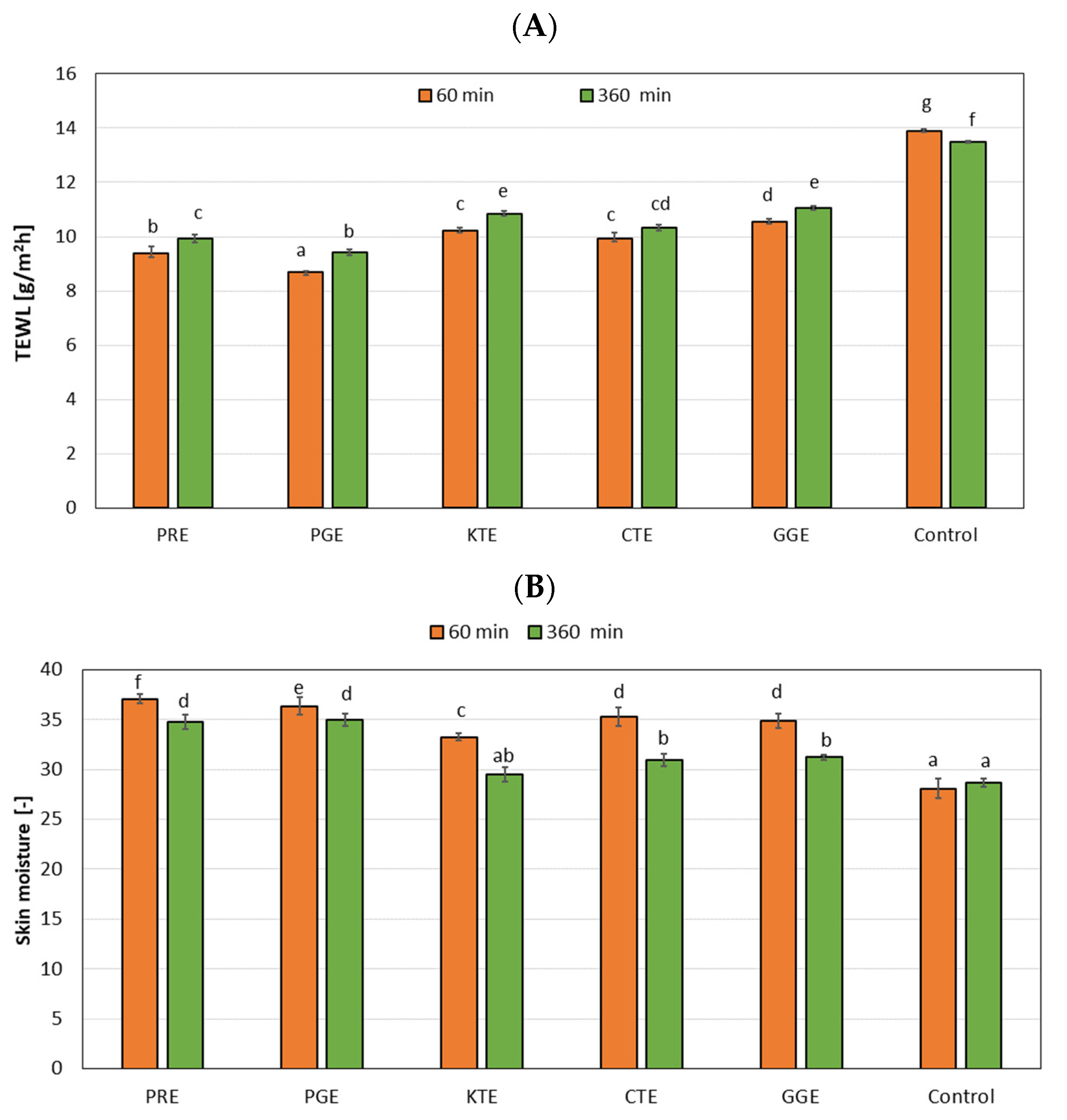
2.7. Transepidermal Water Loss (TEWL) and Skin Hydration Measurements
2.8. Application Analysis
2.8.1. Determination of the Color Parameters of Extracts
2.8.2. Determination of the Color Parameters of Cosmetics Based on the Extracts
3. Materials and Methods
3.1. Plant Material and Extraction Procedure
3.2. Determination of Bioactive Compounds by HPLC–UV-ESI–MS
3.3. Determination of Antioxidant Properties
3.3.1. ABTS·+ Scavenging Assay
3.3.2. DPPH Radical Scavenging Assay
3.3.3. Detection of Intracellular Levels of Reactive Oxygen Species (ROS)
3.4. Assessment of Matrix Metallopeptidases Inhibition
3.4.1. Determination of Anti-Elastase Activity
3.4.2. Determination of Anti-Collagenase Activity
3.5. Determination of Anti-Inflammatory Properties
3.5.1. Inhibition of Protein Denaturation
3.5.2. Inhibition of Lipoxygenase Activity
3.6. Cytotoxicity Analysis
3.6.1. Cell Culture
3.6.2. Alamar Blue Assay
3.6.3. Neutral Red Uptake Assay
3.7. Determination of Sun Protection Factor (In Vitro)
3.8. Transepidermal Water Loss (TEWL) and Skin Hydration Measurements
3.9. Preparation of Model Cosmetics (Make-Up Remover) Containing Extracts
3.10. Determination of the Color Parameters of Extracts and Cosmetics (Make-Up Removers) Containing Extracts
4. Conclusions
Supplementary Materials
Author Contributions
Funding
Institutional Review Board Statement
Informed Consent Statement
Data Availability Statement
Conflicts of Interest
Sample Availability
References
- Dayan, N.; Kromidas, L.; Kale, G. Formulating, Packaging, and Marketing of Natural Cosmetic Products; John Wiley & Sons Inc.: Hoboken, NJ, USA, 2011. [Google Scholar]
- Khattab, T.A.; Abdelrahman, M.S.; Rehan, M. Textile dyeing industry: Environmental impacts and remediation. Environ. Sci. Pollut. Res. 2020, 27, 3803–3818. [Google Scholar] [CrossRef] [PubMed]
- Puvaneswari, N.; Muthukrishnan, J.; Gunasekaran, P. Toxicity assessment and microbial degradation of azo dyes. Indian J. Exp. Biol. 2006, 44, 618–626. [Google Scholar] [PubMed]
- Sabnis, R.W. Developments in the chemistry and applications of phthalein dyes. Part 1: Industrial applications. Color. Technol. 2018, 134, 187–205. [Google Scholar] [CrossRef]
- Guerra, E.; Llompart, M.; Garcia-Jares, C. Analysis of Dyes in Cosmetics: Challenges and Recent Developments. Cosmetics 2018, 5, 47. [Google Scholar] [CrossRef] [Green Version]
- Karaboyaci, M.; Uğur, S.S. Ecological wool dyeing with pulps of lavender, broom, and red wine. J. Text. Inst. 2014, 105, 821–827. [Google Scholar] [CrossRef]
- Bechtold, T.; Mahmud-Ali, A.; Mussak, R. Anthocyanin dyes extracted from grape pomace for the purpose of textile dyeing. J. Sci. Food Agric. 2007, 87, 2589–2595. [Google Scholar] [CrossRef]
- Yusuf, M.; Shabbir, M.; Mohammad, F. Natural Colorants: Historical, Processing and Sustainable Prospects. Nat. Prod. Bioprospect. 2017, 7, 123–145. [Google Scholar] [CrossRef] [Green Version]
- Muthusamy, R.; Arunachalam, M. Flavoring and Coloring Agents: Health Risks and Potential Problems, Natural and Artificial Flavoring Agents and Food Dyes. In Handbook of Food Bioengineering; Academic Press: Cambridge, MA, USA, 2018; pp. 1–28. [Google Scholar]
- Tsanova-Savova, S.; Denev, P.; Ribarova, F. Chapter 7—Flavonoids in Foods and Their Role in Healthy Nutrition. In Handbook of Food Bioengineering, Diet, Microbiome and Health; Holban, A.M., Grumezescu, A.M., Eds.; Academic Press: Cambridge, MA, USA, 2018; pp. 165–198. [Google Scholar]
- Kayın, N.; Atalay, D.; Türken Akçay, T.; Erge, H.S. Color stability and change in bioactive compounds of red beet juice concentrate stored at different temperatures. J. Food Sci. Technol. 2019, 56, 5097–5106. [Google Scholar] [CrossRef]
- Wallace, T.C.; Giusti, M.M. Anthocyanins. Adv. Nutr. 2015, 6, 620–622. [Google Scholar] [CrossRef] [Green Version]
- Stintzing, F.C.; Carle, R. Functional properties of anthocyanins and betalains in plants, food, and in human nutrition. Trends Food Sci. Technol. 2004, 15, 19–38. [Google Scholar] [CrossRef]
- Bendokas, V.; Stanys, V.; Mažeikienė, I.; Trumbeckaite, S.; Baniene, R.; Liobikas, J. Anthocyanins: From the Field to the Antioxidants in the Body. Antioxidants 2020, 9, 819. [Google Scholar] [CrossRef] [PubMed]
- Fellah, B.; Bannour, M.; Rocchetti, G.; Lucini, L.; Ferchichi, A. Phenolic profiling and antioxidant capacity in flowers, leaves and peels of Tunisian cultivars of Punica granatum L. J. Food Sci. Technol. 2018, 55, 3606–3615. [Google Scholar] [CrossRef] [PubMed]
- Chayaratanasin, P.; Caobi, A.; Suparpprom, C.; Saenset, S.; Pasukamonset, P.; Suanpairintr, N.; Adisakwattana, S. Clitoria ternatea flower petal extract inhibits adipogenesis and lipid accumulation in 3T3-L1 preadipocytes by downregulating adipogenic gene expression. Molecules 2019, 24, 1894. [Google Scholar] [CrossRef] [PubMed] [Green Version]
- Bayram, O.; Sagdic, O.; Ekici, L. Natural food colorants and bioactive extracts from some edible flowers. J. Appl. Bot. Food Qual 2015, 88, 170–176. [Google Scholar]
- Szot, D.; Starzak, K.; Skopińska, A.; Wybraniec, S. Chromatographic fractionation of betacyanins from flowers of Gomphrena globosa. Chall. Mod. Technol. 2015, 6, 19–23. [Google Scholar]
- Lin, S.M.; Lin, B.H.; Hsieh, W.M.; Ko, H.J.; Liu, C.D.; Chen, L.G.; Chiou, R.Y.Y. Structural identification and bioactivities of red-violet pigments present in Basella alba fruits. J. Agric. Food Chem. 2010, 58, 10364–10372. [Google Scholar] [CrossRef]
- Salem, N.; Msaada, K.; Elkahoui, S.; Mangano, G.; Azaeiz, S.; Ben Slimen, I.; Marzouk, B. Evaluation of antibacterial, antifungal, and antioxidant activities of safflower natural dyes during flowering. BioMed Res. Int. 2014, 2014, 762397. [Google Scholar] [CrossRef]
- Shin, Y.S.; Yoo, D.I. Storage Stability and Color Reproducibility of Yellow and Red Dyes Extracted from Carthamus tinctorius L. Text. Coloration Finish. 2012, 24, 165–172. [Google Scholar] [CrossRef]
- Lech, K.; Nawała, J.; Popiel, S. Mass Spectrometry for Investigation of Natural Dyes in Historical Textiles: Unveiling the Mystery behind Safflower-Dyed Fibers. J. Am. Soc. Mass Spectrom. 2021, 32, 2552–2566. [Google Scholar] [CrossRef]
- Xiong, Y.; Zhang, P.; Warner, R.D.; Shen, S.; Johnson, S.; Fang, Z. Comprehensive profiling of phenolic compounds by HPLC-DAD-ESI-QTOF-MS/MS to reveal their location and form of presence in different sorghum grain genotypes. Food Res. Int. 2020, 137, 109671. [Google Scholar] [CrossRef]
- Locatelli, C.; Filippin-Monteiro, F.B.; Centa, A.; Creczinsky-Pasa, T.B. Antioxidant, antitumoral and anti-inflammatory activities of gallic acid. In Handbook on Gallic Acid: Natural Occurrences, Antioxidant Properties and Health Implications, 4th ed.; Thompson, M.A., Collins, P.B., Eds.; Nova Publishers: New York, USA, 2013; pp. 1–23. [Google Scholar]
- Zanello, P.R.; Koishi, A.C.; Júnior, C.D.O.R.; Oliveira, L.A.; Pereira, A.A.; de Almeida, M.V.; Duarte dos Santos, C.N.; Bordignon, J. Quinic acid derivatives inhibit dengue virus replication in vitro. Virol. J. 2015, 12, 223. [Google Scholar] [CrossRef] [PubMed] [Green Version]
- Heikkilä, E.; Hermant, A.; Thevenet, J.; Bermont, F.; Kulkarni, S.S.; Ratajczak, J.; Santo-Domingo, J.; Dioum, E.H.; Canto, C.; Barron, D.; et al. The plant product quinic acid activates Ca2+-dependent mitochondrial function and promotes insulin secretion from pancreatic beta cells. Br. J. Pharmacol. 2019, 176, 3250–3263. [Google Scholar] [PubMed]
- Wang, J.; Fang, X.; Ge, L.; Cao, F.; Zhao, L.; Wang, Z.; Xiao, W. Antitumor, antioxidant and anti-inflammatory activities of kaempferol and its corresponding glycosides and the enzymatic preparation of kaempferol. PLoS ONE 2018, 13, e0197563. [Google Scholar] [CrossRef] [PubMed]
- Taiwo, F.O.; Oyedeji, O.; Osundahunsi, M.T. Antimicrobial and Antioxidant Properties of kaempferol-3-O-glucoside and 1-(4-Hydroxyphenyl)-3-phenylpropan-1-one Isolated from the Leaves of Annona muricata (Linn.). J. Pharm. Res. Int. 2019, 13, 113. [Google Scholar] [CrossRef]
- Sidoryk, K.; Jaromin, A.; Filipczak, N.; Cmoch, P.; Cybulski, M. Synthesis and antioxidant activity of caffeic acid derivatives. Molecules 2018, 23, 2199. [Google Scholar] [CrossRef] [PubMed] [Green Version]
- Janda, K.; Jakubczyk, K.; Kupnicka, P.; Bosiacki, M.; Gutowska, I. Mineral Composition and Antioxidant Potential in the Common Poppy (Papaver rhoeas L.) Petal Infusions. Biol. Trace Elem. Res. 2021, 199, 371–381. [Google Scholar]
- Padayatty, S.J.; Katz, A.; Wang, Y.; Eck, P.; Kwon, O.; Lee, J.H.; Levine, M. Vitamin C as an antioxidant: Evaluation of its role in disease prevention. J. Am. Coll. Nutr. 2003, 22, 18–35. [Google Scholar] [CrossRef] [PubMed]
- Pehlivan, F.E. Vitamin C: An antioxidant agent. In Vitamin C, 1st ed.; Hamza, A.H., Ed.; IntechOpen: London, UK, 2017; pp. 23–35. [Google Scholar]
- Velickovic, J.M.; Mitic, M.N.; Arsic, B.B.; Paunovic, D.Đ.; Stojanovic, B.T.; Veljkovic, J.N.; Kostic, D.A. HPLC analysis of extracts of fresh petals of Papaver rhoeas L. Studia Univ. Babes-Bolyai Chem. 2019, 64, 154. [Google Scholar] [CrossRef]
- Tena, N.; Martín, J.; Asuero, A.G. State of the art of anthocyanins: Antioxidant activity, sources, bioavailability, and therapeutic effect in human health. Antioxidants 2020, 9, 451. [Google Scholar] [CrossRef]
- Kostic, D.A.; Mitic, S.S.; Mitic, M.N.; Velickovic, J.M. Phenolic contents, antioxidant and antimicrobial activity of Papaver rhoeas L. extracts from Southeast Serbia. J. Med. Plants Res. 2010, 4, 1727–1732. [Google Scholar]
- Todorova, T.; Pesheva, M.; Gregan, F.; Chankova, S. Antioxidant, antimutagenic, and anticarcinogenic effects of Papaver rhoeas L. extract on Saccharomyces cerevisiae. J. Med. Food 2015, 18, 460–467. [Google Scholar] [CrossRef] [PubMed]
- Ahmad, I.; Zahin, M.; Aqil, F.; Hasan, S.; Khan, M.S.A.; Owais, M. Bioactive compounds from Punica granatum, Curcuma longa and Zingiber officinale and their therapeutic potential. Drugs Future 2008, 33, 329. [Google Scholar] [CrossRef]
- Shaygannia, E.; Bahmani, M.; Zamanzad, B.; Rafieian-Kopaei, M. A review study on Punica granatum L. J. Evid.-Based Complementary Altern. Med. 2016, 21, 221–227. [Google Scholar] [CrossRef] [PubMed] [Green Version]
- Jadon, G.; Nainwani, R.; Singh, D.; Soni, P.K.; Diwaker, A.K. Antioxidant activity of various parts of punica granatum: A review. J. Drug Deliv. Ther. 2012, 2, 1423. [Google Scholar] [CrossRef]
- Amjad, L.; Shafighi, M. Evaluation of antioxidant activity, phenolic and flavonoid content in Punica granatum var. Isfahan Malas flowers. Int. J. Agric. Crop Sci. 2013, 5, 1133. [Google Scholar]
- Kamkaen, N.; Wilkinson, J.M. The antioxidant activity of Clitoria ternatea flower petal extracts and eye gel. Phytother. Res. 2009, 23, 1624–1625. [Google Scholar] [CrossRef] [PubMed]
- Taira, J.; Tsuchida, E.; Katoh, M.C.; Uehara, M.; Ogi, T. Antioxidant capacity of betacyanins as radical scavengers for peroxyl radical and nitric oxide. Food Chem. 2015, 166, 531–536. [Google Scholar] [CrossRef]
- Susilaningrum, D.F.; Wijayanti, N. Antioxidant potential and cytotoxic assay of ethanol extract of Gomphrena globosa L. flower. AIP Conf. Proc. 2020, 2260, 40010. [Google Scholar]
- Jiratchayamaethasakul, C.; Ding, Y.; Hwang, O.; Im, S.T.; Jang, Y.; Myung, S.W. In vitro screening of elastase, collagenase, hyaluronidase, and tyrosinase inhibitory and antioxidant activities of 22 halophyte plant extracts for novel cosmeceuticals. Fish Aquat. Sci 2020, 23, 6. [Google Scholar] [CrossRef]
- Bujak, T.; Zagórska-Dziok, M.; ZiemLewska, A.; Nizioł-Łukaszewska, Z.; Wasilewski, T.; Hordyjewicz-Baran, Z. Antioxidant and Cytoprotective Properties of Plant Extract from Dry Flowers as Functional Dyes for Cosmetic Products. Molecules 2021, 10, 2809. [Google Scholar] [CrossRef]
- Chiang, H.M.; Lin, T.J.; Chiu, C.Y.; Chang, C.W.; Hsu, K.C. Coffea arabica extract and its constituents prevent photoaging by suppressing MMPs expression and MAP kinase pathway. Food Chem. Toxicol. 2011, 49, 309–318. [Google Scholar] [CrossRef] [PubMed]
- Staniforth, V.; Chiu, L.T.; Yang, N.S. Caffeic acid suppresses UVB radiation-induced expression of interleukin-10 and activation of mitogen-activated protein kinases in mouse. Carcinogenesis 2006, 27, 1803–1811. [Google Scholar] [CrossRef] [PubMed] [Green Version]
- Shoko, T.; Maharaj, V.J.; Naidoo, D.; Tselanyane, M.; Nthambeleni, R.; Khorombi, E.; Apostolides, Z. Anti-aging potential of extracts from Sclerocarya birrea (A. Rich.) Hochst and its chemical profiling by UPLC-Q-TOF-MS. BMC Complementary Altern. Med. 2018, 18, 54. [Google Scholar] [CrossRef] [PubMed]
- Chaikul, P.; Khat-Udomkiri, N.; Iangthanarat, K.; Manosroi, J.; Manosroi, A. Characteristics and in vitro anti-skin aging activity of gallic acid loaded in cationic CTAB niosome. Eur. J. Pharm. Sci. 2019, 131, 39–49. [Google Scholar] [CrossRef] [PubMed]
- Hwang, E.; Park, S.Y.; Lee, H.J.; Lee, T.Y.; Sun, Z.W.; Yi, T.H. Gallic acid regulates skin photoaging in UVB-exposed fibroblast and hairless mice. Phytother. Res. 2014, 28, 1778–1788. [Google Scholar] [CrossRef]
- Melzig, M.; Loser, B.; Ciesielski, S. Inhibition of neutrophil elastase activity by phenolic compounds from plants. Pharmazie 2001, 56, 967–970. [Google Scholar]
- Chaiyana, W.; Chansakaow, S.; Intasai, N.; Kiattisin, K.; Lee, K.H.; Lin, W.C.; Lue, S.C.; Leelapornpisid, P. Chemical Constituents, Antioxidant, Anti-MMPs, and Anti-Hyaluronidase Activities of Thunbergia laurifolia Lindl. Leaf Extracts for Skin Aging and Skin Damage Prevention. Molecules 2020, 25, 1923. [Google Scholar] [CrossRef] [Green Version]
- Choi, S.J.; Lee, S.N.; Kim, K.; Joo da, H.; Shin, S.; Lee, J.; Lee, H.K.; Kim, J.; Kwon, S.B.; Kim, M.J.; et al. Biological effects of rutin on skin aging. Int. J. Mol. Med. 2016, 38, 357–363. [Google Scholar] [CrossRef] [Green Version]
- Pientaweeratch, S.; Panapisal, V.; Tansirikongkol, A. Antioxidant, anti-collagenase and anti-elastase activities of Phyllanthus emblica, Manilkara zapota and silymarin: An in vitro comparative study for anti-aging applications. Pharm. Biol. 2016, 54, 1865–1872. [Google Scholar] [CrossRef] [Green Version]
- Madhan, B.; Krishnamoorthy, G.; Rao, J.R.; Nair, B.U. Role of green tea polyphenols in the inhibition of collagenolytic activity by collagenase. Int. J. Biol. Macromol. 2007, 41, 16–22. [Google Scholar] [CrossRef]
- Malesev, D.; Kuntic, V. Investigation of metal-flavonoid chelates and the determination of flavonoids via metal-flavonoid complexing reactions. J. Serb. Chem. Soc. 2007, 72, 921–939. [Google Scholar] [CrossRef]
- Mc Donald, M.; Mila, I.; Scalbert, A. Precipitaion of metal ions by plant polyphenols: Optimal conditions and origin of precipitation. J. Agric. Food Chem. 1996, 44, 599–606. [Google Scholar] [CrossRef]
- Pan, M.H.; Lai, C.S.; Dushenkov, S.; Ho, C.T. Modulation of inflammatory genes by natural dietary bioactive compounds. J. Agric. Food Chem. 2009, 10, 57. [Google Scholar] [CrossRef] [PubMed]
- Schneider, I.; Bucar, F. Lipoxygenase inhibitors from natural plant sources. Part 1: Medicinal plants with inhibitory activity on arachidonate 5-lipoxygenase and 5-lipoxygenase[sol ]cyclooxygenase. Phytother. Res. 2005, 19, 81–102. [Google Scholar] [CrossRef] [PubMed]
- Krieg, P.; Fürstenberger, G. The role of lipoxygenases in epidermis. Biochim. Biophys. Acta 2014, 1841, 390–400. [Google Scholar] [CrossRef] [PubMed]
- Marrassini, C.; Acevedo, C.; Mino, J.; Ferraro, G.; Gorzelczany, S. Evaluation of Antinociceptive, Anti-inflamatory Activities and Phytochemical Analysis of Aerial Parts of Urtica Urens L. Phytother. Res. 2010, 24, 1807–1812. [Google Scholar] [CrossRef]
- Koeberle, A.; Werz, O. Multi-target approach for natural products in inflammation. Drug Discov. Today 2014, 19, 1871–1882. [Google Scholar] [CrossRef]
- Trouillas, P.; Calliste, C.A.; Allais, D.P.; Simon, A.; Marfak, A.; Delage, C.; Duroux, J.L. Antioxidant, anti-inflammatory and antiproliferative properties of sixteen water plant extract used in the Limousin countryside as herbal teas. Food Chem. 2003, 80, 399–407. [Google Scholar] [CrossRef]
- BenSaad, L.A.; Kim, K.H.; Quah, C.C.; Kim, W.R.; Shahimi, M. Anti-inflammatory potential of ellagic acid, gallic acid and punicalagin A&B isolated from Punica Granatum. BMC Complementary Altern. Med. 2017, 17, 47. [Google Scholar]
- Rathee, P.; Chaudhary, H.; Rathee, S.; Rathee, D.; Kumar, V.; Kohli, K. Mechanism of action of flavonoids as anti-inflammatory agents: A review. Inflamm. Allergy Drug Targets 2009, 8, 229–235. [Google Scholar] [CrossRef]
- Owona Ayissi, V.B.; Ebrahimi, A.; Schluesenner, H. Epigenetic effects of natural polyphenols: A focus on SIRT1-mediated mechanisms. Mol. Nutr. Food Res. 2013, 58, 22–32. [Google Scholar]
- Lesjak, M. Antioxidant and anti-inflammatory activities of quercetin and its derivatives. J. Funct. Foods 2018, 40, 68–75. [Google Scholar] [CrossRef]
- Nair, V.; Bang, W.Y.; Schreckinger, E.; Andarwulan, N.; Cisneros-Zevallos, L. Protective role of ternatin anthocyanins and quercetin glycosides from butterfly pea (Clitoria ternatea Leguminosae) blue flower petals against lipopolysaccharide (LPS)-induced inflammation in macrophage cells. J. Agric. Food Chem. 2015, 63, 6355–6365. [Google Scholar] [CrossRef] [PubMed]
- Hijazi, M.A.; Aboµg-Ela, M.; Bouhadir, K.; Fatfat, M.; Khalife, H.; Ellakany, A.; Gali-Muhtasib, H. Cytotoxic activity of alkaloids from Papaver Rhoeas growing in Lebanon. Rec. Nat. Prod. 2017, 11, 211–216. [Google Scholar]
- Nasiri, E.; Hosseinimehr, S.J.; Akbari, J.; Azadbakht, M.; Azizi, S. The effects of Punica granatum flower extract on skin injuries induced by burn in rats. Adv. Pharmacol. Sci. 2017, 11, 3059745. [Google Scholar]
- Aslam, M.N.; Lansky, E.P.; Varani, J. Pomegranate as a cosmeceutical source: Pomegranate fractions promote proliferation and procollagen synthesis and inhibit matrix metalloproteinase-1 production in human skin cells. J. Ethnopharmacol. 2006, 103, 311–318. [Google Scholar] [CrossRef]
- Pacheco-Palencia, L.A.; Noratto, G.; Hingorani, L.; Talcott, S.T.; Mertens-Talcott, S.U. Protective effects of standardized pomegranate (Punica granatum L.) polyphenolic extract in µgtraviolet-irradiated human skin fibroblasts. J. Agric. Food Chem. 2008, 56, 8434–8441. [Google Scholar] [CrossRef]
- Zagórska-Dziok, M.; ZiemLewska, A.; Bujak, T.; Nizioł-Łukaszewska, Z.; Hordyjewicz-Baran, Z. Cosmetic and Dermatological Properties of Selected Ayurvedic Plant Extracts. Molecules 2021, 26, 614. [Google Scholar] [CrossRef]
- Finkel, T.; Holbrook, N.J. Oxidants, oxidative stress and the biology of ageing. Nature 2000, 408, 239–247. [Google Scholar] [CrossRef]
- Aburjai, T.; Natsheh, F.M. Plants used as cosmetics. Phytother. Res. 2003, 17, 987–1000. [Google Scholar] [CrossRef]
- Kancheva, V.D.; Kasaikina, O.T. Bio-antioxidants—A chemical base of their antioxidant activity and beneficial effect on human health. Curr. Med. Chem. 2013, 20, 4784–4805. [Google Scholar] [CrossRef] [PubMed]
- Priyanka, S.; Mary, S.R.I.; Nandini, H.S.; Kutty, A.V.M.; Kiranmayee, P. A pilot study on sun protection factor of plant extracts: An observational study. Asian J. Pharm. Clin. Res. 2018, 11, 67–71. [Google Scholar]
- Jackson, C.T.; Paye, M.; Maibach, H. Handbook of Cosmetic Science and Technology, 3rd ed.; Taylor & Francis Group: Boca Raton, FL, USA, 2014; pp. 301–311. [Google Scholar]
- Visscher, M.O.; Said, D.; Wickett, R. Transepidermal water loss: Effect of hand hygiene. Ski. Res. Technol. 2010, 16, 229–236. [Google Scholar] [CrossRef] [PubMed]
- Wan, H.; Yu, C.; Yu, H.; Guo, X.; Luo, L.; Pan, H.; Zheng, T.; Wang, J.; Cheng, T.; Zhang, Q. Determination of flavonoids and carotenoids and their contributions to various colors of rose cultivars (Rosa spp.). Front. Plant Sci. 2019, 10, 123. [Google Scholar] [CrossRef] [PubMed] [Green Version]
- Mokrzycki, W.S.; Tatol, M. Colour difference DE—A survey. Mach. Graph. Vis. 2011, 20, 383. [Google Scholar]
- Yang, B.; Liu, X.; Gao, Y. Extraction optimization of bioactive compounds (crocin, geniposide and total phenolic compounds) from Gardenia (Gardenia jasminoides Ellis) fruits with response surface methodology. Innov. Food Sci. Emerg. Technol. 2009, 10, 610–615. [Google Scholar] [CrossRef]
- Gaweł-Beben, K.; Bujak, T.; Nizioł-Łukaszewska, Z.; Antosiewicz, B.; Jakubczyk, A.; Karas, M.; Rybczynska, K. Stevia Rebaudiana Bert. leaf extracts as a multifunctional source of natural antioxidants. Molecules 2015, 20, 5468. [Google Scholar] [CrossRef] [Green Version]
- Brand-Williams, W.; Cuvelier, M.; Berset, C. Use of a free radical method to evaluate antioxidant activity. LWT Food Sci. Technol. 1995, 28, 25–30. [Google Scholar] [CrossRef]
- Evangelista-Vargas, S.; Santiani, A. Detection of intracellular reactive oxygen species (superoxide anion and hydrogen peroxide) and lipid peroxidation during cryopreservation of alpaca spermatozoa. Reprod. Domest. Anim. 2017, 52, 819–824. [Google Scholar] [CrossRef]
- Nizioł-Łukaszewska, Z.; Zagórska-Dziok, M.; ZiemLewska, A.; Bujak, T. Comparison of the antiaging and protective properties of plants from the Apiaceae family. Oxid. Med. Cell. Longev. 2020, 2020, 5307614. [Google Scholar]
- Sakat, S.; Juvekar, A.R.; Gambhire, M.N. In vitro antioxidant and anti-inflammatory activity of methanol extract of Oxalis corniculata Linn. Int. J. Pharm. Pharm. Sci. 2010, 2, 146–155. [Google Scholar]
- Gunathilake, K.D.P.P.; Ranaweera, K.K.D.S.; Rupasinghe, H.P.V. Influence of boiling, steaming and frying of selected leafy vegetables on the in vitro anti-inflammation associated biological activities. Plants 2018, 7, 22. [Google Scholar] [CrossRef] [PubMed] [Green Version]
- Sarveswaran, R.; Jayasuriya, W.J.A.B.; Suresh, T.S. In vitro assays to investigate the anti-inflammatory activity of herbal extracts: A review. World J. Pharm. Res. 2017, 6, 131–141. [Google Scholar]
- Mansur, J.S.; Breder, M.N.; Mansur, M.C.; Azulay, R.D. Determinacao do fator de protecao solar por espectrofotometria. An. Bras. Dermatol. 1986, 61, 121–124. [Google Scholar]
- Sayre, R.M.; Agin, P.P.; Levee, G.J.; Marlowe, E. Comparison of in vivo and in vitro testing of sunscreening formulas. Photochem. Photobiol. 1979, 29, 559–566. [Google Scholar] [CrossRef]









| Retention Time (min) | Molecular Formula | Molar Mass (Da) | Precursor Ion m/z | Main Product Ions MS2 m/z | Identification | PRE | PGE | KTE | CTE | GGE |
|---|---|---|---|---|---|---|---|---|---|---|
| 1.6 | C7H12O6 | 192.2 | 191 [M − H]− | 127 [M − H − H2O − HCOOH]−, 93 [M − C4H3O3]−, 85 [M − C3H7O4]−, 59 [M − C5H9O4]− | Quinic acid | x | x | x | x | x |
| 2.1 | C7H6O5 | 170.1 | 169 [M − H]− | 151 [M − H − H2O]−, 125 [M − H − CO2]−, 107 [M − H − CO2 − H2O]−, 79 [M − C6H3O]− | Gallic acid | x | x | x | x | x |
| 2.8 | C16H18O9 | 354.3 | 353 [M − H]− | 191 [M − 3H2O − C6H5O2]−, 179 [M − 3H2O − C6H4 − COOH]−, 85 [M − C15H12O2 − COOH]− | 5-Caffeoylquinic acid | - | - | x | x | - |
| 4.2 | C16H18O9 | 354.3 | 353 [M − H]− | 191 [M − 3H2O − C6H5O2]−, 179 [M − 3H2O − C6H4 − COOH]−, 85 [M − C15H12O2 − COOH]− | 3-Caffeoylquinic acid | - | x | x | x | x |
| 5.1 | C9H8O4 | 180.2 | 179 [M − H]− | 135 [M − COOH]−, 107 [M − C3H5O2]− | Caffeic acid | x | x | x | x | x |
| 7.1/8.1 | C27H30O16 | 610.5 | 609 [M − H]− | 300 [M − H − C12H21O9]− | Rutin | x | x | x | x | x |
| 8.5 | C27H30O15 | 594.5 | 593 [M − H]− | 383 [M − C8H19O6]−, 352 [M − C9H21O7]−, 284 [M − C12H22O9]− | Kaempferol-3-O-rutinoside | x | x | x | x | x |
| 10.0 | C15H10O7 | 302.2 | 301 [M − H]− | 179 [M − H − C7H6O2]−, 151 [M − C8H7O3]−, 121 [M − C8H5O5]−, 107 [M − C9H5O5]− | Quercetin | x | x | x | x | x |
| 11.3 | C21H20O11 | 448.3 | 447 [M − H]− | 284 [M − H2O − C6H10O4]−, 255 [M − C6H9O7]−, 179 [M − C15H9O5]− | Kaempferol-3-O-glucoside | x | x | x | x | x |
| Compound | Content [µg/mL] | ||||
|---|---|---|---|---|---|
| PRE | PGE | KTE | CTE | GGE | |
| Quinic acid | 0.11 ± 0.01 | 0.78 ± 0.03 | 1.85 ± 0.01 | 7.71 ± 0.01 | 0.05 ± 0.00 |
| Gallic acid | 0.20 ± 0.02 | 22.00 ± 0.28 | 1.15 ± 0.01 | 0.57 ± 0.00 | 0.12 ± 0.01 |
| Caffeic acid | 0.31 ± 0.02 | 0.13 ± 0.00 | 4.96 ± 0.00 | 1.22 ± 0.02 | 0.39 ± 0.01 |
| 5-CQA | - | - | 0.02 ± 0.00 | 0.03 ± 0.00 | 0.01 ± 0.00 |
| 3-CQA | - | 1.75 ± 0.02 | 0.77 ± 0.04 | 0.37 ± 0.02 | 0.08 ± 0.00 |
| Quercetin | 0.14 ± 0.00 | <LOQ | 3.45 ± 0.13 | 0.08 ± 0.00 | 0.93 ± 0.04 |
| Sum of quantified compounds | 0.76 | 24.66 | 12.2 | 9.98 | 1.58 |
| Sample | PRE | PGE | KTE | CTE | GGE |
|---|---|---|---|---|---|
| IC50 (µg/mL) | 65.5 ± 1.42 | 24.8 ± 0.42 | 63.3 ± 1.03 | 100.5 ± 3.22 | 134.3 ± 4.18 |
| Sample | PRE | PGE | KTE | CTE | GGE |
|---|---|---|---|---|---|
| IC50 (µg/mL) | 88.5 ± 2.59 | 47.5 ± 1.01 | 87.2 ± 3.46 | 150.6 ± 5.61 | 205.2 ± 4.22 |
| L* | a* | b* | C* | ho | ||
|---|---|---|---|---|---|---|
| PRE | 23.23 ± 0.06 | 2.51 ± 0.10 | −1.18 ± 0.01 | 2.8 ± 0.02 | −25.2 ± 0.05 | red-purple |
| PGE | 27.81 ± 0.15 | 1.29 ± 0.01 | 0.26 ± 0.03 | 1.3 ± 0.03 | 11.4 ± 0.06 | weak color, reddish hue |
| KTE | 22.86 ± 0.19 | 1.96 ± 0.01 | −1.93 ± 0.02 | 2.8 ± 0.04 | 315.5 ± 0.09 | blue–violet |
| CTE | 26.91 ± 0.11 | 1.41 ± 0.02 | 5.00 ± 0.02 | 5.2 ± 0.10 | 74.3 ± 0.13 | yellow |
| GGE | 28.8 ± 0.08 | 1.10 ± 0.02 | 0.69 ± 0.03 | 1.3 ± 0.08 | 32.1 ± 0.12 | weak color, slightly orange hue |
| L* | a* | b* | C* | ho | ΔE Cosmetic + Extract/Base Cosmetic | ||
|---|---|---|---|---|---|---|---|
| Cosmetic with PRE | 16.35 ± 0.04 | 3.88 ± 0.05 | 3.34 ± 0.03 | 5.1 ± 0.04 | 40.7 ± 0.11 | 8.83 ± 0.03 | orange |
| Cosmetic with PGE | 22.64 ± 0.11 | −0.31 ± 0.04 | 3.04 ± 0.01 | 3.1 ± 0.03 | 95.8 ± 0.06 | 2.51 ± 0.03 | yellow |
| Cosmetic with KTE | 14.48 ± 0.09 | 0.56 ± 0.03 | −0.70 ± 0.01 | 0.9 ± 0.03 | 308.8 ± 0.05 | 9.17 ± 0.04 | weak color, blue–violet |
| Cosmetic with CTE | 15.84 ± 0.18 | 0.26 ± 0.04 | 3.49 ± 0.02 | 3.5 ± 0.02 | 94.2 ± 0.03 | 8.14 ± 0.04 | yellow |
| Cosmetic with GGE | 21.64 ± 0.19 | 0.73 ± 0.04 | 2.83 ± 0.02 | 2.9 ± 0.03 | 104.5 ± 0.05 | 2.82 ± 0.03 | yellow |
| Base cosmetic | 23.47 ± 0.17 | −0.63 ± 0.04 | 0.69 ± 0.02 | 0.9 ± 0.06 | 132.4 ± 0.05 | - | weak color, yellow-green |
| Ingredient (INCI Name) | Raw Material (Trade Name, Supplier) | (wt.%) | |
|---|---|---|---|
| 1 | Polyglyceryl-4 Laurate/Sebacate, Polyglyceryl-6 Caprylate/Caprate, Water | Natragem S140 (Croda) | 6.0 |
| 2 | Caprylyl/Capryl Glucoside | Plantacare 810 (BASF) | 6.0 |
| 3 | Glycerin | Glycerin VegeTable 99.7 (local supplier) | 1.0 |
| 4 | Propanediol | Propanediol natural (Cosphaderm) | 3.0 |
| 5 | Aqua | Deionised water | to 100 |
| 6 | Benzyl Alcohol, Benzoic Acid, Dehydroacetic Acid, Tocopherol | Euxyl K903 (Schülke & Mayr) | 0.5 |
| 7 | Lactic Acid | Lactic Acid (local supplier) | to pH 5.5 |
Publisher’s Note: MDPI stays neutral with regard to jurisdictional claims in published maps and institutional affiliations. |
© 2022 by the authors. Licensee MDPI, Basel, Switzerland. This article is an open access article distributed under the terms and conditions of the Creative Commons Attribution (CC BY) license (https://creativecommons.org/licenses/by/4.0/).
Share and Cite
Bujak, T.; Zagórska-Dziok, M.; Ziemlewska, A.; Nizioł-Łukaszewska, Z.; Lal, K.; Wasilewski, T.; Hordyjewicz-Baran, Z. Flower Extracts as Multifunctional Dyes in the Cosmetics Industry. Molecules 2022, 27, 922. https://doi.org/10.3390/molecules27030922
Bujak T, Zagórska-Dziok M, Ziemlewska A, Nizioł-Łukaszewska Z, Lal K, Wasilewski T, Hordyjewicz-Baran Z. Flower Extracts as Multifunctional Dyes in the Cosmetics Industry. Molecules. 2022; 27(3):922. https://doi.org/10.3390/molecules27030922
Chicago/Turabian StyleBujak, Tomasz, Martyna Zagórska-Dziok, Aleksandra Ziemlewska, Zofia Nizioł-Łukaszewska, Kamila Lal, Tomasz Wasilewski, and Zofia Hordyjewicz-Baran. 2022. "Flower Extracts as Multifunctional Dyes in the Cosmetics Industry" Molecules 27, no. 3: 922. https://doi.org/10.3390/molecules27030922
APA StyleBujak, T., Zagórska-Dziok, M., Ziemlewska, A., Nizioł-Łukaszewska, Z., Lal, K., Wasilewski, T., & Hordyjewicz-Baran, Z. (2022). Flower Extracts as Multifunctional Dyes in the Cosmetics Industry. Molecules, 27(3), 922. https://doi.org/10.3390/molecules27030922

