Phytochemical Profiling, In Vitro Biological Activities, and In Silico Molecular Docking Studies of Dracaena reflexa
Abstract
:1. Introduction
2. Results
2.1. Phytochemical Analysis
2.1.1. Preliminary Phytochemical Analysis
2.1.2. Total Phenolic and Flavonoids Contents (TPC and TFC)
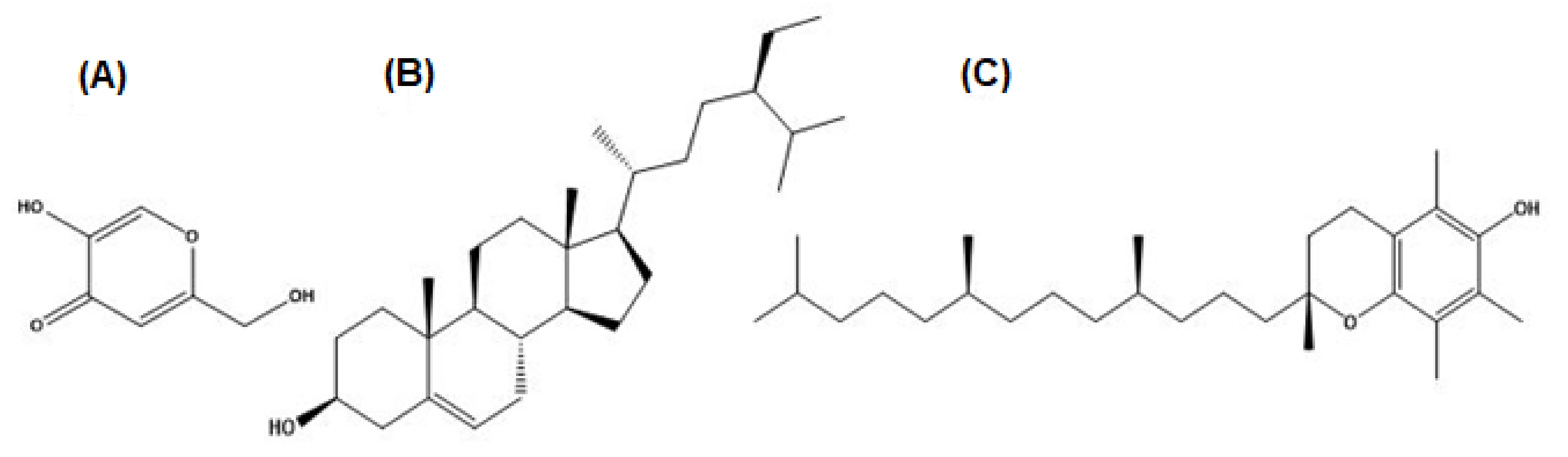
2.1.3. Tentative Identification of Metabolites by GC-MS Analysis
2.2. In Vitro Biological Activities
2.2.1. Antioxidant Assays
Radical Scavenging Activity (mg TE/g Extract)
Reducing Power Assays (mg TE/g Extract)
2.2.2. Enzyme Inhibition Assays
Tyrosinase Inhibition Assay (%Age Inhibition)
Acetylcholinesterase (AChE) and Butyrylcholinesterase (BChE) Inhibition Activity (%Age Inhibition)
2.2.3. Thrombolytic Activity
2.2.4. Antibacterial Activity of n-Hexane Fraction
2.3. In Silico Molecular Docking Studies
2.3.1. Molecular Docking for Tyrosinase Enzyme
2.3.2. Molecular Docking for Acetylcholinesterase (AChE) and Butyrylcholinesterase (BChE)
3. Discussion
4. Materials and Methods
4.1. Sample Collection and Plant Identification
4.2. Extract Preparation and Fractionation
4.3. Phytochemical Analysis
4.3.1. Preliminary Phytochemical Analysis
4.3.2. Total Phenolic and Flavonoid Contents
Estimation of Total Phenolic Contents (TPC)
Estimation of Total Flavonoid Contents (TFC)
Gas Chromatography-Mass Spectrometry (GC-MS) Analysis
4.4. Biological Activity Evaluation
4.4.1. Antioxidant Assays
Radical Scavenging Activity
DPPH Assay
ABTS Assay
Reducing Power Assays
CUPRAC Assay
FRAP Assay
4.4.2. Enzyme Inhibition Assays
Tyrosinase Inhibition Assay
Acetylcholinesterase and Butyrylcholinesterase Inhibition Assay
4.4.3. Thrombolytic Activity of Dracaena reflexa
Specimen
Study Design
4.4.4. Antibacterial Activity of n-Hexane Fraction
Bacterial Strains
Preparation of Bacterial Inoculum
Disc Diffusion Method
4.5. In Silico Molecular Docking Studies
4.6. Statistical Analysis
5. Conclusions
Supplementary Materials
Author Contributions
Funding
Institutional Review Board Statement
Informed Consent Statement
Data Availability Statement
Acknowledgments
Conflicts of Interest
References
- Aumeeruddy, M.Z.; Mahomoodally, M.F. Combating breast cancer using combination therapy with 3 phytochemicals: Piperine, sulforaphane, and thymoquinone. Cancer 2019, 125, 1600–1611. [Google Scholar] [CrossRef] [PubMed]
- Aumeeruddy-Elalfi, Z.; Lall, N.; Fibrich, B.; Van Staden, A.B.; Hosenally, M.; Mahomoodally, M.F. Selected essential oils inhibit key physiological enzymes and possess intracellular and extracellular antimelanogenic properties in vitro. J. Food Drug Anal. 2018, 26, 232–243. [Google Scholar] [CrossRef] [PubMed] [Green Version]
- Veiga, M.; Costa, E.M.; Silva, S.; Pintado, M. Impact of plant extracts upon human health: A review. Crit. Rev. Food Sci. Nutr. 2020, 60, 873–886. [Google Scholar] [CrossRef] [PubMed]
- Bursal, E.; Aras, A.; Kılıç, Ö. Evaluation of antioxidant capacity of endemic plant Marrubium astracanicum subsp. macrodon: Identification of its phenolic contents by using HPLC-MS/MS. Nat. Prod. Res. 2019, 33, 1975–1979. [Google Scholar] [CrossRef] [PubMed]
- Salehi, B.; Armstrong, L.; Rescigno, A.; Yeskaliyeva, B.; Seitimova, G.; Beyatli, A.; Sharmeen, J.; Mahomoodally, M.F.; Sharopov, F.; Durazzo, A. Lamium plants—A comprehensive review on health benefits and biological activities. Molecules 2019, 24, 1913. [Google Scholar] [CrossRef] [Green Version]
- Bursal, E.; Taslimi, P.; Gören, A.C.; Gülçin, İ. Assessments of anticholinergic, antidiabetic, antioxidant activities and phenolic content of Stachys annua. Biocatal. Agric. Biotechnol. 2020, 28, 101711. [Google Scholar] [CrossRef]
- Hassan, W.; Noreen, H.; Rehman, S.; Gul, S.; Amjad Kamal, M.; Paul Kamdem, J.; Zaman, B.; BT da Rocha, J. Oxidative stress and antioxidant potential of one hundred medicinal plants. Curr. Top. Med. Chem. 2017, 17, 1336–1370. [Google Scholar] [CrossRef]
- Chen, Q.; Wang, Q.; Zhu, J.; Xiao, Q.; Zhang, L. Reactive oxygen species: Key regulators in vascular health and diseases. Br. J. Pharmacol. 2018, 175, 1279–1292. [Google Scholar] [CrossRef]
- Al Rashdi, R.S.Y.; Hossain, M.A.; Al Touby, S.S.J. Antioxidant and antibacterial activities of leaves crude extracts of Adenium obesum grown in Oman National Botanical Garden. Adv. Biomark. Sci. Technol. 2021, 3, 8–14. [Google Scholar] [CrossRef]
- Roselan, M.A.; Zakaria, N.; Faujan, N.H.; Latif, M.A.M.; Faudzi, S.M.M.; Ab Hadi, H.; Ashari, S.E. In vitro cytotoxicity assay, mushroom tyrosinase inhibitory activity and release analysis of kojic monooleate nanodelivery system and in silico molecular docking study against 2Y9X target enzyme. J. Drug Deliv. Sci. Technol. 2021, 66, 102764. [Google Scholar] [CrossRef]
- Masum, M.N.; Yamauchi, K.; Mitsunaga, T. Tyrosinase inhibitors from natural and synthetic sources as skin-lightening agents. Rev. Agric. Sci. 2019, 7, 41–58. [Google Scholar] [CrossRef] [Green Version]
- Zolghadri, S.; Bahrami, A.; Hassan Khan, M.T.; Munoz-Munoz, J.; Garcia-Molina, F.; Garcia-Canovas, F.; Saboury, A.A. A comprehensive review on tyrosinase inhibitors. J. Enzym. Inhib. Med. Chem. 2019, 34, 279–309. [Google Scholar] [CrossRef] [PubMed] [Green Version]
- Sabe, V.T.; Ntombela, T.; Jhamba, L.A.; Maguire, G.E.; Govender, T.; Naicker, T.; Kruger, H.G. Current trends in computer aided drug design and a highlight of drugs discovered via computational techniques: A review. Eur. J. Med. Chem. 2021, 224, 113705. [Google Scholar] [CrossRef]
- Aras, A.; Türkan, F.; Yildiko, U.; Atalar, M.N.; Kılıç, Ö.; Alma, M.H.; Bursal, E. Biochemical constituent, enzyme inhibitory activity, and molecular docking analysis of an endemic plant species, Thymus migricus. Chem. Pap. 2021, 75, 1133–1146. [Google Scholar] [CrossRef]
- Das, R.; Chinnathambi, S. Microglial priming of antigen presentation and adaptive stimulation in Alzheimer’s disease. Cell. Mol. Life Sci. 2019, 76, 3681–3694. [Google Scholar] [CrossRef] [PubMed]
- Sen, A.; Jette, N.; Husain, M.; Sander, J.W. Epilepsy in older people. Lancet 2020, 395, 735–748. [Google Scholar] [CrossRef]
- Sharifi-Rad, M.; Lankatillake, C.; Dias, D.A.; Docea, A.O.; Mahomoodally, M.F.; Lobine, D.; Chazot, P.L.; Kurt, B.; Boyunegmez Tumer, T.; Catarina Moreira, A. Impact of natural compounds on neurodegenerative disorders: From preclinical to pharmacotherapeutics. J. Clin. Med. 2020, 9, 1061. [Google Scholar] [CrossRef] [Green Version]
- Thu, Z.M.; Myo, K.K.; Aung, H.T.; Armijos, C.; Vidari, G. Flavonoids and stilbenoids of the genera Dracaena and Sansevieria: Structures and bioactivities. Molecules 2020, 25, 2608. [Google Scholar] [CrossRef] [PubMed]
- Luo, Y.; Wang, H.; Xu, X.; Mei, W.; Dai, H. Antioxidant phenolic compounds of Dracaena cambodiana. Molecules 2010, 15, 8904–8914. [Google Scholar] [CrossRef] [Green Version]
- Manimaran, P.; Saravanan, S.; Sanjay, M.; Siengchin, S.; Jawaid, M.; Khan, A. Characterization of new cellulosic fiber: Dracaena reflexa as a reinforcement for polymer composite structures. J. Mater. Res. Technol. 2019, 8, 1952–1963. [Google Scholar] [CrossRef]
- Narender, B.; Naveena, N.; Pravalika, P.; Kaleem, S.; Vamshi, M.; Mandhadi, J.R. Pharmacological evaluation of root and leaf extracts of Dracaena reflexa var. angustifolia. Innov. Pharm. Pharmacother. 2017, 5, 141–146. [Google Scholar]
- Fay, M.; Risher, J.; Wilson, J.D. Toxicological Profile for Xylene; U.S. Department for Health and Human Services: Washington, DC, USA, 2007.
- Padma, M.; Ganesan, S.; Jayaseelan, T.; Azhagumadhavan, S.; Sasikala, P.; Senthilkumar, S.; Mani, P. Phytochemical screening and GC–MS analysis of bioactive compounds present in ethanolic leaves extract of Silybum marianum (L). J. Drug Deliv. Ther. 2019, 9, 85–89. [Google Scholar] [CrossRef] [Green Version]
- Yu, F.-R.; Lian, X.-Z.; Guo, H.-Y.; McGuire, P.M.; Li, R.-D.; Wang, R.; Yu, F.-H. Isolation and characterization of methyl esters and derivatives from Euphorbia kansui (Euphorbiaceae) and their inhibitory effects on the human SGC-7901 cells. J. Pharm. Pharm. Sci. 2005, 8, 528–535. [Google Scholar] [PubMed]
- Rahbar, N.; Shafaghat, A.; Salimi, F. Antimicrobial activity and constituents of the hexane extracts from leaf and stem of Origanum vulgare L. ssp. Viride (Boiss.) Hayek. growing wild in Northwest Iran. J. Med. Plants Res. 2012, 6, 2681–2685. [Google Scholar]
- Ugbogu, E.A.; Akubugwo, I.E.; Ude, V.C.; Gilbert, J.; Ekeanyanwu, B. Toxicological evaluation of phytochemical characterized aqueous extract of wild dried Lentinus squarrosulus (Mont.) mushroom in rats. Toxicol. Res. 2019, 35, 181–190. [Google Scholar] [CrossRef] [Green Version]
- Uma, B.; Parvathavarthini, R. Antibacterial effect of hexane extract of sea urchin, Temnopleurus alexandri (Bell, 1884). Int. J. Pharm. Technol. Res. 2010, 2, 1677–1680. [Google Scholar]
- Ja, D. Dr. Duke’s Phytochemical and Ethnobotanical Databases. Chemicals in Vitis vinifera L. (VItaceae); Ag Data Commons: Beltsville, MD, USA, 2012. [Google Scholar]
- Ren, J.; Wang, J.; Karthikeyan, S.; Liu, H.; Cai, J. Natural anti-phytopathogenic fungi compound phenol, 2, 4-bis (1, 1-dimethylethyl) from Pseudomonas fluorescens TL-1. Indian J. Biochem. Biophys. (IJBB) 2019, 56, 162–168. [Google Scholar]
- Mou, Y.; Meng, J.; Fu, X.; Wang, X.; Tian, J.; Wang, M.; Peng, Y.; Zhou, L. Antimicrobial and antioxidant activities and effect of 1-hexadecene addition on palmarumycin C2 and C3 yields in liquid culture of endophytic fungus Berkleasmium sp. Dzf12. Molecules 2013, 18, 15587–15599. [Google Scholar] [CrossRef] [Green Version]
- Bruno, F.; Castelli, G.; Migliazzo, A.; Piazza, M.; Galante, A.; Verde, V.L.; Calderone, S.; Nucatolo, G.; Vitale, F. Cytotoxic screening and in vitro evaluation of pentadecane against Leishmania infantum promastigotes and amastigotes. J. Parasitol. 2015, 101, 701–705. [Google Scholar] [CrossRef] [Green Version]
- Di Stefano, V.; Pitonzo, R.; Schillaci, D. Antimicrobial and antiproliferative activity of Athamanta sicula L. (Apiaceae). Pharmacogn. Mag. 2011, 7, 31. [Google Scholar] [CrossRef] [Green Version]
- Singh, S.; Sankar, B.; Rajesh, S.; Sahoo, K.; Subudhi, E.; Nayak, S. Chemical composition of turmeric oil (Curcuma longa L. cv. Roma) and its antimicrobial activity against eye infecting pathogens. J. Essent. Oil Res. 2011, 23, 11–18. [Google Scholar] [CrossRef]
- Stanojević, J.S.; Stanojević, L.P.; Cvetković, D.J.; Danilović, B.R. Chemical composition, antioxidant and antimicrobial activity of the turmeric essential oil (Curcuma longa L.). Adv. Technol. 2015, 4, 19–25. [Google Scholar] [CrossRef]
- Belakhdar, G.; Benjouad, A.; Abdennebi, E. Determination of some bioactive chemical constituents from Thesium humile Vahl. J. Mater. Environ. Sci. 2015, 6, 2778–2783. [Google Scholar]
- Rouis-Soussi, L.S.; El Ayeb-Zakhama, A.; Mahjoub, A.; Flamini, G.; Jannet, H.B.; Harzallah-Skhiri, F. Chemical composition and antibacterial activity of essential oils from the Tunisian Allium nigrum L. EXCLI J. 2014, 13, 526. [Google Scholar]
- Beulah, G.; Soris, P.T.; Mohan, V. GC-MS Determination of Bioactive Compounds of Dendrophthoe falcata (LF) Ettingsh: An Epiphytic Plant. Int. J. Health Sci. Res. 2018, 8, 261–269. [Google Scholar]
- Handique, J.G.; Gogoi, D.; Bora, G.; Borgohain, R. Antioxidant Capacity and GC-MS Analysis of Hexane, Ethylacetate and Methanol Extracts of Ficus bhotanica–A Potential Folklore Medicinal Plant. Int. J. Pharmacogn. Phytochem. Res. 2018, 10, 201–212. [Google Scholar]
- Banakar, P.; Jayaraj, M. GC–MS analysis of bioactive compounds from ethanolic leaf extract of Waltheria indica Linn. and their pharmacological activities. Int. J. Pharm. Sci. Res. 2018, 9, 2005–2010. [Google Scholar]
- Zayed, M.Z.; Ahmad, F.B.; Ho, W.-S.; Pang, S.-L. GC-MS analysis of phytochemical constituents in leaf extracts of Neolamarckia cadamba (Rubiaceae) from Malaysia. Int. J. Pharm. Pharm. Sci 2014, 6, 123–127. [Google Scholar]
- Krishnamoorthy, K.; Subramaniam, P. Phytochemical profiling of leaf, stem, and tuber parts of Solena amplexicaulis (Lam.) Gandhi using GC-MS. Int. Sch. Res. Not. 2014, 2014, 567409. [Google Scholar] [CrossRef] [Green Version]
- Rahman, M.; Ahmad, S.; Mohamed, M.; Ab Rahman, M. Antimicrobial compounds from leaf extracts of Jatropha curcas, Psidium guajava, and Andrographis paniculata. Sci. World J. 2014, 2014, 635240. [Google Scholar] [CrossRef] [Green Version]
- Elsayed, T.R.; Galil, D.F.; Sedik, M.Z.; Hassan, H.M.; Sadik, M.W. Antimicrobial and Anticancer Activities of Actinomycetes Isolated from Egyptian Soils. Int. J. Curr. Microbiol. Appl. Sci. 2020, 9, 2020. [Google Scholar] [CrossRef]
- Lal, R.; Jat, B.L. Bio-efficacy of insecticides and biorationals against the incidence of whitefly, Bemisia tabaci (Genn.) and yellow mosaic virus in mungbean. Afr. J. Agric. Res. 2015, 10, 1050–1056. [Google Scholar]
- Jemal, K. Molecular Docking Studies of Phytochemicals of Allophylus serratus against Cyclooxygenase-2 Enzyme. bioRxiv 2019, 866152. [Google Scholar] [CrossRef]
- Nimbeshaho, F.; Mwangi, C.N.; Orina, F.; Chacha, M.; Adipo, N.; Moody, J.O.; Kigondu, E.M. Antimycobacterial activities, cytotoxicity and phytochemical screening of extracts for three medicinal plants growing in Kenya. J. Med. Plants Res. 2020, 14, 129–143. [Google Scholar]
- Joseph, D.D.; Veerasamy, K.; Singaram, S.S. Identification of bioactive compounds by gas chromatography-mass spectrometry analysis of Syzygium jambos (L.) collected from Western Ghats region Coimbatore, Tamil Nadu. Asian J. Pharm. Clin. Res. 2016, 10, 364–369. [Google Scholar] [CrossRef] [Green Version]
- Bae, M.-S.; Park, J.K.; Kim, K.-H.; Cho, S.-S.; Lee, K.-Y.; Shon, Z.-H. Emission and cytotoxicity of surgical smoke: Cholesta-3, 5-diene released from pyrolysis of prostate tissue. Atmosphere 2018, 9, 381. [Google Scholar] [CrossRef] [Green Version]
- Lakshmi, M.; Nair, B.R. GC-MS analysis of the chloroform extract of bark of Terminalia travancorensis Wight & Arn. (Combretaceae). Int. J. Pharm. Sci. Res. 2017, 8, 794. [Google Scholar]
- Kaur, N.; Chaudhary, J.; Jain, A.; Kishore, L. Stigmasterol: A comprehensive review. Int. J. Pharm. Sci. Res. 2011, 2, 2259. [Google Scholar]
- Lee, V.H. Changing needs in drug delivery in the era of peptide and protein drugs. Pept. Protein Drug Deliv. 1991, 1, 1–56. [Google Scholar]
- Mitchell, W.L.; Giblin, G.M.; Naylor, A.; Eatherton, A.J.; Slingsby, B.P.; Rawlings, A.D.; Jandu, K.S.; Haslam, C.P.; Brown, A.J.; Goldsmith, P. Pyridine-3-carboxamides as novel CB2 agonists for analgesia. Bioorg. Med. Chem. Lett. 2009, 19, 259–263. [Google Scholar] [CrossRef]
- Hasan, A.; Artika, I.; Kuswandi, T.G. Analysis of active components of Trigona spp propolis from Pandeglang Indonesia. Glob. J. Biol. Agric. Health Sci. 2014, 3, 215–219. [Google Scholar]
- Ladokun, O.A.; Abiola, A.; Okikiola, D.; Ayodeji, F. GC-MS and molecular docking studies of Hunteria umbellata methanolic extract as a potent anti-diabetic. Inform. Med. Unlocked 2018, 13, 1–8. [Google Scholar] [CrossRef]
- Atanassova, M.; Georgieva, S.; Ivancheva, K. Total phenolic and total flavonoid contents, antioxidant capacity and biological contaminants in medicinal herbs. J. Univ. Chem. Technol. Metall. 2011, 46, 81–88. [Google Scholar]
- Urzúa, A.; Rezende, M.C.; Mascayano, C.; Vásquez, L. A structure-activity study of antibacterial diterpenoids. Molecules 2008, 13, 882–891. [Google Scholar] [CrossRef] [Green Version]
- Shukla, A.; Vats, S.; Shukla, R. Phytochemical screening, proximate analysis and antioxidant activity of Dracaena reflexa Lam. leaves. Indian J. Pharm. Sci. 2015, 77, 640. [Google Scholar] [CrossRef] [Green Version]
- Magder, S. Reactive oxygen species: Toxic molecules or spark of life? Crit. Care 2006, 10, 208. [Google Scholar] [CrossRef] [Green Version]
- Marín, L.; Miguélez, E.M.; Villar, C.J.; Lombó, F. Bioavailability of dietary polyphenols and gut microbiota metabolism: Antimicrobial properties. BioMed Res. Int. 2015, 2015, 905215. [Google Scholar] [CrossRef] [Green Version]
- Karak, P. Biological activities of flavonoids: An Overview. Int. J. Pharm. Sci. Res. 2019, 10, 1567–1574. [Google Scholar]
- Aras, A.; Bursal, E.; Türkan, F.; Tohma, H.; Kılıç, Ö.; Gülçin, İ.; Köksal, E. Phytochemical content, antidiabetic, anticholinergic, and antioxidant activities of endemic Lecokia cretica extracts. Chem. Biodivers. 2019, 16, e1900341. [Google Scholar] [CrossRef]
- Sethi, S.; Joshi, A.; Arora, B.; Bhowmik, A.; Sharma, R.; Kumar, P. Significance of FRAP, DPPH, and CUPRAC assays for antioxidant activity determination in apple fruit extracts. Eur. Food Res. Technol. 2020, 246, 591–598. [Google Scholar] [CrossRef]
- Zuo, A.-R.; Dong, H.-H.; Yu, Y.-Y.; Shu, Q.-L.; Zheng, L.-X.; Yu, X.-Y.; Cao, S.-W. The antityrosinase and antioxidant activities of flavonoids dominated by the number and location of phenolic hydroxyl groups. Chin. Med. 2018, 13, 51. [Google Scholar] [CrossRef] [PubMed] [Green Version]
- Uchida, R.; Ishikawa, S.; Tomoda, H. Inhibition of tyrosinase activity and melanine pigmentation by 2-hydroxytyrosol. Acta Pharm. Sin. B 2014, 4, 141–145. [Google Scholar] [CrossRef] [PubMed] [Green Version]
- Chang, T.S. Review an update review of tyrosinase inhibitors Intern. Int. J. Mol. Sci. 2009, 10, 2440–2475. [Google Scholar] [CrossRef] [PubMed] [Green Version]
- Wszelaki, N.; Kuciun, A.; Kiss, A. Screening of traditional European herbal medicines for acetylcholinesterase and butyrylcholinesterase inhibitory activity. Acta Pharm. 2010, 60, 119. [Google Scholar] [CrossRef] [PubMed] [Green Version]
- Alecu, A.; Albu, C.; Litescu, S.C.; Eremia, S.A.; Radu, G.L. Phenolic and anthocyanin profile of Valea Calugareasca red wines by HPLC-PDA-MS and MALDI-TOF analysis. Food Anal. Methods 2016, 9, 300–310. [Google Scholar] [CrossRef]
- Magalhães, V.; Rios, R.M.; Silva, F.G.; Dias, A.C. Comparative Study on the Inhibition of Acetylcholinesterase Activity by Hyptis marrubioides, Hyptis pectinata, and Hyptis suaveolens Methanolic Extracts. Proceedings 2020, 70, 81. [Google Scholar] [CrossRef]
- Mukherjee, P.K.; Kumar, V.; Mal, M.; Houghton, P.J. Acetylcholinesterase inhibitors from plants. Phytomedicine 2007, 14, 289–300. [Google Scholar] [CrossRef]
- Khan, H.; Amin, S.; Kamal, M.A.; Patel, S. Flavonoids as acetylcholinesterase inhibitors: Current therapeutic standing and future prospects. Biomed. Pharmacother. 2018, 101, 860–870. [Google Scholar] [CrossRef]
- Middleton, J.M.D.E. Biological properties of plant flavonoids: An overview. Int. J. Pharmacogn. 1996, 34, 344–348. [Google Scholar] [CrossRef]
- Xin, N.; Li, Y.-J.; Li, Y.; Dai, R.-J.; Meng, W.-W.; Chen, Y.; Schlappi, M.; Deng, Y.-L. Dragon’s Blood extract has antithrombotic properties, affecting platelet aggregation functions and anticoagulation activities. J. Ethnopharmacol. 2011, 135, 510–514. [Google Scholar] [CrossRef]
- Chowdhury, S.; Sharmin, T.; Hoque, M.; Sumsujjaman, M.; Das, M.; Nahar, F. Evaluation of Thrombolytic and membrane stabilizing activities of four medicinal plants of Bangladesh. Int. J. Pharm. Sci. Res. 2013, 4, 4223. [Google Scholar]
- Kazłowska, K.; Hsu, T.; Hou, C.-C.; Yang, W.-C.; Tsai, G.-J. Anti-inflammatory properties of phenolic compounds and crude extract from Porphyra dentata. J. Ethnopharmacol. 2010, 128, 123–130. [Google Scholar] [CrossRef] [PubMed]
- Aljubiri, S.M.; Mahgoub, S.A.; Almansour, A.I.; Shaaban, M.; Shaker, K.H. Isolation of diverse bioactive compounds from Euphorbia balsamifera: Cytotoxicity and antibacterial activity studies. Saudi J. Biol. Sci. 2021, 28, 417–426. [Google Scholar] [CrossRef] [PubMed]
- Truong, D.-H.; Nguyen, D.H.; Ta, N.T.A.; Bui, A.V.; Do, T.H.; Nguyen, H.C. Evaluation of the use of different solvents for phytochemical constituents, antioxidants, and in vitro anti-inflammatory activities of Severinia buxifolia. J. Food Qual. 2019, 2019, 8178294. [Google Scholar] [CrossRef] [Green Version]
- Grochowski, D.M.; Uysal, S.; Zengin, G.; Tomczyk, M. In vitro antioxidant and enzyme inhibitory properties of Rubus caesius L. Int. J. Environ. Health Res. 2019, 29, 237–245. [Google Scholar] [CrossRef] [PubMed]
- Hayat, M.M.; Uzair, M. Biological potential and GC-MS analysis of phytochemicals of Farsetia hamiltonii (Royle). Biomed. Res. 2019, 30. [Google Scholar] [CrossRef] [Green Version]
- Tabassum, F.; Chandi, S.H.; Mou, K.N.; Hasif, K.; Ahamed, T.; Akter, M. Invitro thrombolytic activity and phytochemical evaluation of leaf extracts of four medicinal plants of Asteraceae family. J. Pharmacogn. Phytochem. 2017, 6, 1166–1169. [Google Scholar]
- Rahmoun, N.M.; Ziane, H.; Boucherit-Otmani, Z. Antibacterial and antifungal screening of four medicinal plants. J. Coast. Life Med. 2014, 2, 975–979. [Google Scholar]
- Meng, X.-Y.; Zhang, H.-X.; Mezei, M.; Cui, M. Molecular docking: A powerful approach for structure-based drug discovery. Curr. Comput.-Aided Drug Des. 2011, 7, 146–157. [Google Scholar] [CrossRef]













| Metabolites | Tests | DRME | DRHF | DRCF | DRBF | |
|---|---|---|---|---|---|---|
| Primary Metabolites | ||||||
| 1. | Carbohydrates | Molisch’s Test | + | − | + | + |
| Fehling’s Test | + | − | − | − | ||
| 2. | Amino acids | Ninhydrin Test | − | − | − | − |
| 3. | Proteins | Burette Test | − | − | − | − |
| 4. | Lipids | Saponification Test | + | + | + | + |
| Secondary Metabolites | ||||||
| 1. | Alkaloids | Hager’s Test | − | + | + | − |
| Wagner’s Test | − | + | − | − | ||
| Mayer’s Test | − | + | − | − | ||
| 2. | Tannins | Lead Acetate Test | + | + | + | + |
| 3. | Phenols | Ferric chloride test | + | + | + | + |
| 4. | Flavonoids | Reaction with NaOH | + | − | + | + |
| 5. | Saponins | Froth Test | + | − | − | + |
| 6. | Steroids | Salkowaski’s Test | + | + | + | + |
| 7. | Glycosides | Erdmann’s Test | + | − | − | + |
| 8. | Resins | Acetic Anhydride Test | − | − | − | − |
| Extract/Fractions Name | TPC (mg GAE/g Extract) | TFC (mg QE/g Extract) | DPPH (mg TE/g Extract) | ABTS (mg TE/g Extract) | CUPRAC (mg TE/g Extract) | FRAP (mg TE/g Extract) |
|---|---|---|---|---|---|---|
| DRME | 88.16 ± 0.45 | 110 ± 0.83 | 82.06 ± 2.38 | 50.05 ± 1.42 | 243.25 ± 2.05 | 97.47 ± 0.93 |
| DRHF | 44.72 ± 0.79 | 25.29 ± 4.16 | 55.61 ± 0.94 | 39.22 ± 0.56 | 201.80 ± 0.82 | 86.04 ± 1.24 |
| DRCF | 75.44 ± 0.33 | 88.24 ± 3.33 | 91.21 ± 1.02 | 65.34 ± 0.80 | 266.87 ± 2.66 | 104.34 ± 0.7 |
| DRBF | 92.72 ± 0.79 | 105.88 ± 1.66 | 102.66 ± 2.55 | 82.50 ± 0.37 | 295.85 ± 1.43 | 112.42 ± 1.86 |
| Sr. No. | R.T. | % Area | Compound Name | M.F. | M.W. | Pharm. Activity | Class |
|---|---|---|---|---|---|---|---|
| 1 | 3.13 | 0.5 | p-Xylene | C8H10 | 106.16 | CNS depression [22] | Benzene Derivatives |
| 2 | 6.63 | 0.14 | Dodecane | C12H26 | 170.33 | Antifungal antioxidant antibacterial [23] | Alkanes |
| 3 | 7.16 | 0.07 | Dimethyl adipate | C10H14O4 | 198.22 | Initiate growth inhibition, induce apoptosis in cancer cells [24] | Esters |
| 4 | 7.82 | 0.07 | Tridecane | C13H28 | 184.36 | Antimicrobial [25] | Alkanes |
| 5 | 8.93 | 0.07 | 1-Tetradecene | C14H28 | 196.22 | Anti-TB [26] | Alkenes |
| 6 | 9.03 | 0.2 | Tetradecane | C14H30 | 198.39 | Antibacterial antifungal [26] | Alkanes |
| 7 | 9.72 | 0.07 | 5,9-Undecadien-2-one, 6,10-dimethyl-, (E)- | C13H22O | 194.31 | Antibacterial [27] | Aliphatic ketones |
| 8 | 10.22 | 0.25 | Pentadecane | C15H32 | 212.42 | Antibacterial [27] | Alkanes |
| 9 | 10.33 | 0.43 | 1,4-Benzenedicarboxylic acid, monobutyl ester | C12H14O2 | 222.24 | Antimicrobial [28] | Carbonylbenzoic Acids |
| 10 | 10.41 | 0.57 | Phenol, 2,4-bis(1,1-dimethylethyl)-6-(1-phenylethyl)- | C22H30O | 310.5 | Antifungal [29] | Aromatic Phenols |
| 11 | 10.82 | 0.24 | 2(4H)-Benzofuranone, 5,6,7,7a-tetrahydro- | C8H10O2 | 138.16 | Antimicrobial [28] | Benzofuran |
| 12 | 11.29 | 0.11 | 1-Hexadecene | C16H32 | 224.42 | Antimicrobial, antioxidant [30] | Alkenes |
| 13 | 11.38 | 0.49 | Hexadecane | C16H34 | 226.44 | Antimicrobial cytotoxic [31] | Alkanes |
| 14 | 11.78 | 0.12 | Apiol | C12H14O2 | 222.23 | Antiproliferative activity [32] | Phenylpropene |
| 15 | 12.18 | 0.18 | α-Cadinol | C15H26O | 222.37 | Antifungal, hepatoprotective, anti TB [28] | Sesquiterpenoids |
| 16 | 12.23 | 0.19 | Ar-tumerone | C15H20O | 216.32 | Antimicrobial [28] | Sesquiterpenoids |
| 17 | 12.28 | 0.1 | Tumerone | C15H20O | 216.32 | Antimicrobial [33] | Sesquiterpenoids |
| 18 | 12.49 | 0.09 | Heptadecane | C17H36 | 240.17 | Antibacterial [27] | Alkanes |
| 19 | 12.64 | 0.07 | Curlone | C15H22O | 218.33 | Antimicrobial, cytotoxic [34] | Sesquiterpenoids |
| 20 | 13.18 | 0.1 | Tetradecanoic acid | C14H28O2 | 228.38 | Nematicide, antifungal, cancer preventive, antioxidant [28] | Fatty Acids |
| 21 | 13.36 | 0.11 | Benzyl Benzoate | C14H12O2 | 212.25 | Antibacterial [28] | Esters |
| 22 | 13.51 | 0.35 | 1-Octadecene | C18H36 | 252.5 | Antimicrobial, anticancer [35] | Alkenes |
| 23 | 13.59 | 0.58 | Octadecane | C18H38 | 254.49 | Antimicrobial [36] | Alkanes |
| 24 | 13.71 | 0.1 | E-15-Heptadecenal | C17H32O | 252.4 | Antimicrobial [28] | Aldehydes |
| 25 | 13.88 | 0.17 | Pentadecanoic acid, methyl ester | C16H32O2 | 256.42 | Antibacterial [28] | Fatty Acid Esters |
| 26 | 14.46 | 0.12 | 1,2-Benzenedicarboxylic acid, bis(trimethylsilyl) ester | C14H22O4Si2 | 310.49 | Antimicrobial [37] | Aromatic Dicarboxylic acid Esters |
| 27 | 14.51 | 0.13 | 1,8-Nonadiene, 2,7-dimethyl-5-(methylethenyl) | C14H24 | 192.34 | − | Alkenes |
| 28 | 15.09 | 2.69 | Methyl 14-methylpentadecanoate | C17H34O2 | 270.5 | Antifungal [28] | Esters |
| 29 | 15.36 | 0.32 | Benzenepropanoic acid, 3,5-bis(1,1-dimethylethyl)-4-hydroxy-, methyl ester | C18H28O3 | 292.41 | Antiandrogenic, antifungal, antioxidant [38] | Esters |
| 30 | 15.72 | 6.22 | n-Hexadecanoic acid | C16H32O2 | 256.4 | Antioxidant, hypocholesterolemic nematicide [28] | Fatty Acids |
| 31 | 15.91 | 0.96 | 5-Eicosene, (E)- | C20H40 | 280.5 | Antimicrobial, cytotoxic, antihyperglycemic, antioxidant, insecticidal [39] | Alkenes |
| 32 | 15.99 | 0.73 | Eicosane | C20H42 | 282.5 | Anticancer [35] | Alkanes |
| 33 | 16.34 | 0.21 | Methyl 14-methylhexadecanoate | C18H36O2 | 284.5 | Antioxidant, hypocholesterolemic nematicide [28] | Fatty Acid Esters |
| 34 | 16.88 | 0.52 | Heptadecanoic acid | C17H34O2 | 270.5 | Antioxidant [40] | Fatty Acids |
| 35 | 17.31 | 3.73 | 9,12-Octadecadienoic acid, methyl ester | C19H34O2 | 294.5 | Anti-inflammatory, hypocholesterolemic, cancer preventive, antiarthritic, antihistaminic [41] | Fatty Acid Esters |
| 36 | 17.41 | 2.96 | 9,12,15-Octadecatrienoic acid, methyl ester | C19H32O2 | 292.5 | Antimicrobial [42] | Fatty Acid Esters |
| 37 | 17.55 | 1.69 | Phytol | C20H40O | 204.36 | Precursor for vitamin E and K, antioxidant, protrctive agent against breast cancer [24] | Acyclic Diterpenoids |
| 38 | 17.7 | 0.61 | Octadecanoic acid, methyl ester | C19H38O2 | 298.5 | Antimicrobial [42] | Fatty Acid Esters |
| 39 | 18.48 | 2.82 | Octadecanoic acid | C18H34O2 | 282.5 | Antimicrobial [28] | Fatty Acids |
| 40 | 18.63 | 1.16 | 1-Docosene | C22H44 | 308.6 | Antibacterial [43] | Alkenes |
| 41 | 20.5 | 0.43 | Triazophos | C12H16N3O3PS | 313.31 | Insecticides [44] | Organophosphate |
| 42 | 21.47 | 0.95 | Cyclotetracosane | C24H48 | 336.6 | Antimicrobial, anticancer antioxidant [28] | Cyclo Alkanes |
| 43 | 21.87 | 0.08 | Tetracosane | C24H50 | 338.6 | Inhibitor of β-amyloid aggregation [28] | Alkanes |
| 44 | 23.8 | 8.67 | 1,2-Benzenedicarboxylic acid, monophenyl ester, sodium salt | C14H9NaO4 | 264.21 | COX-2 inhibitor [45] | Sodium Salt |
| 45 | 25.77 | 5.1 | 9,12-Octadecadienoic acid | C18H32O2 | 280.4 | Anticancer [24] | Fatty Acids |
| 46 | 27.1 | 0.81 | Cyclooctacosane | C28H56 | 392.7 | Antibacterial after derivatization [46] | Cyclo Alkanes |
| 47 | 27.58 | 0.47 | 2,6,10,14,18,22-Tetracosahexaene | C24H38 | 326.6 | For dermatological problem [47] | Alkenes |
| 48 | 28.5 | 0.18 | Cholesta-3,5-diene | C27H44 | 368.6 | Cytotoxic activity [48] | Phenantherenes |
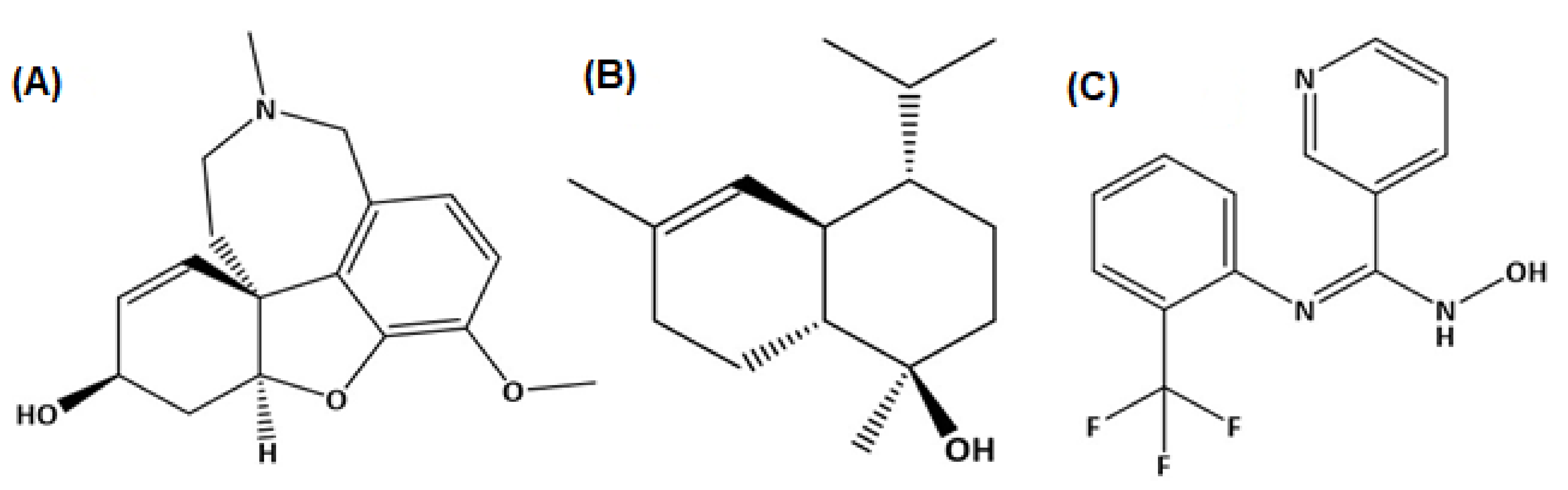
| 49 | 29.58 | 0.14 | N-hydroxy-N′-[2-(trifluoromethyl)phenyl]pyridine-3-carboximidamide | C13H10F3N3O | 281.23 | Anti-inflammatory [28] | Carboximidamides |
| 50 | 29.79 | 0.7 | 1-Nonadecene | C19H38 | 266.5 | Antimicrobial, artificial ripening of fruit [49] | Alkenes |
| 51 | 30.75 | 2.31 | gamma-Tocopherol | C28H48O2 | 416.68 | Antidermatitic, anticancer, hepatoprotective, antispasmodic [28] | Methylated phenols |
| 52 | 31.79 | 0.56 | 17-(1,5-Dimethylhexyl)-10,13-dimethyl-1,2,6,7,8,9,11,12,14,15,16,17-dodecahydrocyclopenta[a]phenanthren-3-one | C27H44O | 384.6 | − | Phenantherenes |
| 53 | 32.17 | 4.23 | Vitamin E | C29H50O2 | 430.71 | Antidermatitic, anticancer, hepatoprotective, antispasmodic [28] | Methylated phenols |
| 54 | 33.87 | 0.77 | Campesterol | C28H48O | 400.68 | Anti-inflammatory, antidiabetic, anticancer, activities and cholesterol lowering agent [28] | Steroid Derivatives |
| 55 | 34.09 | 0.36 | Ergost-8(14)-en-3beta-ol | C28H48O | 400.7 | − | Steroid Derivatives |
| 56 | 34.65 | 2.1 | Stigmasterol | C29H48O | 412.69 | Synthesis of progesterone, androgens, estrogens [50] | Phyto Sterols |
| 57 | 36.06 | 3.7 | Beta-Sitosterol | C29H50O | 414.71 | Analgesic, anti-inflammatory, and antioxidant [51] | Phyto Sterols |
| 58 | 36.44 | 0.23 | Lanost-8-en-3-ol, (3.beta)- | C32H54O2 | 470.8 | Antibacterial [28] | Phenantherenes |
| 59 | 37.33 | 0.44 | Pyridine-3-carboxamidoxime | C6H7N3O | 137.4 | Anti-inflammatory [52] | Carboximidamides |
| 60 | 37.86 | 0.04 | 9,19-Cyclolanost-24-en-3-ol, acetate, (3beta)- | C32H52O2 | 468.8 | Anti HIV [53] | Aromatic Esters |
| Sample Name | Blood Sample 1 | Blood Sample 2 | Blood Sample 3 | Blood Sample 4 | Blood Sample 5 |
|---|---|---|---|---|---|
| DRME | 72.67 ± 1.06 | 73.69 ± 0.55 | 74.43 ± 0.63 | 73.34 ± 0.99 | 71.51 ± 2.75 |
| DRHF | 57.78 ± 0.61 | 57.59 ± 0.99 | 55.21 ± 4.17 | 56.22 ± 1.85 | 57.16 ± 1.04 |
| DRCF | 74.11 ± 0.61 | 74.14 ± 1.46 | 76.06 ± 1.92 | 72.97 ± 2.94 | 72.54 ± 1.17 |
| DRBF | 67.60 ± 0.72 | 66.58 ± 1.02 | 69.37 ± 0.77 | 65.89 ± 2.53 | 67.61 ± 2.74 |
| Streptokinase | 84.81 ± 0.311 | 85.35 ± 0.911 | 85.4 ± 1.53 | 83.36 ± 3.32 | 84.42 ± 3.03 |
| Strain Name | Zone of Inhibition (mm) of Standard (Co-Amoxiclav) (Conc. 1 mg/mL) | MIC (mg/mL) | Conc.(mg/mL) of Fraction | Zone of Inhibition of DRHF (mm) |
|---|---|---|---|---|
| Bacillus Subtilis | 21 | 4 | 5 | 4 |
| 10 | 12 | |||
| 20 | 19 | |||
| Micrococcus luteus | 23 | 3 | 5 | 5 |
| 10 | 11 | |||
| 20 | 16 | |||
| Staphylococcus epidermidis | 25 | 8 | 5 | NA |
| 10 | 11 | |||
| 20 | 20 | |||
| Bacillus pumilus | 24 | 5 | 5 | 8 |
| 10 | 14 | |||
| 20 | 23 | |||
| Staphylococcus aureus | 21 | 6 | 5 | NA |
| 10 | 10 | |||
| 20 | 17 | |||
| Escherichia coli | 22 | 3 | 5 | 5 |
| 10 | 9 | |||
| 20 | 15 | |||
| Bordetella bronchiseptica | 25 | 6 | 5 | NA |
| 10 | 8 | |||
| 20 | 13 | |||
| Pseudomonas aeruginosa | NA | 8 | 5 | NA |
| 10 | 10 | |||
| 20 | 22 |
| Ligand Name | Binding Affinity for AChE | Binding Affinity for BChE |
|---|---|---|
| Alpha–Cadinol | −7.8 | −8.2 |
| n-Hexadecanoic Acid | −6.4 | −5.3 |
| N-hydroxy-N′-[2-(trifluoromethyl)phenyl]pyridine-3-carboximidamide | −9.3 | −8 |
| Galantamine | −8.2 | −8.8 |
Publisher’s Note: MDPI stays neutral with regard to jurisdictional claims in published maps and institutional affiliations. |
© 2022 by the authors. Licensee MDPI, Basel, Switzerland. This article is an open access article distributed under the terms and conditions of the Creative Commons Attribution (CC BY) license (https://creativecommons.org/licenses/by/4.0/).
Share and Cite
Ghalloo, B.A.; Khan, K.-u.-R.; Ahmad, S.; Aati, H.Y.; Al-Qahtani, J.H.; Ali, B.; Mukhtar, I.; Hussain, M.; Shahzad, M.N.; Ahmed, I. Phytochemical Profiling, In Vitro Biological Activities, and In Silico Molecular Docking Studies of Dracaena reflexa. Molecules 2022, 27, 913. https://doi.org/10.3390/molecules27030913
Ghalloo BA, Khan K-u-R, Ahmad S, Aati HY, Al-Qahtani JH, Ali B, Mukhtar I, Hussain M, Shahzad MN, Ahmed I. Phytochemical Profiling, In Vitro Biological Activities, and In Silico Molecular Docking Studies of Dracaena reflexa. Molecules. 2022; 27(3):913. https://doi.org/10.3390/molecules27030913
Chicago/Turabian StyleGhalloo, Bilal Ahmad, Kashif-ur-Rehman Khan, Saeed Ahmad, Hanan Y. Aati, Jawaher H. Al-Qahtani, Barkat Ali, Imran Mukhtar, Musaddique Hussain, Muhammad Nadeem Shahzad, and Imtiaz Ahmed. 2022. "Phytochemical Profiling, In Vitro Biological Activities, and In Silico Molecular Docking Studies of Dracaena reflexa" Molecules 27, no. 3: 913. https://doi.org/10.3390/molecules27030913
APA StyleGhalloo, B. A., Khan, K.-u.-R., Ahmad, S., Aati, H. Y., Al-Qahtani, J. H., Ali, B., Mukhtar, I., Hussain, M., Shahzad, M. N., & Ahmed, I. (2022). Phytochemical Profiling, In Vitro Biological Activities, and In Silico Molecular Docking Studies of Dracaena reflexa. Molecules, 27(3), 913. https://doi.org/10.3390/molecules27030913

