Expression, Purification, and Comparative Inhibition of Helicobacter pylori Urease by Regio-Selectively Alkylated Benzimidazole 2-Thione Derivatives
Abstract
:1. Introduction
Rationale of the Design and Synthesis
2. Results
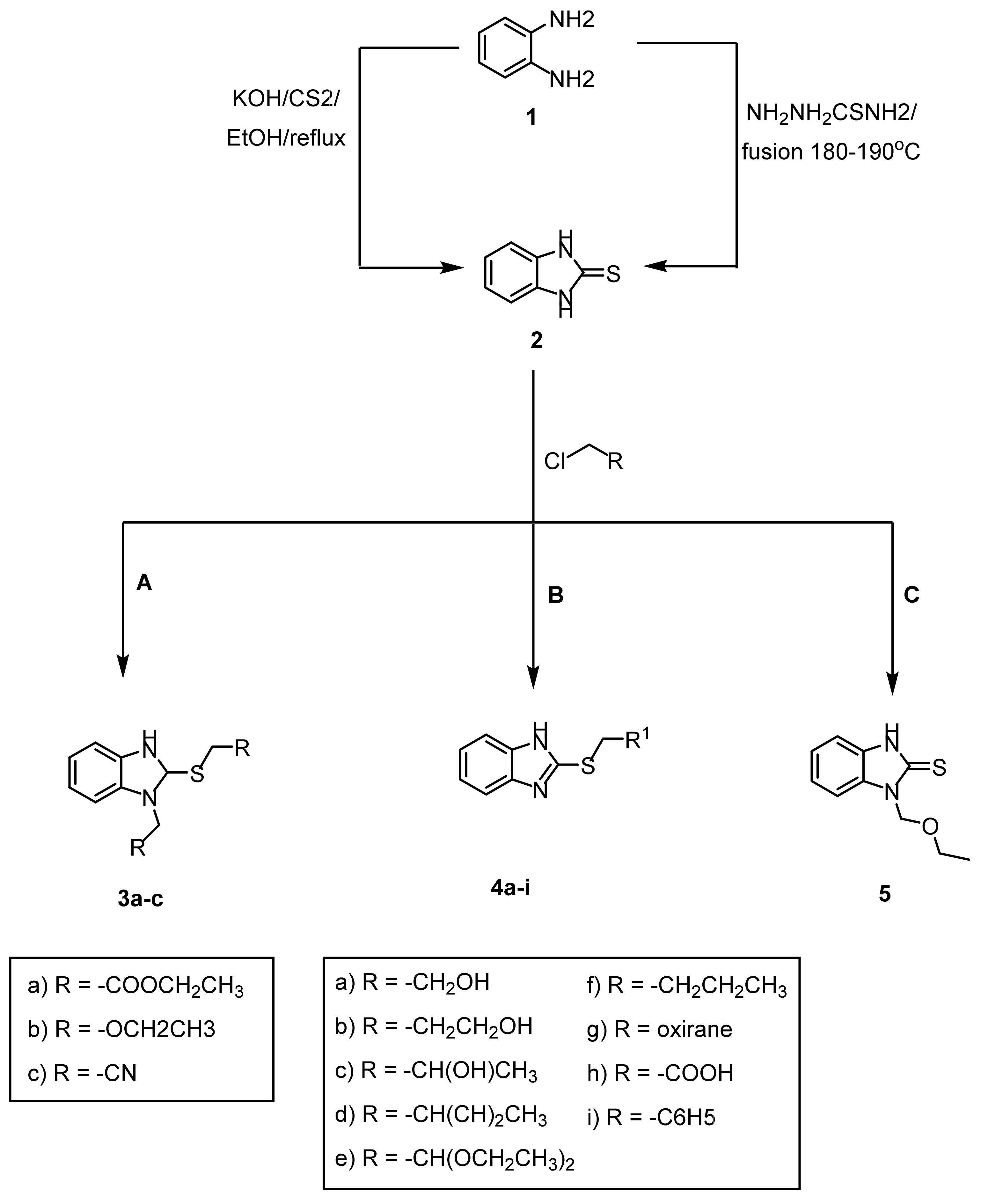
2.1. Synthesis of Benzimidazole-2-Thione Derivatives
2.2. Preparation of Urease Enzyme
2.2.1. Expression, Purification from H. pylori
2.2.2. Cloning and Transmission of Purified PCR Product
2.3. Urease Inhibition Assay
2.4. Molecular Docking
2.5. ADMET Studies
2.6. Toxicity Studies
2.7. In Vitro Cytotoxicity
3. Experimental
3.1. Compound Synthesis
3.1.1. Preparation of 1H-Benzimidazole-2(3H)-thione (2)
3.1.2. General Procedure for the Synthesis of Compounds 3a–c
3.1.3. General Procedure for the Synthesis of Compounds 4a–i
3.1.4. General Procedure for the Synthesis of Compound 5
3.2. Urease Expression and Purification
3.2.1. Cloning and Transmission of Purified PCR Product
3.2.2. Insert Released of Urease C gene from the Recombinant Plasmid
3.2.3. Sub-Cloning of the Urease Gene into Expression Vector
3.2.4. Recombinant Urease C Enzyme Extraction and Purification
3.2.5. Recombinant Urease Concentration and Specific Activity Determination
3.2.6. Urease Assay and Inhibition on the Recombinant Urease C
3.3. Docking Studies
3.4. Toxicity Studies
3.5. ADMET Analysis
3.6. In Vitro Cytotoxicity Assay
4. Conclusions
Supplementary Materials
Author Contributions
Funding
Institutional Review Board Statement
Informed Consent Statement
Data Availability Statement
Acknowledgments
Conflicts of Interest
References
- Mazzei, L.; Musiani, F.; Ciurli, S. Urease. In The Biological Chemistry of Nickel; Royal Society of Chemistry: London, UK, 2017; pp. 60–97. [Google Scholar]
- Polacco, J.C.; Holland, M.A. Roles of urease in plant cells. Int. Rev. Cytol. 1993, 145, 65–103. [Google Scholar]
- Bury-Moné, S.; Skouloubris, S.; Labigne, A.; De Reuse, H. The Helicobacter pylori UreI protein: Role in adaptation to acidity and identification of residues essential for its activity and for acid activation. Mol. Microbiol. 2001, 42, 1021–1034. [Google Scholar] [CrossRef] [PubMed]
- Sissons, C.; Yakub, S. Suppression of urease levels in Streptococcus salivarius by cysteine, related compounds and by sulfide. Oral Microbiol. Immunol. 2000, 15, 317–324. [Google Scholar] [CrossRef] [PubMed]
- Paczosa, M.K.; Mecsas, J. Klebsiella pneumoniae: Going on the offense with a strong defense. Microbiol. Mol. Biol. Rev. 2016, 80, 629–661. [Google Scholar] [CrossRef] [PubMed] [Green Version]
- Rosenstein, I.J.; Hamilton-Miller, J.; Musher, D.M. Inhibitors of urease as chemotherapeutic agents. CRC Crit. Rev. Microbiol. 1984, 11, 1–12. [Google Scholar] [CrossRef] [PubMed]
- Mobley, H.; Island, M.D.; Hausinger, R.P. Molecular biology of microbial ureases. Microbiol. Rev. 1995, 59, 451–480. [Google Scholar] [CrossRef]
- Arfan, M.; Ali, M.; Ahmad, H.; Anis, I.; Khan, A.; Choudhary, M.I.; Shah, M.R. Urease inhibitors from Hypericum oblongifolium WALL. J. Enzym. Inhib. Med. Chem. 2010, 25, 296–299. [Google Scholar] [CrossRef] [Green Version]
- Bremner, J. Recent research on problems in the use of urea as a nitrogen fertilizer. Nitrogen Econ. Trop. Soils 1995, 42, 321–329. [Google Scholar]
- Zaborska, W.; Krajewska, B.; Kot, M.; Karcz, W. Quinone-induced inhibition of urease: Elucidation of its mechanisms by probing thiol groups of the enzyme. Bioorganic Chem. 2007, 35, 233–242. [Google Scholar] [CrossRef]
- Salar, U.; Nizamani, A.; Arshad, F.; Khan, K.M.; Fakhri, M.I.; Perveen, S.; Ahmed, N.; Choudhary, M.I. Bis-coumarins; non-cytotoxic selective urease inhibitors and antiglycation agents. Bioorganic Chem. 2019, 91, 103170. [Google Scholar] [CrossRef]
- Amtul, Z.; Rasheed, M.; Choudhary, M.I.; Rosanna, S.; Khan, K.M. Kinetics of novel competitive inhibitors of urease enzymes by a focused library of oxadiazoles/thiadiazoles and triazoles. Biochem. Biophys. Res. Commun. 2004, 319, 1053–1063. [Google Scholar] [CrossRef] [PubMed]
- Channar, P.A.; Saeed, A.; Afzal, S.; Hussain, D.; Kalesse, M.; Shehzadi, S.A.; Iqbal, J. Hydrazine clubbed 1,3-thiazoles as potent urease inhibitors: Design, synthesis and molecular docking studies. Mol. Divers. 2020, 25, 1–13. [Google Scholar] [CrossRef] [PubMed]
- Uesato, S.; Hashimoto, Y.; Nishino, M.; Nagaoka, Y.; Kuwajima, H. N-substituted hydroxyureas as urease inhibitors. Chem. Pharm. Bull. 2002, 50, 1280–1282. [Google Scholar] [CrossRef] [PubMed] [Green Version]
- Fishbein, W.N. Formamide: The minimum-structure substrate for urease. Biochim. Biophys. Acta (BBA)-Enzymol. 1977, 484, 433–442. [Google Scholar] [CrossRef]
- Benini, S.; Rypniewski, W.; Wilson, K.; Ciurli, S.; Mangani, S. The complex of Bacillus pasteurii urease with β-mercaptoethanol from X-ray data at 1.65-Å resolution. JBIC J. Biol. Inorg. Chem. 1998, 3, 268–273. [Google Scholar] [CrossRef]
- Ohta, T.; Shibata, H.; Kawamori, T.; Iimuro, M.; Sugimura, T.; Wakabayashi, K. Marked reduction of Helicobacter pylori-induced gastritis by urease inhibitors, acetohydroxamic acid and flurofamide, in Mongolian gerbils. Biochem. Biophys. Res. Commun. 2001, 285, 728–733. [Google Scholar] [CrossRef]
- Christianson, C.; Byrnes, B.; Carmona, G. A comparison of the sulfur and oxygen analogs of phosphoric triamide urease inhibitors in reducing urea hydrolysis and ammonia volatilization. Fertil. Res. 1990, 26, 21–27. [Google Scholar] [CrossRef]
- Benini, S.; Rypniewski, W.R.; Wilson, K.S.; Mangani, S.; Ciurli, S. Molecular details of urease inhibition by boric acid: Insights into the catalytic mechanism. J. Am. Chem. Soc. 2004, 126, 3714–3715. [Google Scholar] [CrossRef]
- Salvador, J.A.; Figueiredo, S.A.; Pinto, R.M.; Silvestre, S.M. Bismuth compounds in medicinal chemistry. Future Med. Chem. 2012, 4, 1495–1523. [Google Scholar] [CrossRef]
- Khan, K.M.; Rahim, F.; Khan, A.; Shabeer, M.; Hussain, S.; Rehman, W.; Taha, M.; Khan, M.; Perveen, S.; Choudhary, M.I. Synthesis and structure–activity relationship of thiobarbituric acid derivatives as potent inhibitors of urease. Bioorganic Med. Chem. 2014, 22, 4119–4123. [Google Scholar] [CrossRef]
- Wang, X.J.; Xi, M.Y.; Fu, J.H.; Zhang, F.R.; Cheng, G.F.; You, Q.D. Synthesis, biological evaluation and SAR studies of benzimidazole derivatives as H1-antihistamine agents. Chin. Chem. Lett. 2012, 23, 707–710. [Google Scholar] [CrossRef]
- Palit, R.; Kumar, R.; Saraswat, N.; Wal, A.; Upadhyaya, P. Benzimidazole: An Overview. Int. J. Res. Ayurveda Pharm. 2017, 7, 68–73. [Google Scholar] [CrossRef]
- Sreena, K.; Ratheesh, R.; Rachana, M.; Poornima, M.; Shyni, C. Synthesis and anthelmintic activity of benzimidazole derivatives. Hygei 2009, 1, 21. [Google Scholar]
- Preethi, P.J.; Karthikeyan, E.; Lohita, M.; Teja, P.G.; Subhash, M.; Shaheena, P.; Prashanth, Y.; Sai, N.K. Benzimidazole: An important scaffold in drug discovery. Asian J. Pharm. Technol. 2015, 5, 138–152. [Google Scholar] [CrossRef]
- Tonelli, M.; Simone, M.; Tasso, B.; Novelli, F.; Boido, V.; Sparatore, F.; Paglietti, G.; Pricl, S.; Giliberti, G.; Blois, S. Antiviral activity of benzimidazole derivatives. II. Antiviral activity of 2-phenylbenzimidazole derivatives. Bioorg. Med. Chem. 2010, 18, 2937–2953. [Google Scholar] [CrossRef]
- Bharadwaj, S.S.; Poojary, B.; Nandish, S.K.M.; Kengaiah, J.; Kirana, M.P.; Shankar, M.K.; Das, A.J.; Kulal, A.; Sannaningaiah, D. Efficient synthesis and in silico studies of the benzimidazole hybrid scaffold with the quinolinyloxadiazole skeleton with potential α-glucosidase inhibitory, anticoagulant, and antiplatelet activities for type-II diabetes mellitus management and treating thrombotic disorders. ACS Omega 2018, 3, 12562–12574. [Google Scholar]
- Gaba, M.; Singh, S.; Mohan, C. Benzimidazole: An emerging scaffold for analgesic and anti-inflammatory agents. Eur. J. Med. Chem. 2014, 76, 494–505. [Google Scholar] [CrossRef]
- Khalafi-Nezhad, A.; Rad, M.S.; Mohabatkar, H.; Asrari, Z.; Hemmateenejad, B. Design, synthesis, antibacterial and QSAR studies of benzimidazole and imidazole chloroaryloxyalkyl derivatives. Bioorg. Med. Chem. 2005, 13, 1931–1938. [Google Scholar] [CrossRef]
- Soderlind, K.-J.; Gorodetsky, B.; Singh, A.K.; Bachur, N.R.; Miller, G.G.; Lown, J.W. Bis-benzimidazole anticancer agents: Targeting human tumour helicases. Anti-Cancer Drug Des. 1999, 14, 19–36. [Google Scholar]
- Minkara, M.S.; Ucisik, M.N.; Weaver, M.N.; Merz, K.M., Jr. Molecular dynamics study of Helicobacter pylori urease. J. Chem. Theory Comput. 2014, 10, 1852–1862. [Google Scholar] [CrossRef]
- Ha, N.-C.; Oh, S.-T.; Sung, J.Y.; Cha, K.A.; Lee, M.H.; Oh, B.-H. Supramolecular assembly and acid resistance of Helicobacter pylori urease. Nat. Struct. Biol. 2001, 8, 505–509. [Google Scholar] [CrossRef] [PubMed]
- Jabri, E.; Carr, M.B.; Hausinger, R.P.; Karplus, P.A. The crystal structure of urease from Klebsiella aerogenes. Science 1995, 268, 998–1004. [Google Scholar] [CrossRef]
- Arora, R.; Issar, U.; Kakkar, R. In Silico study of the active site of Helicobacter pylori urease and its inhibition by hydroxamic acids. J. Mol. Graph. Model. 2018, 83, 64–73. [Google Scholar] [CrossRef] [PubMed]
- Sztanke, K.; Pasternak, K.; Sidor-Wójtowicz, A.; Truchlińska, J.; Jóźwiak, K. Synthesis of imidazoline and imidazo [2,1-c][1,2,4] triazole aryl derivatives containing the methylthio group as possible antibacterial agents. Bioorg. Med. Chem. 2006, 14, 3635–3642. [Google Scholar] [CrossRef] [PubMed]
- Andrzejewska, M.; Yepez-Mulia, L.; Tapia, A.; Cedillo-Rivera, R.; Laudy, A.E.; Starościak, B.J.; Kazimierczuk, Z. Synthesis, and antiprotozoal and antibacterial activities of S-substituted 4,6-dibromo-and 4,6-dichloro-2-mercaptobenzimidazoles. Eur. J. Pharm. Sci. 2004, 21, 323–329. [Google Scholar] [CrossRef]
- Bickley, J.; Owen, R.; Fraser, A.; Pounder, R. Evaluation of the polymerase chain reaction for detecting the urease C gene of Helicobacter pylori in gastric biopsy samples and dental plaque. J. Med. Microbiol. 1993, 39, 338–344. [Google Scholar] [CrossRef] [PubMed]
- Labigne, A.; Cussac, V.; Courcoux, P. Shuttle cloning and nucleotide sequences of Helicobacter pylori genes responsible for urease activity. J. Bacteriol. 1991, 173, 1920–1931. [Google Scholar] [CrossRef] [PubMed] [Green Version]
- Basiri, H.; Mousavi, S.L.; Rasouli, I.; Basiri, M.; Yadgarinia, D. Elicitation of IgY in chicken egg yolk by recombinant fragments of UreC and its efficacy against Helicobacter pylori. Iran. J. Clin. Infect. Dis. 2010, 2, 89–95. [Google Scholar]
- El-Hefnawy, M.E.; Sakran, M.; Ismail, A.I.; Aboelfetoh, E.F. Extraction, purification, kinetic and thermodynamic properties of urease from germinating Pisum Sativum L. seeds. BMC Biochem. 2014, 15, 15. [Google Scholar] [CrossRef] [Green Version]
- Tekiner, P.; Perçin, I.; Ergün, B.; Yavuz, H.; Aksöz, E. Purification of urease from jack bean (Canavalia ensiformis) with copper (II) chelated poly (hydroxyethyl methacrylate-N-methacryloyl-(l)-histidine methyl ester) cryogels. J. Mol. Recognit. 2012, 25, 549–554. [Google Scholar] [CrossRef]
- Ardekani, L.S.; Gargari, S.L.M.; Rasooli, I.; Bazl, M.R.; Mohammadi, M.; Ebrahimizadeh, W.; Bakherad, H.; Zare, H. A novel nanobody against urease activity of Helicobacter pylori. Int. J. Infect. Dis. 2013, 17, e723–e728. [Google Scholar] [CrossRef] [PubMed] [Green Version]
- Xia, X.; Maliski, E.G.; Gallant, P.; Rogers, D. Classification of kinase inhibitors using a Bayesian model. J. Med. Chem. 2004, 47, 4463–4470. [Google Scholar] [CrossRef] [PubMed] [Green Version]
- BIOVIA. QSAR, ADMET and Predictive Toxicology. Available online: https://www.3dsbiovia.com/products/collaborative-science/biovia-discovery-studio/qsar-admet-and-predictive-toxicology.html (accessed on 8 November 2021).
- Maniatis, T. Molecular cloning. Decontam. Dilute Solut. Ethidium Bromide 1989. [Google Scholar]
- Bradford, M.M. A rapid and sensitive method for the quantitation of microgram quantities of protein utilizing the principle of protein-dye binding. Anal. Biochem. 1976, 72, 248–254. [Google Scholar] [CrossRef]
- Weatherburn, M. Phenol-hypochlorite reaction for determination of ammonia. Anal. Chem. 1967, 39, 971–974. [Google Scholar] [CrossRef]
- Mohammed, S.O.; Elshahaby, O.; Hafez, E.E.; Mohammed, A.; Ahmed, E. Characterization and purification of urease enzyme from new proteus mirabilis strain. J. Adv. Sci. Res 2014, 5, 08–11. [Google Scholar]
- Eissa, I.H.; Metwaly, A.M.; Belal, A.; Mehany, A.B.; Ayyad, R.R.; El-Adl, K.; Mahdy, H.A.; Taghour, M.S.; El-Gamal, K.M.; El-Sawah, M.E. Discovery and antiproliferative evaluation of new quinoxalines as potential DNA intercalators and topoisomerase II inhibitors. Arch. Pharm. 2019, 352, 1900123. [Google Scholar] [CrossRef]
- Ibrahim, M.K.; Eissa, I.H.; Abdallah, A.E.; Metwaly, A.M.; Radwan, M.; ElSohly, M. Design, synthesis, molecular modeling and anti-hyperglycemic evaluation of novel quinoxaline derivatives as potential PPARγ and SUR agonists. Bioorg. Med. Chem. 2017, 25, 1496–1513. [Google Scholar] [CrossRef]
- Eissa, I.H.; El-Helby, A.-G.A.; Mahdy, H.A.; Khalifa, M.M.; Elnagar, H.A.; Mehany, A.B.; Metwaly, A.M.; Elhendawy, M.A.; Radwan, M.M.; ElSohly, M.A. Discovery of new quinazolin-4 (3H)-ones as VEGFR-2 inhibitors: Design, synthesis, and anti-proliferative evaluation. Bioorg. Chem. 2020, 105, 104380. [Google Scholar] [CrossRef]
- El-Helby, A.-G.A.; Sakr, H.; Ayyad, R.R.; Mahdy, H.A.; Khalifa, M.M.; Belal, A.; Rashed, M.; El-Sharkawy, A.; Metwaly, A.M.; Elhendawy, M.A. Design, synthesis, molecular modeling, in vivo studies and anticancer activity evaluation of new phthalazine derivatives as potential DNA intercalators and topoisomerase II inhibitors. Bioorg. Chem. 2020, 103, 104233. [Google Scholar] [CrossRef]
- El-Adl, K.; El-Helby, A.-G.A.; Ayyad, R.R.; Mahdy, H.A.; Khalifa, M.M.; Elnagar, H.A.; Mehany, A.B.; Metwaly, A.M.; Elhendawy, M.A.; Radwan, M.M. Design, synthesis, and anti-proliferative evaluation of new quinazolin-4 (3H)-ones as potential VEGFR-2 inhibitors. Bioorg. Med. Chem. 2021, 29, 115872. [Google Scholar] [CrossRef] [PubMed]
- Eissa, I.H.; Ibrahim, M.K.; Metwaly, A.M.; Belal, A.; Mehany, A.B.; Abdelhady, A.A.; Elhendawy, M.A.; Radwan, M.M.; ElSohly, M.A.; Mahdy, H.A. Design, molecular docking, in vitro, and in vivo studies of new quinazolin-4 (3H)-ones as VEGFR-2 inhibitors with potential activity against hepatocellular carcinoma. Bioorg. Chem. 2021, 107, 104532. [Google Scholar] [CrossRef] [PubMed]
- Zhanzhaxina, A.; Suleimen, Y.; Metwaly, A.M.; Eissa, I.H.; Elkaeed, E.B.; Suleimen, R.; Ishmuratova, M.; Akatan, K.; Luyten, W. In vitro and in silico cytotoxic and antibacterial activities of a diterpene from cousinia alata schrenk. J. Chem. 2021, 2021, 5542455. [Google Scholar] [CrossRef]
- Alesawy, M.S.; Abdallah, A.E.; Taghour, M.S.; Elkaeed, E.B.; H Eissa, I.; Metwaly, A.M. In Silico Studies of Some Isoflavonoids as Potential Candidates against COVID-19 Targeting Human ACE2 (hACE2) and Viral Main Protease (Mpro). Molecules 2021, 26, 2806. [Google Scholar] [CrossRef]
- Parmar, D.R.; Soni, J.Y.; Guduru, R.; Rayani, R.H.; Kusurkar, R.V.; Vala, A.G.; Talukdar, S.N.; Eissa, I.H.; Metwaly, A.M.; Khalil, A. Discovery of new anticancer thiourea-azetidine hybrids: Design, synthesis, in vitro antiproliferative, SAR, in silico molecular docking against VEGFR-2, ADMET, toxicity, and DFT studies. Bioorg. Chem. 2021, 115, 105206. [Google Scholar] [CrossRef]
- Yousef, R.G.; Sakr, H.M.; Eissa, I.H.; Mehany, A.B.; Metwaly, A.M.; Elhendawy, M.A.; Radwan, M.M.; ElSohly, M.A.; Abulkhair, H.S.; El-Adl, K. New quinoxaline-2 (1 H)-ones as potential VEGFR-2 inhibitors: Design, synthesis, molecular docking, ADMET profile and anti-proliferative evaluations. New J. Chem. 2021, 45, 16949–16964. [Google Scholar] [CrossRef]
- El-Demerdash, A.; Metwaly, A.M.; Hassan, A.; El-Aziz, A.; Mohamed, T.; Elkaeed, E.B.; Eissa, I.H.; Arafa, R.K.; Stockand, J.D. Comprehensive virtual screening of the antiviral potentialities of marine polycyclic guanidine alkaloids against SARS-CoV-2 (COVID-19). Biomolecules 2021, 11, 460. [Google Scholar] [CrossRef]
- El-Adl, K.; Sakr, H.M.; Yousef, R.G.; Mehany, A.B.; Metwaly, A.M.; Elhendawy, M.A.; Radwan, M.M.; ElSohly, M.A.; Abulkhair, H.S.; Eissa, I.H. Discovery of new quinoxaline-2 (1H)-one-based anticancer agents targeting VEGFR-2 as inhibitors: Design, synthesis, and anti-proliferative evaluation. Bioorg. Chem. 2021, 114, 105105. [Google Scholar] [CrossRef]
- Jalmakhanbetova, R.; Elkaeed, E.B.; Eissa, I.H.; Metwaly, A.M.; Suleimen, Y.M. Synthesis and Molecular Docking of Some Grossgemin Amino Derivatives as Tubulin Inhibitors Targeting Colchicine Binding Site. J. Chem. 2021, 2021, 5586515. [Google Scholar] [CrossRef]
- Borenfreund, E.; Puerner, J.A. Toxicity determined in vitro by morphological alterations and neutral red absorption. Toxicol. Lett. 1985, 24, 119–124. [Google Scholar] [CrossRef]













| Compound | H. pylori Urease | J. bean Urease | ||||||
|---|---|---|---|---|---|---|---|---|
| IC50 mM | Vmax µmol/min | Km (mM) | Type of Inhibition | IC50 mM | Vmax µmol/min | Km (mM) | Type of Inhibition | |
| 2 | 0.11 ± 0.048 | 1.54 ± 0.057 | 0.04 ± 0.064 | NC | 0.26 ± 0.008 | 1.53 ± 0.005 | 0.01 ± 0.008 | NC |
| 5 | 0.01 ± 0.004 | 1.52 ± 0.024 | 0.04 ± 0.016 | UC | 0.29 ± 0.018 | 1.60 ± 0.04 | 0.01 ± 0.003 | NC |
| Compound | ∆G (Kcal. Mol−1) |
|---|---|
| 2 | −13.89 |
| 5 | −17.20 |
| HAE | −7.78 |
| Comp. | BBB Level a | Solubility Level b | Absorption Level c | CYP2D6 Prediction d | PPB Prediction e |
|---|---|---|---|---|---|
| 2 | 2 | 3 | 0 | false | false |
| 5 | 1 | 3 | 0 | false | true |
| HAE | 4 | 5 | 1 | false | false |
| Comp. | Carcinogenic Potency TD50 Rat a | Rat Maximum Tolerated Dose (Feed) b | Rat Oral LD50 b | Rat Chronic LOAEL b | Skin Irritancy | Ocular Irritancy |
|---|---|---|---|---|---|---|
| 2 | 74.796 | 0.115 | 0.271 | 0.069 | Irritant | Irritant |
| 5 | 127.982 | 0.072 | 0.314 | 0.034 | Irritant | Irritant |
| HAE | 82.223 | 0.135 | 1.090 | 0.423 | Non-Irritant | Irritant |
| Conc. (µM) | % Inhibition | |
|---|---|---|
| Compd 2 | Compd 5 | |
| 0.123 | 82.5 | 53.55 |
| 0.064 | 80.6 | 52.07 |
| 0.031 | 49.5 | 26.22 |
| 0.015 | 49.35 | 4.6 |
| 0.007 | 44.03 | −15.9 |
| 0.003 | 40.42 | −28.81 |
| 0.009 | 20.01 | −61.25 |
Publisher’s Note: MDPI stays neutral with regard to jurisdictional claims in published maps and institutional affiliations. |
© 2022 by the authors. Licensee MDPI, Basel, Switzerland. This article is an open access article distributed under the terms and conditions of the Creative Commons Attribution (CC BY) license (https://creativecommons.org/licenses/by/4.0/).
Share and Cite
Mohammed, S.O.; El Ashry, S.H.E.; Khalid, A.; Amer, M.R.; Metwaly, A.M.; Eissa, I.H.; Elkaeed, E.B.; Elshobaky, A.; Hafez, E.E. Expression, Purification, and Comparative Inhibition of Helicobacter pylori Urease by Regio-Selectively Alkylated Benzimidazole 2-Thione Derivatives. Molecules 2022, 27, 865. https://doi.org/10.3390/molecules27030865
Mohammed SO, El Ashry SHE, Khalid A, Amer MR, Metwaly AM, Eissa IH, Elkaeed EB, Elshobaky A, Hafez EE. Expression, Purification, and Comparative Inhibition of Helicobacter pylori Urease by Regio-Selectively Alkylated Benzimidazole 2-Thione Derivatives. Molecules. 2022; 27(3):865. https://doi.org/10.3390/molecules27030865
Chicago/Turabian StyleMohammed, Salih Osman, Sayed H. El El Ashry, Asaad Khalid, Mohamed R. Amer, Ahmed M. Metwaly, Ibrahim H. Eissa, Eslam B. Elkaeed, Ahmed Elshobaky, and Elsayed E. Hafez. 2022. "Expression, Purification, and Comparative Inhibition of Helicobacter pylori Urease by Regio-Selectively Alkylated Benzimidazole 2-Thione Derivatives" Molecules 27, no. 3: 865. https://doi.org/10.3390/molecules27030865
APA StyleMohammed, S. O., El Ashry, S. H. E., Khalid, A., Amer, M. R., Metwaly, A. M., Eissa, I. H., Elkaeed, E. B., Elshobaky, A., & Hafez, E. E. (2022). Expression, Purification, and Comparative Inhibition of Helicobacter pylori Urease by Regio-Selectively Alkylated Benzimidazole 2-Thione Derivatives. Molecules, 27(3), 865. https://doi.org/10.3390/molecules27030865

