Abstract
Determination of valproic acid in the drug was carried out on the aluminum silica gel 60F254 plates and using acetone–water–chloroform–ethanol–ammonia at a volume ratio of 30:1:8:5:11 as the mobile phase, respectively. Two methods of detection of valproic acid were used. The first was a 2% aqueous CuSO4×5H2O solution, and the second was a 2′,7′-dichlorofluorescein-aluminum chloride-iron (III) chloride system. The applied TLC-densitometric method is selective, linear, accurate, precise, and robust, regardless of the visualizing reagent used for the determination of valproic acid in Convulex capsules. It has low limits of detection (LOD) and limits of quantification (LOQ), which are equal to 5.8 μg/spot and 17.4 μg/spot using a 2% aqueous CuSO4×5H2O solution as visualizing agent and also 0.32 μg/spot and 0.97 μg/spot using a 2′,7′-dichlorofluorescein-aluminum chloride-iron (III) chloride system as visualizing reagent, respectively. The described analytical method can additionally be used to study the identity of valproic acid in a pharmaceutical preparation. The linearity range was found to be 20.00–80.00 μg/spot and 1.00–2.00 μg/spot for valproic acid detected on chromatographic plates using a 2% aqueous CuSO4×5H2O solution and the 2′,7′-dichlorofluorescein-aluminum chloride-iron (III) chloride system, respectively. A coefficient of variation that was less than 3% confirms the satisfactory accuracy and precision of the proposed method. The results of the assay of valproic acid equal 96.2% and 97.0% in relation to the label claim that valproic acid fulfill pharmacopoeial requirements. The developed TLC-densitometric method can be suitable for the routine analysis of valproic acid in pharmaceutical formulations. The proposed TLC-densitometry may be an alternative method to the modern high-performance liquid chromatography and square wave voltammetry in the control of above-mentioned substances, and it can be applied when other analytical techniques is not affordable in the laboratory.
1. Introduction
Valproic acid (Figure 1) and its salts are drugs with anticonvulsant activity used in the treatment of severe neurological diseases. They have also found application in the treatment of mania in bipolar disorder [1]. Valproic acid alleviates central nervous system (CNS) injuries and improves functional results after acute CNS damage by multiple pathways, including anti-inflammatory, anti-apoptotic, and neurotrophic effects [2]. Recent reports indicate that valproic acid can be used in the treatment of breast cancer [3] and in chronic lymphocytic leukemia [4].
Figure 1.
Chemical structure of valproic acid.
Analytical methods are applied to determine the drug in human body fluids and in pharmaceutical preparations. They are useful in monitoring the therapeutic concentration of a substance, treatment progress, and side effects. Several methods for determination of valproic acid are known, namely: thin layer chromatography [5], liquid chromatography [6,7,8,9], high performance liquid chromatography [10,11,12,13,14,15,16,17,18,19,20,21,22,23,24], ultra high performance liquid chromatography [4,25,26], ultra performance liquid chromatography [27,28,29,30,31], gas chromatography [4,18,32,33,34,35,36,37,38], capillary electrophoresis [39,40], voltamperometry [41], valproate-selective electrode [42], and colorimetry [43].
The vast majority of valproic acid was determined in biological samples [4,5,6,7,8,9,10,11,12,13,16,19,20,21,22,24,25,26,27,28,29,30,31,32,33,34,35,36,38,39,40]. Only a few studies report the determination of valproic acid in pharmaceutical preparations [14,17,20,23,35,37,41,42]. From the analytical point of view, the methods that do not require derivatization of valproic acid [6,7,8,9,10,11,16,17,18,19,20,22,25,26,27,28,29,33,34,35,36,37,38,39,40,41,42] seem to be important because it shortens the time of the analysis. However, very often, pre-chromatographic derivatization of valproic acid allows the obtainment of lower values of its limit of detection. Abualhasan et al. [15] obtained the lowest value of the limit of detection among all publications discussed in this work. These studies were not concerned with the determination of sodium valproate in the matrix, but were model studies. Sodium valproate was pre-chromatographically derivatized. In the proposed method, the limit of detection for sodium valproate was 4.48 × 10−9 mol/dm3, whereas among the determination of valproic acid in biological matrices, Kamalinia et al. [24] obtained the lowest value of the limit of detection after valproic acid derivatization, which was 10 ng/mL (7 × 10−8 mol/dm3) during its determination in human plasma using the HPLC technique. In turn, in pharmaceutical matrices, during the determination using the HPLC technique with coulometric electrochemical detection of derivatized valproic acid in pharmaceutical preparations, its LOD was 0.75 pmol/mL (0.75 nmol/dm3) [14]. In the other methods cited above, the LOD of valproic acid ranged from 0.026 µg/mL to 85 µg/mL (from 1.8 × 10−7 mol/dm3 to 5.89 × 10−4 mol/dm3).
The TLC method is often used in the analysis of compounds with pharmacological significance due to its simplicity, low cost, and speed of analysis. The disadvantage of chromatographic methods is that substances must be isolated from biological material and separated. Until now, only one paper concerning determination of valproic acid in plasma by TLC has been published in the available scientific literature [5]. There are no studies of the use of TLC in the quantitative analysis of valproic acid in pharmaceutical preparations. The Polish Pharmacopoeia VIII in monographs on valproic acid describes only the study of its identity using thin-layer chromatography [44]. Methanol is the solvent used for the study. A mixture of ethyl ether and methylene chloride at a volume ratio of 50:50 (v/v) is applied as mobile phase. Bromocresol green is used for detection [44]. The Polish Pharmacopoeia VIII recommends potentiometric titration to quantitative determination of valproic acid [44], whereas the American Pharmacopoeia recommends gas chromatography for the quantification of valproic acid [45].
Corti et al. [5] extracted valproic acid from plasma in an acidic condition, which ensures selectivity. Valproic acid was derivatized in a buffer solution made by mixing potassium dihydrogen phosphate with disodium hydrogen phosphate in 200 mL of water. Reagents used for derivatization were 4-bromophenacyl bromide and 2-naphtacyl bromide. Derivatized valproic acid was analyzed on TLC and HPTLC RP8 plates and HPTLC silica gel 60F254 plates, respectively. Three different mobile phases were used: chloroform–cyclohexane (2:1, v/v) for NP-HPTLC, ethanol–water (1:0.4, v/v) for RP-HPTLC and ethanol–water (1:0.6, v/v) for RP-TLC. Densitometric analysis was performed at 280 nm and 254 nm for the naphthyl derivative and phenacyl derivative, respectively. The lower limit of detection of valproic acid in plasma was 9.70 µg/mL and 4.87 µg/mL in NP-TLC and RP-HPTLC, respectively [5].
The aim of this work was to develop the TLC-densitometric method for the determination of valproic acid in capsules of the Convulex pharmaceutical preparation.
2. Results and Discussion
2.1. Detection of Valproic Acid on a Thin Layer
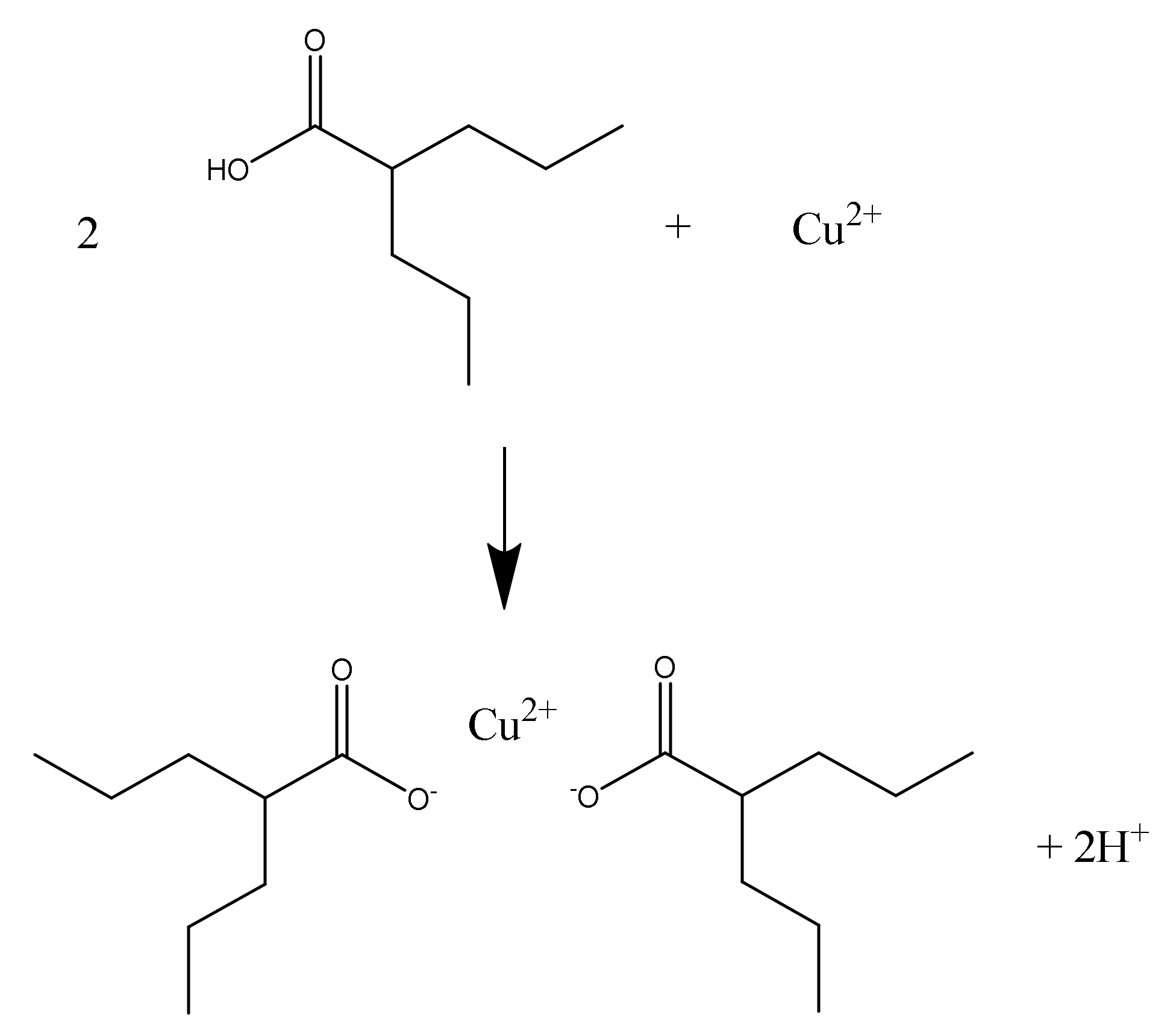
Several potential reagents for the detection of valproic acid on a thin layer were examined. The usefulness of bromocresol green, which is recommended by pharmacopoeial elaborations [44] for study the identity of valproic acid, was assessed. It has been shown that bromocresol green can be used for qualitative analysis of valproic acid, but it is not suitable for quantitative analysis. The photo (Figure S1) of the plate after detection with bromocresol green and the obtained results of the densitometric analysis (Figure S2) are included in the Supplementary Materials. The valproic acid derivatization method used by Corti et al. [5] is not described precisely, which means that the experiment could not be repeated. The method of valproic acid detection with the use of an aqueous CuSO4 solution proposed in our work does not require valproic acid derivatization, which shortens the analysis time. The 2′,7′-dichlorofluorescein-aluminum chloride-iron (III) chloride system for the detection of valproic acid also turned out to be useful, not by spraying the plates, as reported by Dudziński [46], but by dipping the chromatographic plates into individual solutions. Spraying the plates gave heterogeneous chromatographic spots (Figures S3 and S4), while dipping them into solutions gave contrasting spots against the background (Figure S5). However, blurring of the spots at high concentrations of valproic acid was observed, which in turn leads to tailing of the peaks on the densitogram (Figure S6). Therefore, the detection of valproic acid using the 2′,7′-dichlorofluorescein-aluminum chloride-iron (III) chloride system should be recommended for lower concentrations of valproic acid in quantitative analysis, compared to the detection of valproic acid with the use of CuSO4. When detecting valproic acid on chromatographic plate using CuSO4 solution, copper valproate is most likely formed, according to Figure 2:
Figure 2.
Detection scheme of valproic acid using CuSO4 solution.
When detecting valproic acid on chromatographic plate with the 2′,7′-dichlorofluorescein-aluminum chloride-iron (III) chloride system, the interactions are difficult to determine due to the complexity of the visualizing reagent.
2.2. Selectivity
The selectivity of the method was established by comparing the RF values of the valproic acid standard and valproic acid coming from Convulex drug samples and their spectrodensitograms. The RF values of the valproic acid standard and valproic acid coming from Convulex drug samples were 0.57 ± 0.05 in each case. Compatibility in RF values (Figures 3, 4, 6 and 7) was obtained (RF is always equal to 0.57 ± 0.05) and in the spectra of valproic acid standard and valproic acid coming from the Convulex drug (Figures 5 and 8) detected on the chromatographic plate by both detection methods, i.e., A (valproic acid detected using 2% CuSO4 solution) and B (valproic acid detected with 2′,7′-dichlorofluorescein-aluminum chloride-iron [III] chloride). It can be concluded that TLC technique combined with densitometric analysis can be used for the quantitative determination of valproic acid in pharmaceutical preparations by analyzing the densitogram of valproic acid coming from Convulex capsules and comparing their spectra. There are no noticeable impurities in the analysis, and the quantitative analysis is based on the measurement of the area of the chromatographic bands. Densitograms and spectrodensitograms are shown in Figure 3, Figure 4, Figure 5, Figure 6, Figure 7 and Figure 8. Thin layer chromatography combined with densitometry is highly selective for the determination of valproic acid in capsules.
Figure 3.
The densitogram of valproic acid standard with RF = 0.57 ± 0.05 after detection with 2% CuSO4 solution (detection A).
Figure 4.
The densitogram of valproic acid coming from the drug with RF = 0.57 ± 0.05 after detection with 2% CuSO4 solution (detection A).
Figure 5.
Comparison of the spectrodensitograms of valproic acid standard and valproic acid coming from the drug after detection with 2% CuSO4 solution (detection A).
Figure 6.
The densitogram of valproic acid standard with RF = 0.57 ± 0.05 after detection with 2′,7′-dichlorofluorescein-aluminum chloride-iron (III) chloride system (detection B).
Figure 7.
The densitogram of valproic acid coming from drug with RF = 0.57 ± 0.05 after detection with 2′,7′-dichlorofluorescein-aluminum chloride-iron (III) chloride system (detection B).
Figure 8.
Comparison of the spectrodensitograms of valproic acid standard and valproic acid coming from the drug after detection with 2′,7′-dichlorofluorescein-aluminum chloride-iron (III) chloride system (detection B).
The results of the validation of the TLC combined with densitometry are presented in Table 1 and Table 2.
Table 1.
Method-validation data for the quantitative determination of valproic acid by NP-TLC with densitometry using 2% solution of CuSO4 as visualizing reagent.
Table 2.
Method-validation data for the quantitative determination of valproic acid by NP-TLC with densitometry using 2′,7′-dichlorofluorescein-aluminum chloride-iron (III) chloride as visualizing reagent.
2.3. Linearity
The linearity of the method was determined by measuring the peak area of the chromatographic bands (Tables S1 and Table S2). The linear range was defined between the area of the spots [AU] and the concentration of the valproic acid standard solutions [µg/spot]. Standard concentrations of valproic acid are in the linear range from 20–80 µg/spot (in the case of valproic acid detected with 2% CuSO4 solution) and from 1.0–2.0 µg/spot (after detection with the 2′,7′-dichlorofluorescein-aluminum chloride-iron [III] chloride system). Calibration curves are presented in Figures S8 and S9. These results confirm linearity of obtained calibration plots. The adopted TLC-densitometric method allows to quantity of valproic acid in two concentration ranges.
2.4. Precision
The precision of the method was determined as the coefficient of variation CV (%) based on the data from the measurement of the valproic acid chromatographic bands. Coefficients of variation for intraday and interday precision ranged from 1.18–2.48% and 1.16–2.89% for valproic acid detected with 2% CuSO4 solution, respectively. However, the coefficients of variation for intraday and interday precision ranged from 0.99%–2.22% and 1.86%–2.08% for valproic acid detected using the 2′,7′-dichlorofluorescein-aluminum chloride-iron (III) chlorid system, respectively. The value of the coefficient of variation was < 3% in all cases, which allows to conclude that the analytical method is precise in the quantitative determination of valproic acid in capsules.
2.5. Accuracy
The accuracy of the method was evaluated by the measurement of recovery by adding 80%, 100%, and 120% of the valproic acid standard to the drug samples, respectively. The value of the coefficient of variation CV (%) was <1% and <2% in the case of valproic acid detected with 2% CuSO4 solution and 2′,7′-dichlorofluorescein-aluminum chloride-iron (III) chlorid system, respectively. The value of coefficient of variation was <2% in each case, which allows to state that the analytical method is accurate in the quantitative determination of valproic acid in capsules.
2.6. Limit of Detection (LOD) and Limit of Quantification (LOQ)
2.7. Robustness
Table 3 shows the results of the robustness of the method for the five changed chromatographic parameters. The coefficients of variation (CV, %) of chromatographic peak areas of valproic acid were ≤1.12% when changing each of the chromatographic parameters. This indicates that the method is robust regardless of the way of valproic acid detection used (detection A and B).
Table 3.
Robustness of the proposed method for the determination of valproic acid in the drug using 2% CuSO4 solution (detection A) and 2′,7′-dichlorofluorescein-aluminum chloride-iron (III) chloride as visualizing reagent (detection B).
2.8. Quantitative Determination of Valproic Acid in Capsules
Valproic acid content in the capsules was calculated using the calibration curve equations presented in Table 1 and Table 2. The statistical data are summarized in Table 4. It was stated that valproic acid contents in capsules, which were determined by the TLC-densitometric method, and using aluminum silica gel plates and acetone–water–chloroform–ethanol–ammonia (30:1:8:5:11) mobile phase and using 2% CuSO4 solution and also 2′,7′-dichlorofluorescein-aluminum chloride-iron (III) chloride as a visualizing reagents, were equal to 96.2% and 97.0% in the relation to label claim, respectively. According to American Pharmacopeia the content of valproic acid in capsules should be in the range 90.0–110.0% [45]. Thus, the determined valproic acid contents are within the range given in the Pharmacopoeial monograph. The statistical data comparing the two valproic acid detection methods indicate that they can be used interchangeably depending on the amount of valproic acid in the sample. The coefficients of variance were smaller than 3% in each case. High reproducibility and insignificant differences between the two compared methods were obtained at the 95% probability level for t-test and F-test of significance of 0.893 < 2.101 and 2.39 < 3.18.
Table 4.
Valproic acid assay [mg/capsule] obtained from ten repeated different analysis of by TLC-densitometric using A and B detection methods.
2.9. Comparison of the Limit of Detection of Valproic Acid Obtained in This Work with Literature Methods
The limit of detection of analyzed valproic acid in this work by TLC technique was compared with the available literature data, in which valproic acid was also determined using various analytical methods. This comparison is summarized in Table 5. This table shows the limits of detection of valproic acid in units in accordance with the cited publications and converted to mol/dm3. When comparing the limits of detection in mol/dm3, it should be stated that the lowest LOD value (0.75 × 10−9 mol/dm3) was obtained by Bousquet et al. [14], who used the HPLC method with coulometric electrochemical detection. The limits of detection of valproic acid obtained in this study have higher values than those cited in this table. The values of the limit of detection of valproic acid obtained in this work by TLC using the 2′,7′-dichlorofluorescein-aluminum chloride-iron (III) chloride system have similar values to the limit of detection values obtained during the determination of valproic acid in pharmaceutical preparations using the RP-HPLC [20] and square wave voltammetry [41].
Table 5.
Comparison of the limit of detection of valproic acid determined in pharmaceutical preparations.
3. Materials and Methods
3.1. Preparation of Standard Solutions of Valproic Acid
A standard solution of valproic acid (European Pharmacopoeia (EP) Reference Standard, Sigma-Aldrich, St Louis, MO, USA) at concentration of 100 mg/mL was prepared in acetonitrile. Next, a series of dilutions of valproic acid was prepared to obtain the following concentrations: 90, 80, 70, 60, 50, 40, 30, 20, 15, 10, 7.5, 6.0, 5.0, 4.0, 3.0, 2.0, 1.9, 1.8, 1.7, 1.6, 1.5, 1.4, 1.3, 1.2, 1.1, 1.0, 0.9, 0.8, 0.7 0.6, 0.5, 0.4, 0.3, 0.2, 0.1, 0.08, 0.06, and 0.04 mg/5 mL. The solutions of valproic acid (5 µL) were spotted manually on the chromatographic plates. All chemicals and reagents for TLC method were analytical grade and were purchased from POCh (Gliwice, Poland) or Merck (Darmstat, Germany).
3.2. Preparation of the Drug Solution
Two capsules of Convulex 300 mg were cut open and their contents were transferred to a crystallizer. Next, the capsules were rinsed with acetonitrile (solvent). The content of the crystallizer was filtered to a volumetric flask (50 mL), rinsed thoroughly with acetonitrile and replenished with the use of the same solvent to demanded volume. The obtained solution had a concentration of 60 mg/5 mL. Next, the obtained solution was diluted to receive the appropriate concentrations: 40 mg/5 mL, 20 mg/5 mL, 1.2 mg/5 mL, 1.5 mg/5 mL, and 1.8 mg/5 mL. The 5 µL of each of these solutions was spotted onto the chromatographic plates.
3.3. TLC Conditions
The determination of valproic acid was carried out on aluminum silica gel 60F254 plates (20 × 10 cm). Before use, the plates were activated at 120 °C for 30 min. The standard and drug solutions in the amount of 5 µL were spotted onto the chromatographic plates.
The following mobile phases were studied:
- (1)
- n-hexane-acetone (4:1);
- (2)
- acetone-water-chloroform-ethanol-ammonia (30:1:3:5:11);
- (3)
- chloroform-cyclohexane (2:1);
and phase (2) modifications, namely:
- (2a)
- acetone-water-chloroform-ethanol-ammonia (20:1:3:5:11);
- (2b)
- acetone-water-chloroform-ethanol-ammonia (30:1:5:5:11);
- (2c)
- acetone-water-chloroform-ethanol-ammonia (30:1:3:1:11);
- (2d)
- acetone-water-chloroform-ethanol-ammonia (30:1:8:5:11).
The 2d mobile phase was chosen as the best and was used for further study. Using this mobile phase, compact chromatographic bands were obtained (Figure 3, Figure 4, Figure 7, Figure 8, Figure S1, Figure S3 and Figure S5).
The plates were developed vertically at room temperature (20 °C) to a distance of 7.5 cm and then dried for 24 h at room temperature (20 °C) in a fume cupboard.
Two different methods of valproic acid detection were used in the work. Namely, the chromatographic plates were immersed for 5 s to:
- (A)
- 2% aqueous CuSO4×5H2O solution and dried at 120 °C for 6 min;
- (B)
- The visualizing reagent previously described for free acids detection [46] was also used, namely, 2′,7′-dichlorofluorescein-aluminum chloride-iron (III) chloride system.
Solution I, 0.05% 2′,7′-dichlorofluorescein in ethanol; solution II, 1% ethanolic solution of aluminum chloride; and solution III, 1% aqueous solution of iron(III) chloride, were used as visualizing reagents. Plates were dipped in solution I and dried for 3 min at 100 °C, before being dipped in solution II and dried again for 3 min. Finally, plates were dipped in solution III.
3.4. Densitometric and Spectrodensitometric Analysis
Densitometric and spectrodensitometric measurements were performed using a TLC Scanner 3 (Camag, Switzerland) densitometer. The radiation sources were deuterium and tungsten lamps. The spectrodensitometric analysis was performed in wavelength range from 200 to 800 nm. The scanning speed was 20 mm/s, the slit dimension was 12 × 0.4 mm, and the data resolution was 100 µm/step. Densitometric scanning of plates with this densitometer and winCATS 1.4.2 software was performed at the optimal wavelength of 650 nm and 550 nm, after CuSO4×5H2O detection and the 2′,7′-dichlorofluorescein-aluminum chloride-iron (III) chloride system, respectively.
3.5. Validation of TLC Method
The proposed method was validated by linearity selectivity, intraday and interday precision, accuracy, limit of detection, limit of quantification, and robustness.
3.5.1. Linearity and Range
The linearity range was evaluated by analysis of standard solutions of valproic acid. The standard solutions (5 µL) were applied to the chromatographic plates activated for 30 min at the temperature of 120 °C. The plates were developed in the chromatographic chamber using acetone-water-chloroform-ethanol-ammonia (30:1:8:5:11 v/v/v/v/v) mobile phase. The chamber was saturated for 20 min. The analysis was repeated three times.
3.5.2. Intraday and Interday Precision
The precision of the method was verified by the analysis of three solutions of drug at the following concentrations: 20 mg/5 mL, 40 mg/5 mL, and 60 mg/5 mL (in the case of valproic acid detected using 2% CuSO4 solution), and 1.2 mg/5 mL, 1.5 mg/5 mL, and 1.8 mg/5 mL (in the case of valproic acid detected by 2′,7′-dichlorofluorescein-aluminum chloride-iron [III] chloride system). The intraday and interday precision was evaluated as the relative standard deviation (coefficient of variation, CV [%]).
3.5.3. Accuracy
The accuracy of the method was evaluated by the measurement of recovery. Three solutions were prepared with the addition of 80%, 100%, and 120% of the standard.
3.5.4. Limit of Detection (LOD) and Limit of Quantification (LOQ)
Limit of detection and quantification was determined by preparing three standard solutions of valproic acid at concentration of 15, 10, and 7.5 mg/5 mL (in the case of valproic acid detected with 2% CuSO4 solution), and three standard solutions of valproic acid at concentration of 1.0, 0.9, and 0.8 mg/5 mL (in the case of valproic acid detected by the 2′,7′-dichlorofluorescein-aluminum chloride-iron [III] chloride system). The LOD and LOQ calculation methodology was given in our earlier works [47,48,49]. The analyses were repeated three times.
3.5.5. Robustness
The robustness of the method was checked by examining how small changes in the chromatographic conditions affect the peak area of sample of valproic acid from the drug. The parameters changed were the acetone content in the composition of the mobile phase (±0.5 mL), the ammonia content in the composition of the mobile phase (±0.2 mL), the volume of the mobile phase used (±5 mL), the activation time of the chromatographic plate (±5 min), and the time of saturation of chromatographic chamber (±3 min). The analyses were repeated five times. Drug solutions at concentrations of 40 mg/5 mL (in the case of valproic acid detected using 2% CuSO4 solution) and 1.5 mg/5 mL (in the case of valproic acid detected by the 2′,7′-dichlorofluorescein-aluminum chloride-iron [III] chloride system) were analyzed.
3.6. Statistical Analysis
Statistical evaluation of the obtained results was prepared by Statistica v 13.0 PL (StatSoft, Kraków, Poland).
4. Conclusions
The developed thin layer chromatographic method combined with densitometric analysis for the determination of valproic acid in Convulex capsules turned out to be selective, linear, accurate, precise, and robust. The identity of the drug could be determined by analyzing the RF values and spectrodensitograms of valproic acid from capsules and the valproic acid standard. The calculated content of valproic acid in capsules was within the range given in monographs 34 of the US Pharmacopoeia (90.0–110.0%) in relation to label claim. Valproic acid contents in capsules were equal to 96.2% and 97.0% using 2% CuSO4 solution and 2′,7′-dichlorofluorescein-aluminum chloride-iron (III) chloride as the visualizing reagents in the relation to label claim, respectively. Therefore, the developed thin layer chromatographic method coupled with densitometric analysis can be successfully applied in the quantitative determination of valproic acid in capsules, both after the detection of valproic acid with CuSO4 solution and 2′,7′-dichlorofluorescein-aluminum chloride-iron (III) chloride as the visualizing reagents. Thin layer chromatography is distinguished by its simplicity, speed, and low cost compared to other methods for the determination of valproic acid. A great advantage of the developed conditions for the determination of valproic acid is the fact that there is no need to derivatize valproic acid before its analysis, which significantly shortens the analysis time. Chromatographic techniques (LC, HPLC, GC) prevail in the publications on the analysis of valproic acid described in the scientific literature. Taking into account the limit of detection values, the TLC method in combination with densitometry is comparable to RP-HPLC and square wave voltammetry methods and can be successfully used for the analysis of valproic acid in capsules, especially when there is no other analytical techniques available. The advantages of TLC are simplicity, low cost, and fast analysis results.
Supplementary Materials
The following are available online. Figure S1: Valproic acid after detection with an aqueous solution of bromocresol green; (a) dipping the plate into the solution (immediately after immersion); and (b) immersing the plate into the solution (after 6 min of drying at 120 °C). Figure S2: Densitogram of valproic acid after detection with bromocresol green. Figure S3: Valproic acid after detection by spraying with 2′,7′-dichlorofluorescein-aluminum chloride-iron (III) chloride system as a visualizing reagent. Figure S4: Densitogram of valproic acid after detection by spraying with 2′,7′-dichlorofluorescein-aluminum chloride-iron (III) chloride system as the developing reagent. Figure S5: Valproic acid after detection by immersion of the chromatographic plate in the components of the system 2′,7′-dichlorofluorescein-aluminum chloride-iron (III) chloride. Figure S6: Densitogram of valproic acid after detection by immersion of the chromatographic plate in the components of the system 2′,7′-dichlorofluorescein-aluminum chloride-iron (III) chloride (fourth lane in the above photo). Figure S7: Valproic acid after detection with 2% aqueous solution of CuSO4 by immersion of the plate. Table S1: Results of densitometric analysis of standard solutions of valproic acid (mean from n = 3) after detection with 2% aqueous solution of CuSO4 by immersion of the plate. Figure S8: Calibration curve of valproic acid after detection with 2% aqueous solution of CuSO4 by immersion of the plate. Table S2: Results of densitometric measurements of standard solutions of valproic acid (mean from n = 3) after detection by immersion of the chromatographic plate in the components of the system 2′,7′-dichlorofluorescein-aluminum chloride-iron (III) chloride. Figure S9: Calibration curve of valproic acid after detection by immersion of the chromatographic plate in the components of the system 2′,7′-dichlorofluorescein-aluminum chloride-iron (III) chloride.
Author Contributions
W.P. and A.P.-P. collected the data, and designed and wrote the manuscript, A.P.-P. and W.P. revised the manuscript. All authors have read and agreed to the published version of the manuscript.
Funding
This research was funded by Medical University of Silesia grant number PCN-1-099/K/0/F.
Institutional Review Board Statement
Not applicable.
Informed Consent Statement
Not applicable.
Data Availability Statement
Not applicable.
Conflicts of Interest
The authors declare that there are no conflicts of interest regarding the publication of this paper.
Sample Availability
Samples of the compounds are available from the authors.
References
- Cipriani, A.; Reid, K.; Young, A.H.; Macritchie, K.; Geddes, J. Valproic acid, valproate and divalproex in the maintenance treatment of bipolar disorder (Review). Cochrane Database Syst. Rev. 2013, 10, CD003196. [Google Scholar] [CrossRef]
- Chen, S.; Wu, H.; Klebe, D.; Hong, Y.; Zhang, J. Valpoic acid: A new candidate of therapeutic application for the acute central nervous system injuries. Neurochem. Res. 2014, 39, 1621–1633. [Google Scholar] [CrossRef] [PubMed]
- Wawruszak, A.; Halasa, M.; Okon, E.; Kukula-Koch, W.; Stepulak, A. Valproic acid and breast cancer: State of the art in 2021. Cancers 2021, 13, 3409. [Google Scholar] [CrossRef] [PubMed]
- Lipska, K.; Gumieniczek, A.; Pietraś, R.; Filip, A.A. HPLC-UV and GC-MS methods for determination of chlorambucil and valproic acid in plasma for further exploring a new combined therapy of chronic lymphocytic leukemia. Molecules 2021, 26, 2903. [Google Scholar] [CrossRef] [PubMed]
- Corti, P.; Cenni, A.; Corbini, G.; Dreassi, E.; Murratzu, C.; Caricchia, A.M. Thin-layer chromatography and densitometry in drug assay: Comparison of methods for monitoring valproic acid in plasma. J. Pharm. Biomed. Anal. 1990, 8, 431–436. [Google Scholar] [CrossRef]
- Gao, S.; Miao, H.; Tao, X.; Jiang, B.; Xiao, Y.; Cai, F.; Yun, Y.; Li, J. LC-MS/MS method for simultaneous determination of valproic acid and major metabolites in human plasma. J. Chromatogr. B 2011, 879, 1939–1944. [Google Scholar] [CrossRef]
- Ramakrishna, N.V.S.; Vishwottam, K.N.; Manoj, S.; Koteshwara, M.; Santosh, M.; Chidambara, J.; Ravi Kumar, B. Liquid chromatography/electrospray ionization mass spectrometry method for the quantification of valproic acid in human plasma. Rapid Commun. Mass Spectrom. 2005, 19, 1970–1978. [Google Scholar] [CrossRef]
- Mino, T.; Nakajima, M.; Wakabayashi, H.; Yamato, S.; Shimada, K. Determination of valproic acid in serum by liquid chromatography-atmospheric pressure chemical ionization mass spectrometry. Anal. Sci. 2001, 17, 999–1001. [Google Scholar] [CrossRef][Green Version]
- Matsuura, K.; Ohmori, T.; Nakamura, M.; Itoh, Y.; Hirano, K. A simple and rapid determination of valproic acid in human plasma using a non-porous silica column and liquid chromatography with tandem mass spectrometric detection. Biomed. Chromatogr. 2008, 22, 387–393. [Google Scholar] [CrossRef]
- Kondo, K.; Nakamura, M.; Nishioko, R.; Kawal, S. Direct method for determination of valproic acid in serum by high performance liquid chromatography. Anal. Sci. 1985, 1, 385–387. [Google Scholar] [CrossRef]
- Amini, H.; Javan, M.; Ahmadiani, A. Development and validation of a sensitive assay of valproic acid in human plasma by high-performance liquid chromatography without prior derivatization. J. Chromatogr. B 2006, 830, 368–371. [Google Scholar] [CrossRef] [PubMed]
- Lin, M.C.; Kou, H.S.; Chen, C.C.; Wu, S.M.; Wu, H.L. Simple and sensitive fluorimetric liquid chromatography method for the determination of valproic acid in plasma. J. Chromatogr. B 2004, 810, 169–172. [Google Scholar] [CrossRef]
- Cheng, H.; Liu, Z.; Blum, W.; Byrd, J.C.; Klisovic, R.; Grever, M.R.; Marcucci, G.; Chan, K.K. Quantification of valproic acid and its metabolite 2-propyl-4-pentenoic acid in human plasma using HPLC-MS/MS. J. Chromatogr. B 2007, 850, 206–212. [Google Scholar] [CrossRef] [PubMed]
- Bousquet, E.; Cavrini, V.; Gatti, R.; Spadaro, A. Determination of valproic acid salts in pharmaceutical preparations by high performance liquid chromatography with coulometric electrochemical detection. J. Liq. Chromatogr. Relat. Technol. 1998, 18, 2873–2886. [Google Scholar] [CrossRef]
- Abualhasan, M.; Odeh, N.W.; Younis, G.N.; Zeidan, O.F. Analytical method development for sodium valproate trough chemical derivatization. Int. J. Anal. Chem. 2020, 2020, 5672183. [Google Scholar] [CrossRef] [PubMed]
- Tonic-Ribarska, J.; Haxhiu, A.; Sterjev, Z.; Kiteva, G.; Suturkova, L.; Trajkovic-Jolevska, S. Development and validation of a bioanalytical LC-UV method with solid-phase extraction for determination of valproic acid in saliva. Acta Pharm. 2012, 62, 211–220. [Google Scholar] [CrossRef] [PubMed]
- Hassib, S.T.; Hashem, H.M.A.; Mahrouse, M.A.; Mostafa, E.A. A validated reversed-phase high-performance liquid chromatography method for simultaneous determination of five antiepileptic drugs used in the treatment of lennox-gastaut syndrome in their pharmaceutical dosage forms. Asian, J. Pharm. Clin. Res. 2018, 11, 167–173. [Google Scholar] [CrossRef]
- Nazeri, A.; Jalali, M.; Aliasgharpour, M.; Khosravie, F. Comparison of serum valproic acid determination trough gas and high performance liquid chromatography methods. Health Scope 2014, 3, e14376. [Google Scholar] [CrossRef]
- Li, W.; Peng, M.; Pan, Y.; Wu, Y.; Long, M.; Lei, L. Online column extraction coupled with double-trap column system for HPLC determination of valproic acid in human plasma without derivatization. Chromatographia 2021, 84, 1049–1056. [Google Scholar] [CrossRef]
- Elrefay, H.; Ismaiel, O.A.; Hassan, W.S.; Shalaby, A.; Fouad, A. RP-HPLC stability-indicating method for simultaneous determination of sodium valproate, methylparaben and propylparaben in oral solution. Acta Chromatogr. 2022, 34, 203–209. [Google Scholar] [CrossRef]
- Wróblewski, K.; Petruczynik, A.; Radzik, I.; Czuczwar, S.J.; Waksmundzka-Hajnos, M. Determination of selected antiepileptic drugs in mouse brain homogenates by HPLC-DAD. Acta Chromatogr. 2017, 29, 219–234. [Google Scholar] [CrossRef]
- Yaripour, S.; Zaheri, M.; Mohammadi, A. An electromembrane extraction-HPLC-UV analysis for the determination of valproic acid in human plasma. J. Chin. Chem. Soc. 2018, 65, 989–994. [Google Scholar] [CrossRef]
- Yang, G.; Wang, X.; Yang, Y.; Yang, R.; Gowetski, D.B.; Lei, Q.P. Quantitation of residual valproic acid in flu vaccine drug substance. J. Chromatogr. B 2020, 1152, 122235. [Google Scholar] [CrossRef] [PubMed]
- Kamalinia, G.; Rouini, M.R.; Ghaeli, P.; Amini, M. N-(1-Naphtyl)ethylenediamine, a new UV labeling reagent used for LC determination of valproic acid in human plasma. Chromatographia 2009, 70, 569–573. [Google Scholar] [CrossRef]
- Xu, S.; Chen, Y.; Zhao, M.; Zhao, L. Development of a simple and rapid method to measure free fraction of valproic acid in plasma using ultrafiltration and ultra high performance liquid-chromatography-mass spectrometry: Application to therapeutic drug monitoring. Ther. Drug Monit. 2017, 39, 575–579. [Google Scholar] [CrossRef]
- Zhao, M.; Zhang, T.; Li, G.; Qiu, F.; Sun, Y.; Zhao, L. Simultaneous determination of valproic acid and its major metabolites by UHPLC-MS/MS in chinese patients: Application to therapeutic drug monitoring. J. Chromatogr. Sci. 2017, 55, 436–444. [Google Scholar] [CrossRef] [PubMed]
- Velghe, S.; Stove, C.P. Volumetric absorptive microsampling as an alternative tool for therapeutic drug monitoring of first-generation anti-epileptic drugs. Anal. Bioanal. Chem. 2018, 410, 2331–2341. [Google Scholar] [CrossRef]
- Proenca, P.; Franco, J.M.; Mustra, C.; Marcos, M.; Pereira, A.R.; Corte-Real, F.; Vieira, D.N. An UPLC–MS/MS method for the determination of valproic acid in blood of a fatal intoxication case. J. Forensic Leg. Med. 2011, 18, 320–324. [Google Scholar] [CrossRef]
- Zhao, M.; Li, G.; Qiu, F.; Sun, Y.; Xu, Y.; Zhao, L. Development and validation of a simple and rapid UPLC–MS assay valproic acid and its comparison with immunoassay and HPLC methods. Ther. Drug Monit. 2016, 38, 246–252. [Google Scholar] [CrossRef]
- Orfanidis, A.; Gika, H.; Theodoridis, G.; Mastrogianni, O.; Raikos, N. Development of a UHPLC–MS/MS method for the determination of 84 pharmaceuticals and drugs of abuse in human liver. J. Chromatogr. B 2020, 1151, 122192. [Google Scholar] [CrossRef]
- Fortaner, S.; De Gyves, E.M.; Cole, T.; Lostia, A.M. Determination of in vitro metabolic hepatic clearance of valproic acid (VPA) and five analogues by UPLC-MS-QTOF, applicable in alternatives to animal testing. J. Chromatogr. B 2021, 1181, 122893. [Google Scholar] [CrossRef] [PubMed]
- Stephenson, J.B.; Flater, M.L.; Bain, L.T. Analysis of valproic acid, salicylic acid and ibuprofen in whole blood by GC-MS. J. Anal. Toxicol. 2016, 40, 649–652. [Google Scholar] [CrossRef] [PubMed]
- Fazeli-Bakhtiyari, R.; Panahi-Azar, V.; Sorouraddin, M.H.; Jouyban, A. Determination of valproic acid in human plasma using dispersive liquid-liquid microexstraction followed by gas chromatography-flame ionization detection. Iran. J. Basic Med. Sci. 2015, 18, 979–988. [Google Scholar] [CrossRef] [PubMed]
- Farajzadeh, M.A.; Farhadi, K.; Matin, A.A.; Hashemi, P.; Jouyban, A. Headspace solid-phase microexstraction-gas chromatography method for the determination of valproic acid in human serum and formulations using hollow-fiber coated wire. Anal. Sci. 2009, 25, 875–879. [Google Scholar] [CrossRef] [PubMed]
- Shahdousti, P.; Mohammadi, A.; Alizadeh, N. Determination of valproic acid in human serum and pharmaceutical preparations by headspace liquid-phase microexstraction gas chromatography-flame ionization detection without prior derivatization. J. Chromatogr. B 2007, 850, 128–133. [Google Scholar] [CrossRef]
- Nakajima, M.; Yamato, S.; Shimada, K.; Sato, S.; Kitagawa, S.; Honda, A.; Miyamoto, J.; Shoda, J.; Ohya, M.; Miyazaki, H. Assessment of drug concentrations in tears in therapeutic drug monitoring: I. determination of valproic acid in tears by gas chromatography/mass spectrometry with EC/NCI mode. Ther. Drug Monit. 2000, 22, 716–722. [Google Scholar] [CrossRef]
- Sorbi, H.R.; Kashtiaray, A.; Farahani, H.; Abrahimpour, F.; Esrafili, A. Quantitation of valproic acid in pharmaceutical preparations using dispersive liquid-liquid microextraction followed by gas chromatography-flame ionization detection without prior derivatization. Drug Test. Anal. 2010, 2, 362–366. [Google Scholar] [CrossRef]
- Gu, X.; Yu, S.; Peng, Q.; Ma, M.; Hu, Y.; Zhou, B. Determination of unbound valproic acid in plasma using centrifugal ultrafiltration and gas chromatography: Application in TDM. Anal. Biochem. 2020, 588, 113475. [Google Scholar] [CrossRef]
- Pham, T.T.T.; See, H.H.; Morand, R.; Krahenbuhl, S.; Hauser, P.C. Determination of free and total valproic acid in human plasma by capillary electrophoresis with contactless conductivity detection. J. Chromatogr. B 2012, 907, 74–78. [Google Scholar] [CrossRef]
- Pucci, V.; Mandrioli, R.; Raggi, M.A. Determination of valproic acid (2-propylpentanoic acid) in human plasma by capillary electrophoresis with indirect UV detection. Electrophoresis 2003, 24, 2076–2083. [Google Scholar] [CrossRef]
- Türköz Acar, E.; Onar, A.N. Square wave voltammetric determination of valproic acid in pharmaceutical preparations. Turk. J. Chem. 2016, 40, 106–116. [Google Scholar] [CrossRef]
- Suzuki, H.; Akimoto, K.; Nakagawa, H. Quantitative analysis of sodium valproate in pharmaceutical preparations by a valproate-selective electrode. Chem. Pharm. Bull. 1991, 39, 133–136. [Google Scholar] [CrossRef][Green Version]
- Czarnecki, W.; Hałczyńska, B. Colorimetric determination of valproic acid and its salts. Acta Pol. Pharm. Drug Res. 1999, 56, 353–355. [Google Scholar]
- Polish Pharmaceutical Society. Polish Pharmacopoeia VIII.; Polish Pharmaceutical Society: Warsaw, Poland, 2008; pp. 837–838. (In Polish) [Google Scholar]
- United States Pharmacopeial Convention. The United States Pharmacopoeia, 34th ed.; United States Pharmacopeial Convention: Rockville, MD, USA, 2011; pp. 4557–4558. [Google Scholar]
- Dudziński, A.E. A spray sequence specific for the detection of free fatty acids. J. Chromatogr. 1967, 31, 560. [Google Scholar] [CrossRef]
- Pyka, A.; Wiatr, E.; Kwiska, K.; Gurak, D. Validation thin layer chromatography for the determination of naproxen in tablets and comparison with a pharmacopeil method. J. Liq. Chromatogr. Relat. Technol. 2011, 34, 829–847. [Google Scholar] [CrossRef]
- Parys, W.; Pyka-Pająk, A.; Dołowy, M. Application of thin-layer chromatography in combination with densitometry for the determination of diclofenac in enteric coated tablets. Parmaceuticals 2019, 12, 183. [Google Scholar] [CrossRef]
- Pyka-Pająk, A.; Dołowy, M.; Parys, W.; Bober, K.; Janikowska, G. A simple and cost-effective TLC-densitometric method for the quantitative determination of acetylsalicylic acid and ascorbic acid in combined effervescent tablets. Molecules 2018, 23, 3115. [Google Scholar] [CrossRef]
Publisher’s Note: MDPI stays neutral with regard to jurisdictional claims in published maps and institutional affiliations. |
© 2022 by the authors. Licensee MDPI, Basel, Switzerland. This article is an open access article distributed under the terms and conditions of the Creative Commons Attribution (CC BY) license (https://creativecommons.org/licenses/by/4.0/).







