Recent Advances in Macrocyclic Drugs and Microwave-Assisted and/or Solid-Supported Synthesis of Macrocycles
Abstract
1. Introduction and Recently Approved Macrocyclic Drugs
2. Microwave-Assisted and/or Solid-Supported Synthesis of Macrocycles
2.1. Macrolactonization and Macrolactamization
2.2. Transition-Metal Catalyzed Olefin Ring-Closure Metathesis (RCM) Macrocyclization
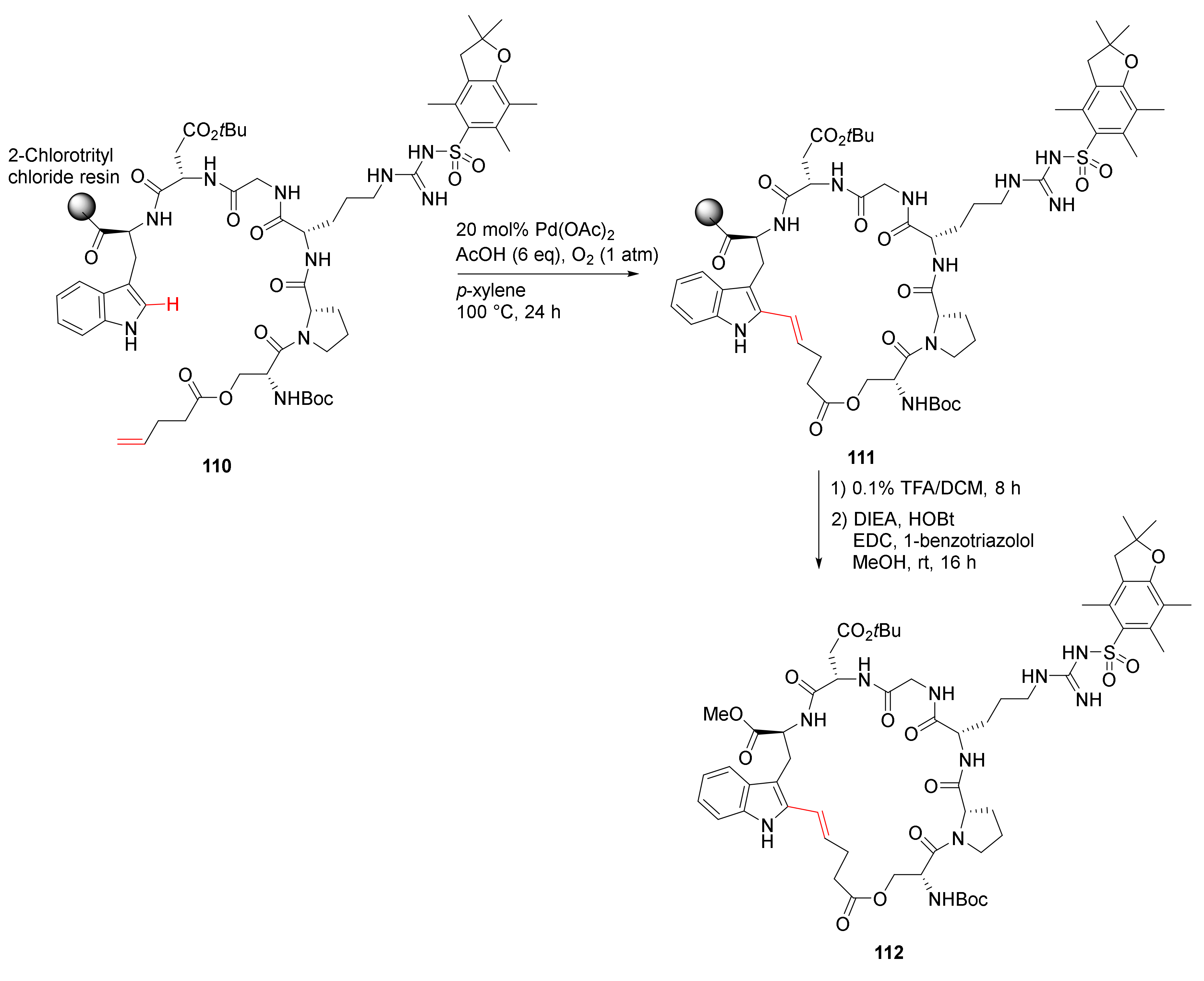
2.3. Intramolecular C–C, and C–Heteroatom Coupling Reactions
2.4. Click Macrocyclization via Copper-or Ruthenium-Catalyzed Azide–Alkyne Cycloaddition
2.5. Intramolecular SNAr or SN2 Nucleophilic Substitution
2.6. Condensation Reactions
2.7. Multi-Component Reaction (MCR)-Mediated Macrocyclization
3. Conclusions
Funding
Acknowledgments
Conflicts of Interest
Abbreviations
References
- Yu, X.; Sun, D. Macrocyclic Drugs and Synthetic Methodologies toward Macrocycles. Molecules 2013, 18, 6230–6268. [Google Scholar] [CrossRef] [PubMed]
- Driggers, E.M.; Hale, S.P.; Lee, J.; Terrett, N.K. The exploration of macrocycles for drug discovery—An underexploited structural class. Nat. Rev. Drug Discov. 2008, 7, 608–624. [Google Scholar] [CrossRef] [PubMed]
- Giordanetto, F.; Kihlberg, J. Macrocyclic Drugs and Clinical Candidates: What Can Medicinal Chemists Learn from Their Properties? J. Med. Chem. 2014, 57, 278–295. [Google Scholar] [CrossRef] [PubMed]
- Martí-Centelles, V.; Pandey, M.D.; Burguete, M.I.; Luis, S.V. Macrocyclization Reactions: The Importance of Conformational, Configurational, and Template-Induced Preorganization. Chem. Rev. 2015, 115, 8736–8834. [Google Scholar] [CrossRef] [PubMed]
- Surur, A.S.; Sun, D. Macrocycle-Antibiotic Hybrids: A Path to Clinical Candidates. Front. Chem. 2021, 9, 659845. [Google Scholar] [CrossRef]
- Itoh, H.; Inoue, M. Comprehensive Structure–Activity Relationship Studies of Macrocyclic Natural Products Enabled by Their Total Syntheses. Chem. Rev. 2019, 119, 10002–10031. [Google Scholar] [CrossRef] [PubMed]
- Xie, J.; Bogliotti, N. Synthesis and Applications of Carbohydrate-Derived Macrocyclic Compounds. Chem. Rev. 2014, 114, 7678–7739. [Google Scholar] [CrossRef]
- Gruß, H.; Sewald, N. Late-Stage Diversification of Tryptophan-Derived Biomolecules. Chem. Eur. J. 2020, 26, 5328–5340. [Google Scholar] [CrossRef]
- Dalvance (Dalbavancin) [Prescribing Information]; Allergan: Madison, NJ, USA, 2021. Available online: https://media.allergan.com/actavis/actavis/media/allergan-pdf-documents/product-prescribing/Dalvance_Final_PI_10_2018.pdf (accessed on 7 December 2021).
- Orbactiv (Oritavancin) [Prescribing Information]; Melinta Therapeutics LLC.: Lincolnshire, IL, USA, 2021. Available online: https://www.orbactiv.com/pdfs/orbactiv-prescribing-information.pdf (accessed on 7 December 2021).
- Kimyrsa (Oritavancin) [Prescribing Information]; Melinta Therapeutics LLC.: Lincolnshire, IL, USA, 2021. Available online: https://kimyrsa.com/wp-content/uploads/2021/03/kimyrsa-us-prescribing-information.pdf (accessed on 7 December 2021).
- Aemcolo (Rifamycin) [Prescribing Information]; RedHill Biopharma Inc.: Raleigh, NC, USA, 2019. Available online: https://www.aemcolo.com/wp-content/uploads/2021/03/Aemcolo-Master-PI-011720.pdf (accessed on 7 December 2021).
- Hori, T.; Owusu, Y.B.; Sun, D. US FDA-Approved Antibiotics During the 21st Century. In Reference Module in Biomedical Sciences; Elsevier: Amsterdam, The Netherlands, 2021. [Google Scholar]
- Olysio (Simeprevir) [Prescribing Information]; Janssen Therapeutics: Titusville, NJ, USA, 2017. Available online: https://www.accessdata.fda.gov/drugsatfda_docs/label/2017/205123s012lbl.pdf (accessed on 7 December 2021).
- Viekira Pak (Ombitasvir, Paritaprevir, Ritonavir, Dasabuvir) [Prescribing Information]; AbbVie Inc.: North Chicago, IL, USA, 2019. Available online: https://www.rxabbvie.com/pdf/viekirapak_pi.pdf (accessed on 8 December 2021).
- Technivie™ (Ombitasvir/Paritaprevir/Ritonavir) and Viekira XR™ (Dasabuvir/Ombitasvir/Paritaprevir/Ritonavir)—Product Discontinuations. Available online: https://professionals.optumrx.com/content/dam/optum3/professional-optumrx/news/rxnews/drug-recalls-shortages/drugwithdrawal_technivie_viekiraxr_2018-0424.pdf (accessed on 9 December 2021).
- Vosevi (Sofosbuvir, Velpatasvir, Voxilaprevir) [Prescribing Information]; Gilead Sciences Inc.: Foster City, CA, USA, 2019. Available online: https://www.gilead.com/~/media/Files/pdfs/medicines/liver-disease/vosevi/vosevi_pi.pdf (accessed on 9 December 2021).
- Zepatier (Elbasvir and Grazoprevir) [Prescribing Information]; Merck Sharp & Dohme Corp: Whitehouse Station, NJ, USA, 2019. Available online: https://www.merck.com/product/usa/pi_circulars/z/zepatier/zepatier_pi.pdf (accessed on 9 December 2021).
- Mavyret (Glecaprevir/Pibrentasvir) [Prescribing Information]; AbbVie Inc.: North Chicago, IL, USA, 2021. Available online: https://www.rxabbvie.com/pdf/mavyret_pi.pdf (accessed on 9 December 2021).
- Bridion (Sugammadex) [Prescribing Information]; Merck & Co Inc.: Whitehouse Station, NJ, USA, 2021. Available online: https://www.merck.com/product/usa/pi_circulars/b/bridion/bridion_pi.pdf (accessed on 9 December 2021).
- Trulance (Plecanatide) [Prescribing Information]; Salix Pharmaceuticals, A Division of Bausch Health US, LLC.: Bridgewater, NJ, USA, 2021. Available online: https://www.bauschhealth.com/Portals/25/Pdf/PI/trulance-pi.pdf (accessed on 9 December 2021).
- Moxidectin [Prescribing information]; Medicines Development for Global Health: Melbourne, Victoria, Australia, 2021. Available online: https://dailymed.nlm.nih.gov/dailymed/drugInfo.cfm?setid=6eb02ae9-9065-176f-e053-2991aa0ac891 (accessed on 10 December 2021).
- Lorbrena (Lorlatinib) [Prescribing Information]; Pfizer Labs: New York, NY, USA, 2021. Available online: http://labeling.pfizer.com/ShowLabeling.aspx?id=11140 (accessed on 10 December 2021).
- Vyleesi (Bremelanotide) [Prescribing Information]; Palatin Technologies, Inc.: Cranbury, NJ, USA, 2021. Available online: https://dailymed.nlm.nih.gov/dailymed/drugInfo.cfm?setid=8c9607a2-5b57-4a59-b159-cf196deebdd9 (accessed on 10 December 2021).
- Imcivree (Setmelanotide) [Prescribing Information]; Rhythm Pharmaceuticals Inc.: Boston, MA, USA, 2020. Available online: https://www.rhythmtx.com/IMCIVREE/prescribing-information.pdf (accessed on 10 December 2021).
- Lupkynis (Voclosporin) [Prescribing Information]; Aurinia Pharmaceuticals Inc.: Rockville, MD, USA, 2021. Available online: https://d1io3yog0oux5.cloudfront.net/auriniapharma/files/pages/lupkynis-prescribing-information/FPI-0011+Approved+USPI++MG.pdf (accessed on 10 December 2021).
- Netspot (Gallium Ga 68 Dotatate) [Prescribing Information]; Advanced Accelerator Applications USA Inc.: Millburn, NJ, USA, 2021. Available online: https://www.novartis.us/sites/www.novartis.us/files/netspot.pdf (accessed on 11 December 2021).
- Detectnet (Copper Cu 64 Dotatate) Injection [Prescribing Information]; Curium US LLC.: Maryland Heights, MO, USA, 2020. Available online: https://www.curiumpharma.com/wp-content/uploads/2020/09/copper-64-dotatate-injection-pi.pdf (accessed on 10 December 2021).
- Lutathera (Lutetium Lu 177 Dotatate) [Prescribing Information]; Advanced Accelerator Applications USA: Millburn, NJ, USA, 2021. Available online: https://www.novartis.us/sites/www.novartis.us/files/lutathera.pdf (accessed on 11 December 2021).
- Collins, J.M. Microwave-Enhanced Synthesis of Peptides, Proteins, and Peptidomimetics. In Microwaves in Organic Synthesis; Hoz, A., Loupy, A., Eds.; Wiley-VCH Verlag & Co. KGaA: Weinheim, Germany, 2012; pp. 897–959. [Google Scholar]
- Pedersen, S.L.; Tofteng, A.P.; Malik, L.; Jensen, K.J. Microwave heating in solid-phase peptide synthesis. Chem. Soc. Rev. 2011, 41, 1826–1844. [Google Scholar] [CrossRef]
- Lexicomp® Online. Lexi-Drugs Online; UpToDate, Inc.: Hudson, OH, USA, 2021. [Google Scholar]
- Sanford Guide; Antimicrobial Therapy, Inc.: Sperryville, VA, USA, 2021.
- Olysio® (Simeprevir)—Drug Discontinuation. Available online: https://professionals.optumrx.com/content/dam/optum3/professional-optumrx/news/rxnews/drug-recalls-shortages/drugwithdrawal_olysio_2018-0420.pdf (accessed on 7 December 2021).
- Caporale, A.; Sturlese, M.; Gesiot, L.; Zanta, F.; Wittelsberger, A.; Cabrele, C. Side Chain Cyclization Based on Serine Residues: Synthesis, Structure, and Activity of a Novel Cyclic Analogue of the Parathyroid Hormone Fragment 1−11. J. Med. Chem. 2010, 53, 8072–8079. [Google Scholar] [CrossRef]
- Rostami, E. Efficient Route for the Synthesis of New Dinaphthosulfoxide Aza Crowns Using Ethyleneglycol Under Microwave (MW) Irradiation: Macrocyclization is Preferred to Oligomerization Under MW Irradiation. Phosphorus Sulfur Silicon Relat. Elem. 2011, 186, 1853–1866. [Google Scholar] [CrossRef]
- Rostami, E.; Ghaedi, M.; Zangooei, M.; Zare, A. Synthesis of new aza thia crowns under microwave irradiation. J. Sulfur Chem. 2012, 33, 327–333. [Google Scholar] [CrossRef]
- Cini, E.; Bifulco, G.; Menchi, G.; Rodriquez, M.; Taddei, M. Synthesis of Enantiopure 7-Substituted Azepane-2-carboxylic Acids as Templates for Conformationally Constrained Peptidomimetics. Eur. J. Org. Chem. 2012, 2012, 2133–2141. [Google Scholar] [CrossRef]
- Ferrie, J.; Gruskos, J.J.; Goldwaser, A.L.; Decker, M.E.; Guarracino, D.A. A comparative protease stability study of synthetic macrocyclic peptides that mimic two endocrine hormones. Bioorg. Med. Chem. Lett. 2013, 23, 989–995. [Google Scholar] [CrossRef]
- Tao, H.; Peng, L.; Zhang, Q. Synthesis of Azole-Enriched Cyclic Peptides by A Clean Solid-Phase-Based Cyclization-Cleavage Strategy. ACS Comb. Sci. 2013, 15, 447–451. [Google Scholar] [CrossRef]
- Choi, S.-H.; Jeong, W.-J.; Choi, S.-J.; Lim, Y.-B. Highly efficient and fast pre-activation cyclization of the long peptide: Succinimidyl ester-amine reaction revisited. Bioorg. Med. Chem. Lett. 2015, 25, 5335–5338. [Google Scholar] [CrossRef]
- Kumar, D.; Sharma, N.; Nair, M. Synthesis, spectral and extended spectrum beta-lactamase studies of transition metal tetraaza macrocyclic complexes. J. Biol. Inorg. Chem. 2017, 22, 535–543. [Google Scholar] [CrossRef]
- Calisir, U.; Çiçek, B. Comparison of classic and microwave-assisted synthesis of benzo-thio crown ethers, and investigation of their ion pair extractions. J. Mol. Struct. 2017, 1148, 505–511. [Google Scholar] [CrossRef]
- Moreira, R.; Barnawi, G.; Beriashvili, D.; Palmer, M.; Taylor, S.D. The effect of replacing the ester bond with an amide bond and of overall stereochemistry on the activity of daptomycin. Bioorg. Med. Chem. 2018, 27, 240–246. [Google Scholar] [CrossRef]
- Lohani, C.R.; Rasera, B.; Scott, B.; Palmer, M.; Taylor, S.D. α-Azido Acids in Solid-Phase Peptide Synthesis: Compatibility with Fmoc Chemistry and an Alternative Approach to the Solid Phase Synthesis of Daptomycin Analogs. J. Org. Chem. 2016, 81, 2624–2628. [Google Scholar] [CrossRef]
- Itoh, H.; Inoue, M. Full solid-phase total synthesis of macrocyclic natural peptides using four-dimensionally orthogonal protective groups. Org. Biomol. Chem. 2019, 17, 6519–6527. [Google Scholar] [CrossRef] [PubMed]
- Arbour, C.A.; Belavek, K.J.; Tariq, R.; Mukherjee, S.; Tom, J.K.; Isidro-Llobet, A.; Kopach, M.E.; Stockdill, J.L. Bringing Macrolactamization Full Circle: Self-Cleaving Head-to-Tail Macrocyclization of Unprotected Peptides via Mild N-Acyl Urea Activation. J. Org. Chem. 2018, 84, 1035–1041. [Google Scholar] [CrossRef] [PubMed]
- Burke, H.M.; McSweeney, L.; Scanlan, E.M. Exploring chemoselective S-to-N acyl transfer reactions in synthesis and chemical biology. Nat. Commun. 2017, 8, 15655. [Google Scholar] [CrossRef] [PubMed]
- Qu, Q.; Gao, S.; Wu, F.; Zhang, M.; Li, Y.; Zhang, L.; Bierer, D.; Tian, C.; Zheng, J.; Liu, L. Synthesis of Disulfide Surrogate Peptides Incorporating Large-Span Surrogate Bridges Through a Native-Chemical-Ligation-Assisted Diaminodiacid Strategy. Angew. Chem. Int. Ed. 2020, 59, 6037–6045. [Google Scholar] [CrossRef]
- Bérubé, C.; Borgia, A.; Gagnon, D.; Mukherjee, A.; Richard, D.; Voyer, N. Total Synthesis and Antimalarial Activity of Dominicin, a Cyclic Octapeptide from a Marine Sponge. J. Nat. Prod. 2020, 83, 1778–1783. [Google Scholar] [CrossRef]
- Bérubé, C.; Borgia, A.; Voyer, N. Total synthesis of pseudacyclins A–E by an on-resin head-to-side chain concomitant cyclization-cleavage reaction. Tetrahedron Lett. 2018, 59, 4176–4179. [Google Scholar] [CrossRef]
- Prior, A.M.; Hori, T.; Fishman, A.; Sun, D. Recent Reports of Solid-Phase Cyclohexapeptide Synthesis and Applications. Molecules 2018, 23, 1475. [Google Scholar] [CrossRef]
- Fagundez, C.; Sellanes, D.; Peña, S.; Scarone, L.; Aguiar, A.C.C.; De Souza, J.O.; Guido, R.; Stewart, L.; Yardley, V.; Ottilie, S.; et al. Synthesis, Profiling, and in Vivo Evaluation of Cyclopeptides Containing N-Methyl Amino Acids as Antiplasmodial Agents. ACS Med. Chem. Lett. 2018, 10, 137–141. [Google Scholar] [CrossRef]
- Elashal, H.E.; Cohen, R.D.; Elashal, H.E.; Raj, M. Oxazolidinone-Mediated Sequence Determination of One-Bead One-Compound Cyclic Peptide Libraries. Org. Lett. 2018, 20, 2374–2377. [Google Scholar] [CrossRef]
- Asfaw, H.; Wetzlar, T.; Martinez-Martinez, M.S.; Imming, P. An efficient synthetic route for preparation of antimycobacterial wollamides and evaluation of their in vitro and in vivo efficacy. Bioorg. Med. Chem. Lett. 2018, 28, 2899–2905. [Google Scholar] [CrossRef]
- Thansandote, P.; Harris, R.M.; Dexter, H.L.; Simpson, G.L.; Pal, S.; Upton, R.J.; Valko, K. Improving the passive permeability of macrocyclic peptides: Balancing permeability with other physicochemical properties. Bioorg. Med. Chem. 2015, 23, 322–327. [Google Scholar] [CrossRef]
- Postma, T.M.; Albericio, F. Cysteine Pseudoprolines for Thiol Protection and Peptide Macrocyclization Enhancement in Fmoc-Based Solid-Phase Peptide Synthesis. Org. Lett. 2014, 16, 1772–1775. [Google Scholar] [CrossRef]
- Baeza, J.L.; de la Torre, B.G.; Santiveri, C.M.; Almeida, R.D.; García-López, M.T.; Gerona-Navarro, G.; Jaffrey, S.R.; Jiménez, M.; Andreu, D.; González-Muñiz, R.; et al. Cyclic amino acid linkers stabilizing key loops of brain derived neurotrophic factor. Bioorg. Med. Chem. Lett. 2012, 22, 444–448. [Google Scholar] [CrossRef]
- Kaji, T.; Murai, M.; Itoh, H.; Yasukawa, J.; Hamamoto, H.; Sekimizu, K.; Inoue, M. Total Synthesis and Functional Evaluation of Fourteen Derivatives of Lysocin E: Importance of Cationic, Hydrophobic, and Aromatic Moieties for Antibacterial Activity. Chem. A Eur. J. 2016, 22, 16912–16919. [Google Scholar] [CrossRef]
- Woys, A.M.; Almeida, A.M.; Wang, L.; Chiu, C.-C.; McGovern, M.; de Pablo, J.J.; Skinner, J.L.; Gellman, S.H.; Zanni, M.T. Parallel β-Sheet Vibrational Couplings Revealed by 2D IR Spectroscopy of an Isotopically Labeled Macrocycle: Quantitative Benchmark for the Interpretation of Amyloid and Protein Infrared Spectra. J. Am. Chem. Soc. 2012, 134, 19118–19128. [Google Scholar] [CrossRef]
- Clemmen, A.; Boutton, C.; Vanlandschoot, P.; Wittelsberger, A.; Borghmans, I.; Coppens, A.; Casteels, P.; Madder, A. Straightforward synthesis of cholic acid stabilized loop mimetics. Tetrahedron Lett. 2014, 55, 423–429. [Google Scholar] [CrossRef]
- Guo, Y.; Liu, C.; Song, H.; Wang, F.-L.; Zou, Y.; Wu, Q.-Y.; Hu, H.-G. Diaminodiacid-based synthesis of macrocyclic peptides using 1,2,3-triazole bridges as disulfide bond mimetics. RSC Adv. 2017, 7, 2110–2114. [Google Scholar] [CrossRef]
- Liu, J.; Huang, Y.; Zheng, W. A Selective Cyclic Peptidic Human SIRT5 Inhibitor. Molecules 2016, 21, 1217. [Google Scholar] [CrossRef]
- De, K.; Banerjee, I.; Misra, M. Radiolabeled new somatostatin analogs conjugated to DOMA chelator used as targeted tumor imaging agent: Synthesis and radiobiological evaluation. Amino Acids 2015, 47, 1135–1153. [Google Scholar] [CrossRef]
- Kumarn, S.; Chimnoi, N.; Ruchirawat, S. Synthesis of integerrimide A by an on-resin tandem Fmoc-deprotection–macrocyclisation approach. Org. Biomol. Chem. 2013, 11, 7760–7767. [Google Scholar] [CrossRef]
- Thakkar, A.; Trinh, T.B.; Pei, D. Global Analysis of Peptide Cyclization Efficiency. ACS Comb. Sci. 2012, 15, 120–129. [Google Scholar] [CrossRef]
- Ross, A.C.; Liu, H.; Pattabiraman, V.R.; Vederas, J. Synthesis of the Lantibiotic Lactocin S Using Peptide Cyclizations on Solid Phase. J. Am. Chem. Soc. 2009, 132, 462–463. [Google Scholar] [CrossRef]
- Cheruku, P.; Plaza, A.; Lauro, G.; Keffer, J.; Lloyd, J.R.; Bifulco, G.; Bewley, C.A. Discovery and Synthesis of Namalide Reveals a New Anabaenopeptin Scaffold and Peptidase Inhibitor. J. Med. Chem. 2011, 55, 735–742. [Google Scholar] [CrossRef]
- Schaschke, N.; Sommerhoff, C.P. Upgrading a Natural Product: Inhibition of Human β-Tryptase by Cyclotheonamide Analogues. ChemMedChem 2010, 5, 367–370. [Google Scholar] [CrossRef]
- Janke, D.; Sommerhoff, C.P.; Schaschke, N. The arginine mimicking β-amino acid β3hPhe(3-H2N-CH2) as S1 ligand in cyclotheonamide-based β-tryptase inhibitors. Bioorg. Med. Chem. 2011, 19, 7236–7243. [Google Scholar] [CrossRef]
- Sable, G.A.; Park, J.; Kim, H.; Lim, S.-J.; Jang, S.; Lim, D. Solid-Phase Total Synthesis of the Proposed Structure of Coibamide A and Its Derivative: Highly Methylated Cyclic Depsipeptides. Eur. J. Org. Chem. 2015, 2015, 7043–7052. [Google Scholar] [CrossRef]
- Piekielna, J.; Kluczyk, A.; Gentilucci, L.; Cerlesi, M.C.; Calo, G.; Tomböly, C.; Łapiński, K.; Janecki, T.; Janecka, A. Ring size in cyclic endomorphin-2 analogs modulates receptor binding affinity and selectivity. Org. Biomol. Chem. 2015, 13, 6039–6046. [Google Scholar] [CrossRef] [PubMed]
- Murai, M.; Kaji, T.; Kuranaga, T.; Hamamoto, H.; Sekimizu, K.; Inoue, M. Total Synthesis and Biological Evaluation of the Antibiotic Lysocin E and Its Enantiomeric, Epimeric, and N-Demethylated Analogues. Angew. Chem. Int. Ed. 2014, 54, 1556–1560. [Google Scholar] [CrossRef]
- Wu, X.; Wang, L.; Han, Y.; Regan, N.; Li, P.-K.; Villalona, M.A.; Hu, X.; Briesewitz, R.; Pei, D. Creating Diverse Target-Binding Surfaces on FKBP12: Synthesis and Evaluation of a Rapamycin Analogue Library. ACS Comb. Sci. 2011, 13, 486–495. [Google Scholar] [CrossRef] [PubMed]
- Dellai, A.; Maricic, I.; Kumar, V.; Arutyunyan, S.; Bouraoui, A.; Nefzi, A. Parallel synthesis and anti-inflammatory activity of cyclic peptides cyclosquamosin D and Met-cherimolacyclopeptide B and their analogs. Bioorg. Med. Chem. Lett. 2010, 20, 5653–5657. [Google Scholar] [CrossRef] [PubMed]
- Hurevich, M.; Swed, A.; Joubran, S.; Cohen, S.; Freeman, N.S.; Britan-Rosich, E.; Briant-Longuet, L.; Bardy, M.; Devaux, C.; Kotler, M.; et al. Rational conversion of noncontinuous active region in proteins into a small orally bioavailable macrocyclic drug-like molecule: The HIV-1 CD4:gp120 paradigm. Bioorg. Med. Chem. 2010, 18, 5754–5761. [Google Scholar] [CrossRef]
- Yoshida, Y.; Inagaki, M.; Masuda, Y. Solid-phase synthesis and bioactivity evaluation of cherimolacyclopeptide E. J. Pept. Sci. 2021, 27, e3308. [Google Scholar] [CrossRef]
- Rashad, A.A.; Sundaram, R.V.K.; Aneja, R.; Duffy, C.; Chaiken, I. Macrocyclic Envelope Glycoprotein Antagonists that Irreversibly Inactivate HIV-1 before Host Cell Encounter. J. Med. Chem. 2015, 58, 7603–7608. [Google Scholar] [CrossRef]
- Aneja, R.; Grigoletto, A.; Nangarlia, A.; Rashad, A.A.; Wrenn, S.; Jacobson, J.M.; Pasut, G.; Chaiken, I. Pharmacokinetic stability of macrocyclic peptide triazole HIV-1 inactivators alone and in liposomes. J. Pept. Sci. 2019, 25, e3155. [Google Scholar] [CrossRef]
- Khan, S.N.; Kim, A.; Grubbs, R.H.; Kwon, Y.-U. Ring-Closing Metathesis Approaches for the Solid-Phase Synthesis of Cyclic Peptoids. Org. Lett. 2011, 13, 1582–1585. [Google Scholar] [CrossRef]
- Andersson, H.; Demaegdt, H.; Johnsson, A.; Vauquelin, G.; Lindeberg, G.; Hallberg, M.; Erdélyi, M.; Karlén, A.; Hallberg, A. Potent Macrocyclic Inhibitors of Insulin-Regulated Aminopeptidase (IRAP) by Olefin Ring-Closing Metathesis. J. Med. Chem. 2011, 54, 3779–3792. [Google Scholar] [CrossRef]
- Baron, A.; Verdié, P.; Martinez, J.; Lamaty, F. cis-Apa: A Practical Linker for the Microwave-Assisted Preparation of Cyclic Pseudopeptides via RCM Cyclative Cleavage. J. Org. Chem. 2011, 76, 766–772. [Google Scholar] [CrossRef]
- Gao, M.; Cheng, K.; Yin, H. Targeting protein−protein interfaces using macrocyclic peptides. Biopolymers 2015, 104, 310–316. [Google Scholar] [CrossRef]
- Lampa, A.; Ehrenberg, A.E.; Vema, A.; Åkerblom, E.; Lindeberg, G.; Helena Danielson, U.; Karlén, A.; Sandström, A. P2–P1′ macrocyclization of P2 phenylglycine based HCV NS3 protease inhibitors using ring-closing metathesis. Bioorg. Med. Chem. 2011, 19, 4917–4927. [Google Scholar] [CrossRef]
- Raymond, M.; Holtz-Mulholland, M.; Collins, S.K. Macrocyclic Olefin Metathesis at High Concentrations by Using a Phase-Separation Strategy. Chem. A Eur. J. 2014, 20, 12763–12767. [Google Scholar] [CrossRef]
- Qian, W.-J.; Park, J.-E.; Grant, R.; Lai, C.C.; Kelley, J.A.; Yaffe, M.B.; Lee, K.S.; Burke, T.R., Jr. Neighbor-directed histidine N (τ)-alkylation: A route to imidazolium-containing phosphopeptide macrocycles. Biopolymers 2015, 104, 663–673. [Google Scholar] [CrossRef] [PubMed]
- Arndt, H.-D.; Rizzo, S.; Nöcker, M.S.C.; Wakchaure, V.N.; Milroy, L.-G.; Bieker, B.S.V.; Calderon, A.; Tran, T.T.N.; Brand, S.; Dehmelt, L.; et al. Divergent Solid-Phase Synthesis of Natural Product-Inspired Bipartite Cyclodepsipeptides: Total Synthesis of Seragamide A. Chem. A Eur. J. 2015, 21, 5311–5316. [Google Scholar] [CrossRef] [PubMed]
- Sousbie, M.; Vivancos, M.; Brouillette, R.; Besserer-Offroy, É.; Longpré, J.-M.; Leduc, R.; Sarret, P.; Marsault, É. Structural Optimization and Characterization of Potent Analgesic Macrocyclic Analogues of Neurotensin (8–13). J. Med. Chem. 2018, 61, 7103–7115. [Google Scholar] [CrossRef] [PubMed]
- Sousbie, M.; Besserer-Offroy, É.; Brouillette, R.; Longpré, J.-M.; Leduc, R.; Sarret, P.; Marsault, É. In Search of the Optimal Macrocyclization Site for Neurotensin. ACS Med. Chem. Lett. 2018, 9, 227–232. [Google Scholar] [CrossRef]
- Morin, É.; Sosoe, J.; Raymond, M.; Amorelli, B.; Boden, R.M.; Collins, S.K. Synthesis of a Renewable Macrocyclic Musk: Evaluation of Batch, Microwave, and Continuous Flow Strategies. Org. Process. Res. Dev. 2019, 23, 283–287. [Google Scholar] [CrossRef]
- Guo, Z.; Hong, S.Y.; Wang, J.; Rehan, S.; Liu, W.; Peng, H.; Das, M.; Li, W.; Bhat, S.; Peiffer, B.; et al. Rapamycin-inspired macrocycles with new target specificity. Nat. Chem. 2018, 11, 254–263. [Google Scholar] [CrossRef]
- Hart, P.T.; Openy, J.; Krzyzanowski, A.; Adihou, H.; Waldmann, H. Hot-spot guided design of macrocyclic inhibitors of the LSD1-CoREST1 interaction. Tetrahedron 2019, 75, 130685. [Google Scholar] [CrossRef]
- Yang, J.; Talibov, V.; Peintner, S.; Rhee, C.; Poongavanam, V.; Geitmann, M.; Sebastiano, M.R.; Simon, B.; Hennig, J.; Dobritzsch, D.; et al. Macrocyclic Peptides Uncover a Novel Binding Mode for Reversible Inhibitors of LSD1. ACS Omega 2020, 5, 3979–3995. [Google Scholar] [CrossRef]
- Chartier, M.; Desgagné, M.; Sousbie, M.; Côté, J.; Longpré, J.-M.; Marsault, E.; Sarret, P. Design, Structural Optimization, and Characterization of the First Selective Macrocyclic Neurotensin Receptor Type 2 Non-opioid Analgesic. J. Med. Chem. 2021, 64, 2110–2124. [Google Scholar] [CrossRef]
- Trân, K.; Murza, A.; Sainsily, X.; Coquerel, D.; Côté, J.; Belleville, K.; Haroune, L.; Longpré, J.-M.; Dumaine, R.; Salvail, D.; et al. A Systematic Exploration of Macrocyclization in Apelin-13: Impact on Binding, Signaling, Stability, and Cardiovascular Effects. J. Med. Chem. 2018, 61, 2266–2277. [Google Scholar] [CrossRef]
- Maxwell, D.S.; Sun, D.; Peng, Z.; Martin, D.V.; Prasad, B.A.B.; Bornmann, W.G. Synthesis of a macrocycle based on Linked Amino Acid Mimetics (LAAM). Tetrahedron Lett. 2013, 54, 5799–5801. [Google Scholar] [CrossRef][Green Version]
- Ricardo, M.G.; Marrrero, J.F.; Valdes, O.; Rivera, D.G.; Wessjohann, L.A.; Marrero, J.F. A Peptide Backbone Stapling Strategy Enabled by the Multicomponent Incorporation of Amide N-Substituents. Chem. A Eur. J. 2018, 25, 769–774. [Google Scholar] [CrossRef]
- Mulder, M.; Kruijtzer, J.A.; Breukink, E.J.; Kemmink, J.; Pieters, R.J.; Liskamp, R. Synthesis and evaluation of novel macrocyclic antifungal peptides. Bioorg. Med. Chem. 2011, 19, 6505–6517. [Google Scholar] [CrossRef]
- Mangold, S.L.; Grubbs, R.H. Stereoselective synthesis of macrocyclic peptides via a dual olefin metathesis and ethenolysis approach. Chem. Sci. 2015, 6, 4561–4569. [Google Scholar] [CrossRef]
- Cohrt, A.E.; Nielsen, T.E. Solid-Phase Synthesis of Peptide Thioureas and Thiazole-Containing Macrocycles through Ru-Catalyzed Ring-Closing Metathesis. ACS Comb. Sci. 2014, 16, 71–77. [Google Scholar] [CrossRef][Green Version]
- Liu, F.; Giubellino, A.; Simister, P.C.; Qian, W.; Giano, M.C.; Feller, S.M.; Bottaro, D.P.; Burke Jr., T. R. Application of ring-closing metathesis to Grb2 SH3 domain-binding peptides. Pept. Sci. 2011, 96, 780–788. [Google Scholar] [CrossRef]
- Bédard, A.-C.; Collins, S.K. Microwave accelerated Glaser–Hay macrocyclizations at high concentrations. Chem. Commun. 2012, 48, 6420–6422. [Google Scholar] [CrossRef]
- Godin, É.; Bédard, A.-C.; Raymond, M.; Collins, S.K. Phase Separation Macrocyclization in a Complex Pharmaceutical Setting: Application toward the Synthesis of Vaniprevir. J. Org. Chem. 2017, 82, 7576–7582. [Google Scholar] [CrossRef]
- Afonso, A.; Feliu, L.; Planas, M. Solid-phase synthesis of biaryl cyclic peptides by borylation and microwave-assisted intramolecular Suzuki–Miyaura reaction. Tetrahedron 2011, 67, 2238–2245. [Google Scholar] [CrossRef]
- Afonso, A.; Cussó, O.; Feliu, L.; Planas, M. Solid-Phase Synthesis of Biaryl Cyclic Peptides Containing a 3-Aryltyrosine. Eur. J. Org. Chem. 2012, 2012, 6204–6211. [Google Scholar] [CrossRef]
- Meyer, F.-M.; Collins, J.C.; Borin, B.; Bradow, J.; Liras, S.; Limberakis, C.; Mathiowetz, A.M.; Philippe, L.; Price, D.; Song, K.; et al. Biaryl-Bridged Macrocyclic Peptides: Conformational Constraint via Carbogenic Fusion of Natural Amino Acid Side Chains. J. Org. Chem. 2012, 77, 3099–3114. [Google Scholar] [CrossRef] [PubMed]
- Mendive-Tapia, L.; Preciado, S.; García, J.; Ramón, R.; Kielland, N.; Albericio, F.; Lavilla, R. New peptide architectures through C–H activation stapling between tryptophan–phenylalanine/tyrosine residues. Nat. Commun. 2015, 6, 7160. [Google Scholar] [CrossRef] [PubMed]
- Dong, H.; Limberakis, C.; Liras, S.; Price, D.; James, K. Peptidic macrocyclization via palladium-catalyzed chemoselective indole C-2 arylation. Chem. Commun. 2012, 48, 11644–11646. [Google Scholar] [CrossRef] [PubMed]
- Kemker, I.; Schnepel, C.; Schröder, D.C.; Marion, A.; Sewald, N. Cyclization of RGD Peptides by Suzuki–Miyaura Cross-Coupling. J. Med. Chem. 2019, 62, 7417–7430. [Google Scholar] [CrossRef] [PubMed]
- Bai, Z.; Cai, C.; Sheng, W.; Ren, Y.; Wang, H. Late-Stage Peptide Macrocyclization by Palladium-Catalyzed Site-Selective C−H Olefination of Tryptophan. Angew. Chem. Int. Ed. 2020, 59, 14686–14692. [Google Scholar] [CrossRef] [PubMed]
- Ng-Choi, I.; Oliveras, À.; Planas, M.; Feliu, L. Solid-phase synthesis of biaryl cyclic peptides containing a histidine-tyrosine linkage. Tetrahedron 2019, 75, 2625–2636. [Google Scholar] [CrossRef]
- Ng-Choi, I.; Figueras, E.; Oliveras, À.; Feliu, L.; Planas, M. Solid-Phase Synthesis of Biaryl Cyclic Lipopeptides Derived from Arylomycins. ACS Omega 2020, 5, 23401–23412. [Google Scholar] [CrossRef]
- Shen, L.; Sun, D. Total synthesis and structural revision of engelhardione. Tetrahedron Lett. 2011, 52, 4570–4574. [Google Scholar] [CrossRef]
- Shen, L.; Simmons, C.J.; Sun, D. Microwave-assisted synthesis of macrocycles via intramolecular and/or bimolecular Ullmann coupling. Tetrahedron Lett. 2012, 53, 4173–4178. [Google Scholar] [CrossRef]
- Shen, L.; Maddox, M.M.; Adhikari, S.; Bruhn, D.F.; Kumar, M.; Lee, R.E.; Hurdle, J.G.; Lee, R.E.; Sun, D. Syntheses and evaluation of macrocyclic engelhardione analogs as antitubercular and antibacterial agents. J. Antibiot. 2013, 66, 319–325. [Google Scholar] [CrossRef]
- Chávez-Riveros, A.; Hernández-Vázquez, E.; Nieto-Camacho, A.; Ramírez-Apan, T.; Miranda, L.D.; Ramírez-Apan, M.T.O. Synthesis of diphenylamine macrocycles and their anti-inflammatory effects. Org. Biomol. Chem. 2019, 17, 1423–1435. [Google Scholar] [CrossRef]
- Krause, M.R.; Goddard, R.; Kubik, S. Anion-Binding Properties of a Cyclic Pseudohexapeptide Containing 1,5-Disubstituted 1,2,3-Triazole Subunits. J. Org. Chem. 2011, 76, 7084–7095. [Google Scholar] [CrossRef]
- Pacifico, S.; Kerckhoffs, A.; Fallow, A.J.; Foreman, R.E.; Guerrini, R.; McDonald, J.; Lambert, D.G.; Jamieson, A.G. Urotensin-II peptidomimetic incorporating a non-reducible 1,5-triazole disulfide bond reveals a pseudo-irreversible covalent binding mechanism to the urotensin G-protein coupled receptor. Org. Biomol. Chem. 2017, 15, 4704–4710. [Google Scholar] [CrossRef]
- Ingale, S.; Dawson, P.E. On Resin Side-Chain Cyclization of Complex Peptides Using CuAAC. Org. Lett. 2011, 13, 2822–2825. [Google Scholar] [CrossRef]
- Chavez-Acevedo, L.; Miranda, L.D. Synthesis of novel tryptamine-based macrocycles using an Ugi 4-CR/microwave assisted click-cycloaddition reaction protocol. Org. Biomol. Chem. 2015, 13, 4408–4412. [Google Scholar] [CrossRef]
- Hoyle, C.E.; Bowman, C.N. Thiol–Ene Click Chemistry. Angew. Chem. Int. Ed. 2010, 49, 1540–1573. [Google Scholar] [CrossRef]
- Aimetti, A.A.; Shoemaker, R.K.; Lin, C.-C.; Anseth, K.S. On-resin peptide macrocyclization using thiol–ene click chemistry. Chem. Commun. 2010, 46, 4061–4063. [Google Scholar] [CrossRef]
- Li, L.; Siebrands, C.C.; Yang, Z.; Zhang, L.; Guse, A.H.; Zhang, L. Novel nucleobase-simplified cyclic ADP-ribose analogue: A concise synthesis and Ca2+-mobilizing activity in T-lymphocytes. Org. Biomol. Chem. 2010, 8, 1843–1848. [Google Scholar] [CrossRef]
- Zhou, Y.; Yu, P.; Jin, H.; Yang, Z.; Yue, J.; Zhang, L.; Zhang, L. Synthesis and Calcium Mobilization Activity of cADPR Analogues Which Integrate Nucleobase, Northern and Southern Ribose Modifications. Molecules 2012, 17, 4343–4356. [Google Scholar] [CrossRef]
- Zhou, Y.; Zhang, L. Design and synthesis of cADPR analogues with simplified ribose and nucleobase. J. Chin. Pharm. Sci. 2012, 21, 287–291. [Google Scholar] [CrossRef]
- Lee, J.H.; Kim, H.-S.; Lim, H.-S. Design and Facile Solid-Phase Synthesis of Conformationally Constrained Bicyclic Peptoids. Org. Lett. 2011, 13, 5012–5015. [Google Scholar] [CrossRef] [PubMed]
- Peng, D.; Xu, Z.; Yang, C.; Rong, R.; Zhu, T.; Long, Y. Metabolically stabilized structural modification on the helix B surface peptide of erythropoietin: Design, synthesis and improved renoprotective effect. Zhongguo Kexue Huaxue 2013, 43, 1033–1040. [Google Scholar]
- Torrejos, R.E.; Nisola, G.; Beltran, A.; Park, M.; Patil, B.; Lee, S.-P.; Seo, J.; Chung, W.-J. Microwave-Assisted Synthesis of Dibenzo-Crown Ethers. Lett. Org. Chem. 2014, 11, 109–115. [Google Scholar] [CrossRef]
- Hickey, J.L.; Simpson, E.J.; Hou, J.; Luyt, L.G. An Integrated Imaging Probe Design: The Synthesis of 99mTc/Re-Containing Macrocyclic Peptide Scaffolds. Chem. Eur. J. 2015, 21, 568–578. [Google Scholar] [CrossRef] [PubMed]
- Wilson, D.; Meininger, I.; Strater, Z.; Steiner, S.; Tomlin, F.; Wu, J.; Jamali, H.; Krappmann, D.; Götz, M.G. Synthesis and Evaluation of Macrocyclic Peptide Aldehydes as Potent and Selective Inhibitors of the 20S Proteasome. ACS Med. Chem. Lett. 2016, 7, 250–255. [Google Scholar] [CrossRef] [PubMed]
- Kheirabadi, M.; Creech, G.S.; Qiao, J.; Nirschl, D.S.; Leahy, D.K.; Boy, K.M.; Carter, P.H.; Eastgate, M.D. Leveraging a “Catch–Release” Logic Gate Process for the Synthesis and Nonchromatographic Purification of Thioether- or Amine-Bridged Macrocyclic Peptides. J. Org. Chem. 2018, 83, 4323–4335. [Google Scholar] [CrossRef]
- Choi, S.-J.; Kwon, S.H.; Kim, T.-H.; Lim, Y.-B. Synthesis and conformational analysis of macrocyclic peptides consisting of both α-helix and polyproline helix segments. Biopolymers 2013, 101, 279–286. [Google Scholar] [CrossRef]
- Nefzi, A.; Fenwick, J.E. N-terminus 4-chloromethyl thiazole peptide as a macrocyclization tool in the synthesis of cyclic peptides: Application to the synthesis of conformationally constrained RGD-containing integrin ligands. Tetrahedron Lett. 2011, 52, 817–819. [Google Scholar] [CrossRef][Green Version]
- Derbel, S.; Ghedira, K.; Nefzi, A. Parallel synthesis of 19-membered ring macro-heterocycles via intramolecular thioether formation. Tetrahedron Lett. 2010, 51, 3607–3609. [Google Scholar] [CrossRef]
- Nefzi, A.; Arutyunyan, S.; Fenwick, J.E. Two-Step Hantzsch Based Macrocyclization Approach for the Synthesis of Thiazole-Containing Cyclopeptides. J. Org. Chem. 2010, 75, 7939–7941. [Google Scholar] [CrossRef]
- Oddo, A.; Münzker, L.; Hansen, P.R. Peptide Macrocycles Featuring a Backbone Secondary Amine: A Convenient Strategy for the Synthesis of Lipidated Cyclic and Bicyclic Peptides on Solid Support. Org. Lett. 2015, 17, 2502–2505. [Google Scholar] [CrossRef]
- Zhang, G.; Barragan, F.; Wilson, K.; Levy, N.; Herskovits, A.; Sapozhnikov, M.; Rodríguez, Y.; Kelmendi, L.; Alkasimi, H.; Korsmo, H.W.; et al. A Solid-Phase Approach to Accessing Bisthioether-Stapled Peptides Resulting in a Potent Inhibitor of PRC2 Catalytic Activity. Angew. Chem. Int. Ed. 2018, 57, 17073–17078. [Google Scholar] [CrossRef]
- Roy, A.; Koesema, E.; Kodadek, T. High-Throughput Quality Control Assay for the Solid-Phase Synthesis of DNA-Encoded Libraries of Macrocycles. Angew. Chem. Int. Ed. 2021, 60, 11983–11990. [Google Scholar] [CrossRef]
- Ahmed, M.; Yunus, V.M. Microwave Synthesis and Antimicrobial Activity of Some Copper (II), Cobalt (II), Nickel (II) and Chromium (III) Complexes with Schiff Base 2, 6-pyridinedicarboxaldehyde- Thiosemicarbazone. Orient. J. Chem. 2014, 30, 111–117. [Google Scholar] [CrossRef]
- Hakimi, M.; Moeini, K.; Mardani, Z.; Mohr, F. Microwave-assisted template synthesis of diazacyclam-based macrocyclic copper complex and forming octahedral, square planar and square pyramidal geometries by ion exchanging and introducing a novel 2D square-grid copper–mercury coordination polymer. Polyhedron 2014, 70, 92–100. [Google Scholar] [CrossRef]
- Wilson, T.A.; Tokarski, I.R.J.; Sullivan, P.; Demoret, R.M.; Orjala, J.; Rakotondraibe, L.H.; Fuchs, J.R. Total Synthesis of Scytonemide A Employing Weinreb AM Solid-Phase Resin. J. Nat. Prod. 2018, 81, 534–542. [Google Scholar] [CrossRef]
- Kumar, A.; Vashistha, V.K. Design and synthesis of CoIIHMTAA-14/16 macrocycles and their nano-composites for oxygen reduction electrocatalysis. RSC Adv. 2019, 9, 13243–13248. [Google Scholar] [CrossRef]
- Guéret, S.M.; Thavam, S.; Carbajo, R.J.; Potowski, M.; Larsson, N.; Dahl, G.; Dellsén, A.; Grossmann, T.N.; Plowright, A.T.; Valeur, E.; et al. Macrocyclic Modalities Combining Peptide Epitopes and Natural Product Fragments. J. Am. Chem. Soc. 2020, 142, 4904–4915. [Google Scholar] [CrossRef]
- Treder, A.P.; Hickey, J.L.; Tremblay, M.-C.J.; Zaretsky, S.; Scully, C.C.G.; Mancuso, J.; Doucet, A.; Yudin, A.K.; Marsault, E. Solid-Phase Parallel Synthesis of Functionalised Medium-to-Large Cyclic Peptidomimetics through Three-Component Coupling Driven by Aziridine Aldehyde Dimers. Chem. A Eur. J. 2015, 21, 9249–9255. [Google Scholar] [CrossRef]
- Morejón, M.C.; Laub, A.; Westermann, B.; Rivera, D.G.; Wessjohann, L.A. Solution- and Solid-Phase Macrocyclization of Peptides by the Ugi–Smiles Multicomponent Reaction: Synthesis of N-Aryl-Bridged Cyclic Lipopeptides. Org. Lett. 2016, 18, 4096–4099. [Google Scholar] [CrossRef]
- Vasco, A.V.; Brode, M.; Méndez, Y.; Valdés, O.; Rivera, D.G.; Wessjohann, L.A. Synthesis of Lactam-Bridged and Lipidated Cyclo-Peptides as Promising Anti-Phytopathogenic Agents. Molecules 2020, 25, 811. [Google Scholar] [CrossRef] [PubMed]
- Puentes, A.R.; Morejón, M.C.; Rivera, D.G.; Wessjohann, L.A. Peptide Macrocyclization Assisted by Traceless Turn Inducers Derived from Ugi Peptide Ligation with Cleavable and Resin-Linked Amines. Org. Lett. 2017, 19, 4022–4025. [Google Scholar] [CrossRef] [PubMed]
- Ricardo, M.G.; Vasco, A.V.; Rivera, D.G.; Wessjohann, L.A. Stabilization of Cyclic β-Hairpins by Ugi-Reaction-Derived N-Alkylated Peptides: The Quest for Functionalized β-Turns. Org. Lett. 2019, 21, 7307–7310. [Google Scholar] [CrossRef]
- Reguera, L.; Rivera, D.G. Multicomponent Reaction Toolbox for Peptide Macrocyclization and Stapling. Chem. Rev. 2019, 119, 9836–9860. [Google Scholar] [CrossRef] [PubMed]
- Rivera, D.G.; Ricardo, M.G.; Vasco, A.V.; Wessjohann, L.A.; Van der Eycken, E.V. On-resin multicomponent protocols for biopolymer assembly and derivatization. Nat. Protoc. 2021, 16, 561–578. [Google Scholar] [CrossRef]
- Vasco, A.V.; Méndez, Y.; Porzel, A.; Balbach, J.; Wessjohann, L.A.; Rivera, D.G. A Multicomponent Stapling Approach to Exocyclic Functionalized Helical Peptides: Adding Lipids, Sugars, PEGs, Labels, and Handles to the Lactam Bridge. Bioconjugate Chem. 2018, 30, 253–259. [Google Scholar] [CrossRef]
- Yamaguchi, A.; Kaldas, S.J.; Appavoo, S.D.; Diaz, D.B.; Yudin, A.K. Conformationally stable peptide macrocycles assembled using the Petasis borono-Mannich reaction. Chem. Commun. 2019, 55, 10567–10570. [Google Scholar] [CrossRef]
- Ohm, R.G.; Mulumba, M.; Chingle, R.M.; Ahsanullah; Zhang, J.; Chemtob, S.; Ong, H.; Lubell, W.D. Diversity-Oriented A3-Macrocyclization for Studying Influences of Ring-Size and Shape of Cyclic Peptides: CD36 Receptor Modulators. J. Med. Chem. 2021, 64, 9365–9380. [Google Scholar] [CrossRef]
- Danelius, E.; Ohm, R.G.; Ahsanullah; Mulumba, M.; Ong, H.; Chemtob, S.; Erdelyi, M.; Lubell, W.D. Dynamic Chirality in the Mechanism of Action of Allosteric CD36 Modulators of Macrophage-Driven Inflammation. J. Med. Chem. 2019, 62, 11071–11079. [Google Scholar] [CrossRef]
- Ahsanullah; Chingle, R.; Ohm, R.G.; Chauhan, P.S.; Lubell, W.D. Aza-propargylglycine installation by aza-amino acylation: Synthesis and Ala-scan of an azacyclopeptide CD36 modulator. Pept. Sci. 2019, 111, e24102. [Google Scholar] [CrossRef]
- Zhang, J.; Mulumba, M.; Ong, H.; Lubell, W.D. Diversity-Oriented Synthesis of Cyclic Azapeptides by A3-Macrocyclization Provides High-Affinity CD36-Modulating Peptidomimetics. Angew. Chem. Int. Ed. 2017, 56, 6284–6288. [Google Scholar] [CrossRef]
- Tucker, T.J.; Embrey, M.W.; Alleyne, C.; Amin, R.P.; Bass, A.; Bhatt, B.; Bianchi, E.; Branca, D.; Bueters, T.; Buist, N.; et al. A Series of Novel, Highly Potent, and Orally Bioavailable Next-Generation Tricyclic Peptide PCSK9 Inhibitors. J. Med. Chem. 2021, 64, 16770–16800. [Google Scholar] [CrossRef]

























































| Macrocyclic Drugs | Drug Class | MoA | MWt (g/mol) | logP | HBA | HBD | PSA (Å2) | RoA and Dosing Frequency | Tmax [t1/2] (h) | Bioavailability (%) | Protein Binding (%) | Vd (L) | Metabolism | Excretion (%) | Developed and/or Marketed by | Initial US Approval | |
|---|---|---|---|---|---|---|---|---|---|---|---|---|---|---|---|---|---|
| Urine | Feces | ||||||||||||||||
| Olysio (simeprevir) [DSC] | Antiviral (HCV) | NS3/4A protease inhibitor | 749.94 | 6.10 | 12 | 2 | 194 | 150 mg capsule PO q24 h with food | 4–6 h [10–13 h, healthy voluteers]; [41 h, HCV-infected patients] | 62 (single dose under fed conditions) | >99.9 | Primarily CYP3A4 via oxidative metabolism (possibly CYP2C8 and CYP2C19) to unchanged drug and metabolites (minor) | <1 | 91 | Johnson & Johnson | 22 November 2013 (discontinued on 25 May 2018) [34] | |
| Dalvance (dalbavancin) | Antibacterial lipoglycopeptide | Inhibition of transpeptidation and cell wall synthesis | Mixture 1816.69 | 4.39 | 38 | 21 | 573 | 1500 mg IV (a single-dose) or 1000 and 500 mg IV (two doses 1 week apart) | [346 h] | 93 | 7–13 | hydroxy-dalbavancin (minor) | 33 (P), 12 (M) | 20 | AbbVie Inc. (formerly by Allergan plc) | 23 May 2014 | |
| Orbactiv (oritavancin) Kimyrsa (oritavancin) | Antibacterial lipoglycopeptide | Inhibition of transglycosylation and transpeptidation and disruption of bacterial membrane integrity | 1793.10 | 3.84 | 36 | 22 | 561 | 1200 mg IV (a single-dose) | [245 h] | 85 | 87.6 | Not metabolized | <5 (P) | <1 (P) | Melinta Therapeutics, Inc. | 6 August 2014 15 March 2021 for Kimyrsa | |
| Vanihep (vaniprevir) | HCV | NS3/4A protease inhibitor | 757.94 | 3.90 | 14 | 3 | 189 | 150 mg PO q12h | Merck Sharp & Dohme. | 26 September 2014 (approved in Japan) | |||||||
| Viekira Pak or XR [DSC] (ombitasvir/ paritaprevir/ ritonavir/dasabuvir); Technivie ombitasvir/paritaprevir/ritonavir [DSC] | HCV | NS3/4A protease inhibitor | 765.88 | 5.13 | 14 | 3 | 198 | A fixed-dose combination product containing paritaprevir 50 or 75 mg PO two tablets (q24h) | 4–5 h [5.5 h] | 53 | 97–98.6 | 103 (Vss) | Metabolized by CYP3A4 and to a lesser extent CYP3A5 | 8.8 | 88 | AbbVie Inc. | 19 December 2014 (24 July 2015 for Technivie) (discontinued on 22 May 2018) [16] |
| Bridion (sugammadex) | Reversal agent for neuromuscular blockade | Antidote and selective relaxant binding agent | 2002.15 | −11.30 | 48 | 24 | 972 | 2, 4, or 16 mg/kg IV push as a single dose | [2 h] and prolonged in renal impairment | Negligible | 11–14 | Not metabolized | 95 (P) | Merck & Co., Inc. | 15 December 2015 | ||
| Zepatier (elbasvir/grazoprevir) | HCV | NS3/4A protease inhibitor | 766.90 | 4.37 | 15 | 3 | 204 | One tablet (50 mg/100 mg) PO (q24h) | 2 h [31 h] | 27 | 98.8 | 1250 | Hepatic (partial oxidative metabolism via CYP3A); metabolites not detected in plasma | <1 | >90 | Merck & Co. Inc. | 28 January 2016 |
| Trulance (plecanatide) | Chronic Idiopathic Constipation (CIC) and Irritable Bowel Syndrome with Constipation (IBS-C) | Guanylate cyclase-C agonist | 1681.89 | −2.81 | 44 | 26 | 819 | 3 mg PO once-daily | Minimal | Minimal | Proteolytic degradation (GI tract) | Salix Pharmaceuticals, Inc | 19 January 2017 | ||||
| Vosevi (sofosbuvir/velpatasvir/voxilaprevir) | HCV | NS3/4A protease inhibitor | 868.93 | 3.60 | 15 | 3 | 204 | A fixed-dose combination tablet (400 mg/100 mg/100 mg) PO with food q24h | 4 h [33 h] | >99 | Gilead Sciences Inc | 18 July 2017 | |||||
| Mavyret (glecaprevir/pibrentasvir | HCV | NS3/4A protease inhibitor | 838.87 | 1.19 | 15 | 3 | 204 | 300 mg/120 mg PO q24h | 5 h [6 h] | 97.5 | Secondary to CYP3A | 0.7 | 92.1 | AbbVie Inc. | 3 August 2017 | ||
| Moxidectin | Anthelmintic | binds to glutamate-gated chloride ions channels, gamma-aminobutyric acid (GABA) receptors, and/or APT-binding cassette transporters | 639.82 | 7.50 | 9 | 2 | 116 | 8 mg PO as a single dose | 4 h [23.3 days] | 2421 | Minimal | 2 (P) | Medicines Development for Global Health | 13 June 2018 | |||
| Lorbrena (lorlatinib) | Anticancer (ALK+ metastatic NSCLC) | Anaplastic lymphoma kinase (ALK) inhibitor | 406.41 | 0.78 | 8 | 2 | 110 | 100 mg PO once daily | 1.2 h [24 h] | 81 | 66 | 305 (Vss) | Primarily via CYP3A4 and UGT1A4, with minor contribution from CYP2C8, CYP2C19, CYP3A5, and UGT1A3 | 48 (<1, P) | 41 (~9, P) | Pfizer Inc. | 2 November 2018 |
| Aemcolo (rifamycin SV) | Antibacterial | Protein synthesis inhibitor by binding to the β-subunit of bacterial DNA-dependent RNA polymerase | 697.77 | 1.52 | 13 | 6 | 201 | 388 mg (two tablets) PO twice daily | <0.1 | 80 | Not expected | 86 | Aries Pharmaceuticals, Inc. | 16 November 2018 | |||
| Vyleesi (bremelanotide) | Hypoactive sexual desire disorder | Melanocortin receptor agonist | 1025.16 | 1.83 | 24 | 15 | 376 | 1.75 mg SubQ as one dose (maximum: 1.75 mg within 24 h). No more than 8 doses per month | 1 h [2.7 h] | ~100 | 21 | 25 ± 5.8 | Primarily amide hydrolysis of the cyclic peptide | 64.8 | 22.8 | Palatin Technologies | 21 June 2019 |
| Imcivree (setmelanotide) | Obesity and the control of hunger associated with pro-opiomelanocortin deficiency | Melanocortin 4 (MC4) receptor agonist | 1117.31 | −0.08 | 27 | 20 | 495 | Starting dose 2 mg SubQ q24h for 2 weeks, then 1 or 3 mg SubQ q24h | 8 h [11 h] | 79.1 | 48.7 | Metabolized into small peptides by catabolic pathways. | 39 (P) | Rhythm Pharmaceuticals, Inc. | 25 November 2020 | ||
| Lupkynis (voclosporin) | Immunosuppressant | Calcineurin inhibitor | 1214.62 | 2.89 | 23 | 5 | 279 | PO 23.7 mg (q12h) | 1.5 h [30 h] | 97 | 2154 (Vss/F) | Primarily hepatic via CYP3A4 | 2 (<1, P) | 93 (5, P) | Aurinia Pharmaceuticals Inc. | 22 January 2021 | |
| Netspot (gallium Ga 68 dotatate) | Diagnostic imaging agents | Somatostatin type 2 (sstr2) receptor binding agent | 1503.56 | 2 MBq/kg (0.054 mCi/kg) of body weight up to 200 MBq (5.4 mCi) IV bolus | [1.1 h] | Extensive | 12 (first 4 h) | Advanced Accelerator Applications | 1 June 2016 | ||||||||
| Lutathera (lutetium Lu 177 dotatate) | Somatostatin receptor-positive gastroenteropancreatic neuroendocrine tumors (GEP-NETs). | Somatostatin type 2 (sstr2) receptor binding agent | 1609.55 | 7.4 GBq (200 mCi) IV q8 weeks for a total of 4 doses | [71 ± 28 h] | 43 (non-radioactive form) | 460 | Primarily renal | Advanced Accelerator Applications | 26 January 2018 | |||||||
| Detectnet (copper Cu 64 dotatate) | Diagnostic imaging agents | Somatostatin type 2 (sstr2) receptor binding agent | 1497.55 | 148 MBq (4 mCi) IV bolus | [12.7 h] | Extensive | 16–40 over 6 h | Curium US LLC | 3 September 2020 | ||||||||
Publisher’s Note: MDPI stays neutral with regard to jurisdictional claims in published maps and institutional affiliations. |
© 2022 by the author. Licensee MDPI, Basel, Switzerland. This article is an open access article distributed under the terms and conditions of the Creative Commons Attribution (CC BY) license (https://creativecommons.org/licenses/by/4.0/).
Share and Cite
Sun, D. Recent Advances in Macrocyclic Drugs and Microwave-Assisted and/or Solid-Supported Synthesis of Macrocycles. Molecules 2022, 27, 1012. https://doi.org/10.3390/molecules27031012
Sun D. Recent Advances in Macrocyclic Drugs and Microwave-Assisted and/or Solid-Supported Synthesis of Macrocycles. Molecules. 2022; 27(3):1012. https://doi.org/10.3390/molecules27031012
Chicago/Turabian StyleSun, Dianqing. 2022. "Recent Advances in Macrocyclic Drugs and Microwave-Assisted and/or Solid-Supported Synthesis of Macrocycles" Molecules 27, no. 3: 1012. https://doi.org/10.3390/molecules27031012
APA StyleSun, D. (2022). Recent Advances in Macrocyclic Drugs and Microwave-Assisted and/or Solid-Supported Synthesis of Macrocycles. Molecules, 27(3), 1012. https://doi.org/10.3390/molecules27031012

