Antioxidant Properties of Gluten-Free Pasta Enriched with Vegetable By-Products
Abstract
1. Introduction
2. Results and Discussion
2.1. Flours
2.1.1. Chemical Characteristics
2.1.2. Lipophilic Antioxidants
2.1.3. Hydrophilic Antioxidants
2.1.4. Antioxidant Capacity
2.2. Pasta
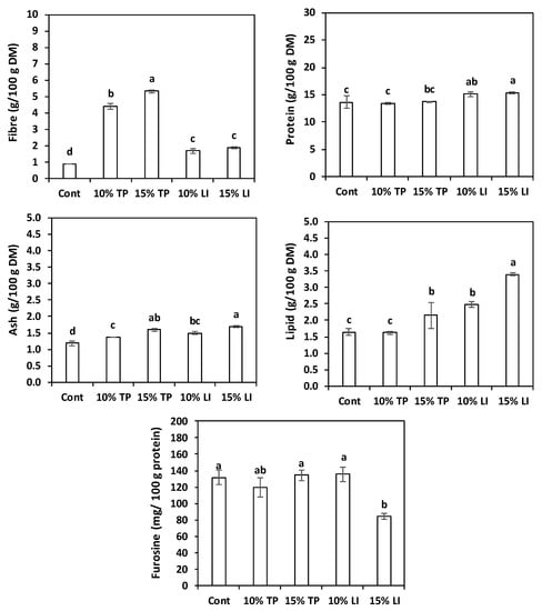
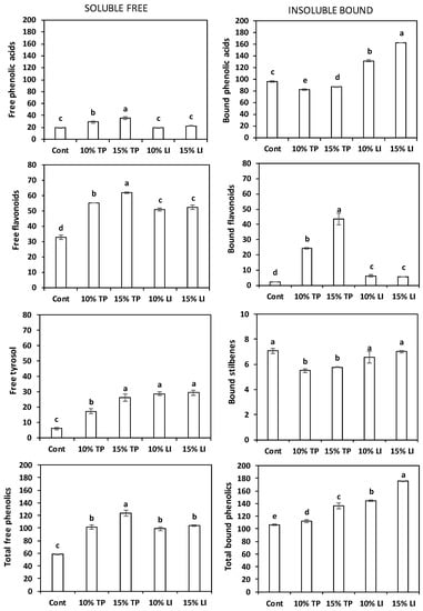
2.2.1. Chemical Characteristics
2.2.2. Lipophilic Antioxidants
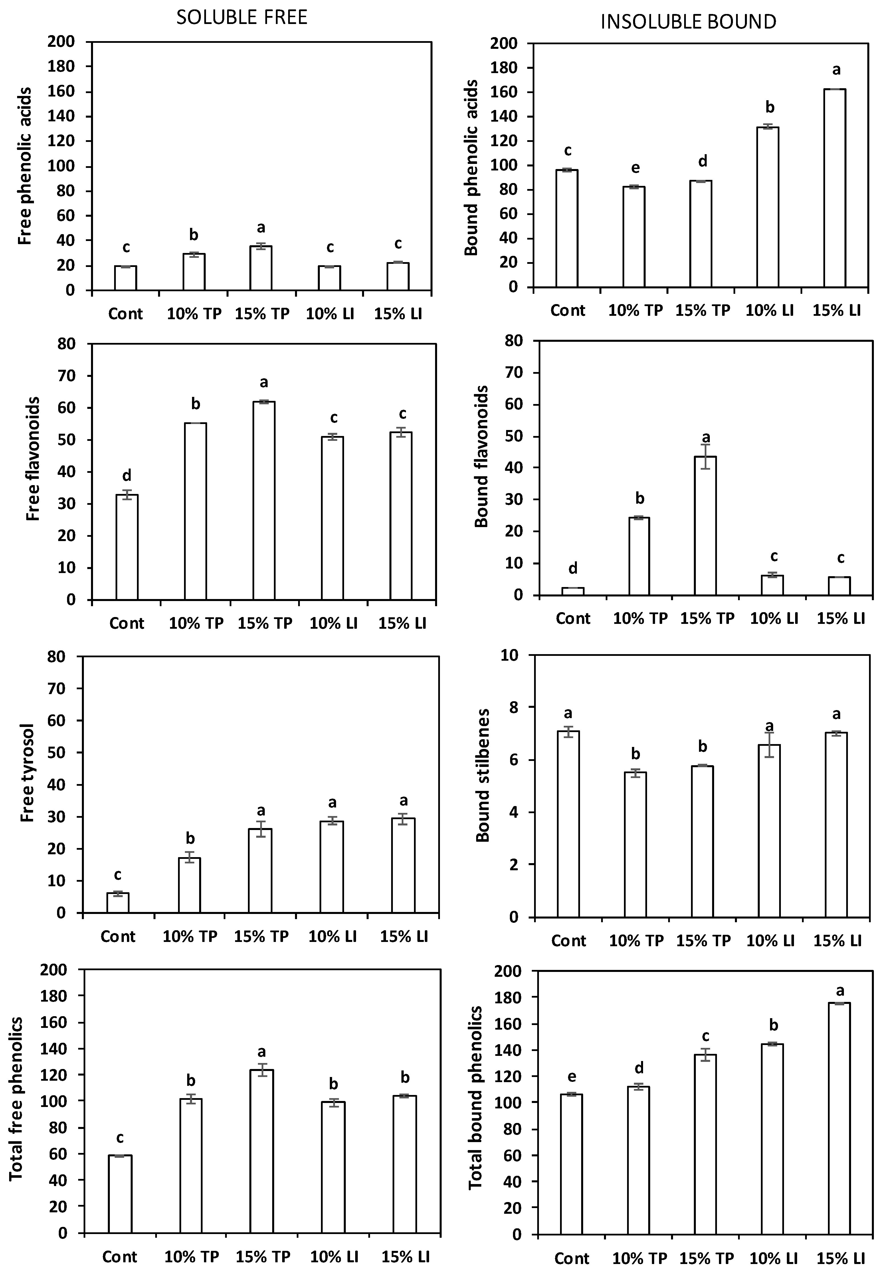
2.2.3. Hydrophilic Antioxidants
2.2.4. Antioxidant Capacity
2.2.5. Fracturability
3. Materials and Methods
3.1. Materials
3.2. Methods
3.2.1. Pasta Making
3.2.2. Chemical Composition of the Raw Materials and Pasta Samples
3.2.3. Tocols, Carotenoids, and Phenols Quantification
3.2.4. Antioxidant Capacity
3.2.5. Pasta Fracturability
3.2.6. Statistical Analysis
4. Conclusions
Supplementary Materials
Author Contributions
Funding
Institutional Review Board Statement
Informed Consent Statement
Data Availability Statement
Acknowledgments
Conflicts of Interest
References
- Ludvigsson, J.F.; Inghammar, M.; Ekberg, M.; Egesten, A. A nationwide cohort study of the risk of chronic obstructive pulmonary disease in coeliac disease. J. Intern. Med. 2012, 271, 481–489. [Google Scholar] [CrossRef] [PubMed]
- Singh, P.; Arora, A.; Strand, T.A.; Leffler, D.A.; Catassi, C.; Green, P.H.; Kelly, C.P.; Ahuja, V.; Makharia, G.K. Global prevalence of celiac disease: Systematic review and meta-analysis. Clin. Gastroenterol. Hepatol. 2018, 16, 823–836. [Google Scholar] [CrossRef] [PubMed]
- Codex Alimentarius Commission. CXS 118-1979. Adopted in 1979. Amended in 1983 and 2015. Revised in 2008. Standard for Foods for Special Dietary Use for Persons Intolerant to Gluten. Available online: https://www.fao.org/fao-who-codexalimentarius/codex-texts/list-standards/en/ (accessed on 4 November 2022).
- European Commission. Commission Implementing Regulation (EU) No 828/2014 of 30 July 2014 on the requirements for the provision of information to consumers on the absence or reduced presence of gluten in food. OJEU 2014, L228, 5–8. Available online: http://data.europa.eu/eli/reg_impl/2014/828/oj (accessed on 4 November 2022).
- Food and Drug Administration. Food labeling; Gluten-free labeling of foods. Fed. Regist. 2013, 78, 47154. Available online: https://www.federalregister.gov/documents/2013/08/05/2013-18813/food-labeling-gluten-free-labeling-of-foods (accessed on 4 November 2022).
- Gao, Y.; Janes, M.E.; Chaiya, B.; Brennan, M.A.; Brennan, C.S.; Prinyawiwatkul, W. Gluten-free bakery and pasta products: Prevalence and quality improvement. Int. J. Food Sci. Technol. 2018, 53, 19–32. [Google Scholar] [CrossRef]
- Marti, A.; Pagani, M.A. What can play the role of gluten in gluten free pasta? Trends Food Sci. Technol. 2013, 31, 63–71. [Google Scholar] [CrossRef]
- Larrosa, V.; Lorenzo, G.; Zaritzky, N.; Califano, A. Optimization of rheological properties of gluten-free pasta dough using mixture design. J. Cereal Sci. 2013, 57, 520–526. [Google Scholar] [CrossRef]
- Udachan, I.S.; Sahoo, A.K. Effect of hydrocolloids in the development of gluten free brown rice pasta. Int. J. ChemTech Res. 2017, 10, 407–415. [Google Scholar]
- Laleg, K.; Cassan, D.; Barron, C.; Prabhasankar, P.; Micard, V. Structural, culinary, nutritional and anti-nutritional properties of high protein, gluten free, 100% legume pasta. PLoS ONE 2016, 11, e0160721. [Google Scholar] [CrossRef]
- Padayachee, A.; Day, L.; Howell, K.; Gidley, M.J. Complexity and health functionality of plant cell wall fibers from fruits and vegetables. Crit. Rev. Food Sci. Nutr. 2017, 57, 59–81. [Google Scholar] [CrossRef]
- Grigoraş, C.-G. Valorisation des Fruits et des Sous-Produits de L’industrie de Transformation des Fruits par Extraction des Composés Bioactifs. Ph.D. Thesis, Université d’Orléans, Orléans, France, 24 September 2012. Available online: https://tel.archives-ouvertes.fr/tel-00772304/ (accessed on 4 November 2022).
- Sharma, S.K.; Bansal, S.; Mangal, M.; Dixit, A.K.; Gupta, R.K.; Mangal, A.K. Utilization of food processing by-products as dietary, functional, and novel fiber: A review. Crit. Rev. Food Sci. Nutr. 2016, 56, 1647–1661. [Google Scholar] [CrossRef] [PubMed]
- Ben-Othman, S.; Joudu, I.; Bhat, R. Bioactives from agri-food wastes: Present insights and future challenges. Molecules 2020, 25, 510. [Google Scholar] [CrossRef] [PubMed]
- Nour, V.; Panaite, T.D.; Ropota, M.; Turcu, R.; Trandafir, I.; Corbu, A.R. Nutritional and bioactive compounds in dried tomato processing waste. CyTA-J. Food 2018, 16, 222–229. [Google Scholar] [CrossRef]
- Elbadrawy, E.; Sello, A. Evaluation of nutritional value and antioxidant activity of tomato peel extracts. Arab. J. Chem. 2016, 9, S1010–S1018. [Google Scholar] [CrossRef]
- Nakov, G.; Brandolini, A.; Estivi, L.; Bertuglia, K.; Ivanova, N.; Jukić, M.; Komlenić, D.K.; Lukinac, J.; Hidalgo, A. Effect of tomato pomace addition on chemical, technological, nutritional, and sensorial properties of cream crackers. Antioxidants 2022, 11, 2087. [Google Scholar] [CrossRef]
- Nobre, B.P.; Palavra, A.F.; Pessoa, F.L.; Mendes, R.L. Supercritical CO2 extraction of trans-lycopene from Portuguese tomato industrial waste. Food Chem. 2009, 116, 680–685. [Google Scholar] [CrossRef]
- Chen, K.; Lu, P.; Beeraka, N.M.; Sukocheva, O.A.; Madhunapantula, S.V.; Liu, J.; Sinelnikov, M.Y.; Nikolenko, V.N.; Bulygin, K.V.; Mikhaleva, L.M.; et al. Mitochondrial mutations and mitoepigenetics: Focus on regulation of oxidative stress-induced responses in breast cancers. Semin. Cancer Biol. 2022, 83, 556–569. [Google Scholar] [CrossRef]
- Liu, Y.; Chen, C.; Wang, X.; Sun, Y.; Zhang, J.; Chen, J.; Shi, Y. An epigenetic role of mitochondria in cancer. Cells 2022, 11, 2518. [Google Scholar] [CrossRef]
- Liu, Z.; Ren, Z.; Zhang, J.; Chuang, C.C.; Kandaswamy, E.; Zhou, T.; Zuo, L. Role of ROS and nutritional antioxidants in human diseases. Front. Physiol. 2018, 9, 477. [Google Scholar] [CrossRef]
- Mueller, K.; Eisner, P.; Yoshie-Stark, Y.; Nakada, R.; Kirchhoff, E. Functional properties and chemical composition of fractionated brown and yellow linseed meal (Linum usitatissimum L.). J. Food Eng. 2010, 98, 453–460. [Google Scholar] [CrossRef]
- Kyselka, J.; Rabiej, D.; Dragoun, M.; Kreps, F.; Burčová, Z.; Němečková, I.; Smolová, J.; Bjelková, M.; Szydłowska-Czerniak, A.; Schmidt, Š.; et al. Antioxidant and antimicrobial activity of linseed lignans and phenolic acids. Eur. Food Res. Technol. 2017, 243, 1633–1644. [Google Scholar] [CrossRef]
- Padalino, L.; Conte, A.; Lecce, L.; Likyova, D.; Sicari, V.; Pellicanò, T.M.; Poiana, M.; Del Nobile, M.A. Functional pasta with tomato by-product as a source of antioxidant compounds and dietary fibre. Czech J. Food Sci. 2017, 35, 48–56. [Google Scholar] [CrossRef]
- Kaur, K.; Chhikara, N.; Sharma, P.; Garg, M.K.; Panghal, A. Coconut meal: Nutraceutical importance and food industry application. Foods Raw Mater. 2019, 7, 419–427. [Google Scholar] [CrossRef]
- Wirkijowska, A.; Zarzycki, P.; Sobota, A.; Nawrocka, A.; Blicharz-Kania, A.; Andrejko, D. The possibility of using by-products from the flaxseed industry for functional bread production. LWT 2020, 118, 108860. [Google Scholar] [CrossRef]
- Difonzo, G.; de Gennaro, G.; Pasqualone, A.; Caponio, F. Potential use of plant-based by-products and waste to improve the quality of gluten-free foods. J. Sci. Food Agric. 2022, 102, 2199–2211. [Google Scholar] [CrossRef] [PubMed]
- Fradinho, P.; Oliveira, A.; Domínguez, H.; Torres, M.D.; Sousa, I.; Raymundo, A. Improving the nutritional performance of gluten-free pasta with potato peel autohydrolysis extract. Innov. Food Sci. Emerg. Technol. 2020, 63, 102374. [Google Scholar] [CrossRef]
- Raungrusmee, S.; Shrestha, S.; Sadiq, M.B.; Anal, A.K. Influence of resistant starch, xanthan gum, inulin and defatted rice bran on the physicochemical, functional and sensory properties of low glycemic gluten-free noodles. LWT-Food Sci. Technol. 2020, 126, 109279. [Google Scholar] [CrossRef]
- Devraj, L.; Panoth, A.; Kashampur, K.; Kumar, A.; Natarajan, V. Study on physicochemical, phytochemical, and antioxidant properties of selected traditional and white rice varieties. J. Food Process Eng. 2020, 43, e13330. [Google Scholar] [CrossRef]
- Goufo, P.; Ferreira, L.M.M.; Carranca, C.; Rosa, E.A.S.; Trindade, H. Effect of elevated carbon dioxide concentration on rice quality: Proximate composition, dietary fibers, and free sugars. Cereal Chem. 2014, 91, 293–299. [Google Scholar] [CrossRef]
- Culetu, A.; Susman, I.E.; Duta, D.E.; Belc, N. Nutritional and functional properties of gluten-free flours. Appl. Sci. 2021, 11, 6283. [Google Scholar] [CrossRef]
- De Angelis, D.; Pasqualone, A.; Costantini, M.; Ricciardi, L.; Lotti, C.; Pavan, S.; Summo, C. Data on the proximate composition, bioactive compounds, physicochemical and functional properties of a collection of faba beans (Vicia faba L.) and lentils (Lens culinaris Medik.). Data Br. 2021, 34, 106660. [Google Scholar] [CrossRef] [PubMed]
- Del Valle, M.; Cámara, M.; Torija, M. Chemical characterization of tomato pomace. J. Sci. Food Agric. 2006, 86, 1232–1236. [Google Scholar] [CrossRef]
- Belović, M.; Torbica, A.; Lijaković, I.P.; Tomić, J.; Lončarević, I.; Petrović, J. Tomato pomace powder as a raw material for ketchup production. Food Biosci. 2018, 26, 193–199. [Google Scholar] [CrossRef]
- Azabou, S.; Louati, I.; Taheur, F.B.; Nasri, M.; Mechichi, T. Towards sustainable management of tomato pomace through the recovery of valuable compounds and sequential production of low-cost biosorbent. Environ. Sci. Pollut. Res. 2020, 27, 39402–39412. [Google Scholar] [CrossRef] [PubMed]
- Kaur, M.; Singh, B.; Kaur, A.; Singh, N. Proximate, mineral, amino acid composition, phenolic profile, antioxidant and functional properties of oilseed cakes. Int. J. Food Sci. Technol. 2021, 56, 6732–6741. [Google Scholar] [CrossRef]
- Mannucci, A.; Castagna, A.; Santin, M.; Serra, A.; Mele, M.; Ranieri, A. Quality of flaxseed oil cake under different storage conditions. LWT 2019, 104, 84–90. [Google Scholar] [CrossRef]
- Toor, R.K.; Savage, G.P. Antioxidant activity in different fractions of tomatoes. Food Res. Int. 2005, 38, 487–494. [Google Scholar] [CrossRef]
- Shao, D.; Atungulu, G.G.; Pan, Z.; Yue, T.; Zhang, A.; Chen, X. Separation methods and chemical and nutritional characteristics of tomato pomace. ASABE 2013, 56, 261–268. [Google Scholar] [CrossRef]
- Silva, Y.P.A.; Borba, B.C.; Pereira, V.A.; Reis, M.G.; Caliari, M.; Brooks, M.S.; Ferreira, T.A.P.C. Characterization of tomato processing by-product for use as a potential functional food ingredient: Nutritional composition, antioxidant activity and bioactive compounds. Int. J. Food Sci. Nutr. 2019, 70, 150–160. [Google Scholar] [CrossRef]
- Szabo, K.; Dulf, F.V.; Diaconeasa, Z.; Vodnar, D.C. Antimicrobial and antioxidant properties of tomato processing byproducts and their correlation with the biochemical composition. Food Sci. Technol. 2019, 116, 108558. [Google Scholar] [CrossRef]
- Kan, L.; Nie, S.; Hu, J.; Wang, S.; Bai, Z.; Wang, J.; Zhou, Y.; Jiang, J.; Zeng, Q.; Song, K. Comparative study on the chemical composition, anthocyanins, tocopherols and carotenoids of selected legumes. Food Chem. 2018, 260, 317–326. [Google Scholar] [CrossRef] [PubMed]
- Rodríguez, G.; Aguirre, E.; Córdova-Chang, A.; Muñoz, J.; Baquerizo, M.; Brandolini, A.; Villanueva, E.; Hidalgo, A. Modification of the nutritional quality and oxidative stability of lupin (Lupinus mutabilis Sweet) and sacha inchi (Plukenetia volubilis L.) oil blends. Molecules 2022, 27, 7315. [Google Scholar] [CrossRef] [PubMed]
- Kalogeropoulos, N.; Chiou, A.; Ioannou, M.; Karathanos, V.T.; Hassapidou, M.; Andrikopoulos, N.K. Nutritional evaluation and bioactive microconstituents (phytosterols, tocopherols, polyphenols, triterpenic acids) in cooked dry legumes usually consumed in the Mediterranean countries. Food Chem. 2010, 121, 682–690. [Google Scholar] [CrossRef]
- Goufo, P.; Trindade, H. Rice antioxidants: Phenolic acids, flavonoids, anthocyanins, proanthocyanidins, tocopherols, tocotrienols, γ-oryzanol, and phytic acid. Food Sci. Nutr. 2014, 2, 75–104. [Google Scholar] [CrossRef]
- Johnson, J.B.; Skylas, D.J.; Mani, J.S.; Xiang, J.; Walsh, K.B.; Naiker, M. Phenolic profiles of ten Australian faba bean varieties. Molecules 2021, 26, 4642. [Google Scholar] [CrossRef]
- Giusti, F.; Caprioli, G.; Ricciutelli, M.; Vittori, S.; Sagratini, G. Determination of fourteen polyphenols in pulses by high performance liquid chromatography-diode array detection (HPLC-DAD) and correlation study with antioxidant activity and colour. Food Chem. 2017, 221, 689–697. [Google Scholar] [CrossRef]
- Abbasi-Parizad, P.; De Nisi, P.; Scaglia, B.; Scafaroni, A.; Pilu, S.; Adani, F. Recovery of phenolic compounds from agro-industrial by-products: Evaluating antiradical activities and immunomodulatory properties. Food Bioprod. Process. 2021, 127, 338–348. [Google Scholar] [CrossRef]
- Perea-Domínguez, X.P.; Hernández-Gastelum, L.Z.; Olivas-Olguin, H.R.; Espinosa-Alonso, L.G.; Valdez-Morales, M.; Medina-Godoy, S. Phenolic composition of tomato varieties and an industrial tomato by-product: Free, conjugated and bound phenolics and antioxidant activity. J. Food Sci. Technol. 2018, 55, 3453–3461. [Google Scholar] [CrossRef]
- Valdez-Morales, M.; Espinosa-Alonso, L.G.; Espinoza-Torres, L.C.; Delgado-Vargas, F.; Medina-Godoy, S. Phenolic content and antioxidant and antimutagenic activities in tomato peel, seeds, and byproducts. J. Agric. Food Chem. 2014, 62, 5281–5289. [Google Scholar] [CrossRef]
- Tian, S.; Nakamura, K.; Kayahara, H. Analysis of phenolic compounds in white rice, brown rice, and germinated brown rice. J. Agric. Food Chem. 2004, 52, 4808–4813. [Google Scholar] [CrossRef]
- Zhu, L.; Li, W.; Deng, Z.; Li, H.; Zhang, B. The composition and antioxidant activity of bound phenolics in three legumes, and their metabolism and bioaccessibility of gastrointestinal tract. Foods 2020, 9, 1816. [Google Scholar] [CrossRef] [PubMed]
- Zarzycki, P.; Sykut-Domańska, E.; Sobota, A.; Teterycz, D.; Krawęcka, A.; Blicharz-Kania, A.; Andrejko, D.; Zdybel, B. Flaxseed enriched pasta—Chemical composition and cooking quality. Foods 2020, 9, 404. [Google Scholar] [CrossRef] [PubMed]
- Giannetti, V.; Boccacci Mariani, M.; Mannino, P. Furosine as a pasta quality marker: Evaluation by an innovative and fast chromatographic approach. J. Food Sci. 2013, 78, C994–C999. [Google Scholar] [CrossRef] [PubMed]
- Ćetković, G.; Šeregelj, V.; Brandolini, A.; Čanadanović-Brunet, J.; Tumbas Šaponjac, V.; Vulić, J.; Šovljanski, O.; Četojević-Simin, D.; Škrobot, D.; Mandić, A.; et al. Composition, texture, sensorial quality, and biological activity after in vitro digestion of durum wheat pasta enriched with carrot waste extract encapsulates. Int. J. Food Sci. Nutr. 2022, 73, 638–649. [Google Scholar] [CrossRef]
- Fratianni, A.; Giuzio, L.; Di Criscio, T.; Zina, F.; Panfili, G. Response of carotenoids and tocols of durum wheat in relation to water stress and sulfur fertilization. J. Agric. Food Chem. 2013, 61, 2583–2590. [Google Scholar] [CrossRef]
- Van Hung, P.; Hatcher, D.W. Ultra-performance liquid chromatography (UPLC) quantification of carotenoids in durum wheat: Influence of genotype and environment in relation to the colour of yellow alkaline noodles (YAN). Food Chem. 2011, 125, 1510–1516. [Google Scholar] [CrossRef]
- Hidalgo, A.; Brandolini, A.; Pompei, C. Carotenoids evolution during pasta, bread and water biscuit preparation from wheat flours. Food Chem. 2010, 121, 746–751. [Google Scholar] [CrossRef]
- Padalino, L.; D’Antuono, I.; Durante, M.; Conte, A.; Cardinali, A.; Linsalata, V.; Mita, G.; Logrieco, A.F.; Del Nobile, M.A. Use of olive oil industrial by-product for pasta enrichment. Antioxidants 2018, 7, 59. [Google Scholar] [CrossRef]
- Kaur, M.; Dhaliwal, M.; Kaur, H.; Singh, M.; Punia Bangar, S.; Kumar, M.; Pandiselvam, R. Preparation of antioxidant-rich tricolor pasta using microwave processed orange pomace and cucumber peel powder: A study on nutraceutical, textural, color, and sensory attributes. J. Texture Stud. 2021, 53, 834–843. [Google Scholar] [CrossRef]
- FAO/WHO. Vitamin and Mineral Requirements in Human Nutrition, 2nd ed.; WHO: Bangkok, Thailand, 2004; pp. 94–107. Available online: https://www.who.int/publications/i/item/9241546123 (accessed on 4 November 2022).
- Oniszczuk, A.; Widelska, G.; Wójtowicz, A.; Oniszczuk, T.; Wojtunik-Kulesza, K.; Dib, A.; Matwijczuk, A. Content of phenolic compounds and antioxidant activity of new gluten-free pasta with the addition of chestnut flour. Molecules 2019, 24, 2623. [Google Scholar] [CrossRef]
- Balli, D.; Cecchi, L.; Innocenti, M.; Bellumori, M.; Mulinacci, N. Food by-products valorisation: Grape pomace and olive pomace (pâté) as sources of phenolic compounds and fiber for enrichment of tagliatelle pasta. Food Chem. 2021, 355, 129642. [Google Scholar] [CrossRef] [PubMed]
- Rodríguez De Marco, E.; Steffolani, M.E.; Martínez, C.S.; León, A.E. Effects of spirulina biomass on the technological and nutritional quality of bread wheat pasta. LWT 2014, 58, 102–108. [Google Scholar] [CrossRef]
- Jayasena, V.; Nasar-Abbas, S.M. Development and quality evaluation of high-protein and high-dietary-fiber pasta using lupin flour. J. Texture Stud. 2012, 43, 153–163. [Google Scholar] [CrossRef]
- AACC International. Method 44-15.02. In Approved Methods of Analysis, 11th ed.; Cereals & Grains Association: St. Paul, MN, USA, 1999. [Google Scholar]
- AOAC International. Methods n. 923.03, 978.10 and 979.09. In Official Methods of Analysis of AOAC International (OMA); Association of Official Analytical Chemists: Washington, DC, USA, 2000; Available online: http://www.eoma.aoac.org/ (accessed on 4 November 2022).
- AOCS. Method: Ba 3-38. In Official Methods and Recommended Practices of the AOCS, 6th ed.; The American Oil Chemists’ Society: Urbana, IL, USA, 2012. [Google Scholar]
- ICC Standard Methods, 2nd Supplement. Method: 136; International Association for Cereal Science and Technology: Vienna, Austria, 1995.
- Hidalgo, A.; Brandolini, A. Evaluation of heat damage, sugars, amylases and colour in breads from einkorn, durum and bread wheat flour. J. Cereal Sci. 2011, 54, 90–97. [Google Scholar] [CrossRef]
- Hidalgo, A.; Brandolini, A. Tocopherols stability during bread, water biscuit and pasta processing from wheat flours. J. Cereal Sci. 2010, 52, 254–259. [Google Scholar] [CrossRef]
- Rodríguez, G.; Squeo, G.; Estivi, L.; Quezada Berru, S.; Buleje, D.; Caponio, F.; Brandolini, A.; Hidalgo, A. Changes in stability, tocopherols, fatty acids and antioxidant capacity of sacha inchi (Plukenetia volubilis) oil during French fries deep-frying. Food Chem. 2021, 340, 127942. [Google Scholar] [CrossRef]
- Brandolini, A.; Hidalgo, A.; Gabriele, S.; Heun, M. Chemical composition of wild and feral diploid wheats and their bearing on domesticated wheats. J. Cereal Sci. 2015, 63, 122–127. [Google Scholar] [CrossRef]
- Nakov, G.; Brandolini, A.; Hidalgo, A.; Ivanova, N.; Stamatovska, V.; Dimov, I. Effect of grape pomace powder addition on chemical, nutritional and technological properties of cakes. LWT 2020, 134, 109950. [Google Scholar] [CrossRef]
- Yilmaz, V.A.; Brandolini, A.; Hidalgo, A. Phenolic acids and antioxidant activity of wild, feral and domesticated diploid wheats. J. Cereal Sci. 2015, 64, 168–175. [Google Scholar] [CrossRef]
- Brandolini, A.; Glorio-Paulet, P.; Estivi, L.; Locatelli, N.; Cordova-Ramos, J.S.; Hidalgo, A. Tocopherols, carotenoids and phenolics changes during Andean lupin (Lupinus mutabilis Sweet) seeds processing. J. Food Compos. Anal. 2022, 106, 104335. [Google Scholar] [CrossRef]
- Re, R.; Pellegrini, N.; Proteggente, A.; Pannala, A.; Yang, M.; Rice-Evans, C. Antioxidant activity applying an improved ABTS radical cation decolorization assay. Free Radic. Biol. Med. 1999, 26, 1231–1237. [Google Scholar] [CrossRef] [PubMed]





| Rice | Fava Bean | Tomato By-Product | Linseed Meal | |
|---|---|---|---|---|
| Moisture (g/100 g) | 11.38 ± 0.17 a | 11.60 ± 0.55 a | 8.77 ± 0.20 b | 8.28 ± 0.61 b |
| Protein (g/100 g DM) | 7.57 ± 0.31 c | 26.78 ± 0.74 a | 14.92 ± 0.56 b | 26.69 ± 1.15 a |
| Ash (g/100 g DM) | 0.22 ± 0.01 d | 3.24 ± 0.00 c | 4.43 ± 0.02 b | 5.54 ± 0.00 a |
| Lipid (g/100 g DM) | 0.76 ± 0.01 d | 2.08 ± 0.03 c | 5.48 ± 0.17 b | 16.92 ± 0.09 a |
| Furosine (mg/100 g protein) | nd d | 7.45 ± 0.51 b | 12.61 ± 0.17 a | 3.85 ± 0.65 c |
| Rice | Fava Bean | Tomato By-Product | Linseed Meal | |
|---|---|---|---|---|
| Carotenoids | ||||
| Lycopene + β-carotene | 0.06 ± 0.01 c | 0.32 ± 0.11 b | 8.72 ± 1.35 a | 0.48 ± 0.26 b |
| β-cryptoxanthin | nd | 0.02 ± 0.01 | 0.09 ± 0.01 | 0.08 ± 0.02 |
| Lutein | nd c | 5.26 ± 0.28 a | 1.66 ± 0.12 b | 1.72 ± 0.24 b |
| Zeaxanthin | 0.02 ± 0.01 b | 0.12 ± 0.04 b | 0.33 ± 0.09 a | 0.14 ± 0.06 b |
| Total | 0.08 ± 0.00 c | 5.73 ± 0.44 b | 10.79 ± 1.57 a | 2.43 ± 0.58 c |
| Tocols | ||||
| α-tocopherol | nd c | 5.93 ± 0.14 b | 17.23 ± 1.23 a | nd c |
| α-tocotrienol | nd b | nd b | nd b | 2.19 ± 0.06 a |
| β-tocopherol | nd | 1.05 ± 0.67 | 1.40 ± 0.12 | 1.56 ± 0.08 |
| β-tocotrienol | nd b | nd b | nd b | 106.38 ± 1.73 a |
| γ-tocopherol | nd d | 82.97 ± 0.38 a | 68.58 ± 4.82 b | 48.66 ± 0.28 c |
| γ-tocotrienol | 0.89 ± 0.02 a | 0.71 ± 0.09 b | nd c | nd c |
| δ-tocopherol | nd c | 0.99 ± 0.17 a | 0.92 ± 0.09 a | 0.50 ± 0.02 b |
| δ-tocotrienol | nd b | nd b | 3.60 ± 0.28 a | nd b |
| Total | 0.89 ± 0.02 c | 91.65 ± 0.17 b | 91.72 ± 6.55 b | 159.28 ± 2.16 a |
| Rice | Fava Bean | Tomato By-Product | Linseed Meal | |
|---|---|---|---|---|
| Free phenolic acids | ||||
| Protocatechuic | nd c | 305.07 ± 0.49 a | 37.31 ± 1.31 b | na |
| 4-hydroxybenzoic | nd c | 8.14 ± 1.06 b | 24.38 ± 0.66 a | na |
| Syringic | nd c | 72.14 ± 2.72 b | 108.80 ± 7.54 a | na |
| p-coumaric | nd c | 0.14 ± 0.01 b | 1.81 ± 0.00 a | na |
| Ferulic | nd c | 1.36 ± 0.05 b | 15.79 ± 0.43 a | na |
| Total | nd c | 386.85 ± 2.22 a | 188.10 ± 5.14 b | na |
| Free flavonoids | ||||
| Catechin | nd b | 659.13 ± 38.5 a | nd b | na |
| Epicatechin | nd c | 40.37 ± 1.81 b | 52.26 ± 1.49 a | na |
| Rutin | nd b | nd b | 133.83 ± 2.64 a | na |
| Quercetin | nd b | nd b | 15.11 ± 0.02 a | na |
| Quercetin derivative | nd c | 3.97 ± 0.08 b | 70.21 ± 2.20 a | na |
| Naringenin | nd b | nd b | 125.05 ± 1.27 a | na |
| Apigenin | nd b | nd b | 6.74 ± 0.17 a | na |
| Total | nd c | 703.46 ± 40.25 a | 403.20 ± 0.85 b | na |
| Phenylethanoids | ||||
| Tyrosol | nd c | 47.45 ± 3.13 b | 455.44 ± 10.01 a | na |
| Total free phenolics | nd b | 1137.76 ± 45.84 a | 1046.74 ± 4.02 a | na |
| Bound phenolic acids | ||||
| Protocatechuic | 2.16 ± 0.08 c | 0.25 ± 0.00 c | 13.95 ± 0.75 b | 180.10 ± 5.35 a |
| 4-hydroxybenzoic | 1.08 ± 0.14 c | nd d | 22.03 ± 0.26 a | 7.56 ± 0.13 b |
| Caffeic | 0.14 ± 0.02 c | nd d | 14.51 ± 10.40 a | 1.33 ± 0.09 b |
| p-coumaric | 0.19 ± 0.10 c | 0.06 ± 0.00 c | 9.49 ± 0.53 a | 2.71 ± 0.02 b |
| Sinapic | 0.31 ± 0.02 b | 0.65 ± 0.29 b | nd | 2.49 ± 0.01 a |
| Ferulic | 100.46 ± 7.56 b | 4.54 ± 0.08 d | 32.60 ± 0.40 c | 144.16 ± 3.98 a |
| Cinnamic derivative | 0.66 ± 0.02 c | 0.63 ± 0.01 c | 40.24 ± 1.03 a | 1.35 ± 0.04 b |
| Total | 105.00 ± 7.59 c | 6.13 ± 0.37 d | 132.80 ± 11.35 b | 339.69 ± 9.53 a |
| Bound flavonoids | ||||
| Epicatechin | nd c | nd c | 121.38 ± 2.63 a | 8.97 ± 0.56 b |
| Quercetin | 0.79 ± 0.33 c | nd d | 201.31 ± 5.91 a | 2.50 ± 0.04 b |
| Naringenin | 0.30 ± 0.09 c | nd d | 590.47 ± 2.18 a | 3.82 ± 0.13 b |
| Total | 1.10 ± 0.24 c | nd d | 913.16 ± 6.37 a | 15.29 ± 0.39 b |
| Bound stilbenes | ||||
| Resveratrol derivative | 2.13 ± 0.41 a | 0.55 ± 0.02 b | nd c | 1.44 ± 0.02 a |
| Resveratrol | 4.54 ± 0.74 b | 0.67 ± 0.04 c | nd d | 7.80 ± 1.21 a |
| Total | 6.67 ± 1.15 b | 1.22 ± 0.0 c | nd d | 9.24 ± 1.19 a |
| Total bound phenolics | 112.77 ± 8.49 c | 7.35 ± 0.35 d | 1046.0 ± 17.7 a | 364.22 ± 8.74 b |
Publisher’s Note: MDPI stays neutral with regard to jurisdictional claims in published maps and institutional affiliations. |
© 2022 by the authors. Licensee MDPI, Basel, Switzerland. This article is an open access article distributed under the terms and conditions of the Creative Commons Attribution (CC BY) license (https://creativecommons.org/licenses/by/4.0/).
Share and Cite
Betrouche, A.; Estivi, L.; Colombo, D.; Pasini, G.; Benatallah, L.; Brandolini, A.; Hidalgo, A. Antioxidant Properties of Gluten-Free Pasta Enriched with Vegetable By-Products. Molecules 2022, 27, 8993. https://doi.org/10.3390/molecules27248993
Betrouche A, Estivi L, Colombo D, Pasini G, Benatallah L, Brandolini A, Hidalgo A. Antioxidant Properties of Gluten-Free Pasta Enriched with Vegetable By-Products. Molecules. 2022; 27(24):8993. https://doi.org/10.3390/molecules27248993
Chicago/Turabian StyleBetrouche, Amel, Lorenzo Estivi, Davide Colombo, Gabriella Pasini, Leila Benatallah, Andrea Brandolini, and Alyssa Hidalgo. 2022. "Antioxidant Properties of Gluten-Free Pasta Enriched with Vegetable By-Products" Molecules 27, no. 24: 8993. https://doi.org/10.3390/molecules27248993
APA StyleBetrouche, A., Estivi, L., Colombo, D., Pasini, G., Benatallah, L., Brandolini, A., & Hidalgo, A. (2022). Antioxidant Properties of Gluten-Free Pasta Enriched with Vegetable By-Products. Molecules, 27(24), 8993. https://doi.org/10.3390/molecules27248993

