Study on the Influence of Metal Ions on the Dispersion of Fine Calcium Gangue Minerals
Abstract
:1. Introduction
2. Results and Discussion
2.1. Dispersion Behavior Analysis
2.2. Zeta Analysis
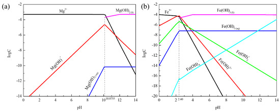
2.3. The Solution Chemistry Analysis
2.4. SEM, EDS, and XPS Analysis
3. Experimental
3.1. Samples and Reagents
3.2. XRD and XRF Analysis
3.3. Dispersion Experiment Analysis
3.4. Zeta Analysis
3.5. SEM and EDS Analysis
3.6. XPS Analysis
4. Conclusions
Author Contributions
Funding
Institutional Review Board Statement
Informed Consent Statement
Data Availability Statement
Conflicts of Interest
Sample Availability
References
- Liu, Y.; Liu, Q. Flotation separation of carbonate from sulfide minerals, I: Flotation of single minerals and mineral mixtures. Miner. Eng. 2004, 17, 855–863. [Google Scholar] [CrossRef]
- Tabatabaei, R.H.; Nagaraj, D.; Vianna, S.M.; Napier-Munn, T.J.; Gorain, B. The effect of non-sulphide gangue minerals on the flotation of sulphide minerals from Carlintype gold ores. Miner. Eng. 2014, 60, 26–32. [Google Scholar] [CrossRef]
- Irannajad, M.; Ejtemaei, M.; Gharabaghi, M. The effect of reagents on selective flotation of smithsonite–calcite–quartz. Miner. Eng. 2009, 22, 766–771. [Google Scholar] [CrossRef]
- Song, S.; Lopez-Valdivieso, A.; Martinez-Martinez, C.; Torres-Armenta, R. Improving fluorite flotation from ores by dispersion processing. Miner. Eng. 2006, 19, 912–917. [Google Scholar] [CrossRef]
- Gao, Y.; Gao, Z.; Sun, W.; Hu, Y. Selective flotation of scheelite from calcite: A novel reagent scheme. Int. J. Miner. Process. 2016, 154, 10–15. [Google Scholar] [CrossRef]
- Geng, Z.Q.; Liu, R.Q.; Sun, W. Experimental study on sliding-microbubble flotation of a sliding-chalcopyrite from Hebei Province. Min. Metall. Eng. 2017, 37, 56–63. [Google Scholar]
- Liu, C.; Song, S.X.; Li, H.Q.; Li, Y.B.; Ai, G.H. Elimination of the adverse effect of calcite slimes on the sulfdization flotation of malachite in the presence of water glass. Colloids Surf. A 2019, 523, 324–329. [Google Scholar] [CrossRef]
- Gao, Z.; Bai, D.; Sun, W.; Cao, X.; Hu, Y. Selective flotation of scheelite from calcite and fluorite using a collector mixture. Miner. Eng. 2015, 72, 23–26. [Google Scholar] [CrossRef]
- Arnold, R.; Brownbill, E.E.; Ihle, S.W. Hallimond tube flotation of scheelite and calcite with amines. Int. J. Miner. Process. 1978, 5, 143–152. [Google Scholar] [CrossRef]
- Li, C.G.; Lü, Y.X. Selective flotation of scheelite from calcium minerals with sodium oleate as a collector and phosphates as modifiers II. The mechanism of the interaction between phosphate modifiers and minerals. Int. J. Miner. Process 1983, 10, 219–235. [Google Scholar]
- Luo, N.; Wei, D.Z.; Shen, Y.B.; Liu, W.G.; Gao, S.L. Effect of calcium ion on the separation of rhodochrosite and calcite. J. Mater. Res. Technol. 2018, 7, 96–101. [Google Scholar] [CrossRef]
- Faramarzpour, A.; Samadzadeh Yazdi, M.R.; Mohammadi, B.; Chehreh Chelgani, S. Calcite in froth flotation—A review. J. Mater. Res. Technol. 2022, 19, 1231–1241. [Google Scholar] [CrossRef]
- Jin, C.X. Study on Influence of Slime on Flotation Behavior of Smithsonite; China University of Mining and Technology: Xuzhou, China, 2017. [Google Scholar]
- Zhu, C.J. Study on the Effect of Slimes on Flotation of Zinc Oxide Mineral. Multipurp. Utilization Min. Res. 2005, 1, 7–11. [Google Scholar] [CrossRef]
- Liu, S.M.; Cao, X.F.; Sun, W.; Han, H.S. Experimental study on desliming method of a high calcium magnesium silicate copper ore. Nonferrous Metal. Eng. 2020, 10, 66–73. [Google Scholar]
- Chen, G.; Grano, S.; Sobieraj, S.; Ralston, J. The effect of high intensity conditioning on the flotation of a nickel ore. Part 1: Size-by-size analysis. Miner. Eng. 1999, 12, 1185–1200. [Google Scholar] [CrossRef]
- Kienko, L.; Voronova, O. Selective flotation of fine-ingrained carbonate-fluorite ore in pulp of increased dispersion uniformity. J. Min. Sci. 2014, 50, 176–181. [Google Scholar] [CrossRef]
- Krishnan, S.V.; Iwasaki, I.; Chen, Y.L. Slurry dispersion of selective desliming of iron Ore. Met. Ore Process Abroad 1985, 15–20. [Google Scholar]
- Paananen, A.D.; Turcotte, W.A.; Xing, W.Z. Factors influencing the practice of selective flocculation and desliding in Tilden Iron Concentrator. Met. Ore Process Abroad 1981, 3–7. [Google Scholar]
- Xing, W.Z. Research and practical experience of selective flocculation and desliming. Met. Min. 1981, 47–49. [Google Scholar]
- Iwasaki, I.; Smith, K.A.; Sun, Z.X. Effect of calcium and magnesium ions on selective desliming and cationic flotation of quartz in iron ore. Met. Ore Process Abroad 1981, 31–40. [Google Scholar]
- He, T.S.; Song, Q.Y. Study on selective flocculation-desliming of fine grained weakly magnetic iron ore. China Min. 1996, 5, 39–42. [Google Scholar]
- Shi, Q.; Zhang, G.F.; Feng, Q.M.; Deng, H. Effect of solution chemistry on the flotation system of smithsonite and calcite. Int. J. Miner. Process. 2013, 119, 34–39. [Google Scholar] [CrossRef]
- Hu, Y.; Xu, J.; Luo, C.; Yuan, C. Solution chemistry studies on dodecylamine flotation of smithsonite/calcite. J. Cent. S. Univ. Technol. 1995, 26, 589–594. [Google Scholar]
- Somasundaran, P.; Zhang, L.; Fuerstenau, D.W. The effect of environment, oxidation and dissolved metal species on the chemistry of coal flotation. Int. J. Miner. Process. 2000, 58, 85–97. [Google Scholar] [CrossRef]
- Somasundaran, P.; Liu, D. Dissolved mineral species precipitation during coal flotation. Fuel Energy Abstr. 1998, 3, 170. [Google Scholar]
- Zhou, Y.L.; Hu, Y.H.; Wang, Y.H. Effect of metallic ions on dispersibility of fine diaspore. Trans. Nonferrous Met. Soc. China 2011, 21, 1166–1171. [Google Scholar] [CrossRef]
- Huang, P.C.; Douglas, W.F. The effect of the adsorption of lead and cadmium ions on the interfacial behavior of quartz and talc. Colloids Surf. 2001, 177, 147–156. [Google Scholar] [CrossRef]
- Fang, Q.X. Effect of calcium and magnesium on dispersion stability of fine ore and its mechanism. Met. Ore Dress. Abroad 1998, 35, 42–45. [Google Scholar]
- Deng, R.D.; Hu, Y.; Ku, J.G.; Zuo, W.R.; Yang, Z.G. Adsorption of Fe(III) on smithsonite surfaces and implications for flotation. Colloids Surf. A 2017, 533, 308–315. [Google Scholar] [CrossRef]
- Gao, Z.Y.; Jiang, Z.Y.; Sun, W.; Gao, Y.S. Typical roles of metal ions in mineral flotation: A review. Trans. Nonferrous Met. Soc. China 2021, 31, 2081–2101. [Google Scholar] [CrossRef]
- Wang, D.Z.; Hu, Y.H. The role of hydroxide surface precipitation in quartz flotation. Zhongnan Inst. Min. Metall. 1990, 21, 248–253. [Google Scholar]
- Wang, D.Z. Solution Chemistry of Flotation; Hunan Science and Technology Press: Changsha, China, 1988; pp. 132–134. ISBN 7-5357-0403-4. [Google Scholar]
- Ren, J.; Song, S.; Lopez-Valdivieso, A.; Shen, J.; Lu, S. Dispersion of Silica Fines in Water-Ethanol Suspensions. J. Colloid Interface Sci. 2001, 238, 279–284. [Google Scholar] [CrossRef]
- Carver, J.; Schweitzer, G.; Carlson, T.A. Use of X-Ray photoelectron spectroscopy to study bonding in Cr, Mn, Fe, and Co compounds. J. Chem. Phys. 1972, 57, 973–982. [Google Scholar] [CrossRef]
- Mullet, M.; Khare, V.; Ruby, C. XPS study of Fe (II), Fe (III)(oxy) hydroxycarbonate green rust compounds. Surf. Interface Anal. 2008, 40, 323–328. [Google Scholar] [CrossRef]







| Metal Ions | α1 | α2 | α3 | α4 | KS0 | KS1 | KS2 | KS3 |
|---|---|---|---|---|---|---|---|---|
| Mg2+ | 2.58 | 1.0 | / | / | 11.17 | 8.59 | / | / |
| Fe3+ | 11.81 | 22.3 | 32.05 | 34.3 | 39.24 | 27.43 | 16.94 | 7.19 |
| Element | CaCO3 | MgO | SiO2 | Al2O3 | Fe2O3 | Other |
|---|---|---|---|---|---|---|
| wt. (%) | 99.00 | 0.69 | 0.16 | 0.04 | 0.02 | 0.09 |
Publisher’s Note: MDPI stays neutral with regard to jurisdictional claims in published maps and institutional affiliations. |
© 2022 by the authors. Licensee MDPI, Basel, Switzerland. This article is an open access article distributed under the terms and conditions of the Creative Commons Attribution (CC BY) license (https://creativecommons.org/licenses/by/4.0/).
Share and Cite
Liu, Z.; Liu, J.; Liao, Y.; Ma, Z.; Jin, C. Study on the Influence of Metal Ions on the Dispersion of Fine Calcium Gangue Minerals. Molecules 2022, 27, 8963. https://doi.org/10.3390/molecules27248963
Liu Z, Liu J, Liao Y, Ma Z, Jin C. Study on the Influence of Metal Ions on the Dispersion of Fine Calcium Gangue Minerals. Molecules. 2022; 27(24):8963. https://doi.org/10.3390/molecules27248963
Chicago/Turabian StyleLiu, Zhongyi, Jie Liu, Yinfei Liao, Zilong Ma, and Chenxi Jin. 2022. "Study on the Influence of Metal Ions on the Dispersion of Fine Calcium Gangue Minerals" Molecules 27, no. 24: 8963. https://doi.org/10.3390/molecules27248963
APA StyleLiu, Z., Liu, J., Liao, Y., Ma, Z., & Jin, C. (2022). Study on the Influence of Metal Ions on the Dispersion of Fine Calcium Gangue Minerals. Molecules, 27(24), 8963. https://doi.org/10.3390/molecules27248963

