Electrochemical Sensor Based on Multi-Walled Carbon Nanotubes and N-Doped TiO2 Nanoparticles for Voltametric Simultaneous Determination of Benserazide and Levodopa
Abstract
1. Introduction
2. Results and Discussion
2.1. Characterization of MWCNTs and MWCNTs/N-TiO2 Composite
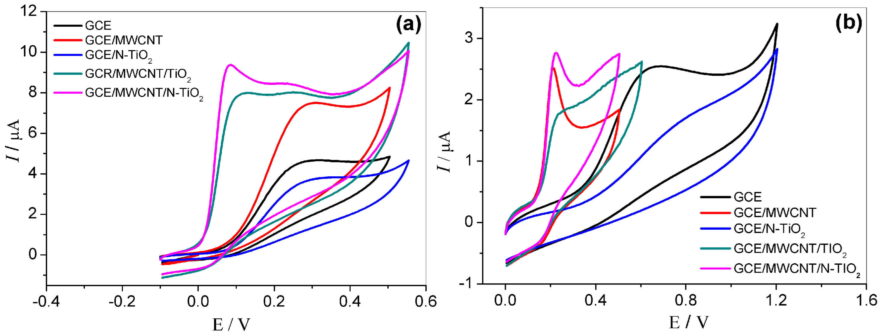
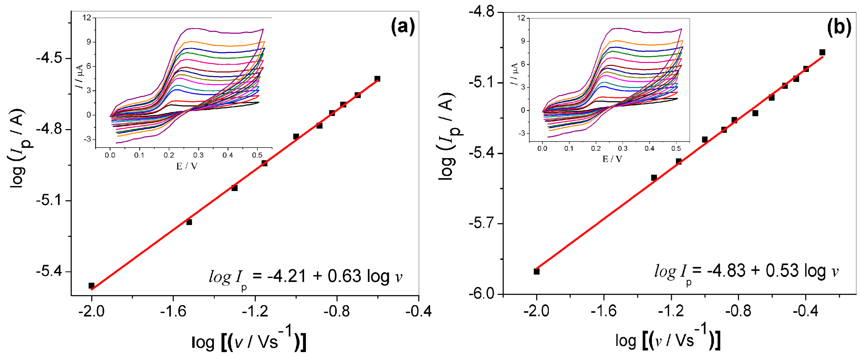
2.2. Electrochemical Properties of Modified Electrode
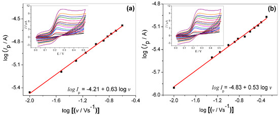
2.3. Electrochemical Behavior of BEZ and L-Dopa at GCE/MWCNT/N-TiO2
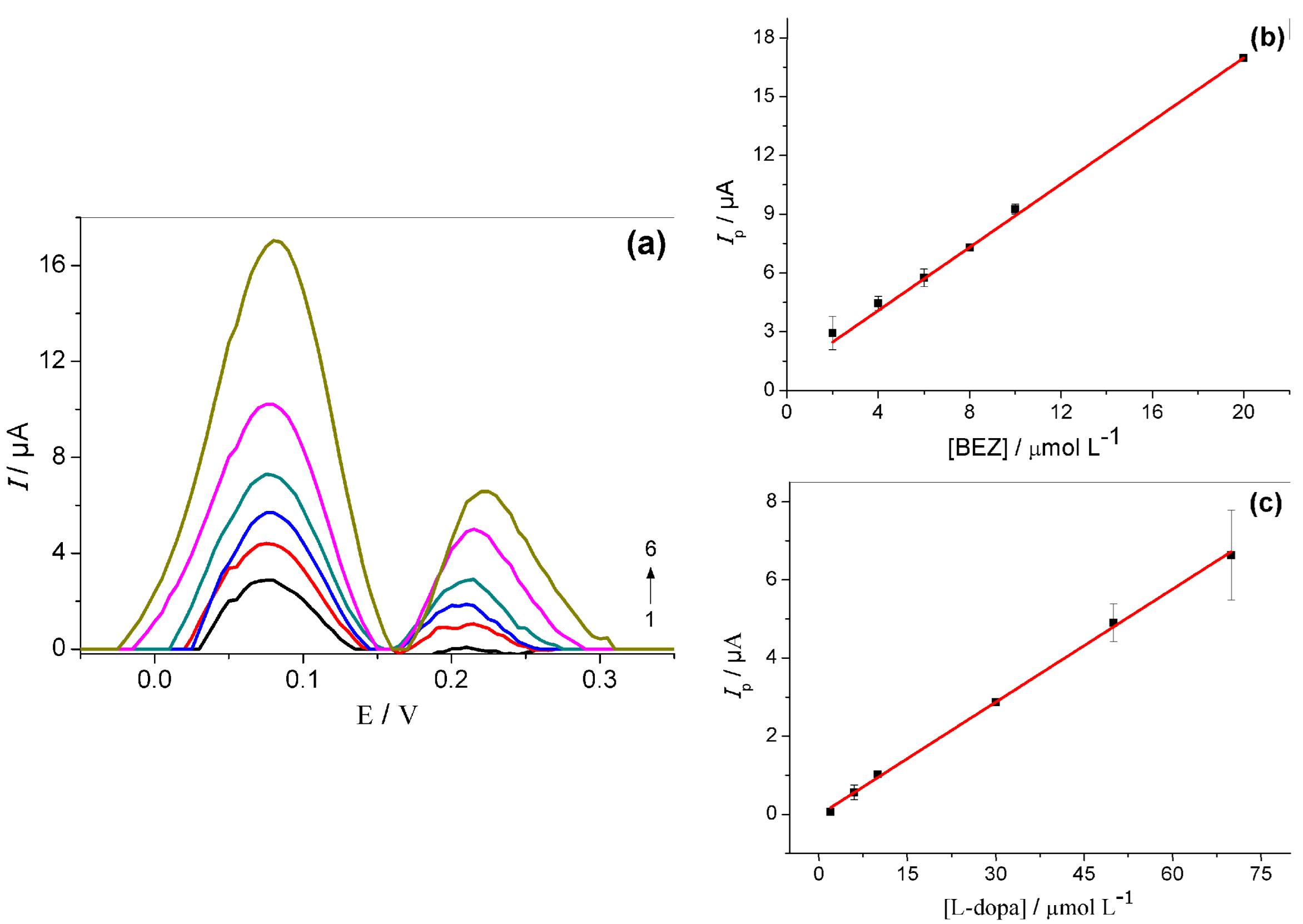
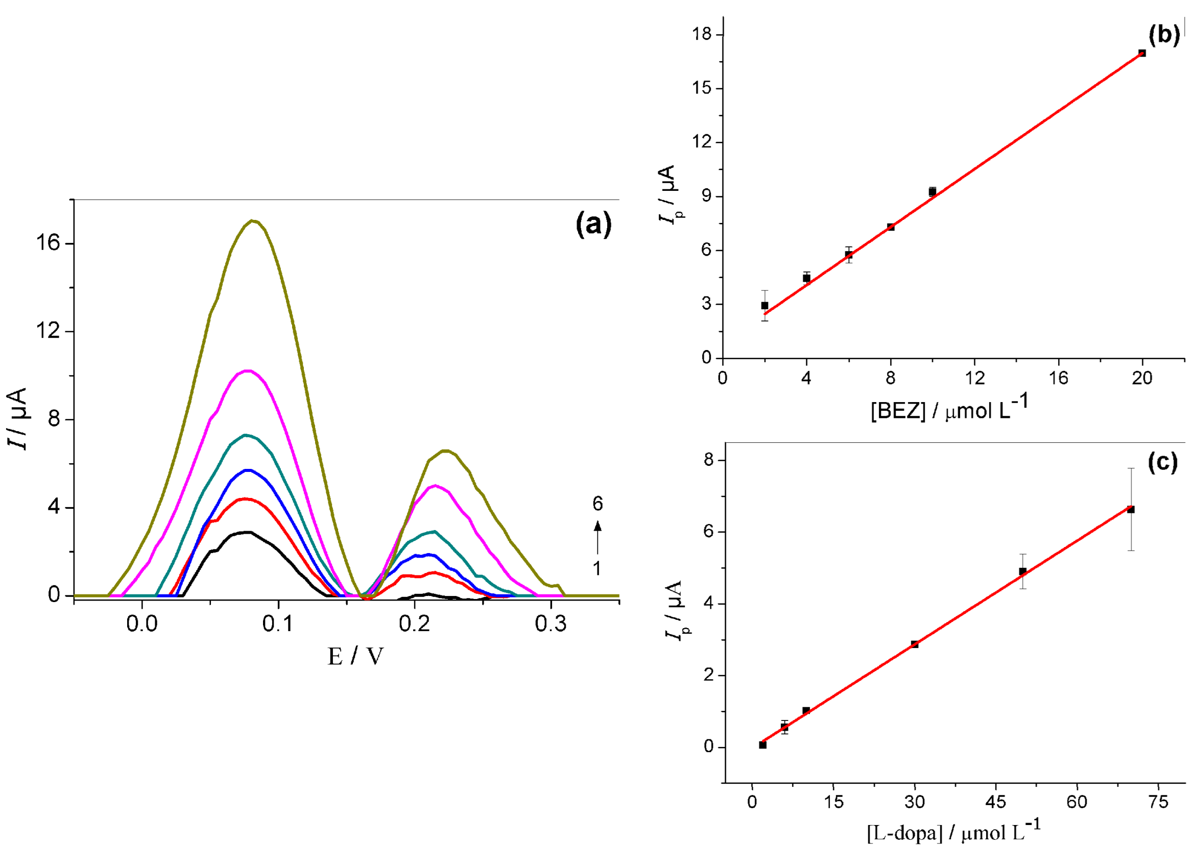
2.4. Simultaneous Determination of BEZ and L-Dopa at GC/MWCNT/N-TiO2 Electrode
2.5. Simultaneous Determination of BEZ and L-Dopa in Pharmaceutical Samples
3. Materials and Methods
3.1. Apparatus
3.2. Reagents, Supporting Electrolytes, and Standards
3.3. Synthesis of N-Doped TiO2
3.4. MWCNTs Treatment and Preparation of GCE/MWCNT/N-Doped TiO2
3.5. Preparation of Pharmaceutical Formulations
3.6. Morphology Characterization and Measurement Procedures
4. Conclusions
Author Contributions
Funding
Institutional Review Board Statement
Informed Consent Statement
Data Availability Statement
Acknowledgments
Conflicts of Interest
References
- Thanvi, B.; Lo, N.; Robinson, T. Levodopa-induced dyskinesia in Parkinson’s disease: Clinical features, pathogenesis, prevention and treatment. Postgrad. Med. J. 2007, 83, 384–388. [Google Scholar] [CrossRef] [PubMed]
- Kul, D.; Brett, C.M.A. Electroanalytical Characterization of Dopa Decarboxylase Inhibitors Carbidopa and Benserazide on Multiwalled Carbon Nanotube and Poly(Nile blue A) Modified Glassy Carbon Electrodes. Int. J. Electrochem. 2011, 2011, 185864. [Google Scholar] [CrossRef]
- Rinne, U.K.; Mölsä, P. Levodopa with benserazide or carbidopa in Parkinson disease. Neurology 1979, 29, 1584–1589. [Google Scholar] [CrossRef] [PubMed]
- Mennickent, S.; Nail, M.; Vega, M.; de Diego, M. Quantitative determination of L-DOPA in tablets by high performance thin layer chromatography. J. Sep. Sci. 2007, 30, 1893–1898. [Google Scholar] [CrossRef] [PubMed]
- Hassib, S.T. Derivative Spectrophotometric Determination of Levodopa and Benserazide Hydrochloride. Anal. Lett. 1990, 23, 2195–2214. [Google Scholar] [CrossRef]
- Damiani, P.C.; Moschetti, A.C.; Rovetto, A.J.; Bonavente, F.; Olivieri, A.C. Design and optimization of a chemometrics-assisted spectrophotometric method for the simultaneous determination of levodopa and carbidopa in pharmaceutical products. Anal. Chim. Acta 2005, 543, 192–198. [Google Scholar] [CrossRef]
- Adamiak-Giera, U.; Gawronska-Szklarz, B. Simultaneous determination of levodopa and 3-O-methyldopa in patients with Parkinson’s disease by high-performance liquid chromatography with electrochemical detection. J. Liq. Chromatogr. Relat. 2018, 41, 1047–1051. [Google Scholar] [CrossRef]
- Özdokur, K.V.; Engin, E.; Yengin, Ç.; Ertaş, H.; Ertaş, F.N. Determination of Carbidopa, Levodopa, and Droxidopa by High-Performance Liquid Chromatography–Tandem Mass Spectrometry. Anal. Lett. 2018, 51, 73–82. [Google Scholar] [CrossRef]
- Wollmer, E.; Klein, S. Development and Validation of a Robust and Efficient HPLC Method for the Simultaneous Quantification of Levodopa, Carbidopa, Benserazide and Entacapone in Complex Matrices. J. Pharm. Sci. 2017, 20, 258–269. [Google Scholar] [CrossRef]
- Zapata-Urzúa, C.; Pérez-Ortiz, M.; Bravo, M.; Olivieri, A.C.; Alvarez-Lueje, A. Simultaneous voltammetric determination of levodopa, carbidopa and benserazide in pharmaceuticals using multivariate calibration. Talanta 2010, 82, 962–968. [Google Scholar] [CrossRef]
- Naushad, M.; Gupta, V.K.; Wabaidur, S.M.; Alothman, Z.A. Simultaneous determination of benserazide and levodopa in pharmaceutical tablet, human serum and urine sample by differential pulse voltammetry using modified glassy carbon electrode. Int. J. Electrochem. Sci. 2013, 8, 297–311. [Google Scholar]
- Savan, E.K.; ErdoĞdu, G. Simultaneous determination of levodopa and benserazide using poly(3-methylthiophene) and a multi-walled carbon nanotube sensor. J. Solid State Electrochem. 2017, 21, 2209–2217. [Google Scholar] [CrossRef]
- Miraki, M.; Karimi-Maleh, H.; Taher, M.A.; Cheraghi, S.; Karimi, F.; Agarwal, S.; Gupta, V.K. Voltammetric amplified platform based on ionic liquid/NiO nanocomposite for determination of benserazide and levodopa. J. Mol. Liq. 2019, 278, 672–676. [Google Scholar] [CrossRef]
- Li, J.; Pandey, G.P. Advanced Physical Chemistry of Carbon Nanotubes. Annu. Rev. Phys. Chem. 2015, 66, 331–356. [Google Scholar] [CrossRef] [PubMed]
- Santos, W.T.P.; Compton, R.G. A simple method to detect the stimulant modafinil in authentic saliva using a carbon-nanotube screen-printed electrode with adsorptive stripping voltammetry. Sens. Actuators B Chem. 2019, 285, 137–144. [Google Scholar] [CrossRef]
- Afzali, M.; Mostafavi, A.; Nekooie, R.; Jahromi, Z. A novel voltammetric sensor based on palladium nanoparticles/carbon nanofibers/ionic liquid modified carbon paste electrode for sensitive determination of anti-cancer drug pemetrexed. J. Mol. Liq. 2019, 282, 456–465. [Google Scholar] [CrossRef]
- Chen, Y.; Liu, X.; Wu, T.; Hou, W.; Liu, M.; Zhang, Y.; Yao, S. Enhanced electrochemical sensitivity towards acetaminophen determination using electroactive self-assembled ferrocene derivative polymer nanospheres with multi-walled carbon nanotubes. Electrochim. Acta 2018, 272, 212–220. [Google Scholar] [CrossRef]
- Stoner, B.R.; Brown, B.; Glass, J.T. Selected Topics on the Synthesis, Properties and Applications of Multiwalled Carbon Nanotubes. Diam. Relat. Mater. 2014, 42, 49–57. [Google Scholar] [CrossRef]
- Vicentini, F.C.; Ravanini, A.E.; Silva, T.A.; Janegitz, B.C.; Zucolotto, V.; Fatibello-Filho, O. A novel architecture based upon multi-walled carbon nanotubes and ionic liquid to improve the electroanalytical detection of ciprofibrate. Analyst 2014, 139, 3961–3967. [Google Scholar] [CrossRef]
- Yang, X.; Zhao, L.; Lv, K.; Dong, B.; Wang, S. Enhanced efficiency for dye-sensitized solar cells with ZrO2 as a barrier layer on TiO2 nanofibers. Appl. Surf. Sci. 2019, 469, 821–829. [Google Scholar] [CrossRef]
- Zheng, X.; Yang, L.; Li, Y.; Yang, L.; Luo, S. Direct Z-scheme MoSe2 decorating TiO2 nanotube arrays photocatalyst for water decontamination. Electrochim. Acta 2019, 298, 663–669. [Google Scholar] [CrossRef]
- Da Silva, E.P.; Rubira, A.F.; Ferreira, O.P.; Silva, R.; Muniz, E.C. In situ growth of manganese oxide nanosheets over titanium dioxide nanofibers and their performance as active material for supercapacitor. J. Colloid Interface Sci. 2019, 555, 373–382. [Google Scholar] [CrossRef] [PubMed]
- Siegel, R.W.; Hu, E.; Cox, D.M.; Goronkin, H.; Jelinski, L.; Koch, C.C.; Mendel, J.; Roco, M.C.; Shaw, D.T. Nanostructure Science and Technology: R & D Status and Trends in Nanoparticles, Nanostructured Materials and Nanodevices, 1st ed.; Springer Science + Business Media: Dordrecht, The Netherlands, 1999; pp. 49–66. [Google Scholar]
- Appadurai, T.; Subramaniyam, C.; Kuppusamy, R.; Karazhanov, S.; Subramanian, B. Electrochemical Performance of Nitrogen-Doped TiO2 Nanotubes as Electrode Material for Supercapacitor and Li-Ion Battery. Molecules 2019, 24, 2952. [Google Scholar] [CrossRef]
- Abdelhaleem, A.; Chu, W.; Liang, X. Diphenamid degradation via sulfite activation under visible LED using Fe(III) impregnated N-doped TiO2 photocatalyst. Appl. Catal. B 2019, 244, 823–835. [Google Scholar] [CrossRef]
- Valero-Romero, M.J.; Santaclara, J.G.; Oar-Arteta, L.; van Koppen, L.; Osadchii, D.Y.; Gascon, J.; Kapteijn, F. Photocatalytic properties of TiO2 and Fe-doped TiO2 prepared by metal organic framework-mediated synthesis. Chem. Eng. J. 2019, 360, 75–78. [Google Scholar] [CrossRef]
- Basavarajappa, P.S.; Patil, S.B.; Ganganagappa, N.; Reddy, K.R.; Raghu, A.V.; Reddy, C.V. Recent progress in metal-doped TiO2, non-metal doped/codoped TiO2 and TiO2 nanostructured hybrids for enhanced photocatalysis. Int. J. Hydrogen Energy 2020, 45, 7764–7778. [Google Scholar] [CrossRef]
- Niu, X.; Yan, W.; Shao, C.; Zhao, H.; Yang, J. Hydrothermal synthesis of Mo-C co-doped TiO2 and coupled with fluorine-doped tin oxide (FTO) for high-efficiency photodegradation of methylene blue and tetracycline: Effect of donor-acceptor passivated co-doping. Appl. Surf. Sci. 2019, 466, 882–892. [Google Scholar] [CrossRef]
- Ravishankar, T.N.; Vaz, M.D.O.; Ramakrishnappa, T.; Teixeira, S.R.; Dupont, J. Ionic liquid–assisted hydrothermal synthesis of Nb/TiO2 nanocomposites for efficient photocatalytic hydrogen production and photodecolorization of Rhodamine B under UV-visible and visible light illuminations. Mater. Today Chem. 2019, 12, 373–385. [Google Scholar] [CrossRef]
- Dehnavi, A.; Soleymanpour, A. Titaniumdioxide/multi-walled carbon nanotubes composite modified pencil graphite sensor for sensitive voltammetric determination of propranolol in real samples. Electroanalysis 2021, 33, 355–364. [Google Scholar] [CrossRef]
- Huang, B.-S.; Chang, F.-Y.; Wey, M.-Y. An efficient composite growing N-doped TiO2 on multi-walled carbon nanotubes through sol–gel process. J. Nanopart. Res. 2010, 12, 2503–2510. [Google Scholar] [CrossRef][Green Version]
- Lee, S.; Zhang, Z.; Wang, X.; Pfefferle, L.D.; Haller, G.L. Characterization of multi-walled carbon nanotubes catalyst supports by point of zero charge. Catal. Today 2011, 164, 68–73. [Google Scholar] [CrossRef]
- Benvidi, A.; Dehghani-Firouzabadi, A.; Mazloum-Ardakani, M.; Mirjalili, B.-B.F.; Zera, R. Electrochemical deposition of gold nanoparticles on reduced graphene oxide modified glassy carbon electrode for simultaneous determination of levodopa, uric acid and folic acid. J. Electroanal. Chem. 2015, 736, 22–29. [Google Scholar] [CrossRef]
- ICH Harmonization for Better Health. Available online: https://database.ich.org/sites/default/files/Q2%28R1%29%20Guideline.pdf (accessed on 16 September 2022).
- Rabinca, A.A.; Buleandra, M.; Tache, F.; Mihailciuc, C.; Ciobanu, A.M.; Stefanescu, D.C.; Ciucu, A.A. Voltammetric Method for Simultaneous Determination of L-Dopa and Benserazide. Curr. Anal. Chem. 2017, 13, 218–224. [Google Scholar] [CrossRef]
- Da Silva, E.P.; Winkler, M.E.; Giufrida, W.M.; Cardozo-Filho, L.; Alonso, C.G.; Lopes, J.B.O.; Rubira, A.F.; Silva, R. Effect of phase composition on the photocatalytic activity of titanium dioxide obtained from supercritical antisolvent. J. Colloid Interface Sci. 2019, 535, 245–254. [Google Scholar] [CrossRef] [PubMed]
- Moraes, F.C.; Cabral, M.F.; Mascaro, L.H.; Machado, S.A.S. The electrochemical effect of acid functionalisation of carbon nanotubes to be used in sensors development. Surf. Sci. 2011, 605, 435–440. [Google Scholar] [CrossRef]








| Parameters | BEZ | L-Dopa |
|---|---|---|
| Oxidation Potential (V) | 0.08 | 0.21 |
| Linear concentration range (μmol L−1) | 2.0–20 | 2.0–70 |
| Correlation coefficient (r) | 0.999 | 0.998 |
| Slope (μA·μmol L−1) | 0.792 | 0.0958 |
| Intercept (μA) | 1.18 | −0.0106 |
| LOD (μmol L−1) | 1.6 | 2.0 |
| Repeatability of peak current—Intra-day (RSD % 1) | 1.1 | 5.8 |
| Repeatability of peak current—Inter-day (RSD % 1) | 1.9 | 7.9 |
| Electrode | Techniques | Supporting Electrolyte | Linear Concentration Range (μmol L−1) | LOD (μmol L−1) | Reference | ||
|---|---|---|---|---|---|---|---|
| BEZ | L-Dopa | BEZ | L-Dopa | ||||
| GCE 1 | DPV | HClO4 | 2.77 | 5.12 | [10] | ||
| PAR-GCE 2 | DPV | PBS (pH 5.2) | 10–200 | 25–1000 | 2.00 | 6.00 | [11] |
| Poly(3-MT)-MWCNT-COOH/GCE 3 | DPV | PBS (pH 7.0) | 400–1000 | 50–95 | 32.5 | 32.3 | [12] |
| SPCE electro-chemically pretreated 4 | DPV | BRB (pH 2.21) | 6–100 | 1–100 | 2.6 | 0.47 | [36] |
| GCE/MWCNT/N-TiO2 | SWV | PBS (pH 7.0) | 2–20 | 2–70 | 1.6 | 2.0 | This Work |
| Label | BEZ and L-Dopa Amount (mg/tablet) a | Relative Error b (%) | ||||||
|---|---|---|---|---|---|---|---|---|
| SWV Proposed Method | HPLC Proposed Method | |||||||
| Sample | BEZ | L-Dopa | BEZ | L-Dopa | BEZ | L-Dopa | BEZ | L-Dopa |
| A | 50 | 200 | 52 ± 4 | 198 ± 5 | 51 ± 1 | 202 ± 3 | 1.9 | −2.0 |
| B | 50 | 200 | 51 ± 2 | 203 ± 6 | 53 ± 2 | 199 ± 2 | −3.8 | 2.0 |
Publisher’s Note: MDPI stays neutral with regard to jurisdictional claims in published maps and institutional affiliations. |
© 2022 by the authors. Licensee MDPI, Basel, Switzerland. This article is an open access article distributed under the terms and conditions of the Creative Commons Attribution (CC BY) license (https://creativecommons.org/licenses/by/4.0/).
Share and Cite
da Silva, E.P.; Araujo, M.d.S.; Kunita, M.H.; Matos, R.; Medeiros, R.A. Electrochemical Sensor Based on Multi-Walled Carbon Nanotubes and N-Doped TiO2 Nanoparticles for Voltametric Simultaneous Determination of Benserazide and Levodopa. Molecules 2022, 27, 8614. https://doi.org/10.3390/molecules27238614
da Silva EP, Araujo MdS, Kunita MH, Matos R, Medeiros RA. Electrochemical Sensor Based on Multi-Walled Carbon Nanotubes and N-Doped TiO2 Nanoparticles for Voltametric Simultaneous Determination of Benserazide and Levodopa. Molecules. 2022; 27(23):8614. https://doi.org/10.3390/molecules27238614
Chicago/Turabian Styleda Silva, Elisangela Pacheco, Mayara da Silva Araujo, Marcos H. Kunita, Roberto Matos, and Roberta Antigo Medeiros. 2022. "Electrochemical Sensor Based on Multi-Walled Carbon Nanotubes and N-Doped TiO2 Nanoparticles for Voltametric Simultaneous Determination of Benserazide and Levodopa" Molecules 27, no. 23: 8614. https://doi.org/10.3390/molecules27238614
APA Styleda Silva, E. P., Araujo, M. d. S., Kunita, M. H., Matos, R., & Medeiros, R. A. (2022). Electrochemical Sensor Based on Multi-Walled Carbon Nanotubes and N-Doped TiO2 Nanoparticles for Voltametric Simultaneous Determination of Benserazide and Levodopa. Molecules, 27(23), 8614. https://doi.org/10.3390/molecules27238614
