Dissipation and Dietary Risk Assessment of Pydiflumetofen Residues in Soybean
Abstract
1. Introduction
2. Results and Discussion
2.1. Choice of HPLC–MS/MS Conditions
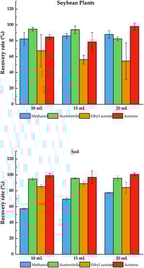
2.2. Choice of Extraction Conditions
2.3. Choice of Purification Conditions
2.4. Method Validation
2.4.1. Linearity and ME
2.4.2. Accuracy and Precision
2.5. Degradation Dynamics of Pydiflumetofen in Soybean Plant and Soil
2.6. Terminal Residues of Pydiflumetofen in Soybean
2.7. Dietary Risk Assessment
2.7.1. Risk Assessment of Acute Diet
2.7.2. Risk Assessment of Chronic Diet
3. Materials and Methods
3.1. Chemicals and Reagents
3.2. Field Trial
3.2.1. Dissipation of Pydiflumetofen in Soybean Plant and Soil
3.2.2. Terminal Residue of Pydiflumetofen in Soybean
3.2.3. Field Sample Preparation
3.3. Sample Pre-Treatment
3.3.1. Sample Extraction
3.3.2. Sample Cleanup
3.4. Instrumental Conditions
3.4.1. Chromatographic Conditions
3.4.2. Mass Spectrometry Conditions
3.5. Preparation of Standard Solution
3.6. Method Validation
3.7. Statistical Analyses
3.7.1. Analysis of Dissipation Dynamics
3.7.2. Dietary Risk Assessment
4. Conclusions
Supplementary Materials
Author Contributions
Funding
Institutional Review Board Statement
Informed Consent Statement
Data Availability Statement
Conflicts of Interest
Sample Availability
References
- Azam, M.; Zhang, S.; Qi, J.; Abdelghany, A.M.; Shaibu, A.S.; Ghosh, S.; Feng, Y.; Huai, Y.; Gebregziabher, B.S.; Li, J.; et al. Profiling and Associations of Seed Nutritional Characteristics in Chinese and USA Soybean Cultivars. J. Food Compos. Anal. 2021, 98, 103803. [Google Scholar] [CrossRef]
- National Bureau of Statistics. Soybean Annual Data. Available online: https://data.stats.gov.cn/easyquery.htm?cn=C01 (accessed on 22 September 2022).
- Han, S.; Chen, J.; Zhao, Y.; Cai, H.; Guo, C. Bacillus subtilis HSY21 Can Reduce Soybean Root Rot and Inhibit the Expression of Genes Related to the Pathogenicity of Fusarium oxysporum. Pestic. Biochem. Physiol. 2021, 178, 104916. [Google Scholar] [CrossRef] [PubMed]
- Patel, S.J.; Bowen, K.L.; Patel, J.D.; Koebernick, J.C. Evaluating Target Spot (Corynespora cassiicola) Resistance in Soybean (Glycine Max (l.) Merrill) in a Controlled Environment. Crop Prot. 2022, 159, 106018. [Google Scholar] [CrossRef]
- Lin, H.; Villamil, M.B.; Mideros, S.X. Characterization of Septoria Brown Spot Disease Development and Yield Effects on Soybean in Illinois. Can. J. Plant Pathol. 2020, 43, 62–72. [Google Scholar] [CrossRef]
- Rupe, J.; Luttrell, R.G. Effect of Pests and Diseases on Soybean Quality. In Soybeans; Johnson, L.A., White, P.J., Galloway, R., Eds.; AOCS Press: Urbana, IL, USA, 2008; pp. 93–116. [Google Scholar] [CrossRef]
- Zhang, G.R.; Newman, M.A.; Bradley, C.A. First Report of the Soybean Frogeye Leaf Spot Fungus (Cercospora sojina) Resistant to Quinone Outside Inhibitor Fungicides in North America. Plant Dis. 2012, 96, 767. [Google Scholar] [CrossRef] [PubMed]
- Di, S.; Cang, T.; Liu, Z.; Xie, Y.; Zhao, H.; Qi, P.; Wang, Z.; Xu, H.; Wang, X. Comprehensive Evaluation of Chiral Pydiflumetofen from the Perspective of Reducing Environmental Risks. Sci. Total Environ. 2022, 826, 154033. [Google Scholar] [CrossRef] [PubMed]
- Huang, X.P.; Luo, J.; Li, B.X.; Song, Y.F.; Mu, W.; Liu, F. Bioactivity, Physiological Characteristics and Efficacy of the SDHI Fungicide Pydiflumetofen Against Sclerotinia sclerotiorum. Pestic. Biochem. Physiol. 2019, 160, 70–78. [Google Scholar] [CrossRef] [PubMed]
- Duan, Y.; Xiu, Q.; Li, H.; Li, T.; Wang, J.; Zhou, M. Pharmacological Characteristics and Control Efficacy of a Novel SDHI Fungicide Pydiflumetofen Against Sclerotinia sclerotiorum. Plant Dis. 2019, 103, 77–82. [Google Scholar] [CrossRef] [PubMed]
- Li, S.; Li, X.; Zhang, H.; Wang, Z.; Xu, H. The Research Progress in and Perspective of Potential Fungicides: Succinate Dehydrogenase Inhibitors. Bioorg. Med. Chem. 2021, 50, 116476. [Google Scholar] [CrossRef] [PubMed]
- Joint FAO/WHO. Meeting on Pesticide Residues. Pydiflumetofen [Report]. Available online: https://www.fao.org/fileadmin/user_upload/IPM_Pesticide/JMPR/Reports/2019/5.19_PYDIFLUMETOFEN__309_.pdf (accessed on 25 September 2022).
- Bian, C.; Luo, J.; Gao, M.; Shi, X.; Li, Y.; Li, B.; Tang, L. Pydiflumetofen in Paddy Field Environments: Its Dissipation Dynamics and Dietary Risk. Microchem. J. 2021, 170, 106709. [Google Scholar] [CrossRef]
- Wu, Q.; Chen, H.; Li, D.; Zhang, W.; Yang, H.; Zhuang, Y. Degradation Dynamics and Residue Analysis of Pydiflumetofen in Wheat by Ultrahigh Performance Liquid Chromatography Tandem Mass Spectrometry. Plant Prot. 2021, 47, 164–168. [Google Scholar] [CrossRef]
- Liu, S.; Wang, Z.; Li, C.; Wang, Y.; Zhong, J.; Shi, H.; Wang, M. Determination of Pydiflumetofen in Seven Kinds of Plant-Derived Foods Based on QuEChERS–Liquid Chromatography-Tandem Mass Spectrometry. Agrochemicals 2021, 60, 500–503. [Google Scholar] [CrossRef]
- Zhang, F.; Zhang, Y.; Yue, Y.; Han, B. Residue Analysis and Dietary Risk Assessment of Pydiflumetofen and Difenoconazole in Banana. Chin. J. Trop. Crops. 2021, 42, 1448–1454. [Google Scholar] [CrossRef]
- Rong, L.; Wu, X.; Xu, J.; Dong, F.; Liu, X.; Zheng, Y. Determination of Pydiflumetofen Residues in Some Foods of Plant and Animal Origin by QuEChERS Extraction Combined with UltraPerformance Liquid Chromatography–Tandem Mass. Food Anal. Methods 2018, 11, 2682–2691. [Google Scholar] [CrossRef]
- Kong, S.; Kong, X.; Zhang, Y.; Wu, W.; Tian, F.; Kong, D.; Shan, Z. Determination of the Residual Pydiflumetofen in Soil. Chin. J. Anal. Lab. 2019, 38, 1228–1232. [Google Scholar] [CrossRef]
- Wu, X.; Dong, F.; Xu, J.; Liu, X.; Wu, X.; Zheng, Y. Enantioselective Separation and Dissipation of Pydiflumetofen Enantiomers in Grape and Soil by Supercritical Fluid Chromatography-Tandem Mass Spectrometry. J. Sep. Sci. 2020, 43, 2217–2227. [Google Scholar] [CrossRef]
- Wang, Z.; Liu, S.; Zhao, X.; Tian, B.; Sun, X.; Zhang, J.; Gao, Y.; Shi, H.; Wang, M. Enantioseparation and Stereoselective Dissipation of the Novel Chiral Fungicide Pydiflumetofen by Ultrahigh-Performance Liquid Chromatography Tandem Mass Spectrometry. Ecotoxicol. Environ. Saf. 2021, 207, 111221. [Google Scholar] [CrossRef] [PubMed]
- Anastassiades, M.; Lehotay, S.J.; Štajnbaher, D.; Schenck, F.J. Fast and Easy Multiresidue Method Employing Acetonitrile Extraction/Partitioning and “Dispersive Solid-Phase Extraction” for the Determination of Pesticide Residues in Produce. J. AOAC Int. 2003, 86, 412–431. [Google Scholar] [CrossRef] [PubMed]
- Feng, D.; Ma, Y.; Hou, X.; Li, G.; Li, Z.; Zhang, X.; Li, Y.; Hou, Z.; Lu, Z. Determination of Propamocarb Residue in Summer Squash by QuEChERS-HPLC-MS/MS. Agrochemicals 2020, 59, 288–291+305. [Google Scholar] [CrossRef]
- Shenwei, Z. Study on Residual Behavior and Soil Adsorption Behavior of Pydiflumetofen in Watermelon. Master’s Thesis, Shenyang Agricultural University, Shenyang, China, 2018. [Google Scholar]
- MARA (Ministry of Agriculture and Rural Affairs of the People’s Republic of China). Guideline for the Testing of Pesticide Residues in Crops (NY/T 788-2018). Available online: http://down.foodmate.net/standard/sort/5/54761.html (accessed on 25 August 2022).
- European Commission DG-SANCO. Analytical Quality Control and Method Validation Procedutrs for Pesticide Residues Analysis in Food and Feed; No. SANCO/12495/2011; European Commission: Brussels, Belgium, 2012. [Google Scholar]





| Matrices | Spiked Level (mg/kg) | Recovery (Mean ± SD) | RSD | LOD mg/kg | LOQ mg/kg | ||
|---|---|---|---|---|---|---|---|
| Intra-Day | Inter-Day | Intra-Day | Inter-Day | ||||
| soybean plant | 0.01 | 92.9 ± 3.2 | 90.8 ± 4.0 | 3.48 | 4.43 | 2.4 × 10−3 | 0.01 |
| 0.10 | 94.1 ± 2.2 | 83.9 ± 1.1 | 2.36 | 1.31 | |||
| 0.50 | 98.7 ± 2. 9 | 88.7 ± 2.0 | 2.93 | 2.23 | |||
| 50.0 | 97.6 ± 0.8 | 97.9 ± 0.7 | 0.81 | 0.77 | 4.1 × 10−3 | ||
| soybean | 0.01 | 99.5 ± 3.3 | 96.1 ± 6.5 | 3.27 | 6.79 | ||
| 0.10 | 97.9 ± 0.9 | 93.6 ± 7.3 | 0.89 | 7.77 | |||
| 0.50 | 98.7 ± 0.89 | 91.8 ± 1.9 | 0.81 | 2.30 | |||
| soil | 0.01 | 99.4 ± 1.19 | 96.6 ± 5.1 | 1.10 | 5.30 | 3.5 × 10−4 | |
| 0.10 | 93.0 ± 3.09 | 93.6 ± 3.0 | 3.22 | 3.00 | |||
| 0.50 | 94.8 ± 2.7 | 93.3 ± 2.6 | 2.81 | 2.78 | |||
| 2.00 | 96.0 ± 3.2 | 94.3 ± 2.9 | 3.30 | 3.07 | |||
| Matrices | Location | Equation | Coefficient (r) | Half-Life (t1/2) |
|---|---|---|---|---|
| Soybean plant | Changchun | Ct = 21.502 × 10−0.121t | 0.978 | 5.7 |
| Chifeng | Ct = 34.272 × 10−0.155t | 0.926 | 4.5 | |
| Hailun | Ct = 45.223 × 10−0.191t | 0.955 | 3.6 | |
| Soil | Changchun | Ct = 0.495 × 10−0.027t | 0.962 | 25.7 |
| Chifeng | Ct = 0.563 × 10−0.062t | 0.873 | 11.2 | |
| Hailun | Ct = 1.159 × 10−0.088t | 0.922 | 7.9 |
| Food Category | Fi(kg/d) a | Commodity | MRLs b | STMRi b | HR b | Source of Reference Limit |
|---|---|---|---|---|---|---|
| Wheat cereals and wheat products | 0.1385 | Wheat | 0.6 | Japan | ||
| Potatoes | 0.0495 | Potato | 0.5 | CAC c | ||
| Dried beans and their products | 0.016 | Soybean | <0.010 | 0.046 | PHI d of 21 days | |
| Dark-colored vegetables | 0.0915 | Tomatoes | 2.0 | South Korea | ||
| Light-colored vegetables | 0.1837 | Cucumber | 0.5 | USA | ||
| Fruits | 0.0457 | Grape | 2.0 | Japan | ||
| Oilseeds and oil | 0.0327 | Peanut | 0.02 | USA | ||
| Total NEDI (mg) | 0.4749 | |||||
| NESTI (mg) | 0.0110 | |||||
| ADI (mg/kg bw) | 0.1 | |||||
| ARfD (mg/kg bw) | 0.3 | |||||
| LP (g/kg bw/day) | 0.24 | |||||
| Body weight (kg bw) | 63 | |||||
| aHI (%) | 0.06% | |||||
| RQ (%) | 7.54% |
Publisher’s Note: MDPI stays neutral with regard to jurisdictional claims in published maps and institutional affiliations. |
© 2022 by the authors. Licensee MDPI, Basel, Switzerland. This article is an open access article distributed under the terms and conditions of the Creative Commons Attribution (CC BY) license (https://creativecommons.org/licenses/by/4.0/).
Share and Cite
Wei, L.; Hou, X.; Hou, Z.; Yu, X.; Wang, X.; Zhao, Q.; Gao, H.; Liu, H.; Zheng, X.; Lu, Z. Dissipation and Dietary Risk Assessment of Pydiflumetofen Residues in Soybean. Molecules 2022, 27, 8465. https://doi.org/10.3390/molecules27238465
Wei L, Hou X, Hou Z, Yu X, Wang X, Zhao Q, Gao H, Liu H, Zheng X, Lu Z. Dissipation and Dietary Risk Assessment of Pydiflumetofen Residues in Soybean. Molecules. 2022; 27(23):8465. https://doi.org/10.3390/molecules27238465
Chicago/Turabian StyleWei, Liping, Xingang Hou, Zhiguang Hou, Xiaolong Yu, Xiumei Wang, Qinghui Zhao, Hemin Gao, Hanju Liu, Xiaodong Zheng, and Zhongbin Lu. 2022. "Dissipation and Dietary Risk Assessment of Pydiflumetofen Residues in Soybean" Molecules 27, no. 23: 8465. https://doi.org/10.3390/molecules27238465
APA StyleWei, L., Hou, X., Hou, Z., Yu, X., Wang, X., Zhao, Q., Gao, H., Liu, H., Zheng, X., & Lu, Z. (2022). Dissipation and Dietary Risk Assessment of Pydiflumetofen Residues in Soybean. Molecules, 27(23), 8465. https://doi.org/10.3390/molecules27238465
