Rate Coefficients of the Reactions of Fluorine Atoms with H2S and SH over the Temperature Range 220–960 K
Abstract
:1. Introduction
2. Experimental
3. Results and Discussion
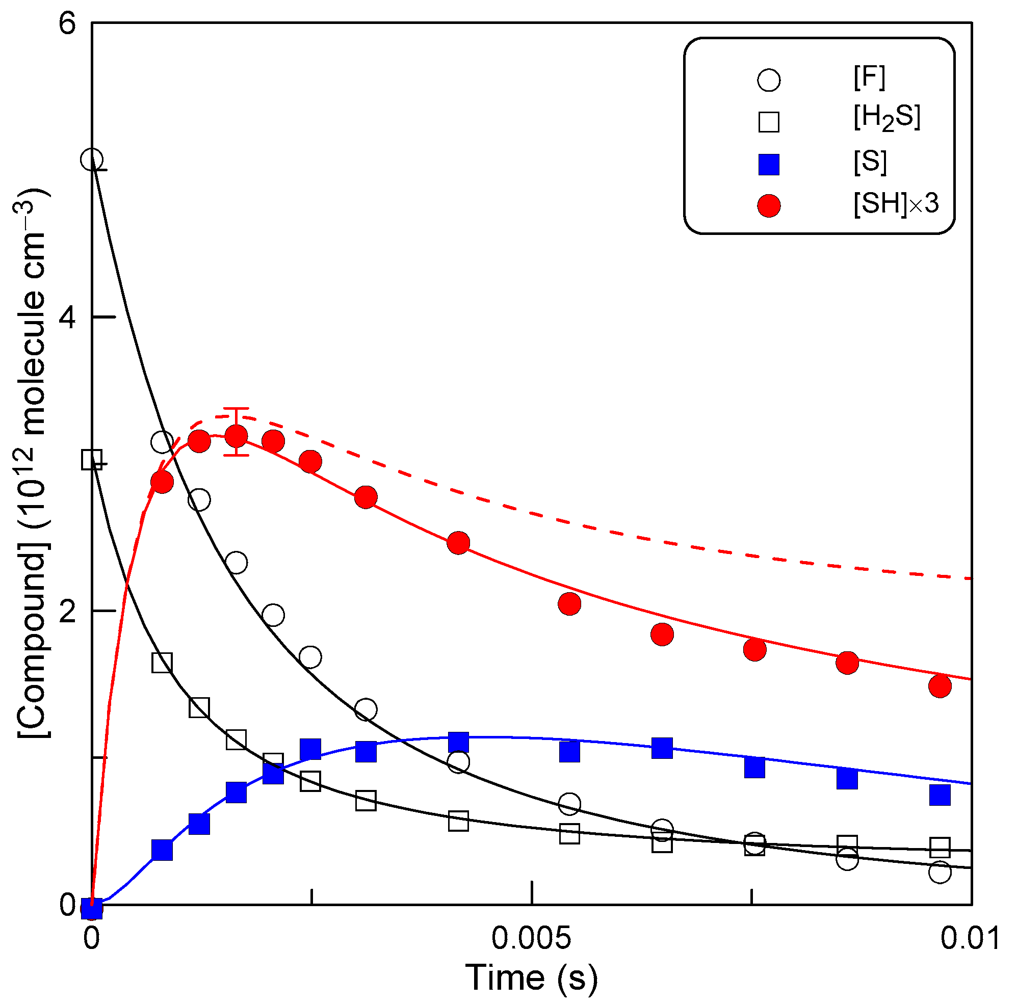
3.1. Rate Coefficient of Reaction (1)
3.2. Rate Coefficient of Reaction (2)
4. Conclusions
Funding
Institutional Review Board Statement
Informed Consent Statement
Data Availability Statement
Acknowledgments
Conflicts of Interest
References
- Manion, J.A.; Huie, R.E.; Levin, R.D.; Burgess, D.R.; Orkin, V.L.; Tsang, W.; McGivern, W.S.; Hudgens, J.W.; Knyazev, V.D.; Atkinson, D.B.; et al. NIST Chemical Kinetics Database, NIST Standard Reference Database 17; Version 7.0 (Web Version), Release 1.6.8, Data Version 2015.12; National Institute of Standards and Technology: Gaithersburg, Maryland, 2022. Available online: http://kinetics.nist.gov/ (accessed on 20 October 2022).
- Stevens, P.S.; Brune, W.H.; Anderson, J.G. Kinetic and Mechanistic Investigations of F + H2O/D2O and F + H2/D2 over the Temperature Range 240–373 K. J. Phys. Chem. 1989, 93, 4068–4079. [Google Scholar] [CrossRef]
- Walther, C.-D.; Wagner, H.G. Über Die Reaktionen Von F-Atomen Mit H2O, H2O2 Und NH3. Ber. Bunsenges. Phys. Chem. 1983, 87, 403–409. [Google Scholar] [CrossRef]
- Bedjanian, Y. Rate Constant of the Reaction of F Atoms with Methane over the Temperature Range 220–960 K. Chem. Phys. Lett. 2021, 770, 138458. [Google Scholar] [CrossRef]
- Bedjanian, Y. Temperature-Dependent Rate Constant for the Reaction of F Atoms with HNO3. Int. J. Chem. Kinet. 2019, 51, 753–759. [Google Scholar] [CrossRef]
- Hynes, A.J.; Wine, P.H. Kinetics and Mechanisms of the Oxidation of Gaseous Sulfur Compounds. In Gas-Phase Combustion Chemistry; Gardiner, W.C., Ed.; Springer New York: New York, NY, USA, 2000; pp. 343–388. [Google Scholar]
- Tyndall, G.S.; Ravishankara, A.R. Atmospheric Oxidation of Reduced Sulfur Species. Int. J. Chem. Kinet. 1991, 23, 483–527. [Google Scholar] [CrossRef]
- Kornweitz, H.; Persky, A. Modeling the F + H2S Reaction with an F + HS Potential. Chem. Phys. Lett. 1999, 307, 479–483. [Google Scholar] [CrossRef]
- Williams, R.L.; Rowland, F.S. Hydrogen Atom Abstraction by Fluorine Atoms. J. Phys. Chem. 1973, 77, 301–307. [Google Scholar] [CrossRef]
- Smith, D.J.; Setser, D.W.; Kim, K.C.; Bogan, D.J. HF Infrared Chemiluminescence. Relative Rate Constants for Hydrogen Abstraction from Hydrocarbons, Substituted Methanes, and Inorganic Hydrides. J. Phys. Chem. 1977, 81, 898–905. [Google Scholar] [CrossRef]
- Persky, A. Kinetics of the Reactions F + H2S and F + D2S at 298 K. Chem. Phys. Lett. 1998, 298, 390–394. [Google Scholar] [CrossRef]
- Schönle, G.; Rahman, M.M.; Schindler, R.N. Kinetics of the Reaction of Atomic Fluorine with H2S and Elementary Reactions of the HS Radical. Ber. Bunsenges. Phys. Chem. 1987, 91, 66–75. [Google Scholar] [CrossRef]
- Bedjanian, Y.; Lelièvre, S.; Le Bras, G. Kinetic and Mechanistic Study of the F Atom Reaction with Nitrous Acid. J. Photochem. Photobio. A 2004, 168, 103–108. [Google Scholar] [CrossRef]
- Bedjanian, Y. Kinetics and Products of the Reactions of Fluorine Atoms with ClNO and Br2 from 295 to 950 K. J. Phys. Chem. A 2017, 121, 8341–8347. [Google Scholar] [CrossRef] [PubMed]
- Bedjanian, Y. Reaction F + C2H4: Rate Constant and Yields of the Reaction Products as a Function of Temperature over 298–950 K. J. Phys. Chem. A 2018, 122, 3156–3162. [Google Scholar] [CrossRef] [PubMed]
- Bedjanian, Y. Rate Constants for the Reactions of F Atoms with H2 and D2 over the Temperature Range 220-960 k. Int. J. Chem. Kinet. 2021, 53, 527–535. [Google Scholar] [CrossRef]
- Morin, J.; Romanias, M.N.; Bedjanian, Y. Experimental Study of the Reactions of OH Radicals with Propane, n-Pentane, and n-Heptane over a Wide Temperature Range. Int. J. Chem. Kinet. 2015, 47, 629–637. [Google Scholar] [CrossRef]
- Nesbitt, F.L.; Cody, R.J.; Dalton, D.A.; Riffault, V.; Bedjanian, Y.; Le Bras, G. Temperature Dependence of the Rate Constant for the Reaction F(2P) + Cl2 → FCl + Cl at T = 180–360 K. J. Phys. Chem. A 2004, 108, 1726–1730. [Google Scholar] [CrossRef]
- Clyne, M.A.A.; Townsend, L.W. Rate Constant Measurements for Rapid Reactions of Ground State Sulphur 3p4(3pj) Atoms. Int, J. Chem. Kinet. 1975, 39, 73. [Google Scholar]
- Burkholder, J.B.; Sander, S.P.; Abbatt, J.; Barker, J.R.; Cappa, C.; Crounse, J.D.; Dibble, T.S.; Huie, R.E.; Kolb, C.E.; Kurylo, M.J.; et al. Chemical Kinetics and Photochemical Data for Use in Atmospheric Studies, Evaluation No. 19, JPL Publication 19-5, Jet Propulsion Laboratory. Available online: http://jpldataeval.jpl.nasa.gov (accessed on 20 October 2022).
- Mihelcic, D.; Schindler, R.N. ESR-Spektroskopische Untersuchung Der Reaktion Von Atomarem Wasserstoff Mit H2S. Ber. Bunsenges. Phys. Chem. 1970, 74, 1280–1288. [Google Scholar]
- Bradley, J.N.; Trueman, S.P.; Whytock, D.A.; Zaleski, T.A. Electron Spin Resonance Study of the Reaction of Hydrogen Atoms with Hydrogen Sulphide. J. Chem. Soc. Faraday Trans. 1 1973, 69, 416–425. [Google Scholar] [CrossRef]







| T (K) a | [H2S] b | k1 c | Reactor Surface d |
|---|---|---|---|
| 220 | 0.11–2.87 | 1.94 | HW |
| 235 | 0.16–2.59 | 1.84 | HW |
| 250 | 0.19–2.26 | 1.86 | HW |
| 270 | 0.15–2.51 | 1.89 | HW |
| 295 | 0.27–3.13 | 1.84 | HW |
| 305 | 0.17–2.60 | 1.84 | Q |
| 320 | 0.13–2.95 | 1.85 | HW |
| 360 | 0.26–3.04 | 1.89 | Q |
| 410 | 0.16–2.03 | 1.89 | Q |
| 475 | 0.16–2.60 | 1.89 | Q |
| 575 | 0.14–4.44 | 1.83 | Q |
| 720 | 0.15–2.82 | 1.83 | Q |
| 960 | 0.17–3.21 | 1.84 | Q |
| T (K) a | [H2S]0 b | k1/k2 c | k2 d | Reactor Surface e |
|---|---|---|---|---|
| 220 | 0.22–1.81 | 0.95 | 1.96 | HW |
| 235 | 0.12–2.23 | 0.97 | 1.92 | HW |
| 250 | 0.19–2.07 | 1.01 | 1.84 | HW |
| 270 | 0.13–2.80 | 0.96 | 1.94 | HW |
| 295 | 0.18–3.42 | 0.97 | 1.92 | HW |
| 300 | 0.22–2.73 | 0.94 | 1.98 | Q |
| 320 | 0.57–4.59 | 0.84 | 2.21 | HW |
| 360 | 0.19–2.21 | 0.92 | 2.02 | Q |
| 410 | 0.17–2.17 | 0.86 | 2.16 | Q |
| 475 | 0.15–2.05 | 0.97 | 1.92 | Q |
| 575 | 0.12–2.14 | 0.85 | 2.19 | Q |
| 720 | 0.10–1.84 | 0.94 | 1.98 | Q |
| 960 | 0.07–1.28 | 0.91 | 2.04 | Q |
Publisher’s Note: MDPI stays neutral with regard to jurisdictional claims in published maps and institutional affiliations. |
© 2022 by the author. Licensee MDPI, Basel, Switzerland. This article is an open access article distributed under the terms and conditions of the Creative Commons Attribution (CC BY) license (https://creativecommons.org/licenses/by/4.0/).
Share and Cite
Bedjanian, Y. Rate Coefficients of the Reactions of Fluorine Atoms with H2S and SH over the Temperature Range 220–960 K. Molecules 2022, 27, 8365. https://doi.org/10.3390/molecules27238365
Bedjanian Y. Rate Coefficients of the Reactions of Fluorine Atoms with H2S and SH over the Temperature Range 220–960 K. Molecules. 2022; 27(23):8365. https://doi.org/10.3390/molecules27238365
Chicago/Turabian StyleBedjanian, Yuri. 2022. "Rate Coefficients of the Reactions of Fluorine Atoms with H2S and SH over the Temperature Range 220–960 K" Molecules 27, no. 23: 8365. https://doi.org/10.3390/molecules27238365
APA StyleBedjanian, Y. (2022). Rate Coefficients of the Reactions of Fluorine Atoms with H2S and SH over the Temperature Range 220–960 K. Molecules, 27(23), 8365. https://doi.org/10.3390/molecules27238365
