Insights into the Dynamics and Binding of Two Polyprotein Substrate Cleavage Points in the Context of the SARS-CoV-2 Main and Papain-like Proteases
Abstract
1. Introduction
2. Results and Discussion
2.1. Docking Validation
2.2. System Stability
2.3. Structural Flexibility
2.4. Dynamic Cross-Correlation Matrix (DCCM)
2.5. Radius of Gyration
2.6. Binding Free Energies
2.7. Hydrogen Bonds
3. Materials and Methods
3.1. System and Ligand Preparations
3.2. Molecular Docking
3.3. Molecular Dynamics Simulations
3.4. Post-Simulation Analysis and Thermodynamics Calculation
3.4.1. System Stability
3.4.2. Dynamics Conformation
3.4.3. Binding Free Energy Calculations
4. Conclusions
Supplementary Materials
Author Contributions
Funding
Institutional Review Board Statement
Informed Consent Statement
Acknowledgments
Conflicts of Interest
Sample Availability
References
- Zhou, P.; Yang, X.-L.; Wang, X.-G.; Hu, B.; Zhang, L.; Zhang, W.; Si, H.-R.; Zhu, Y.; Li, B.; Huang, C.-L. A pneumonia outbreak associated with a new coronavirus of probable bat origin. Nature 2020, 579, 270–273. [Google Scholar] [CrossRef] [PubMed]
- Sheik Amamuddy, O.; Verkhivker, G.M.; Tastan Bishop, O.Z. Impact of early pandemic stage mutations on molecular dynamics of SARS-CoV-2 Mpro. J. Chem. Inf. Modeling 2020, 60, 5080–5102. [Google Scholar] [CrossRef]
- Huang, C.; Wang, Y.; Li, X.; Ren, L.; Zhao, J.; Hu, Y.; Zhang, L.; Fan, G.; Xu, J.; Gu, X. Clinical features of patients infected with 2019 novel coronavirus in Wuhan, China. Lancet 2020, 395, 497–506. [Google Scholar] [CrossRef] [PubMed]
- Wang, L.; Wang, Y.; Ye, D.; Liu, Q. Review of the 2019 novel coronavirus (SARS-CoV-2) based on current evidence. Int. J. Antimicrob. Agents 2020, 55, 105948. [Google Scholar] [CrossRef] [PubMed]
- Gioia, M.; Ciaccio, C.; De Simone, G.; Fasciglione, G.F.; di Masi, A.; Di Pierro, D.; Bocedi, A.; Ascenzi, P.; Coletta, M. Role of proteolytic enzymes in the COVID-19 infection and promising therapeutic approaches. Biochem. Pharmacol. 2020, 182, 114225. [Google Scholar] [CrossRef]
- World Health Organization. Therapeutics and COVID-19: Living Guideline, 14 July 2022; World Health Organization: Geneva, Switzerland, 2022. [Google Scholar]
- Zou, L.; Ruan, F.; Huang, M.; Liang, L.; Huang, H.; Hong, Z.; Yu, J.; Kang, M.; Song, Y.; Xia, J. SARS-CoV-2 viral load in upper respiratory specimens of infected patients. N. Engl. J. Med. 2020, 382, 1177–1179. [Google Scholar] [CrossRef] [PubMed]
- Naqvi AA, T.; Fatima, K.; Mohammad, T.; Fatima, U.; Singh, I.K.; Singh, A.; Atif, S.M.; Hariprasad, G.; Hasan, G.M.; Hassan, M.I. Insights into SARS-CoV-2 genome, structure, evolution, pathogenesis and therapies: Structural genomics approach. Biochim. Et Biophys. Acta (BBA)-Mol. Basis Dis. 2020, 1866, 165878. [Google Scholar] [CrossRef]
- Wang, D.; Hu, B.; Hu, C.; Zhu, F.; Liu, X.; Zhang, J.; Wang, B.; Xiang, H.; Cheng, Z.; Xiong, Y. Clinical characteristics of 138 hospitalized patients with 2019 novel coronavirus–infected pneumonia in Wuhan, China. JAMA 2020, 323, 1061–1069. [Google Scholar] [CrossRef] [PubMed]
- Chen, Y.; Liu, Q.; Guo, D. Emerging coronaviruses: Genome structure, replication, and pathogenesis. J. Med. Virol. 2020, 92, 418–423. [Google Scholar] [CrossRef]
- Chenthamarakshan, V.; Das, P.; Hoffman, S.C.; Strobelt, H.; Padhi, I.; Lim, K.W.; Hoover, B.; Manica, M.; Born, J.; Laino, T. Cogmol: Target-specific and selective drug design for COVID-19 using deep generative models. arXiv 2020, arXiv:2004.01215. [Google Scholar]
- Świderek, K.; Moliner, V. Revealing the molecular mechanisms of proteolysis of SARS-CoV-2 M pro by QM/MM computational methods. Chem. Sci. 2020, 11, 10626–10630. [Google Scholar] [CrossRef] [PubMed]
- Gao, Y.; Yan, L.; Huang, Y.; Liu, F.; Zhao, Y.; Cao, L.; Wang, T.; Sun, Q.; Ming, Z.; Zhang, L. Structure of the RNA-dependent RNA polymerase from COVID-19 virus. Science 2020, 368, 779–782. [Google Scholar] [CrossRef] [PubMed]
- Trougakos, I.P.; Stamatelopoulos, K.; Terpos, E.; Tsitsilonis, O.E.; Aivalioti, E.; Paraskevis, D.; Kastritis, E.; Pavlakis, G.N.; Dimopoulos, M.A. Insights to SARS-CoV-2 life cycle. pathophysiology, and rationalized treatments that target COVID-19 clinical complications. J. Biomed. Sci. 2021, 28, 9. [Google Scholar] [CrossRef] [PubMed]
- Beigel, J.H.; Tomashek, K.M.; Dodd, L.E.; Mehta, A.K.; Zingman, B.S.; Kalil, A.C.; Hohmann, E.; Chu, H.Y.; Luetkemeyer, A.; Kline, S. Remdesivir for the treatment of COVID-19—preliminary report. N. Engl. J. Med. 2020, 383, 1813–1826. [Google Scholar] [CrossRef]
- Xu, Z.; Shi, L.; Wang, Y.; Zhang, J.; Huang, L.; Zhang, C.; Liu, S.; Zhao, P.; Liu, H.; Zhu, L. Pathological findings of COVID-19 associated with acute respiratory distress syndrome. Lancet Respir. Med. 2020, 8, 420–422. [Google Scholar] [CrossRef]
- Lu, R.; Zhao, X.; Li, J.; Niu, P.; Yang, B.; Wu, H.; Wang, W.; Song, H.; Huang, B.; Zhu, N. Genomic characterisation and epidemiology of 2019 novel coronavirus: Implications for virus origins and receptor binding. Lancet 2020, 395, 565–574. [Google Scholar] [CrossRef]
- Hoffman, R.L.; Kania, R.S.; Brothers, M.A.; Davies, J.F.; Ferre, R.A.; Gajiwala, K.S.; He, M.; Hogan, R.J.; Kozminski, K.; Li, L.Y. Discovery of ketone-based covalent inhibitors of coronavirus 3CL proteases for the potential therapeutic treatment of COVID-19. J. Med. Chem. 2020, 63, 12725–12747. [Google Scholar] [CrossRef]
- Rut, W.; Lv, Z.; Zmudzinski, M.; Patchett, S.; Nayak, D.; Snipas, S.J.; El Oualid, F.; Huang, T.T.; Bekes, M.; Drag, M. Activity profiling and crystal structures of inhibitor-bound SARS-CoV-2 papain-like protease: A framework for anti–COVID-19 drug design. Sci. Adv. 2020, 6, eabd4596. [Google Scholar] [CrossRef]
- Systèmes, D. BIOVIA, Discovery Studio Visualizer, Release 2019; Dassault Systèmes: San Diego, CA, USA, 2020. [Google Scholar]
- Manandhar, A.; Blass, B.E.; Colussi, D.J.; Almi, I.; Abou-Gharbia, M.; Klein, M.L.; Elokely, K.M. Targeting SARS-CoV-2 M3CLpro by HCV NS3/4a Inhibitors: In Silico Modeling and In Vitro Screening. J. Chem. Inf. Modeling 2021, 61, 1020–1032. [Google Scholar] [CrossRef]
- Siklos, M.; BenAissa, M.; Thatcher, G.R. Cysteine proteases as therapeutic targets: Does selectivity matter? A systematic review of calpain and cathepsin inhibitors. Acta Pharm. Sin. B 2015, 5, 506–519. [Google Scholar] [CrossRef]
- Parks, J.; Sanders, B.; Pohkrel, S.; Labbe, A.; Mathews, I.; Cooper, C.; Davidson, R.; Phillips, G.; Weiss, K.; Zhang, Q. Potent and Selective Covalent Inhibitors of the Papain-like Protease from SARS-CoV-2. Res. Sq. 2021, Preprint. [Google Scholar]
- Hsu, M.-F.; Kuo, C.-J.; Chang, K.-T.; Chang, H.-C.; Chou, C.-C.; Ko, T.-P.; Shr, H.-L.; Chang, G.-G.; Wang, A.H.-J.; Liang, P.-H. Mechanism of the Maturation Process of SARS-CoV 3CL Protease*[boxs]. J. Biol. Chem. 2005, 280, 31257–31266. [Google Scholar] [CrossRef] [PubMed]
- Lee, H.-J.; Shieh, C.-K.; Gorbalenya, A.E.; Koonin, E.V.; La Monica, N.; Tuler, J.; Bagdzhadzhyan, A.; Lai, M.M. The complete sequence (22 kilobases) of murine coronavirus gene 1 encoding the putative proteases and RNA polymerase. Virology 1991, 180, 567–582. [Google Scholar] [CrossRef] [PubMed]
- Lindner, H.A.; Fotouhi-Ardakani, N.; Lytvyn, V.; Lachance, P.; Sulea, T.; Ménard, R. The papain-like protease from the severe acute respiratory syndrome coronavirus is a deubiquitinating enzyme. J. Virol. 2005, 79, 15199–15208. [Google Scholar] [CrossRef]
- Zhang, L.; Lin, D.; Sun, X.; Curth, U.; Drosten, C.; Sauerhering, L.; Becker, S.; Rox, K.; Hilgenfeld, R. Crystal structure of SARS-CoV-2 main protease provides a basis for design of improved α-ketoamide inhibitors. Science 2020, 368, 409–412. [Google Scholar] [CrossRef]
- Barretto, N.; Jukneliene, D.; Ratia, K.; Chen, Z.; Mesecar, A.D.; Baker, S.C. The papain-like protease of severe acute respiratory syndrome coronavirus has deubiquitinating activity. J. Virol. 2005, 79, 15189–15198. [Google Scholar] [CrossRef] [PubMed]
- Hilgenfeld, R. From SARS to MERS: Crystallographic studies on coronaviral proteases enable antiviral drug design. FEBS J. 2014, 281, 4085–4096. [Google Scholar] [CrossRef]
- Douangamath, A.; Fearon, D.; Gehrtz, P.; Krojer, T.; Lukacik, P.; Owen, C.D.; Resnick, E.; Strain-Damerell, C.; Aimon, A.; Ábrányi-Balogh, P. Crystallographic and electrophilic fragment screening of the SARS-CoV-2 main protease. Nat. Commun. 2020, 11, 5047. [Google Scholar] [CrossRef]
- Jin, Z.; Du, X.; Xu, Y.; Deng, Y.; Liu, M.; Zhao, Y.; Zhang, B.; Li, X.; Zhang, L.; Peng, C. Structure of M pro from SARS-CoV-2 and discovery of its inhibitors. Nature 2020, 582, 289–293. [Google Scholar] [CrossRef]
- Trott, O.; Olson, A. Software News and Update AutoDock Vina: Improving the Speed and Accuracy of Docking with a New Scoring Function. Effic. Optim. Multithreading 2009, 31, 455–461. [Google Scholar]
- Aier, I.; Varadwaj, P.K.; Raj, U. Structural insights into conformational stability of both wild-type and mutant EZH2 receptor. Sci. Rep. 2016, 6, 34984. [Google Scholar] [CrossRef]
- Shahraki, O.; Zargari, F.; Edraki, N.; Khoshneviszadeh, M.; Firuzi, O.; Miri, R. Molecular dynamics simulation and molecular docking studies of 1. 4-Dihydropyridines as P-glycoprotein’s allosteric inhibitors. J. Biomol. Struct. Dyn. 2018, 36, 112–125. [Google Scholar] [CrossRef] [PubMed]
- Nayeem, S.; Sohail, E.M.; Ridhima, G.; Reddy, M.S. Target SARS-CoV-2: Computation of binding energies with drugs of dexamethasone/umifenovir by molecular dynamics using OPLS-AA force field. Res. Biomed. Eng. 2022, 38, 117–126. [Google Scholar] [CrossRef]
- Malleda, C.; Ahalawat, N.; Gokara, M.; Subramanyam, R. Molecular dynamics simulation studies of betulinic acid with human serum albumin. J. Mol. Modeling 2012, 18, 2589–2597. [Google Scholar] [CrossRef] [PubMed]
- Abu-Saleh, A.A.-A.A.; Awad, I.E.; Yadav, A.; Poirier, R.A. Discovery of potent inhibitors for SARS-CoV-2’s main protease by ligand-based/structure-based virtual screening. MD simulations, and binding energy calculations. Phys. Chem. Chem. Phys. 2020, 22, 23099–23106. [Google Scholar] [CrossRef] [PubMed]
- Rappé, A.K.; Casewit, C.J.; Colwell, K.; Goddard, W.A., III; Skiff, W.M. UFF, a full periodic table force field for molecular mechanics and molecular dynamics simulations. J. Am. Chem. Soc. 1992, 114, 10024–10035. [Google Scholar]
- Mittal, R.R.; Harris, L.; McKinnon, R.A.; Sorich, M.J. Partial charge calculation method affects CoMFA QSAR prediction accuracy. J. Chem. Inf. Modeling 2009, 49, 704–709. [Google Scholar] [CrossRef]
- Anandakrishnan, R.; Aguilar, B.; Onufriev, A.V. H++ 3.0: Automating p K prediction and the preparation of biomolecular structures for atomistic molecular modeling and simulations. Nucleic Acids Res. 2012, 40, W537–W541. [Google Scholar] [CrossRef]
- Frisch, M.; Trucks, G.; Schlegel, H.; Scuseria, G.; Robb, M.; Cheeseman, J.; Scalmani, G.; Barone, V.; Petersson, G.; Nakatsuji, H. Gaussian 16; Gaussian, Inc.: Wallingford, CT, USA, 2016. [Google Scholar]
- Case, D.; Ben-Shalom, I.; Brozell, S.; Cerutti, D.; Cheatham, T., III; Cruzeiro, V.; Darden, T.; Duke, R.; Ghoreishi, D.; Gilson, M. AMBER 2018; University of California: San Francisco, CA, USA, 2018. [Google Scholar]
- Jorgensen, W.L.; Chandrasekhar, J.; Madura, J.D.; Impey, R.W.; Klein, M.L. Comparison of simple potential functions for simulating liquid water. J. Chem. Phys. 1983, 79, 926–935. [Google Scholar] [CrossRef]
- Hornak, V.; Abel, R.; Okur, A.; Strockbine, B.; Roitberg, A.; Simmerling, C. Comparison of multiple Amber force fields and development of improved protein backbone parameters. Proteins: Struct. Funct. Bioinform. 2006, 65, 712–725. [Google Scholar] [CrossRef]
- Maier, J.A.; Martinez, C.; Kasavajhala, K.; Wickstrom, L.; Hauser, K.E.; Simmerling, C. ff14SB: Improving the accuracy of protein side chain and backbone parameters from ff99SB. J. Chem. Theory Comput. 2015, 11, 3696–3713. [Google Scholar] [CrossRef] [PubMed]
- Pastor, R.W.; Brooks, B.R.; Szabo, A. An analysis of the accuracy of Langevin and molecular dynamics algorithms. Mol. Phys. 1988, 65, 1409–1419. [Google Scholar] [CrossRef]
- Ryckaert, J.-P.; Ciccotti, G.; Berendsen, H.J. Numerical integration of the cartesian equations of motion of a system with constraints: Molecular dynamics of n-alkanes. J. Comput. Phys. 1977, 23, 327–341. [Google Scholar] [CrossRef]
- Pettersen, E.F.; Goddard, T.D.; Huang, C.C.; Couch, G.S.; Greenblatt, D.M.; Meng, E.C.; Ferrin, T.E. UCSF Chimera—a visualization system for exploratory research and analysis. J. Comput. Chem. 2004, 25, 1605–1612. [Google Scholar] [CrossRef] [PubMed]
- Hunter, J.D. Matplotlib: A 2D graphics environment. Comput. Sci. Eng. 2007, 9, 90–95. [Google Scholar] [CrossRef]
- Roe, D.R.; Cheatham, T.E., III. PTRAJ and CPPTRAJ: Software for processing and analysis of molecular dynamics trajectory data. J. Chem. Theory Comput. 2013, 9, 3084–3095. [Google Scholar] [CrossRef]
- Ndagi, U.; Mhlongo, N.N.; Soliman, M.E. The impact of Thr91 mutation on c-Src resistance to UM-164: Molecular dynamics study revealed a new opportunity for drug design. Mol. Biosyst. 2017, 13, 1157–1171. [Google Scholar] [CrossRef]
- Genheden, S.; Kuhn, O.; Mikulskis, P.; Hoffmann, D.; Ryde, U. The normal-mode entropy in the MM/GBSA method: Effect of system truncation, buffer region, and dielectric constant. J. Chem. Inf. Modeling 2012, 52, 2079–2088. [Google Scholar] [CrossRef]
- Ndagi, U.; Mhlongo, N.N.; Soliman, M.E. Emergence of a promising lead compound in the treatment of triple negative breast cancer: An insight into conformational features and ligand binding landscape of c-Src protein with UM-164. Appl. Biochem. Biotechnol. 2018, 185, 655–675. [Google Scholar] [CrossRef]








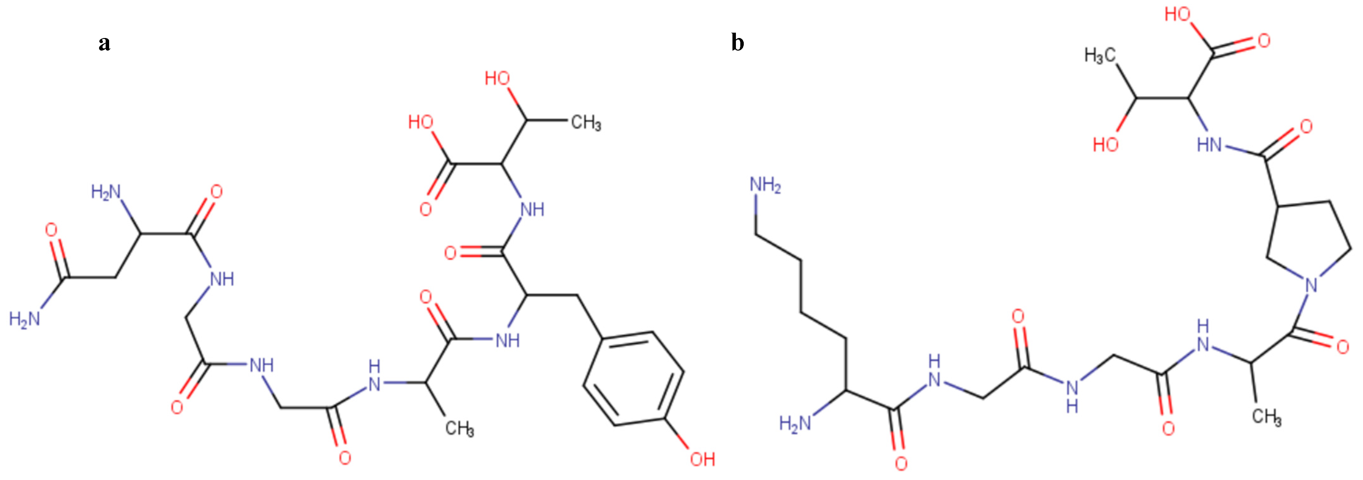
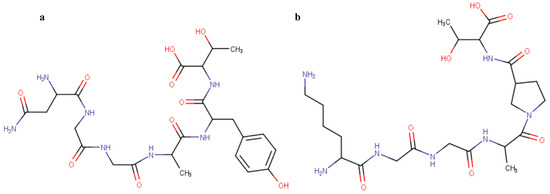
| Proteolytic Cleaved Sites by PLpro | Non-Structural Protein ID |
|---|---|
| Asn-Gly-Gly*Ala-Tyr-Thr | Nsp1-Nsp2 (CS1) |
| Lys-Gly-Gly*Ala-Pro-Thr | Nsp2-Nsp3 (CS2) |
| Lys-Gly-Gly*Lys-Iso-Val | Nsp3-Nsp4 |
| Proteolytic cleaved sites by 3CLpro | |
| Val-Leu-Gln*Ser-Gly-Phe | Nsp4-Nsp5 |
| Thr-Phe-Gln*Ser-Ala-Val | Nsp5-Nsp6 |
| Thr-Val-Gln*Ser-Lys-Met | Nsp6-Nsp7 |
| No | Complexes | RMSD Value (Å) |
|---|---|---|
| 3CLpro | ||
| 1 | 6XA4 PDB vs. re-docked 6XA4 | 0.86 (RMSD) |
| 2 | 6XA4 PDB vs. 3CLpro–CS1 | 0.77 (overlay similarity) |
| 3 | 6XA4 PDB vs. 3CLpro–CS2 | 0.78 (overlay similarity) |
| PLpro | ||
| 6 | 6WX4 PDB vs. re-docked 6WX4 | 0.83 (RMSD) |
| 7 | 6WX4 PDB vs. PLpro–CS1 | 0.74 (overlay similarity) |
| 8 | 6WX4 PDB vs. PLpro–CS2 | 0.73 (overlay similarity) |
| System | ΔEvdw | ΔEele | ΔGgas | ΔGpolar | ΔGnonpolar | ΔGsol | ΔGbind |
|---|---|---|---|---|---|---|---|
| 3CLpro | |||||||
| CS1 | −9.97 | −75.60 | −9.31 | 1.21 | −2.00 | −0.79 | −10.10 |
| CS2 | −8.09 | −133.21 | −68.13 | 60.05 | −2.16 | 57.90 | −10.23 |
| PLpro | |||||||
| CS1 | −15.96 | −154.29 | −95.66 | 82.71 | −2.87 | 79.83 | −15.83 |
| CS2 | −4.24 | −148.23 | −80.12 | 79.69 | −1.09 | 78.60 | −1.52 |
| System 3CLpro | Acceptor | Donor | Occupancy (%) | Distance (Å) | Angle (°) |
|---|---|---|---|---|---|
| CS1 | CYS_144@O | ASN_27@H-N | 54.42 | 2.8722 | 157.7537 |
| GLY_307@O | GLU_165@H-N | 33.42 | 2.8901 | 162.1835 | |
| HIE_40@O | CYS_43@H-N | 28.89 | 2.9051 | 154.6399 | |
| THR_310@O | THR_189@H-N | 26.29 | 2.8622 | 158.9503 | |
| CYS_144@O | ASN_27@HD22-ND2 | 25.39 | 2.8489 | 158.2798 | |
| THR_310@O | ALA_190@H-N | 18.73 | 2.8603 | 159.0912 | |
| TYR_309@O | GLN_188@HE22-N322 | 15.13 | 2.8431 | 159.6982 | |
| THR_310@OXT | ALA_190@H-N | 12.56 | 2.8654 | 157.2788 | |
| THR_310@OXT | THR_189@H-N | 9.63 | 2.8664 | 153.5904 | |
| GLY_307@O | TRY_309@H-N | 7.66 | 2.9030 | 146.1381 | |
| TYR_309@O | THR_310@HG1-OG1 | 6.96 | 2.8039 | 161.6148 | |
| ASN_305@O | ALA_308@H-N | 4.47 | 2.9094 | 152.8739 | |
| ASN_305@OD1 | GLY_306@H-N | 3.70 | 2.8340 | 144.2798 | |
| ASN_305@O | SER_45@HG-OG | 3.40 | 2.7780 | 159.0601 | |
| ALA_308@O | ASN_305@H1-N | 3.00 | 2.8331 | 153.1770 | |
| CS2 | CYS_144@O | ASN_27@H-N | 56.41 | 2.8798 | 158.4557 |
| GLY_306@O | SER_138@HG-OG | 43.59 | 2.7128 | 161.2717 | |
| THR_310@O | ARG_3@HH21-NH2 | 28.06 | 2.8006 | 158.7969 | |
| THR_310@OXT | ARG_3@HH21-NH2 | 18.33 | 2.8087 | 156.1145 | |
| HIE_40@O | CYS_43@H-N | 15.23 | 2.9166 | 156.0746 | |
| HIE_40@ND1 | HIE_40@H-N | 12.30 | 2.9060 | 141.5077 | |
| PRO_309@O | THR_310@HG1-OG1 | 2.97 | 2.8355 | 159.3578 | |
| ALA_308@O | LEU_140@H-N | 1.93 | 2.8732 | 154.1803 | |
| PLpro | |||||
| CS1 | CYS_113@O | THR_117@HG1-OG1 | 75.14 | 2.8348 | 158.5441 |
| THR_324@O | GLY_273@H-N | 71.53 | 2.8464 | 161.7714 | |
| ASN_319@OD1 | TYR_323@H-N | 54.02 | 2.8828 | 162.5650 | |
| ASP_288@OD2 | HIE_274@HE2-NE2 | 42.95 | 2.8187 | 157.9014 | |
| CYS_113@O | THR_117@H-N | 39.45 | 2.9013 | 159.4459 | |
| ASN_319@OD1 | ALA_322@H-N | 38.32 | 2.8724 | 153.1878 | |
| ASP_288@O | LEU_291@H-N | 32.42 | 2.9040 | 159.4916 | |
| THR_324@OXT | ASN_111@HD22-ND2 | 31.66 | 2.8407 | 149.4410 | |
| HIE_274@O | THR_267@H-N | 28.32 | 2.9130 | 162.4926 | |
| TRY_323@O | ASN_319@H1-N | 13.06 | 2.7518 | 145.6913 | |
| GLY_20@O | TYR_270@HH-OH | 4.47 | 2.7677 | 161.4565 | |
| ASN_319@OD1 | GLY_320@H-N | 4.23 | 2.8071 | 144.6121 | |
| CS2 | CYS_113@O | THR_117@HG1-OG1 | 77.47 | 2.7872 | 162.2125 |
| ASP_288@OD2 | HIE_274@HE2-NE2 | 44.35 | 2.8228 | 160.2619 | |
| CYS_113@O | THR_117@H-N | 38.59 | 2.9075 | 159.0521 | |
| ASP_288@OD1 | HIE_274@HE2-NE2 | 37.65 | 2.8263 | 159.7712 | |
| HIE_274@O | THR_267@H-N | 35.22 | 2.9013 | 161.0575 | |
| ASP_288@O | LEU_291@H-N | 30.36 | 2.9058 | 158.9475 | |
| PRO_323@O | ARG_168@HH12-NH1 | 6.83 | 2.8173 | 156.2786 | |
| PRO_323@O | THR_324@HG1-OG1 | 6.70 | 2.8011 | 162.3707 | |
| THR_324@O | THR_324@HG1-OG1 | 4.63 | 2.7763 | 146.7643 | |
| THR_324@OG1 | ARG_168@HH22-NH2 | 2.83 | 2.8560 | 155.1610 | |
| GLY_320@O | ARG_168@HH22-NH2 | 2.30 | 2.8517 | 150.3676 | |
| PRO_318@OXT | LYS_219@HZ1-NZ | 2.17 | 2.7873 | 159.4122 | |
| LYS_319@O | GLN_176@HE21-NE2 | 2.10 | 2.8605 | 158.4366 |
Publisher’s Note: MDPI stays neutral with regard to jurisdictional claims in published maps and institutional affiliations. |
© 2022 by the authors. Licensee MDPI, Basel, Switzerland. This article is an open access article distributed under the terms and conditions of the Creative Commons Attribution (CC BY) license (https://creativecommons.org/licenses/by/4.0/).
Share and Cite
Sanusi, Z.K.; Lobb, K.A. Insights into the Dynamics and Binding of Two Polyprotein Substrate Cleavage Points in the Context of the SARS-CoV-2 Main and Papain-like Proteases. Molecules 2022, 27, 8251. https://doi.org/10.3390/molecules27238251
Sanusi ZK, Lobb KA. Insights into the Dynamics and Binding of Two Polyprotein Substrate Cleavage Points in the Context of the SARS-CoV-2 Main and Papain-like Proteases. Molecules. 2022; 27(23):8251. https://doi.org/10.3390/molecules27238251
Chicago/Turabian StyleSanusi, Zainab Kemi, and Kevin Alan Lobb. 2022. "Insights into the Dynamics and Binding of Two Polyprotein Substrate Cleavage Points in the Context of the SARS-CoV-2 Main and Papain-like Proteases" Molecules 27, no. 23: 8251. https://doi.org/10.3390/molecules27238251
APA StyleSanusi, Z. K., & Lobb, K. A. (2022). Insights into the Dynamics and Binding of Two Polyprotein Substrate Cleavage Points in the Context of the SARS-CoV-2 Main and Papain-like Proteases. Molecules, 27(23), 8251. https://doi.org/10.3390/molecules27238251

