Fine-Tuning Bi2Te3-Copper Selenide Alloys Enables an Efficient n-Type Thermoelectric Conversion
Abstract
1. Introduction
2. Experimental Section
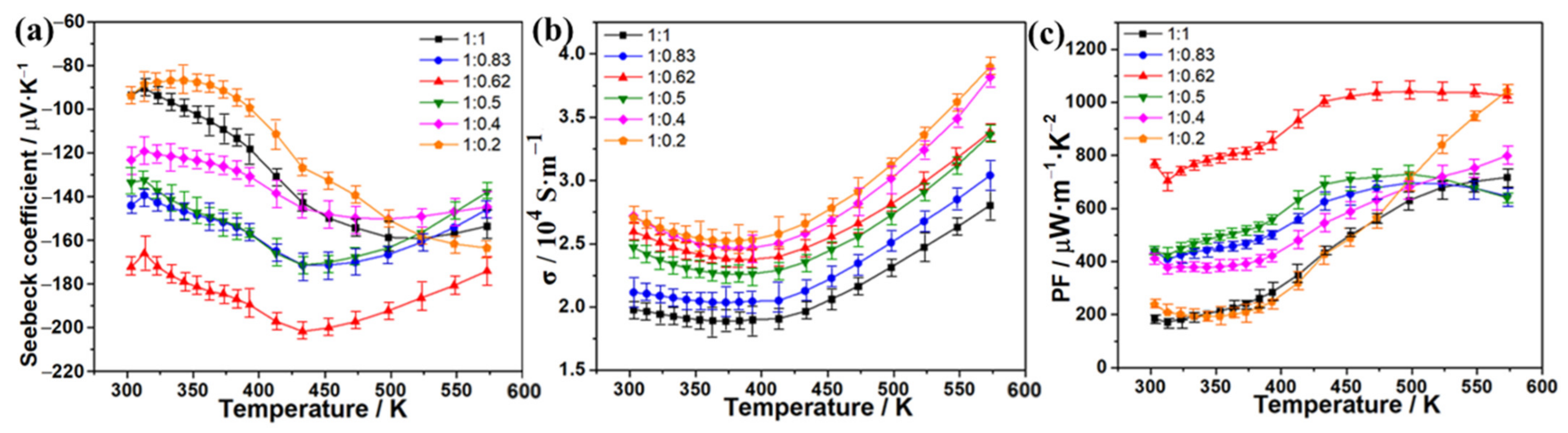
3. Results and Discussion
4. Conclusions
Supplementary Materials
Author Contributions
Funding
Institutional Review Board Statement
Informed Consent Statement
Data Availability Statement
Conflicts of Interest
References
- Massetti, M.; Jiao, F.; Ferguson, A.J.; Zhao, D.; Wijeratne, K.; Wurger, A.; Blackburn, J.L.; Crispin, X.; Fabiano, S. Unconventional thermoelectric materials for energy harvesting and sensing applications. Chem. Rev. 2021, 121, 12465–12547. [Google Scholar] [CrossRef] [PubMed]
- Wang, Y.; Yang, L.; Shi, X.; Shi, X.; Chen, L.; Dargusch, M.S.; Zou, J.; Chen, Z. Flexible thermoelectric materials and generators: Challenges and innovations. Adv. Mater. 2019, 31, 1807916. [Google Scholar] [CrossRef] [PubMed]
- Chen, Y.; Nie, X.; Sun, C.; Ke, S.; Xu, W.; Zhao, Y.; Zhu, W.; Zhao, W.; Zhang, Q. Realizing High-performance BiSbTe magnetic flexible films via acceleration movement and hopping migration of carriers. Adv. Funct. Mater. 2022, 32, 2111373. [Google Scholar] [CrossRef]
- Jiang, D.; Shi, B.; Ouyang, H.; Fan, Y.; Wang, Z.L.; Li, Z. Emerging implantable energy harvesters and self-powered implantable medical electronics. ACS Nano 2020, 14, 6436–6448. [Google Scholar] [CrossRef]
- Li, C.; Jiang, F.; Liu, C.; Liu, P.; Xu, J. Present and future thermoelectric materials toward wearable energy harvesting. Appl. Mater. Today 2019, 15, 543–557. [Google Scholar] [CrossRef]
- Witting, I.T.; Ricci, F.; Chasapis, T.C.; Hautier, G.; Snyder, G.J. The thermoelectric properties of n-type bismuth telluride: Bismuth selenide alloys Bi2Te3−xSex. Research 2020, 2020, 4361703. [Google Scholar] [CrossRef]
- El-Makaty, F.M.; Ahmed, H.K.; Youssef, K.M. Review: The effect of different nanofiller materials on the thermoelectric behavior of bismuth telluride. Mater. Des. 2021, 209, 109974. [Google Scholar] [CrossRef]
- Cen, J.; Pallikara, I.; Skelton, J.M. Structural dynamics and thermal transport in bismuth chalcogenide alloys. Chem. Mater. 2021, 33, 8404–8417. [Google Scholar] [CrossRef]
- Chatterjee, K.; Ghosh, T.K. Thermoelectric materials for textile applications. Molecules 2021, 26, 3154. [Google Scholar] [CrossRef]
- Witting, I.T.; Chasapis, T.C.; Ricci, F.; Peters, M.; Heinz, N.A.; Hautier, G.; Snyder, G.J. The thermoelectric properties of bismuth telluride. Adv. Electron. Mater. 2019, 5, 1800904. [Google Scholar] [CrossRef]
- Cho, J.; Kim, S.; Kim, Y.; Kim, H.; Park, T.; Kim, S.W. Cu nanoparticle-processed n-type Bi2Te2.7Se0.3 alloys for low-temperature thermoelectric power generation. J. Alloys Compd. 2021, 884, 161060. [Google Scholar] [CrossRef]
- Tang, J.; Chen, Y.; McCuskey, S.R.; Chen, L.; Bazan, G.C.; Liang, Z. Recent advances in n-type thermoelectric nanocomposites. Adv. Electron. Mater. 2019, 5, 1800943. [Google Scholar] [CrossRef]
- Kim, S.I.; Lee, K.H.; Mun, H.A.; Kim, H.S.; Hwang, S.W.; Roh, J.W.; Yang, D.J.; Shin, W.H.; Li, X.S.; Lee, Y.H.; et al. Dense dislocation arrays embedded in grain boundaries for high-performance bulk thermoelectrics. Science 2015, 348, 109–114. [Google Scholar] [CrossRef] [PubMed]
- Wei, J.; Yang, L.; Ma, Z.; Song, P.; Zhang, M.; Ma, J.; Yang, F.; Wang, X. Review of current high-ZT thermoelectric materials. J. Mater. Sci. 2020, 55, 12642–12704. [Google Scholar] [CrossRef]
- Zhang, C.; de la Mata, M.; Li, Z.; Belarre, F.J.; Arbiol, J.; Khor, K.A.; Poletti, D.; Zhu, B.; Yan, Q.; Xiong, Q. Enhanced thermoelectric performance of solution-derived bismuth telluride based nanocomposites via liquid-phase sintering. Nano Energy 2016, 30, 630–638. [Google Scholar] [CrossRef]
- Shin, W.H.; Roh, J.W.; Ryu, B.; Chang, H.J.; Kim, H.S.; Lee, S.; Seo, W.S.; Ahn, K. Enhancing thermoelectric performances of bismuth antimony telluride via synergistic combination of multiscale structuring and band alignment by FeTe2 incorporation. ACS Appl. Mater. Interfaces 2018, 10, 3689–3698. [Google Scholar] [CrossRef]
- Yu, Y.; He, D.; Zhang, S.; Cojocaru-Mirédin, O.; Schwarz, T.; Stoffers, A.; Wang, X.; Zheng, S.; Zhu, B.; Scheu, C.; et al. Simultaneous optimization of electrical and thermal transport properties of Bi0.5Sb1.5Te3 thermoelectric alloy by twin boundary engineering. Nano Energy 2017, 37, 203–213. [Google Scholar] [CrossRef]
- Kato, K.; Hatasako, Y.; Uchino, M.; Nakata, Y.; Suzuki, Y.; Hayakawa, T.; Adachi, C.; Miyazaki, K. Flexible porous bismuth telluride thin films with enhanced figure of merit using micro-phase separation of block copolymer. Adv. Mater. Interfaces 2014, 1, 1300015. [Google Scholar] [CrossRef]
- Hu, L.; Wu, H.; Zhu, T.; Fu, C.; He, J.; Ying, P.; Zhao, X. Tuning multiscale microstructures to enhance thermoelectric performance of n-type bismuth-telluride-based solid solutions. Adv. Energy Mater. 2015, 5, 1500411. [Google Scholar] [CrossRef]
- Li, D.; Li, J.M.; Li, J.C.; Wang, Y.S.; Zhang, J.; Qin, X.Y.; Cao, Y.; Li, Y.S.; Tang, G.D. High thermoelectric performance of n-type Bi2Te2.7Se0.3 via nanostructure engineering. J. Mater. Chem. A 2018, 6, 9642–9649. [Google Scholar] [CrossRef]
- Cho, H.; Yun, J.; Back, S.Y.; Lee, J.; Kang, N.; Jang, Y.; Lim, J.; Son, J.; Park, J.; Kim, J.; et al. Superior thermoelectric cooling performance by suppressing bipolar diffusion effect and enhancing anisotropic texture in p-/n-type Bi2Te3 based compounds. J. Alloys Compd. 2021, 888, 161572. [Google Scholar] [CrossRef]
- Hong, M.; Chen, Z.G.; Zou, J. Fundamental and progress of Bi2Te3-based thermoelectric materials. Chin. Phys. B 2018, 27, 048403. [Google Scholar] [CrossRef]
- Lou, L.; Yang, J.; Zhu, Y.; Liang, H.; Zhang, Y.; Feng, J.; He, J.; Ge, Z.; Zhao, L. Tunable Electrical Conductivity and Simultaneously Enhanced Thermoelectric and Mechanical Properties in n-type Bi2Te3. Adv. Sci. 2022, 9, 2203250. [Google Scholar] [CrossRef] [PubMed]
- Zhu, B.; Wang, W.; Cui, J.; He, J. Point defect engineering: Co-doping synergy realizing superior performance in n-type Bi2Te3 thermoelectric materials. Small 2021, 17, 2101328. [Google Scholar] [CrossRef] [PubMed]
- Li, L.; Zhao, Y.; Shi, C.; Zeng, W.; Liao, B.; Zhang, M.; Tao, X. Facile synthesis of copper selenides with different stoichiometric compositions and their thermoelectric performance at a low temperature range. RSC Adv. 2021, 11, 25955. [Google Scholar] [CrossRef] [PubMed]
- Liu, W.; Yang, L.; Chen, Z.; Zou, J. Promising and eco-friendly Cu2X-based thermoelectric materials: Progress and applications. Adv. Mater. 2020, 32, 1905703. [Google Scholar] [CrossRef]
- Liu, H.; Shi, X.; Xu, F.; Zhang, L.; Zhang, W.; Chen, L.; Li, Q.; Uher, C.; Day, T.; Snyder, G.J. Copper ion liquid-like thermoelectrics. Nat. Mater. 2012, 11, 422–425. [Google Scholar] [CrossRef]
- Olvera, A.A.; Moroza, N.A.; Sahoo, P.; Ren, P.; Bailey, T.P.; Page, A.A.; Uher, C.; Poudeu, P.F.P. Partial indium solubility induces chemical stability and colossal thermoelectric figure of merit in Cu2Se. Energy Environ. Sci. 2017, 10, 1668–1676. [Google Scholar] [CrossRef]
- Yang, D.; Su, X.; Li, J.; Bai, H.; Wang, S.; Li, Z.; Tang, H.; Tang, K.; Luo, T.; Yan, Y.; et al. Blocking ion migration stabilizes the high thermoelectric performance in Cu2Se composites. Adv. Mater. 2020, 32, 2003730. [Google Scholar] [CrossRef]
- Nazrul-Islam, S.M.K.; Rahman, M.R.; Ahmed, A.J.; Yun, F.F.; Cortie, D.L.; Wang, X.; Cortie, M.B. Beneficial effect of Na2CO3 additions on the thermoelectric performance of melt-route Cu2Se. Adv. Electro. Mater. 2022, 8, 2100802. [Google Scholar] [CrossRef]
- Zeier, W.G.; Zevalkink, A.; Gibbs, Z.M.; Hautier, G.; Kanatzidis, M.G.; Snyder, G.J. Thinking like a chemist: Intuition in thermoelectric materials. Angew. Chem. Int. Ed. 2016, 55, 6826–6841. [Google Scholar] [CrossRef]
- Adam, A.M.; Diab, A.K.; Ataalla, M.; Alotaibi, M.F.; Alharbi, A.N.; Elsehly, E.M. Optimized thermoelectric performance in thin (Bi2Se3)1−x(Bi2Te3)x alloyed films. J. Alloys Compd. 2022, 898, 162888. [Google Scholar] [CrossRef]
- Zhu, W.; Wei, P.; Zhang, J.; Li, L.; Zhu, W.; Nie, X.; Sang, X.; Zhang, Q.; Zhao, W. Fabrication and excellent performances of bismuth telluride-based thermoelectric devices. ACS Appl. Mater. Interfaces 2022, 14, 12276–12283. [Google Scholar] [CrossRef]
- Ma, R.; Yang, D.; Tian, Z.; Song, H.; Zhang, Y. Effects of Bi2Te3 doping on the thermoelectric properties of Cu2Se alloys. Appl. Phys. A 2022, 128, 531. [Google Scholar] [CrossRef]
- Zhang, C.C.; Fan, X.A.; Hu, J.; Jiang, C.P.; Feng, B.; Xiang, Q.S.; Li, G.Q.; Li, Y.W. The effect of porosity and milling induced defects on the thermoelectric properties of p-Type Bi2Te3-based bulks. Adv. Eng. Mater. 2016, 18, 1777–1784. [Google Scholar] [CrossRef]
- Mølnås, H.; Russ, B.; Farrell, S.L.; Gordon, M.P.; Urban, J.J.; Sahu, A. N-Type doping of a solution processed p-type semiconductor using isoelectronic surface dopants for homojunction fabrication. Appl. Surf. Sci. 2022, 590, 153089. [Google Scholar] [CrossRef]
- Chen, C.; Wang, T.; Yu, Z.; Hutabalian, Y.; Vankayala, R.K.; Chen, C.; Hsieh, W.; Jeng, H.; Wei, D.; Chen, Y. Modulation doping enables ultrahigh power factor and thermoelectric ZT in n-Type Bi2Te2.7Se0.3. Adv. Sci. 2022, 9, 2201353. [Google Scholar] [CrossRef]
- Pan, Y.; Wei, T.R.; Wu, C.F.; Li, J.F. Electrical and thermal transport properties of spark plasma sintered n-type Bi2Te3-xSex alloys: The combined effect of point defect and Se content. J. Mater. Chem. C 2015, 3, 10583. [Google Scholar] [CrossRef]





Publisher’s Note: MDPI stays neutral with regard to jurisdictional claims in published maps and institutional affiliations. |
© 2022 by the authors. Licensee MDPI, Basel, Switzerland. This article is an open access article distributed under the terms and conditions of the Creative Commons Attribution (CC BY) license (https://creativecommons.org/licenses/by/4.0/).
Share and Cite
Li, L.; Jia, J.; Shi, C.; Zeng, W. Fine-Tuning Bi2Te3-Copper Selenide Alloys Enables an Efficient n-Type Thermoelectric Conversion. Molecules 2022, 27, 8183. https://doi.org/10.3390/molecules27238183
Li L, Jia J, Shi C, Zeng W. Fine-Tuning Bi2Te3-Copper Selenide Alloys Enables an Efficient n-Type Thermoelectric Conversion. Molecules. 2022; 27(23):8183. https://doi.org/10.3390/molecules27238183
Chicago/Turabian StyleLi, Longbin, Jianchao Jia, Chaosheng Shi, and Wei Zeng. 2022. "Fine-Tuning Bi2Te3-Copper Selenide Alloys Enables an Efficient n-Type Thermoelectric Conversion" Molecules 27, no. 23: 8183. https://doi.org/10.3390/molecules27238183
APA StyleLi, L., Jia, J., Shi, C., & Zeng, W. (2022). Fine-Tuning Bi2Te3-Copper Selenide Alloys Enables an Efficient n-Type Thermoelectric Conversion. Molecules, 27(23), 8183. https://doi.org/10.3390/molecules27238183

