Activation of Vegetable Oils by Reaction with Maleic Anhydride as a Renewable Source in Chemical Processes: New Experimental and Computational NMR Evidence
Abstract
1. Introduction
2. Results and Discussion
2.1. Characterization of the Starting Materials
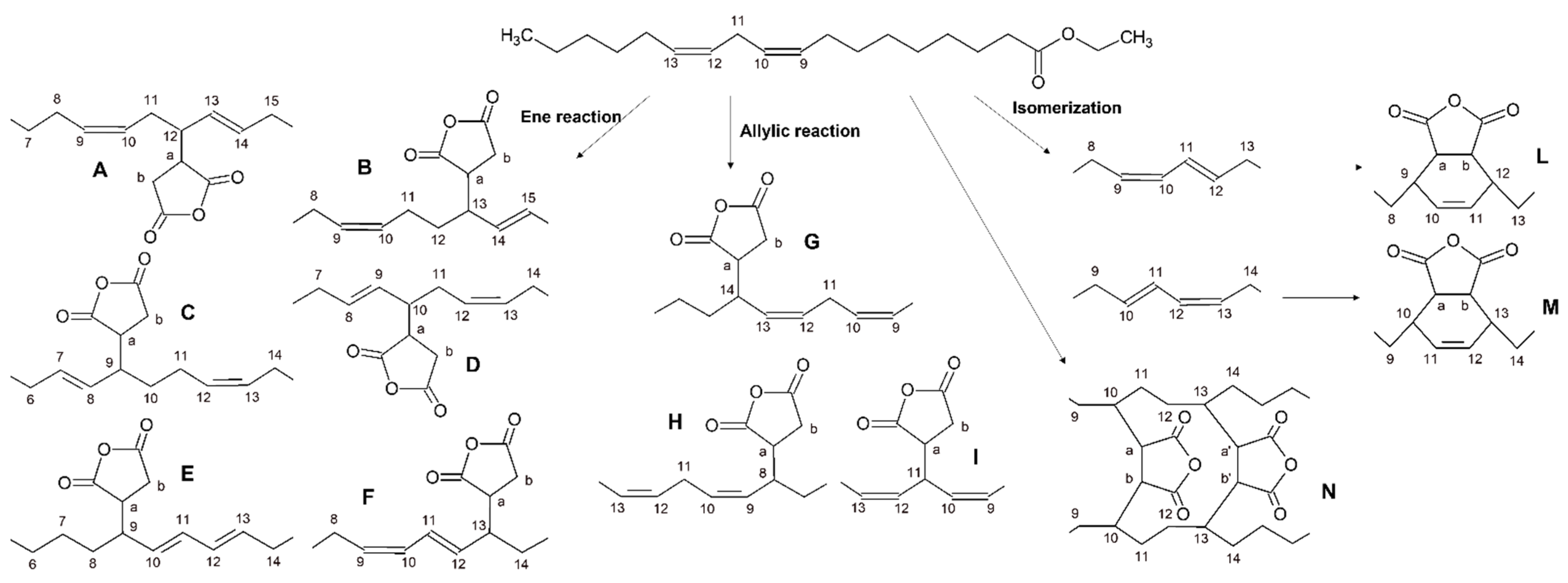
2.2. The Reaction of Maleic Anhydride with Unsaturated Fatty Acids
- (i)
- The “ene-Alder” reaction which involves the attack of MA (acting as a highly reactive enophile, its double bond being an electron-deficient alkene) on the carbons bearing the double bond (the “ene” moiety) [35,36] thus shifting the double bond on the vicinal carbon and forming a new σ-bond between the two molecules through the general concerted mechanism reported in Scheme 2 [31];
- (ii)
- A free radical mechanism that involves the attack of MA on the allylic carbons and the maintenance of the double bond in the same C9-C10 position, which can be hydrogenated as well, and bearing the ASA moiety on C8 or C11 [37] (Scheme 1, route allylic reaction), giving rise to the species C and D, respectively.
- (iii)
- (iv)
- (v)
- The formation of ASA inter- or intra-molecular bridges, yielding oligomeric or polymeric species containing the n moieties [41].
2.3. Reactions of Maleic Anhydride with Trans-3-Octene
2.4. Reaction of Maleic Anhydride with Methyl Oleate or Ethyl Linoleate
2.5. Reactions of Maleic Anhydride with Grapeseed, Hemp, and Linseed Oils
3. Experimental Section
3.1. Materials and Methods
3.1.1. Reactions of Vegetable Oils and Maleic Anhydride Using Conventional Heating
3.1.2. Reaction of Methyl Oleate with Maleic Anhydride Using Conventional Heating
3.1.3. Reactions of Vegetable Oils and Maleic Anhydride by Microwave Irradiation
3.1.4. Reaction of Trans-3-Octene with Maleic Anhydride by Microwave Irradiation
3.1.5. Reaction of Methyl Oleate with Maleic Anhydride by Microwave Irradiation
3.1.6. Reaction of Ethyl Linoleate with Maleic Anhydride by Microwave Irradiation
3.2. Characterization Techniques
3.3. DFT-NMR Calculations
4. Conclusions
Supplementary Materials
Author Contributions
Funding
Institutional Review Board Statement
Informed Consent Statement
Data Availability Statement
Acknowledgments
Conflicts of Interest
Sample Availability
References
- Biermann, U.; Bornscheuer, U.; Meier, M.A.R.; Metzger, J.O.; Schafer, H.J. Oils and Fats as Renewable Raw Materials in Chemistry. Angew. Chem. Int. Ed. 2011, 50, 3854–3871. [Google Scholar] [CrossRef] [PubMed]
- Guner, F.S.; Yagci, Y.; Erciyes, A.T. Polymers from triglyceride oils. Prog. Polym. Sci. 2006, 31, 633–670. [Google Scholar] [CrossRef]
- Mosiewicki, M.A.; Aranguren, M.I. A short review on novel biocomposites based on plant oil precursors. Eur. Polym. J. 2013, 49, 1243–1256. [Google Scholar] [CrossRef]
- Wang, R.; Schuman, T.P. Vegetable oil-derived epoxy monomers and polymer blends: A comparative study with review. eXPRESS Polym. Lett. 2013, 7, 272–292. [Google Scholar] [CrossRef]
- Rosu, L.; Varganici, C.D.; Mustata, F.; Rosu, D.; Rosca, I.; Rusu, T. Epoxy coatings based on modified vegetable oils for wood surface protection against fungal degradation. ACS Appl. Mater. Interfaces 2020, 12, 14443–14458. [Google Scholar] [CrossRef] [PubMed]
- Narute, P.; Rao, G.R.; Misra, S.; Palanisamy, A. Modification of cottonseed oil for amine cured epoxy resin: Studies on thermo-mechanical, physico-chemical, morphological and antimicrobial properties. Prog. Org. Coat. 2015, 88, 316–324. [Google Scholar] [CrossRef]
- Lu, J.; Khot, S.; Wool, R.P. New sheet molding compound resins from soybean oil. I. Synthesis and characterization. Polymer 2005, 46, 71–80. [Google Scholar] [CrossRef]
- Silverajah, V.S.G.; Ibrahim, N.A.; Yunus, W.M.Z.W.; Hassan, H.A.; Woei, C.B. A comparative study on the mechanical, thermal and morphological characterization of poly(lactic acid)/epoxidized palm oil blend. Int. J. Mol. Sci. 2012, 13, 5878–5898. [Google Scholar] [CrossRef]
- Mistri, E.; Routh, S.; Ray, D.; Sahoo, S.; Misra, M. Green composites from maleated castor oil and jute fibres. Ind. Crops Prod. 2011, 34, 900–906. [Google Scholar] [CrossRef]
- Carbonell-Verdu, A.; Garcia-Garcia, D.; Dominici, F.; Torre, L.; Sanchez-Nacher, L.; Balart, R. PLA films with improved flexibility properties by using maleinized cottonseed oil. Eur. Polym. J. 2017, 91, 248–259. [Google Scholar] [CrossRef]
- Ferri, J.M.; Garcia-Garcia, D.; Sanchez-Nacher, L.; Fenollar, O.; Balart, R. The effect of maleinized linseed oil (MLO) on mechanical performance of poly(lactic acid)-thermoplastic starch (PLA-TPS) blends. Carbohydr. Polym. 2016, 147, 60–68. [Google Scholar] [CrossRef]
- Rosu, D.; Mustafa, F.; Tudorachi, N.; Musteata, V.E.; Rosu, L.; Varganici, C.D. Novel bio-based flexible epoxy resin from diglycidyl ether of bisphenol A cured with castor oil maleate. RSC Adv. 2015, 5, 45679–45687. [Google Scholar] [CrossRef]
- Di Biase, S.A.; Rizvi, S.Q.A.; Hategan, G. Maleinated Derivatives. U.S. Patent US10294210B2, 21 May 2019. [Google Scholar]
- Brekan, J.; Di Biase, S.A.; Wang, Z.; Dalby, A.; Bertin, P. Maleinized Ester Derivatives. U.S. Patent US9481850B2, 1 November 2016. [Google Scholar]
- Samper, M.D.; Ferri, J.M.; Carbonell-Verdu, A.; Balart, R.; Fenollar, O. Properties of biobased epoxy resins from epoxidized linseed oil (ELO) crosslinked with a mixture of cyclic anhydride and maleinized linseed oil. eXPRESS Polym. Lett. 2019, 13, 407–418. [Google Scholar] [CrossRef]
- Chen, Y.; Xi, Z.; Zhao, L. New bio-based polymeric thermosets synthesized by ring-opening polymerization of epoxidized soybean oil with a green curing agent. Eur. Polym. J. 2016, 84, 435–447. [Google Scholar] [CrossRef]
- Espana, J.M.; Sanchez-Nacher, L.; Boronat, T.; Fombuena, V.; Balart, R. Properties of biobased epoxy resins from epoxidized soybean oil (ESBO) cured with maleic anhydride (MA). J. Am. Oil Chem. Soc. 2012, 89, 2067–2075. [Google Scholar] [CrossRef]
- Ding, C.; Matharu, A.S. Recent developments on biobased curing agents: A review of their preparation and use. ACS Sustain. Chem. Eng. 2014, 2, 2217–2236. [Google Scholar] [CrossRef]
- Garavaglia, J.; Markoski, M.M.; Oliveira, A.; Marcadenti, A. Grape seed oil compounds: Biological and chemical actions for health. Nutr. Metab. Insights 2016, 9, 59–64. [Google Scholar] [CrossRef] [PubMed]
- Kostic, M.D.; Jokovic, N.M.; Stamenkovic, O.S.; Rajkovic, K.M.; Milic, P.S.; Veljkovic, V.B. Optimization of hempseed oil extraction by n-hexane. Ind. Crops Prod. 2013, 48, 133–143. [Google Scholar] [CrossRef]
- Liang, J.; Aachary, A.A.; Thiyam-Hollander, U. Hempseed oil: Minor components and oil quality. Lipid Technol. 2015, 27, 231–233. [Google Scholar] [CrossRef]
- Perez-Nakai, A.; Lerma-Canto, A.; Domingez-candela, I.; Garcia-Garcia, D.; Ferri, J.M.; Fombuena, V. Comparative study of the properties of plasticized polylactic acid with maleinized hemp seed oil and a novel maleinized brazil nut seed oil. Polymers 2021, 13, 2376. [Google Scholar] [CrossRef]
- Lerma-Canto, A.; Gomez-Caturla, J.; Herrero-Herrero, M.; Garcia-Garcia, D.; Fombuena, V. Development of polylactic acid thermoplastic starch formulations using maleinized hemp oil as biobased plasticizer. Polymers 2021, 13, 1392. [Google Scholar] [CrossRef] [PubMed]
- Samyn, P.; Vandamme, D.; Adriaensens, P.; Carleer, R. Surface chemistry of oil-filled organic nanoparticle coated papers analyzed using micro-raman mapping. Appl. Spectrosc. 2019, 73, 67–77. [Google Scholar] [CrossRef] [PubMed]
- Quiles-Carrillo, L.; Montanes, N.; Sammon, C.; Balart, R.; Torres-Giner, S. Compatibilization of highly sustainable polylactide/almond shell flour composites by reactive extrusion with maleinized linseed oil. Ind. Crops Prod. 2018, 111, 878–888. [Google Scholar] [CrossRef]
- Samyn, P.; Vonck, L.; Stanssens, D.; Abbeele, H. Nanoparticle structures with (Un-)hydrogenated castor oil as hydrophobic paper coating. J. Nanosci. Nanotechnol. 2018, 18, 3639–3653. [Google Scholar] [CrossRef]
- Poletto, M. Maleated soybean oil as coupling agent in recycled polypropylene/wood flour composites: Mechanical, thermal, and morphological properties. J. Thermoplast. Compos. Mater. 2019, 32, 1056–1067. [Google Scholar] [CrossRef]
- Samyn, P.; Schoukens, G.; Stanssens, D.; Vonck, L.; Abbeele, H. Incorporating different vegetable oils into an aqueous dispersion of hybrid organic nanoparticles. J. Nanopart. Res. 2012, 14, 1075–1098. [Google Scholar] [CrossRef]
- Centi, G.; Perathoner, S. Catalysis and sustainable (green) chemistry. Catal. Today 2003, 77, 287–297. [Google Scholar] [CrossRef]
- Schulz, C.; Roy, S.C.; Wittich, K.; d’Alnoncourt, R.N.; Linke, S.; Strempel, V.E.; Frank, B.; Glaum, R.; Rosowski, F. αII-/V1-xWx) OPO4 catalysts for the selective oxidation of n-butane to maleic anhydride. Catal. Today 2019, 333, 113–119. [Google Scholar] [CrossRef]
- Wu, F.; Musa, O.M. Vegetable oil-maleic anhydride and maleimide derivatives: Syntheses and properties. In Handbook of Maleic Anhydride Based Materials; Musa, O.M., Ed.; Springer: Berlin/Heidelberg, Germany, 2016; Chapter 3. [Google Scholar]
- Zovi, O.; Lecamp, L.; Loutelier-Bourhis, C.; Lange, C.M.; Bunel, C. A solventless synthesis process of new UV-curable materials based on linseed oil. Green Chem. 2011, 13, 1014–1022. [Google Scholar] [CrossRef]
- Alarcon, R.T.; Gaglieri, C.; de Souza, O.A.; Rinaldo, D.; Bannach, G. Microwave-assisted syntheses of vegetable oil-based monomer: A cleaner, faster, and more energy efficient route. J. Polym. Environ. 2020, 28, 1265–1278. [Google Scholar] [CrossRef]
- Snider, B.B. Lewis–Acid Catalyzed Ene Reactions. Acc. Chem. Res. 1980, 13, 426–432. [Google Scholar] [CrossRef]
- Hoffmann, H.M.R. The Ene-reaction. Angew. Chem. Int. Ed. Engl. 1969, 8, 556–577. [Google Scholar] [CrossRef]
- Bettini, H.P.; Agnelli, J.A.M. Grafting of maleic anhydride onto polypropylene by reactive extrusion. J. Appl. Polym. Sci. 2002, 85, 2706–2717. [Google Scholar] [CrossRef]
- Tran, P.; Seybold, K.; Graiver, D.; Narayan, R. Free radical maleation of soybean oil via a single-step process. J. Am. Oil Chem. Soc. 2005, 82, 189–194. [Google Scholar] [CrossRef]
- Li, R.; Zhang, P.; Liu, T.; Muhunthan, B.; Xin, J.; Zhang, J. Use of hempseed-oil derived polyacid and rosin-derived anhydride acid as cocuring agents for epoxy materials. ACS Sustain. Chem. Eng. 2018, 6, 4016–4025. [Google Scholar] [CrossRef]
- He, J.; Liao, J.; Qu, J. A proposed stereochemical mechanism for the improved preparation of maleic anhydride cycloadduct of CLA. Comput. Chem. 2021, 9, 144–160. [Google Scholar] [CrossRef]
- Amos, R.C.; Kuska, M.; Mesnager, J.; Gauthier, M. Thermally induced maleation of soybean and linseed oils: From benchtop to pilot plant. Ind. Crops Prod. 2021, 166, 113504. [Google Scholar] [CrossRef]
- Gaglieri, C.; Alarcon, R.T.; de Moura, A.; Magri, R.; da Silva-Filho, L.C.; Bannach, G. Green and efficient modification of grape seed oil to synthesize renewable monomers. J. Braz. Chem. Soc. 2021, 32, 2120–2131. [Google Scholar] [CrossRef]
- Arca, M.; Sharma, B.K.; Price, N.P.J.; Perez, J.M.; Doll, K.M. Evidence contrary to the accepted Diels-Alder mechanism in the thermal modification of vegetable oil. J. Am. Oil Chem. Soc. 2012, 89, 987–994. [Google Scholar] [CrossRef]
- Figge, K. Dimeric fatty acid [1-14C] methyl esters. I. Mechanism and products of thermal and oxidative-thermal reactions of unsaturated fatty-acid esters-literature review. Chem. Phys. Lipids 1971, 6, 159–177. [Google Scholar] [CrossRef]
- Ferraz, F.A.; Muniz, A.S.; dos Santos Oliveira, A.R.; Ferreira Cesar-Oliveira, M.A. Bio-based comb like copolymers derived from alkyl 10-undecenoates and maleic anhydride. J. Polym. Sci. Part A Polym. Chem. 2018, 56, 1039–1045. [Google Scholar] [CrossRef]
- Candy, L.; Vaca-Garcia, C.; Borredon, E. Synthesis and characterization of oleic succinic anhydrides: Structure-property relations. J. Am. Oil Chem. Soc. 2005, 82, 271–277. [Google Scholar] [CrossRef]
- Moreno, M.; Gomez, M.V.; Cebrian, C.; Prieto, P.; de la Hoz, A.; Moreno, A. Sustainable and efficient methodology for CLA synthesis and identification. Green Chem. 2012, 14, 2584–2594. [Google Scholar] [CrossRef]
- Mazo, P.; Estenoz, D.; Sponton, M.; Rios, L. Kinetics of the transesterification of castor oil with maleic anhydride using conventional and microwave heating. J. Am. Oil Chem. Soc. 2012, 89, 1355–1361. [Google Scholar] [CrossRef]
- Robinson, P.T.; Pham, T.N.; Uhrin, D. In phase selective excitation of overlapping multiplets by gradient-enhanced chemical shift selective filters. J. Magn. Reson. 2004, 170, 97–103. [Google Scholar] [CrossRef]
- Perreux, L.; Loupy, A. A tentative rationalization of microwave effects in organic synthesis according to the reaction medium, and mechanistic considerations. Tetrahedron 2001, 57, 9199–9223. [Google Scholar] [CrossRef]
- Rodriguez, A.M.; Prieto, P.; de la Hoz, A.; Diaz-Ortiz, A.; Martin, D.R.; Garcia, J.I. Influence of polarity and activation energy in microwave-assisted organic syntheses (MAOS). Chem. Open 2015, 4, 308–317. [Google Scholar]
- Sun, S.; Teng, C.; Xu, J. Microwave thermal effect on Diels-Alder Reaction of Furan and Maleimide. Curr. Microw. Chem. 2020, 7, 67–73. [Google Scholar] [CrossRef]
- Stefanoiu, F.; Candy, L.; Vaca-Garcia, C.; Borredon, E. Kinetics and mechanism of the reaction between malic anhydride and fatty acid esters and the structure of the products. Eur. J. Lipid Sci. Technol. 2008, 110, 441–447. [Google Scholar] [CrossRef]
- Ergan, B.T.; Bayramoglu, M. The effects of microwave power and dielectric properties on the microwave-assisted decomposition kinetics of AIBN in n-butanol. J. Ind. Eng. Chem. 2013, 19, 299–304. [Google Scholar] [CrossRef]
- Volli, V.; Purkait, M.K. Physico-chemical properties and thermal degradation studies of commercial oils in nitrogen atmosphere. Fuel 2014, 117, 1010–1019. [Google Scholar] [CrossRef]
- Higman, E.B.; Schmeltz, I.; Higman, C.H.; Chortyk, O.T. Studies on the thermal degradation of naturally occurring materials. II. Products from the pyrolysis of triglycerides at 400 °C. J. Agric. Food Chem. 1973, 21, 202–204. [Google Scholar] [CrossRef]
- Nawar, W.W. Thermal degradation of lipids. A review. J. Agric. Food Chem. 1973, 21, 18–21. [Google Scholar]
- Mezger, T.G. Applied Rheology: With Joe Flow on Rheology Road; Anton Paar GmbH: Graz, Austria, 2018. [Google Scholar]
- Ramli, H.; Zainal, N.F.A.; Hess, M.; Chan, C.H. Basic principle and good practices of rheology for polymers for teachers and beginners. Chem. Teach. Int. 2022. [Google Scholar] [CrossRef]
- Wavefunction, Inc. Spartan 02. Available online: www.wavefun.com (accessed on 27 October 2022).
- Jensen, F. Basis set convergence of nuclear magnetic shielding constants calculated by density functional methods. J. Chem. Theory Comput. 2008, 4, 719–727. [Google Scholar] [CrossRef]
- Bagno, A.; Saielli, G. Addressing the stereochemistry of complex organic molecules by density functional theory-NMR. WIREs Comput. Mol. Sci. 2015, 5, 228–240. [Google Scholar] [CrossRef]
- Frisch, M.J.; Trucks, G.W.; Schlegel, H.B.; Scuseria, G.E.; Robb, M.A.; Cheeseman, J.R.; Scalmani, G.; Barone, V.; Petersson, G.A.; Nakatsuji, H.; et al. Gaussian 16, Revision B.01; Gaussian, Inc.: Wallingford, CT, USA, 2016. [Google Scholar]













| Species | A | A’ | B | C | ||||
|---|---|---|---|---|---|---|---|---|
| δ [ppm] | δ 1H | δ 13C | δ 1H | δ 13C | δ 1H | δ 13C | δ 1H | δ 13C |
| 1 | 1.67 (dd) | 18.1 | 1.66 (dd) | 13.4 | 0.90 (t) | 11.9 | 0.90 (t) | 11.9 |
| 2 | 5.60 (dd) | 130.9 | 5.61 (dd) | 130.9 | 1.61 1.56 (m) | 25.2 | 1.97 (qd) | 34.7 |
| 3 | 5.10 (dd) | 127.1 | 5.15 (dd) | 128.4 | 2.22 (s) | 47.1 | 5.59 (dt) | 136.6 |
| 4 | 2.32 (s) | 45.0 | 2.62 (s) | 42.7 | 5.07 (dd) | 127.3 | 5.12 (dd) | 126.6 |
| 5 | 1.58 1.48 (m) | 25.1 | 1.38 (m) | 25.40 | 5.59 (dd) | 136.7 | 2.54 (s) | 44.6 |
| 6 | 1.29 (m) | 22.4 | 1.29 (m) | 22.4 | 1.99 (m) | 34.7 | 1.42 1.50 (m) | 25.4 |
| 7 | 1.20 (m) | 22.4 | 1.21 (m) | 22.4 | 1.36 (m) | 22.5 | 1.35 (m) | 32.1 |
| 8 | 0.88 (t) | 13.9 | 0.88 (t) | 13.9 | 0.87 (t) | 13.9 | 0.85 (t) | 13.8 |
| a | 3.17 (m) | 45.2 | 3.16 (m) | 45.1 | 3.19 (m) | 45.1 | 3.18 (qt) | 45.11 |
| b, b’ | 2.71 3.03 (dd) | 32.7 | 2.74 2.90 (dd) | 30.2 | 2.71 3.03 (dd) | 32.7 | 2.75 2.90 (dd) | 30.3 |
| Sample | TGA | TGA | Residual Mass @650 °C | DTG (1) | DTG (2) | DTG (1) | DTG (2) |
|---|---|---|---|---|---|---|---|
| T °C Onset | T °C @5%wt Loss | % | T °C | T °C | MDR (mg/min−1) | MDR (mg/min−1) | |
| GO | 390.4 | 378.3 | 0.4 | 412.7 | 420.9 | −4.4 | −3.8 |
| GO 1 | 373.7 | 316.4 | 1.8 | - | 421.5 | − | −3.6 |
| GO 2 MW | 375.2 | 336.2 | 2.93 | - | 420.7 | − | −3.3 |
| HO | 389.9 | 378.4 | 0.55 | 411.2 | 421.4 | −4.1 | −3.9 |
| HO 1 | 375.7 | 339.5 | 3.18 | - | 420.4 | − | −2.9 |
| HO MW | 375.4 | 334 | 3.09 | - | 421.6 | − | −3.2 |
| LO | 386.7 | 370.9 | 0.93 | 407.7 | 423.3 | −4.1 | −4.2 |
| LO 1 | 379.9 | 341 | 2.18 | - | 420.9 | − | −3.8 |
| LO MW | 369.7 | 328.1 | 4.28 | - | 419.13 | − | −3.2 |
| Vegetable Oil | Sample Labeling | Experimental Details | Aspect | ASA mmol/g of Oil | Viscosity, η (Pa•s) |
|---|---|---|---|---|---|
| Grapeseed oil, GO | GO | - | uncolored | - | 0.045 |
| GO 1 | Oil/MA = 50 g/9.3 g; 200 °C; 5 h | pale yellow | 0.85 ± 0.03 | 0.197 a 7.574 b | |
| GO 2 | Oil/MA = 50 g/20 g; 200 °C; 5 h | brown | - | >500 a | |
| GO 3 | Oil/MA = 50 g/30 g; 200 °C; 12 h | brown | 1.99 ± 0.06 | 167.79 b | |
| GO 4 | Oil/MA = 50 g/0 g; 200 °C; 5 h | dark brown | - | 30.802 b | |
| GO 1 MW | Oil/MA = 50 g/9.3 g; 1 × 15 min | pale yellow | - | - | |
| GO 2 MW | Oil/MA = 50 g/9.3 g; 2 × 15 min | yellow | 0.92 ± 0.03 | 2.271 a 15.403 b | |
| GO 3 MW | Oil/MA = 50 g/9.3 g; 3 × 15 min | yellow | - | - | |
| GO 4 MW | Oil/MA = 50 g/9.3 g; 4 × 15 min | yellow | 0.91 ± 0.03 | 2.656 a | |
| GO 5 MW | Oil/MA = 50 g/30 g; 2 × 15 min | brown | - | >500 a | |
| GO 6 MW | Oil/MA = 50 g/20 g; 2 × 15 min | light brown | 1.88 ± 0.05 | >500 a | |
| Hemp oil, HO | HO | - | pale yellow | - | 0.04 |
| HO 1 | Oil/MA = 50 g/9.3 g; 200 °C; 5 h | yellow | 0.79 ± 0.03 | 1.448 a | |
| HO MW | Oil/MA = 50 g/9.3 g; 2 × 15 min | yellow | 1.01 ± 003 | 5.638 a | |
| Linseed oil, LO | LO | - | yellow | - | 0.040 |
| LO 1 | Oil/MA = 50 g/9.3 g; 200 °C; 5 h | yellow | 0.43 ± 0.02 | 0.233 a | |
| LO MW | Oil/MA = 50 g/9.3 g; 2 × 15 min | orange | 1.23 ± 0.04 | 23.427 a |
Publisher’s Note: MDPI stays neutral with regard to jurisdictional claims in published maps and institutional affiliations. |
© 2022 by the authors. Licensee MDPI, Basel, Switzerland. This article is an open access article distributed under the terms and conditions of the Creative Commons Attribution (CC BY) license (https://creativecommons.org/licenses/by/4.0/).
Share and Cite
Lanero, F.; Bresolin, B.M.; Scettri, A.; Nogarole, M.; Schievano, E.; Mammi, S.; Saielli, G.; Famengo, A.; Semenzato, A.; Tafuro, G.; et al. Activation of Vegetable Oils by Reaction with Maleic Anhydride as a Renewable Source in Chemical Processes: New Experimental and Computational NMR Evidence. Molecules 2022, 27, 8142. https://doi.org/10.3390/molecules27238142
Lanero F, Bresolin BM, Scettri A, Nogarole M, Schievano E, Mammi S, Saielli G, Famengo A, Semenzato A, Tafuro G, et al. Activation of Vegetable Oils by Reaction with Maleic Anhydride as a Renewable Source in Chemical Processes: New Experimental and Computational NMR Evidence. Molecules. 2022; 27(23):8142. https://doi.org/10.3390/molecules27238142
Chicago/Turabian StyleLanero, Francesco, Bianca Maria Bresolin, Anna Scettri, Marco Nogarole, Elisabetta Schievano, Stefano Mammi, Giacomo Saielli, Alessia Famengo, Alessandra Semenzato, Giovanni Tafuro, and et al. 2022. "Activation of Vegetable Oils by Reaction with Maleic Anhydride as a Renewable Source in Chemical Processes: New Experimental and Computational NMR Evidence" Molecules 27, no. 23: 8142. https://doi.org/10.3390/molecules27238142
APA StyleLanero, F., Bresolin, B. M., Scettri, A., Nogarole, M., Schievano, E., Mammi, S., Saielli, G., Famengo, A., Semenzato, A., Tafuro, G., Sgarbossa, P., & Bertani, R. (2022). Activation of Vegetable Oils by Reaction with Maleic Anhydride as a Renewable Source in Chemical Processes: New Experimental and Computational NMR Evidence. Molecules, 27(23), 8142. https://doi.org/10.3390/molecules27238142

