Abstract
This review summarizes the data on the synthesis of coordination compounds containing two or more different metal ions based on fluorinated β-diketonates. Heterometallic systems are of high interest in terms of their potential use in catalysis, medicine and diagnostics, as well as in the development of effective sensor devices and functional materials. Having a rich history in coordination chemistry, fluorinated β-diketones are well-known ligands generating a wide variety of heterometallic complexes. In this context, we focused on both the synthetic approaches to β-dicarbonyl ligands with additional coordination centers and their possible transformations in complexation reactions. The review describes bi- and polynuclear structures in which β-diketones are the key building blocks in the formation of a heterometallic framework, including the examples of both homo- and heteroleptic complexes.
1. Introduction
Combining different metals in coordination structures and inorganic matrices is a concept of high research interest. Its driving force originates not only from the attractive diversity of molecular structures, but mainly from their exceptional physicochemical properties. Organic ligands are crucial for the successful formation of heterometallic coordination complexes with a discrete or polymeric structure [1,2,3,4,5,6,7]. The possible applications of these compounds are widely investigated in catalytic processes [3,5] and in the search for new luminescent and magnetic materials [4,6], sensors [2,3,7], biologically active agents [1,7], etc.
Being able to form complexes with most of the elements of the periodic table, β-diketones occupy an important place among organic ligands [8,9,10,11,12,13,14,15,16,17,18,19,20,21,22,23,24,25,26]. Moreover, varying substituents at the β-dicarbonyl fragment is an effective tool for the fine-tuning of the physicochemical properties of coordination compounds. In particular, the introduction of one or two fluorinated substituents decreases the intermolecular interactions, thereby reducing the sublimation temperature of the complexes. Along with their thermal stability, these compounds are in high demand in the search for precursors for chemical deposition processes [27]. However, the prevalence of trifluoromethyl β-diketonates compared with non-fluorinated analogues is due to the increased solubility of their complexes and, therefore, the better crystallization [27].
Several reviews have reported the use of β-diketonates as precursors for MOCVD [27,28]. Examples of metal-containing molecular architectures incorporating β-diketonate motifs are described as luminescent materials [29,30]. The achievements in the field of supramolecular metal-containing structures based on poly-β-diketonate ligands are reviewed regularly [9,21,24,25].
This review aims to consider the fluorinated β-diketonates and their involvement in the synthesis of heterometallic structures. Such systematization will reveal the main advantages of the β-diketonates’ chemistry and demonstrate the features of polynuclear systems’ formation and their physicochemical properties.
2. Overview of Fluorinated β-Diketones Used as Ligands
The most common fluorinated β-diketones are illustrated in Figure 1. In this series, hfac is the most used ligand: it represents the acac derivative in which the methyl groups are replaced by trifluoromethyl substituents. Containing trifluoromethyl and thiophene substituents, tta is a preferred coligand in the design of luminescent and magnetic complexes. The trifluoromethyl group predominates among the other β-dicarbonyl backbone substituents in the structures of the known fluorinated β-diketonates involved in the synthesis of homo- and heteroleptic complexes.
Figure 1.
Structures of fluorinated β-diketonate ligands.
3. The Synthesis of Fluorinated Ligands, Containing the β-Dicarbonyl Fragment
In this part, we show the approaches to the original fluorinated β-diketones, which were further used in the synthesis of heterometallic complexes. The Claisen condensation is known as the main synthetic method for the preparation of fluorinated β-diketones. The most frequently used condensing agents are NaH [31,32,33,34,35] and MeONa [36,37,38,39,40,41,42,43], while LiH [44,45,46,47,48], LDA [49] and Na [50] are less demanded. Ethers (DME, Et2O, THF) are more preferred solvents rather than benzene or alcohols. The synthesis of functionalized ligands incorporating the β-dicarbonyl fragment and fluorinated groups is shown in Scheme 1 [51,52,53,54,55,56,57]. In this case, the condensation proceeds between the fluorine-containing esters and methyl ketones bearing an aryl, hetaryl substituent or a functional group.
Scheme 1.
The synthesis of fluorinated functionalized β-diketones [51,52,53,54,55,56,57]. Reaction conditions: [a] LDA, THF, −78 °C, then HClaq; [b] Na, benzene, reflux; [c] NaH, THF, EtOH (cat.), then AcOH; [d] CaH2, MeOH, then Cu(OAc)2 followed by the decomposition with Na2EDTAaq.
Trifluoromethylated β-diketone (HL9) with a bulky substituent bearing a methoxy group was obtained as a result of a multi-stage synthesis (Scheme 2) [58]. Alkylation with dimethyl-substituted propargyl alcohol (1) resulted in acetylene (2) containing a methoxy group at a tertiary carbon atom. Further trifluoroacetylation of unsaturated ether (2) gave alkoxyenone (3) that reacted with aniline to form the corresponding enaminoketone (4). At the last stage, an asymmetric diketone HL9 was isolated under acid hydrolysis.
Scheme 2.
The synthesis of methoxy-substituted CF3-β-diketone.
Bazhin et al. later developed a more convenient approach to the synthesis of the methoxy-substituted β-diketone analogue [59]. For this purpose, a commercially available 2,3-butanedione (5) was used, in which one of the carbonyl groups can be easily transformed into an acetal fragment (Scheme 3). Further Claisen condensation of the obtained functional ketone (6) with fluorinated esters gave the acetal-containing lithium β-diketonates LiL [60,61]. The resulting lithium derivatives are easy to isolate in a pure form; they are stable and can be stored under normal conditions. However, these lithium salts were readily converted into 5-(perfluoroalkyl)furan-3(2H)-ones (7) under weakly acidic conditions and in the presence of the strong Lewis acids (e.g., BF3·Et2O) [45,46,59]. On the other hand, the direct coordination of lithium β-diketonates with metal ions did not require any bases. Moreover, an efficient method for replacing lithium with another alkali metal ion by the action of the corresponding fluoride was proposed (Scheme 3) [62].
Scheme 3.
The synthesis of fluorinated acetal-containing β-diketonates [59,60,61,62].
To synthesize a C6F5-substituted β-diketone, the reaction between pentafluorobenzoyl chloride (8) and vinyl acetate was carried out in the presence of aluminum(III) chloride (Scheme 4) [63,64]. The condensation was accompanied by side products: an asymmetric β-diketone (9) with one perfluorophenyl substituent and a fluorinated chromone (10) derived from intramolecular cyclization. Aluminum(III) β-diketonate Al(L14)3 easily reacted with divalent transition metal ions (copper, cobalt, nickel) [63], thereby avoiding the isolation of the corresponding bis(pentafluorobenzoyl)methane (HL14) unstable in a free form.
Scheme 4.
Synthesis of C6F5-substituted β-diketone.
The above analysis showed the structures of fluorinated 1,3-diketones used as ligands in the synthesis of organometallic derivatives are limited. In this context, functionalized 1,3-dicarbonyl compounds are the least studied, although they have much potential for the formation of heterometallic complexes.
4. Coordination Modes of Fluorinated β-Diketonates
The variety of coordination structures based on β-diketones arises from their ability to act as bi- and polydentate ligands, depending on the metal ions and coligands used [27]. Moreover, the fluorine atoms of the substituent in the β-dicarbonyl framework can participate in the extra coordination with metal ions. In this case, the interatomic distance M…F is less than the sum of the van der Waals radii of fluorine and metal ions indicating non-covalent interaction between them. The principal coordination modes of fluorinated β-diketonates are shown in Figure 2.
Figure 2.
Possible coordination modes of fluorinated β-diketones.
5. Heterometallic Complexes Containing Bridging β-Diketonate Anions
The co-crystallization of β-diketonates with various metal ions is known as one of the available methods for the synthesis of heterometallic compounds with both discrete and polymer coordination structures. For example, Lindoy et al. described the heterometallic complex [Eu-Co] (11) based on 3d and 4f metal β-diketonates: the stoichiometric structure was formed from two β-diketonates containing europium(III) and cobalt(III) in a CDCl3 solution (Scheme 5) [65]. In this case, oxygen atoms of non-fluorinated β-diketonate acted as bridging atoms between two metal ions (Figure 3).
Scheme 5.
Synthesis of the heterometallic complex [Eu-Co] (11).
Figure 3.
Molecular structure of 11. Hydrogen atoms and some methyl groups have been omitted, C3F7 groups of fod are transparent for clarity. The cif has been retrieved from CCDC. CCDC number is 1100888.
The reaction of the iron(II) chloride and the fluorinated lithium β-diketonate led to a tetranuclear heterometallic complex [Li-Fe(II)] (12) (Scheme 6) [66]. The resulting iron(II) bis-β-diketonates were coordinated with two molecules of the initial lithium β-diketonate (Figure 4). The coordination environment of metal centers [LiO5] and [FeO6] consisted only of the oxygen atoms of β-diketonate anions without involving the fluorine atoms.
Scheme 6.
Synthesis of tetranuclear heterometallic complex [Li-Fe] (12).
Figure 4.
Molecular structure of 12: (dik = ptac) [66]. Hydrogen atoms have been omitted, CF3 groups of ptac are transparent for clarity. The cif has been retrieved from CCDC. CCDC number is 1518385.
In the synthesis of polynuclear heterometallic complexes 13–17, alkali metal ions act as binders between two fragments of transition metal β-diketonates [67,68]. The initial reagents for these transformations are transition metals(III) β-diketonates based on acac, fluorine-containing sodium β-diketonates and chlorides of divalent 3d metal ions (Scheme 7, Figure 5, Figure 6 and Figure 7). The replacement of one CF3 group in the fluorinated ligand with a sterically bulky t-butyl group enables the number of metal atoms to be increased from three to five in the complex (Figure 6 and Figure 7). The assembly of trimetallic complexes 13, 14 was based on the transition metal ions of different oxidation states. In this case, the metal(III) ion was coordinated to non-fluorinated β-diketonate, which was not exchanged for hfac during the reaction.
Scheme 7.
Synthesis of polynuclear M(II)/M(III) β-diketonates [67,68].
Figure 5.
Molecular structure of 13 [67]. Hydrogen atoms have been omitted, CF3 groups of hfac are transparent for clarity. The cif has been retrieved from CCDC. CCDC number is 1964370.
Figure 6.
Molecular structure of 16 [68]. Hydrogen atoms have been omitted, CF3 groups of hfac are transparent for clarity. The cif has been retrieved from CCDC. CCDC number is 1998878.
Figure 7.
Molecular structure of 17 [68]. Hydrogen atoms have been omitted, CF3 groups of hfac are transparent for clarity. The cif has been retrieved from CCDC. CCDC number is 1998879.
The co-crystallization of two 3d β-diketonates with metals in different oxidation states resulted in [FeIII(acac)3][MnII(hfac)2] (18) and [NiII(hfac)2][FeIII(acac)3][NiII(hfac)2] (19) (Scheme 8) [69]. Similarly to heterometallic complexes 13–17, fluorinated β-diketonate was coordinated to a metal ion with the lowest oxidation number. In the structures of 18, 19 the oxygens of non-fluorinated β-diketonate were bridging atoms, which filled the coordination sphere of Mn(II) or Ni(II) ions coordinating the hfac (Figure 8 and Figure 9). Authors have postulated that the transition metal(II) center participating in bridging interactions with oxygen atoms of neighboring unit(s) should be highly Lewis acidic because of the chelation by diketonates with electron-withdrawing groups. In contrast, the transition metal(III) counterpart should have sterically uncongested ligands with electron-donating substituents provoking diketonate oxygen atoms’ involvement in bridging interactions with the M(II) center.
Scheme 8.
Synthesis of polynuclear M(II)/Fe(III) β-diketonates.
Figure 8.
Molecular structure of 18 [69]. Hydrogen atoms have been omitted, CF3 groups of hfac are transparent for clarity. The cif has been retrieved from CCDC. CCDC number is 1040552.
Figure 9.
Molecular structure of 19 [69]. Hydrogen atoms have been omitted, CF3 groups of hfac are transparent for clarity. The cif has been retrieved from CCDC. CCDC number is 1040553.
The solid-state reaction of precursors containing metals of different oxidation states led to heteroleptic [Bi(III)-M(II)] (20–22) complexes, where M(II) was a 3d transition metal ion (Scheme 9) [70]. In this case, the bridging oxygen atoms between metal centers were from the hfac ligands of the anionic tris-diketonate fragment (Figure 10).
Scheme 9.
Synthesis of heteroleptic [Bi(III)-M(II)] complexes (20–22).
Figure 10.
Molecular structure of 21 [70]. Hydrogen atoms have been omitted, CF3 groups of hfac are transparent for clarity. The cif has been retrieved from CCDC. CCDC number is 1475305.
Dikarev et al. described the first example of the heterometallic [Na-Cu] complex (22) resulting from two different fluorinated β-diketonates [64]. The reaction of unsolvated [Cu(L14)] and Na(hfac) gave a heterometallic β-diketonate [Na2Cu2(pfbm)4(hfac)2] (22) (Scheme 10). The discrete structure of the solvent-free [Na-Cu] environment consisted of a dimeric [Na2(hfac)2] unit surrounded by two Cu(pfbm)2 fragments (Figure 11). β-diketonates adopted the chelating-bridging mode between Cu and Na by coordinating through one oxygen atom in the case of F-aryl-containing ligands and two oxygen atoms in the case of hfac anions. The overall distorted square antiprismatic coordination environment for Na was formed by the five primary Na–O interactions (av. 2.41 Å) and three secondary Na–F contacts (av. 2.60 Å).
Scheme 10.
Synthesis of heterometallic [Na-Cu] complex (22).
Figure 11.
Molecular structure of 22 [64]. Hydrogen atoms have been omitted, CF3 groups of hfac are transparent for clarity. The cif has been retrieved from CCDC. CCDC number is 1850164.
The methoxy substituent in thd, L9, L10, participated in the additional coordination with metal ions during the formation of polynuclear structures [71,72,73]. The co-crystallization of two different β-diketonates led to the discrete heterometallic complexes, e.g., [Pb-M] (23–26) (Figure 12). The thd is the unique structure because it contains a sterically bulky group close to the β-dicarbonyl fragment that is a necessary condition for the synthesis of discrete heterometallic complexes. If this does not happen, then coordination [Pb-Cu] polymers are formed in the absence of methoxy substituents at the β-dicarbonyl fragment [73,74]. In polymeric fluorinated [Pb-Cu] structures 23–26, the square planar chelate Cu(dik)2 built up an octahedral coordination environment due to the bridging oxygen atoms of the ligands from Pb(hfac)2 moieties.
Figure 12.
Molecular structures of 23–26 [71,72,73,74]. Hydrogen atoms have been omitted, CF3 groups are transparent for clarity. The cifs have been retrieved from CCDC.
6. Lanthanide(III) tetrakis-β-Diketonates
In general, the reaction of β-diketones with lanthanide(III) salts leads to the substitution of halide, carboxylate and nitrate anions of metals with a β-diketonate anion. The coordination of transition trivalent 4f-metals with two or three β-diketonate anions provided the discrete neutral complexes [M(dik)3(coligand)2] (Scheme 11) [25,29,32,33,39,75,76,77]. However, the metal ion was additionally coordinated to the solvent molecules or bidentate ligands having the donor heteroatoms (oxygen, nitrogen). At the next step, the metal(III) tetrakis-β-diketonates containing the anionic part of [M(dik)3]− or [M(dik)4]−,were formed as a result of the β-diketonate anion addition to the central metal atom in neutral tris-β-diketonates.
Scheme 11.
Synthesis of lanthanide(III) tris-/tetrakis-β-diketonates.
Biheterometallic tetrakis-β-diketonates can form both the discrete or polymer structures depending on the nature of the substituents in β-diketonate and coligands [78,79,80,81,82,83,84,85]. In the polymer chains 27–30, alkali metal ions, including sodium, potassium and cesium, acted as linkers between two adjacent tetrakis-β-diketonate fragments (Figure 13) [78,79,80,81]. In this case, both the oxygen and fluorine atoms of the β-diketonate were coordinated to alkali metals. A polyether molecule can be used as a polydentate coligand to fill the coordination environment of the alkali metal ion (28) [80]. The complexes Na[Ln(hfac)4] (27) were found to be highly volatile and stable in the gas phase while preserving the heterometallic fragment. The decay of heterometallic [Ln-Na] complexes (27) under argon atmosphere yielded the phase-pure NaLnF4 [78]. Varying the decay temperature, the formation of one of the NaLnF4 allotropes can be controlled [78]. Another approach was to use two precursors [Na(hfac)(tetraglyme)] and [Ln(hfac)3(diglyme)] together in sol–gel synthesis of the hexagonal phase of β-NaYF4:Yb3+,Er3+ at an elevated temperature [84].
Figure 13.
Molecular structures of Ln(III) tetrakis-diketonates 27–30 [78,79,80,81]. Hydrogen atoms and some CF3 groups have been omitted for clarity. The cifs has been retrieved from CCDC.
Diketone HL7 with a pyrazole substituent formed the crystal packing of the heterometallic [Eu-Cs] complex (31) due to the coordination of nitrogen atoms of the heterocyclic system with cesium ions (Figure 14) [82]. The coordination environment of cesium(I) ions is saturated by nitrogen atoms of pyrazole, fluorine atoms of CF3 groups and bridging oxygen atoms of diketonate anions. The contact length of Cs…F is ~3.21–3.44 Å, which is comparable with the bond length of Cs…N equal to ~3.17–3.20 Å.
Figure 14.
Structure X-ray structure of one-dimensional chain in 31 [82]. Hydrogen atoms have been omitted, some diketonate ligands and CF3 groups are transparent for clarity. The cif has been retrieved from CCDC. CCDC number is 922987.
The complexation of ntfa with europium(III) chloride in the presence of sodium alkali in methanol gave the discrete [Eu-Na] tetrakis-β-diketonate (32) containing an acetyl naphthalene (Scheme 12) [83]. The aromatic ketone in the complex 32 indicates a side retro-Claisen reaction involving ntfa. Therefore, coligand contribution led to the change from polymer to discrete tetrakis-β-diketonates (Figure 15). Heterometallic complex 32 had good luminescent properties, exhibiting a phosphorescence time equal to 0.595 ms with a quantum yield of 47.5%. Photophysical parameters were measured under excitation at a wavelength of 370 nm in CH2Cl2 solution [83].
Scheme 12.
Synthesis of tetrakis-β-diketonate [Eu-Na] (32).
Figure 15.
Molecular structure of 32 [83]. Hydrogen atoms have been omitted, some ligands groups are transparent for clarity. The cif has been retrieved from CCDC. CCDC number is 2071833.
Succinimide can replace one of the water molecules from the coordination environment of alkali metal ions, thereby acting as coligand in heterometallic complex 33 (Figure 16) [85]. Tetrakis-β-diketonate [Eu-Na] (33) based on tta exhibited the high phosphorescence quantum yield of 71% and the afterglow time of 0.84 ms upon excitation at a wavelength of 365 nm.
Figure 16.
Molecular structure of 33 [85]. Hydrogen atoms have been omitted, some ligand groups are transparent for clarity. The cif has been retrieved from CCDC. CCDC number is 2013280.
The functionalized lithium β-diketonate LiL10 reacted with lanthanide(III) ions to form heterometallic compounds of various structures (Scheme 13) [62,86,87,88,89]. An extra functional group in the ligand saturated the metal ion coordination sphere with no additional coligands. Such homoleptic [Ln2L6] complexes (34) were obtained in the case of Ln(III) ions with the largest radius. However, the reaction of lithium diketonate LiL10 with most of the 4f metals led to the discrete β-diketonates 36–38 of three types depending on the solvent used (Scheme 13). The first type included “classical” tetrakis-β-diketonates 35, in which four β-diketonate anions were coordinated to lanthanide(III) ion. The methoxy groups of the ligands participate in the additional coordination with the lithium ion, thereby providing the discrete structure of 35 (Figure 17). The [Ln-Li] tetrakis-β-diketonates 35 were formed in acetonitrile media and the solvent molecule was also included in the crystal packing. Heterometallic complexes 35 were the first examples of lanthanide-lithium β-diketonates, which have been obtained and characterized by different spectral and crystallographic methods.
Scheme 13.
Synthesis of lanthanide(III) complexes based on lithium β-diketonate (LiL10).
Figure 17.
Molecular structure of 35 [87]. Hydrogen atoms, MeCN molecules have been omitted, CF3 groups are transparent for clarity. The cif has been retrieved from CCDC. CCDC numbers are 1973632 (Ln = Eu), 1973633 (Ln = Tb).
The second and the third types of complexes included the compounds 36, 37, in which the Ln(III) tris-β-diketonate fragment was coordinated to the initial lithium β-diketonate LiL10 (Scheme 13). The solvent choice (methanol or ethanol) influenced the coligands at the lithium ion in heterometallic complexes 36 (where Ln = Tb, Dy, Eu) (Figure 18). However, the main distinctive characteristic of these close structures was their different crystal packings. Complexes 36 (where Ln = Tb, Dy, Eu) exhibited mechanoluminescent properties, and one of them, [Dy-Li], was found to be a single-molecule magnet with an energy barrier equal to 53 K.
Figure 18.
Molecular structures of 36 and 37 (dik = L10) [86,88]. Hydrogen atoms have been omitted, CF3 groups are transparent for clarity. The cif has been retrieved from CCDC.
The exception was the trimetallic complex 38 formed by LiL10 reaction with praseodymium(III) nitrate (Scheme 14) [86]. Its structure contained a ten-coordinated praseodymium(III) ion and two lithium ions in the coordination with four β-diketonate anions (Figure 19). One of the ligands from the tris-β-diketonate fragment was bound with the lithium atom of the initial molecule LiL10. The coordination environment around the praseodymium(III) ion was saturated by nitrate and three β-diketonate anions, one methoxy group and the bridging oxygen atom of the LiL10 β-dicarbonyl fragment. In addition, an unusual structure of complex 38 included the second lithium ion, which was coordinated to methoxy groups and oxygen atoms from the β-diketonate fragment (Figure 19).
Scheme 14.
Synthesis of discrete [Tb-Li] diketonate 39.
Figure 19.
Molecular structure of 38 [86]. Hydrogen atoms have been omitted, CF3 groups and one ligand molecule are transparent for clarity. The cif has been retrieved from CCDC. CCDC numbers is 2031103.
Increasing the length of the fluoroalkyl substituent from CF3 to C2F5 in acetal-containing β-diketonates LiL11 did not change the composition and structure of the resulting heterometallic β-diketonate 39 (Scheme 14, Figure 20) [89]. However, the phosphorescence lifetime decreased for the obtained [Tb-Li] diketonate 39 compared with the trifluoromethyl analog.
Figure 20.
Molecular structure of 39 [89]. Hydrogen atoms have been omitted, C2F5 groups are transparent for clarity. The cif has been retrieved from CCDC. CCDC numbers is 2011088.
The acetal-containing β-diketonates of other alkali metals (Na, K, Cs) reacted with terbium(III) chloride to afford the [Tb-M] (M = Na, K, Cs) complexes 40–42 (Scheme 15) [62]. In all cases, the lanthanide(III) tetrakis-β-diketonates 40–42 were formed. Complex [Tb-Na] 40 had a discrete structure, while [Tb-K] 41 and [Tb-Cs] 42 were coordination polymers (Figure 21).
Scheme 15.
Synthesis of terbium(III) tetrakis-β-diketonates 40–42.
Figure 21.
Molecular structures of 40–42 [62]. Hydrogen atoms have been omitted, some CF3 groups are transparent for clarity. The cif has been retrieved from CCDC.
7. Heteronuclear Complexes with Isolated Metal Centers
This part describes complexes in which metal centers are not connected by bridging oxygen atoms of both β-diketonates and other coligands.
The co-crystallization of equimolar amounts of Dy(III) and Cu(II) β-diketonates afforded the heterometallic complex 43 in a good yield (Scheme 16) [90]. Coligands’ exchange around metal ions did not occur in this case (Figure 22). The Cu…Dy had the smallest distance between metal centers in the crystal lattice equal to 5.874 Å. Unlike the original [Dy(hfac)3•2H2O] complex, a synthesized [Dy-Cu] system (43) consisting of mixed β-diketonate ligands exhibited the properties of a molecular magnet with an energy barrier value equal to 55.3 K [90].
Scheme 16.
Synthesis of [Dy-Cu] β-diketonate 43.
Figure 22.
A crystal packing fragment of 43 [90]. Hydrogen atoms have been omitted, some ligand groups are transparent for clarity. The cif has been retrieved from CCDC. CCDC number is 1938913.
The solid-state redox reaction between tin(II) and 3d metal β-diketonates proceeded with the ligand exchange around the metal centers to give the heterometallic compounds 44–46 (Scheme 17) [91]. The obtained bimetallic complexes consisted of two homoleptic tris-β-diketonate fragments forming an ion pair (Figure 23).
Scheme 17.
Synthesis of discrete [Sn(IV)-M(II)] complexes (44–46) [91].
Figure 23.
Molecular structure of 45 [91]. Hydrogen atoms have been omitted, CF3 groups are transparent for clarity. The cif has been retrieved from CCDC. CCDC numbers is 1811494.
Copper(II) β-diketonate reacted with tin(II) alkoxide to give the six-nuclear [Sn-Cu] complex (47) (Scheme 18) [92]. Similarly to bimetallic [Sn-M] complexes 44–46, an ion pair was formed as a result of the redox reaction. Copper(II) tris-β-diketonate represented the anionic part, while the oxygen atoms of tin(II) alkoxides were coordinated to copper(I) ions in the cationic part (Figure 24).
Scheme 18.
Synthesis of bimetallic [Sn-Cu] complex 47..
Figure 24.
Molecular structure of 47 [92]. Hydrogen atoms have been omitted, some ligand groups are transparent for clarity. The cif has been retrieved from CCDC. CCDC numbers is 1056284.
8. Binuclear Complexes Based on β-Diketones with an Additional Chelating Cavity
The fluorinated β-diketonates with 2,2′-bipyridinyl or phenanthrolinyl substituents (HL2, HL3) were used in the two-step synthesis of bimetallic [Ir-Eu] complexes 48, 49 (Scheme 19) [52,53,93,94]. At the first stage, only the 2,2′-bipyridinyl fragment of the ligand coordinated the Ir(III) ion. Furthermore, three β-diketonate anions 48, 49 with sterically congested iridium(III) fragments were involved in the coordination with lanthanide(III) ions. The resulting compounds 50, 51 demonstrate the rare examples of seven-coordinated Ln(III) ions with the [LnO6Cl] coordination environment (Figure 25). The structural differences of coordination centers promoted the assembly of heteroleptic Ln(III)-Ir(III) (Ln = Eu, Nd, Yb, Er, Gd) complexes [52,53,93,94]. As a result, heterometallic [Ir-Eu] compounds 50, 51 with bpy fragments demonstrated the higher values of phosphorescence lifetimes (up to 440 μs) compared with phen analogs. Replacing the CF3 group with C2F5 substituent slightly shifted the triplet state in [Ir-Eu] complexes towards the higher side [52]. Therefore, the C2F5-diketonate modified by bpy moiety represents an example of the efficient europium(III) sensitization through the excitation transferring from the Ir(III) to Eu(III) center [52].
Scheme 19.
Synthesis of bimetallic [Ir-Eu] complexes 48, 49.
Figure 25.
Molecular structure of 50 [52]. Hydrogen atoms have been omitted, some ligand groups are transparent for clarity. The cif has been retrieved from CCDC. CCDC number is 730200.
9. Metallocene-Containing Heterometallic β-Diketonates
Metallocene derivatives are convenient molecules for the synthesis of heterometallic compounds with predictable composition and structure. One of the approaches is based on the co-crystallization of the modified ferrocene with transition metal β-diketonates. For example, 1,2-di(4-pyridylthio)ferrocene in reaction with Cu(hfac)2 gave 1D coordination polymer [Cu-Fe] (51) (Figure 26) [95].
Figure 26.
A fragment of polymeric structure of 51 [95]. Hydrogen atoms have been omitted, some ligand groups are transparent for clarity. The cif has been retrieved from CCDC. CCDC number is 1556476.
Unsubstituted metallocenes can also form the polynuclear structures. Cobalt (I) cyclopentadienyl (Cp2Co), acting as a cation in heterometallic Ln(III) tetrakis-β-diketonates, afforded a complex 53 with uncoordinated counterions (Figure 27) [96]. The formation of a similar compound as a by-product was observed during the reaction between a binuclear lanthanide complex [Ln2(hfac)6(bptz)] (52) (where bptz–3,6-bis(2-pyridyl)-1,2,4,5-tetrazine) and Cp2Co (Scheme 20).
Figure 27.
Molecular structure of 53 [96]. Hydrogen atoms have been omitted, some ligands groups are transparent for clarity. The cif has been retrieved from CCDC. CCDC number is 1811780.
Scheme 20.
Reaction of Dy2(hfac)6(bptz) with Cp2Co.
The β-diketones HL15 reacted with Ln(III) chloride in the presence of triethylamine in methanol at room temperature to yield the clusters 54 containing four 4f metal ions decorated with ferrocene rings (Scheme 21) [97]. The organic base promoted the deprotonation of methanol and water molecules followed by the formation of a tetranuclear lanthanide(III) framework due to methanolate and hydroxide anions, which act as O-bridging ligands (Figure 28).
Scheme 21.
Reaction of β-diketones HL15 with Ln(III) chloride [98].
Figure 28.
Molecular structure of 54 [97]. Hydrogen atoms have been omitted, C2F5 groups are transparent for clarity. The cif has been retrieved from CCDC. CCDC number is 984498.
The reaction of diketone HL16 with aluminum(III) sulfate in methanol in the presence of aqueous ammonia resulted in the aluminum tris-β-diketonate 55 in 32% yield (Scheme 22) (Figure 29) [99]. The cytotoxicity of complex 55 against the human HeLa neoplastic cells was investigated: it was about 5 times less cytotoxic than the neutral diketone and approximately 50 times less toxic compared with a reference drug cisplatin.
Scheme 22.
Synthesis of tris-β-diketonate [Al-Fe] 55.
Figure 29.
Molecular structure of 55 [99]. Hydrogen atoms have been omitted, CF3 groups are transparent for clarity. The cif has been retrieved from CCDC. CCDC number is 877638.
The heterometallic [Cu-Fe] complex 56 was isolated in a good yield (45%) from the reaction of HL16 with [CuCl(PPh3)] in the presence of potassium tert-butylate in ether at room temperature (Scheme 23) [98]. Complex 56 showed the irreversible oxidation of Cu(I) centers to Cu(II) under anaerobic electrochemical conditions accompanied by the loss of PPh3 coligands and the formation of bis-diketonate [Cu(L16)2].
Scheme 23.
Synthesis of heterometallic [Cu-Fe] complex 56.
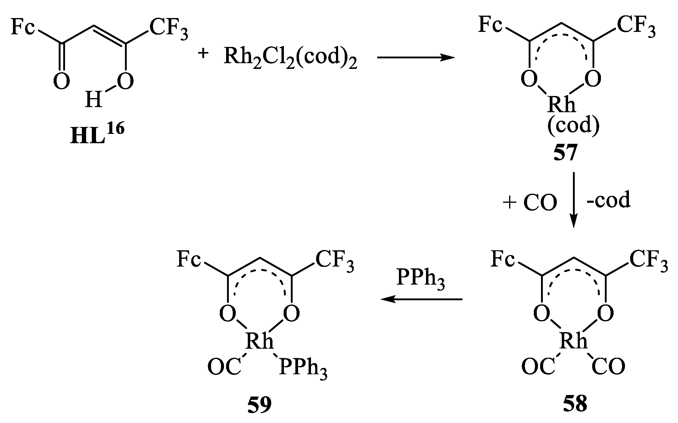
The synthesis of [Rh-Fe] complexes 59 included several stages with the step-by-step replacement of coligands at the Rh(I) ion (Scheme 24) [100]. Compounds 59 have been shown to provide the formation of Rh(I) active centers on the surfaces for heterogeneous catalysis. Silanol groups grafted on a solid matrix primarily replaced the β-diketonate anions in [Rh-Fe] complexes.
Scheme 24.
Synthesis of heterometallic [Rh-Fe] complex 59.
The oxidative addition of methyl iodide to the [Rh-Fe] compound 59 proceeded under mild conditions to afford the Rh(III) complex 60 in 90% yield (Scheme 25, Figure 30) [101]. Based on spectral data, the authors postulate that methyl-containing complex 60 and its acyl derivative exist in equilibrium with each other. However, since the 19F NMR spectra have not been registered, the transformations of the β-dicarbonyl framework accompanied by the isomers’ formation can proceed as well.
Scheme 25.
Transformation of heterometallic [Rh-Fe] complex 59.
Figure 30.
Molecular structure of 60 [101]. Hydrogen atoms have been omitted, CF3 group is transparent for clarity. The cif has been retrieved from CCDC. CCDC number is 646438.
Sodium carbonate reacted with [CpIr(hfac)Cl] (61) in methanol under normal conditions to give an unusual heterotrimetallic complex (62) (Scheme 26) [102]. This transformation resulted in a hydroxycluster [CpIr(III)] coordinating the fluorinated sodium β-diketonate and free hfac (Figure 31).
Scheme 26.
Synthesis of heterometallic [Ir-Na] complex 62.
Figure 31.
Molecular structure of 62 [102]. Hydrogen atoms have been omitted for clarity. The cif has been retrieved from CCDC. CCDC number is 1996249.
10. Heteroleptic Complexes Involving β-Diketonates and Polytopic Coligands
The trifluoromethyl β-diketone HL1 with dithienylethene substituent was used as a ligand in the synthesis of heterometallic [Yb-Ru] complex 63 exhibiting the redox/optical control of emission (Figure 32) [51]. The bimetallic complex 63 was formed due to the coordination of the tris-β-diketonate Yb(L1)3 fragment with the functionalized 2,2′-bipyridine containing a ruthenium(III) ion.
Figure 32.
Molecular structure of 63 [51]. Hydrogen atoms have been omitted, some ligand groups are transparent for clarity. The cif has been retrieved from CCDC. CCDC number is 1959918.
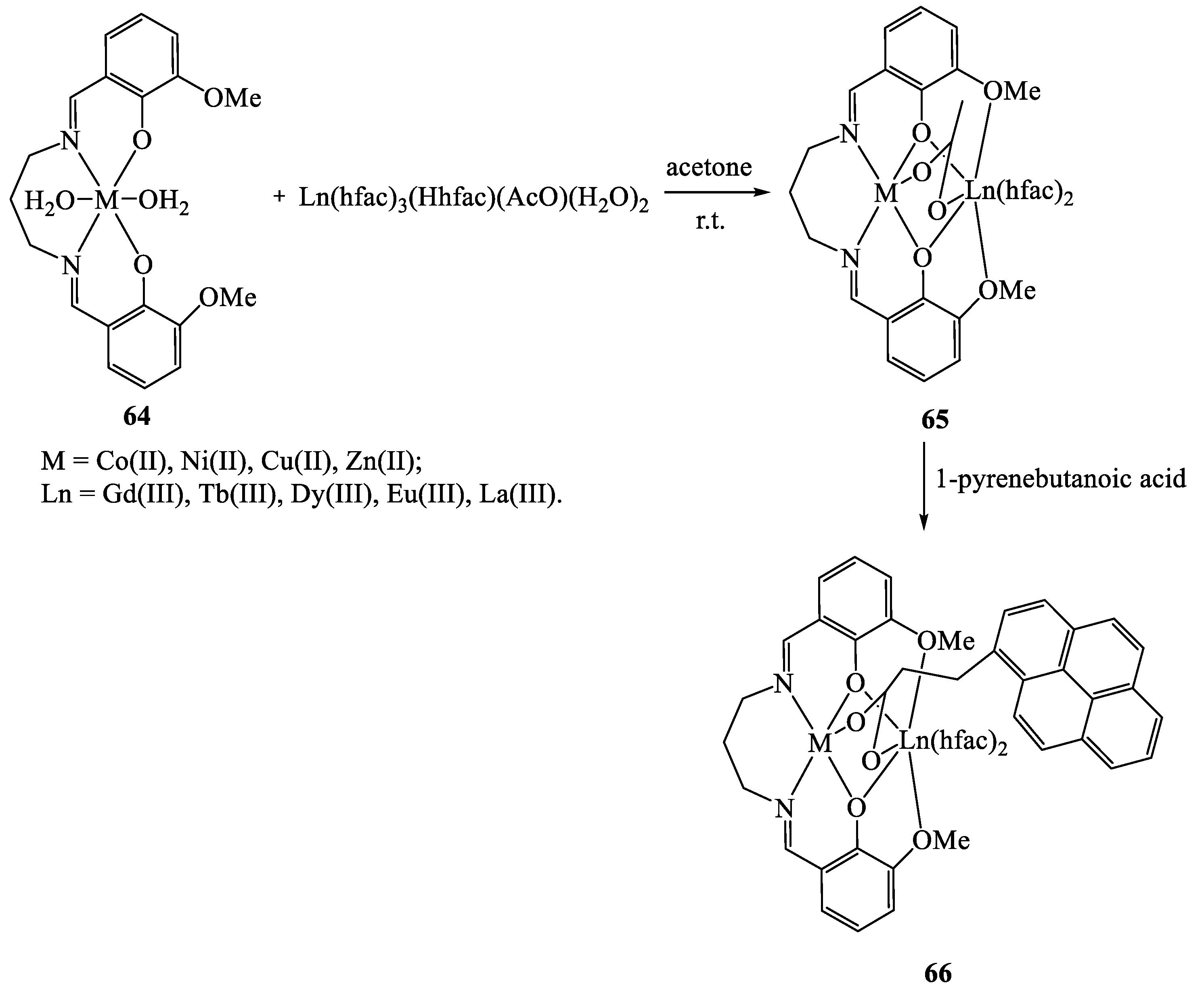
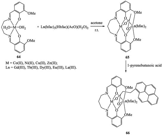
The Schiff base with two different coordination modes formed the heterometallic 3d-4f binuclear complexes 65 (Scheme 27) [103,104]. The lanthanide(III) ions had an [LnO8] environment, whereas 3d metals ions preferably coordinated with the less “hard” nitrogen centers (Figure 33). The complexes with a combination of anisotropic Co(II) or Ni(II) ions with Tb(III) exhibited slow magnetic relaxation at low temperatures and, therefore, represented promising structures for single-molecular magnets’ design [103]. On the other hand, the heterometallic complexes containing Zn(II) and Tb(III) or Eu(III) ions showed luminescent properties [104]. In this case, the replacement of the bridging acetate anion by 1-pyrenbutanoic acid (complex 66, Figure 33) reduced the phosphorescence lifetime.
Scheme 27.
Synthesis of heterometallic 3d-4f binuclear complexes 65–66.
Figure 33.
Molecular structure of 65, 66 (dik = hfac) [103,104]. Hydrogen atoms have been omitted, some ligand groups are transparent for clarity. The cif has been retrieved from CCDC.
The co-crystallization of copper(II) β-diketonate with palladium(II) bis-enaminoketonate led to the heterobimetallic [Cu-Pd] complex 67 [105]. The bridging oxygen atoms of bis-enaminoketone between palladium(II) and copper(II) ions formed a discrete binuclear framework of the complex 67 (Figure 34).
Figure 34.
Molecular structure of 67 [105]. The cif has been retrieved from CCDC. CCDC number is 1961116.
Due to deprotonation of the hydroxy group, 8-hydroxyquinoline acted as a bridging ligand in the reaction with transition metal β-diketonates resulting in the homobimetallic complexes (Scheme 28) [106,107,108]. However, in the presence of a chromium(III) ion a trimetallic complex 68 was formed, in which a bridging phenolate anion connected the different metal ions (Figure 35) [108].
Scheme 28.
Synthesis of heterometallic [Ln-Cr] complexes 68.
Figure 35.
Molecular structure of 68 [108]. CF3 groups are transparent for clarity. The cif has been retrieved from CCDC. CCDC number is 812496.
Heterometallic polymer complexes 69–71 including Eu(III) tris-β-diketonate fragments were synthesized based on the bidentate O,N-ligand–4-pyridyldiphenylphosphinoxide (Scheme 29) [109]. Polymer chains of 69–71 were formed through the coordination of phosphinoxide oxygen atom with Eu(hfac)3, whereas the nitrogen atom of the pyridine core bound the Pd(II), Zn(II) or Al(III) centers. Among the synthesized luminescent bimetallic polymers, complex [Eu-Al] 70 exhibited the highest value of the phosphorescence quantum yield equal to 72%.
Scheme 29.
Synthesis of polymers, containing Eu(III) and 3d metal ions.
The simultaneous addition of 3d and 4f β-diketonate hydrates to the reaction with nitronyl nitroxyls gave the heterometallic complexes 72–75 [110,111,112]. The coordination of 3d β-diketonate with the nitroxyl radical was accompanied by the Ln(III) tris-β-diketonate transformation into the corresponding Ln(III) tetrakis-β-diketonate anion (Figure 36) [110,111,112].
Figure 36.
The examples of 3d/4f complexes containing Ln(III) tetrakis-β-diketonate fragments. CF3 groups are transparent for clarity. The cif has been retrieved from CCDC [110,111,112].
In most cases, the co-crystallization of 3d and 4f β-diketonates proceeded in the presence of the aza-heteroaryl-substituted nitronyl nitroxyls to provide the additional coordination centers with metal ions (Figure 37) [113,114,115,116,117,118,119]. The Ln(III) center predominantly formed an [LnO8] environment due to both the β-diketonate anions and nitroxyl oxygen atoms. In turn, 3d metal bis-diketonates were coordinated by either two nitrogen atoms of the heterocyclic substituents in a ligand or a nitroxyl oxygen atom and aza-heterocycle.

Figure 37.
(a)The examples of 3d/4f complexes containing Ln(III) tris-β-diketonate fragments. CF3 groups are transparent for clarity. The cif has been retrieved from CCDC. (b) The examples of 3d/4f complexes containing Ln(III) tris-β-diketonate fragments. CF3 groups are transparent for clarity. The cif has been retrieved from CCDC [113,114,115,116,117,118,119].
11. Heterometallic Complex Synthesis Based on hfac Transformations
In general, the synthesis of mono- and polynuclear β-diketonates is realized under basic conditions to facilitate the coordination with metal ions via deprotonation of the initial β-dicarbonyl compounds. Along with this, in some cases the base action provokes the β-diketone participation in the hydration process, retro-Claisen reaction or template transformations to form the metal complexes including tfa or ttpt as coligands [81,102,120,121,122,123,124,125,126,127,128,129,130].
A strong base used in the formation of a β-diketonate anion caused the destruction or transformation of the initial β-diketone. In work [126], the deprotonation with sodium hydroxide resulted in two possible routes of the retro-Claisen reaction (Scheme 30). Surprisingly, in the presence of two different carboxylates, a tetranuclear [Eu-Na] complex (84) was formed, including the β-diketonate anions and tris(3,5-dimethyl-1-pyrazolyl)methane (tpm) (Figure 38). The main phosphorescence characteristics were determined for the complex 84: the observed lifetime was 0.68 ms with a quantum yield of 39% and quantum efficiency equal to 58% [126].
Scheme 30.
Synthesis and proposed mechanism of heterometallic [Eu-Na] complex (84) formation.
Figure 38.
Molecular structure of 84 [126]. Some ligand groups are transparent for clarity. The cif has been retrieved from CCDC. CCDC number is 1008766.
The synthesis of heterometallic [Ni-Ln] complexes (83–87) included the two steps: Schiff base interaction with nickel(II) nitrate followed by the Ln(hfac)3 addition (Scheme 31) [127]. In that case, one fluorinated β-diketonate molecule from Ln(hfac)3 underwent a retro-Claisen reaction to give the [Ni-Ln] complexes (85–89) with the trifluoroacetate anion as coligand (Figure 39).
Scheme 31.
Synthesis of heterometallic [Ln-Ni] complexes 85–89 [129].
Figure 39.
Molecular structure of 87 [127]. CF3 groups are transparent for clarity. The cif has been retrieved from CCDC. CCDC number is 1556429.
The nitrogen base, as an initial part of the complex, can further participate in the co-crystallization with fluorinated β-diketonate [129]. In particular, the tetranuclear bimetallic complex 91 was obtained by the reaction of Cd(pymt)2(phen)2 (90) with Cu(hfac)2 in acetonitrile (Scheme 32) [129]. The heterometallic structure 91 was formed based on the ttpt derived from hfac. Cadmium(II) both coordinated the diketonate anion and built a heterometallic framework of 91 due to the bridging oxygen atoms of ttpt (Figure 40). In addition, three hydroxyl oxygen atoms of two tpt and phen molecules formed the [CuO3N2] coordination environment of copper(II) ions.
Scheme 32.
Synthesis of heterometallic [Cu-Cd] complexes 91.
Figure 40.
The crystal structures of [Cu2(phen)2(ttpt)2Cd2(hfac)2] (91) [129]. CF3 groups are transparent for clarity. The cif has been retrieved from CCDC. CCDC number is 616292.
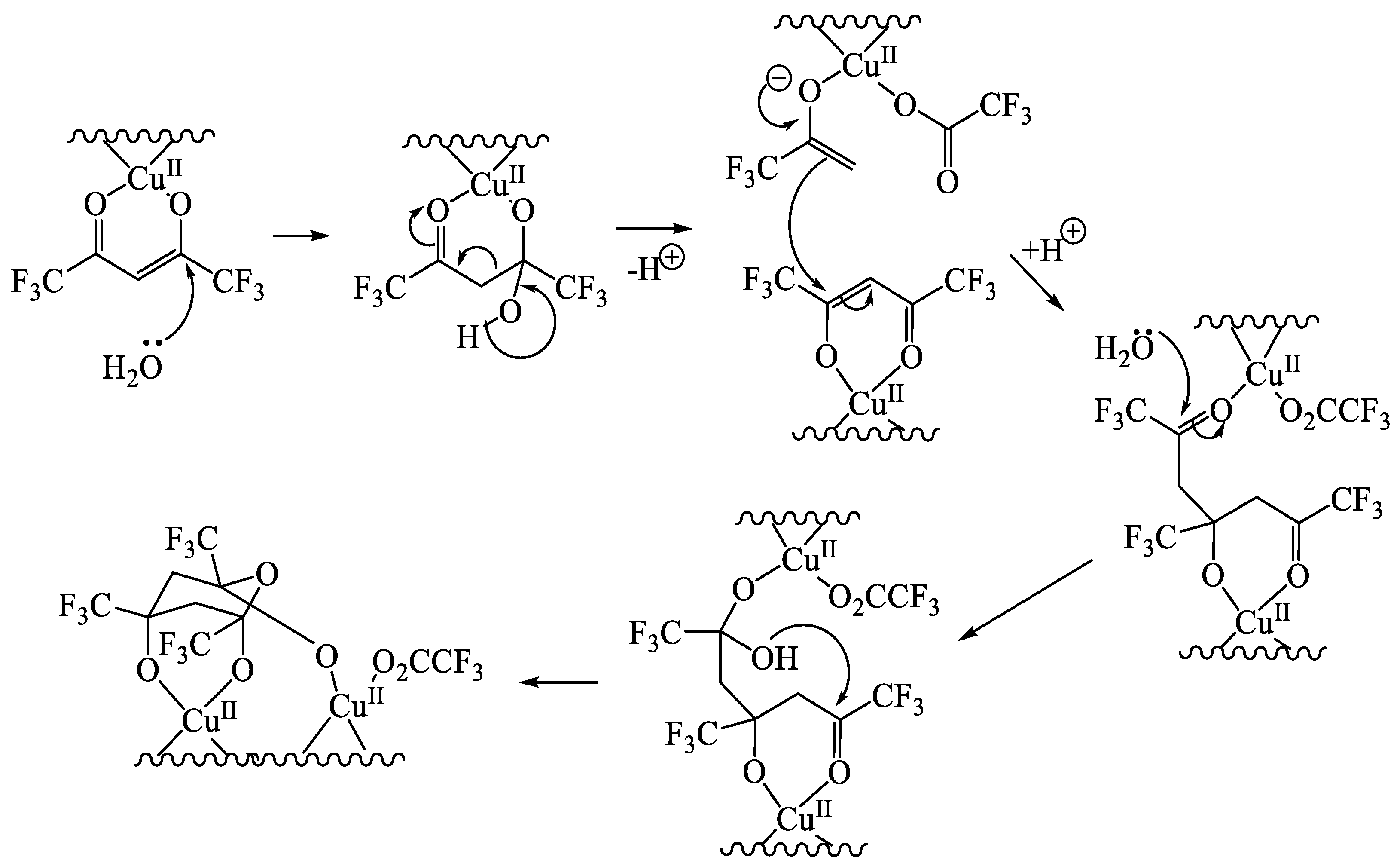
After the decomplexation of heteronuclear [Cu-Cd] complex 91, all hydroxyl groups of tris-CF3-tetrahydropyran-2,4,6-triol were in the cis-configuration based on XRD data [129]. The proposed mechanism of pyran formation involves a retro-Claisen reaction followed by a condensation of trifluoroacetone enol with fluorinated copper diketonate (Scheme 33). Obviously, the triol formation led to the assembly of the tetranuclear [Cu-Cd] core, while the oxygen atoms of the hydroxyl groups in ligand acted as bridging atoms between metal ions. The other bases, including DMF, diethylformamide, formamide and sodium hydroxide, can also be used in the template reaction affording the ttpt.
Scheme 33.
The proposed mechanism of pyran formation from Cu(hfac)2.
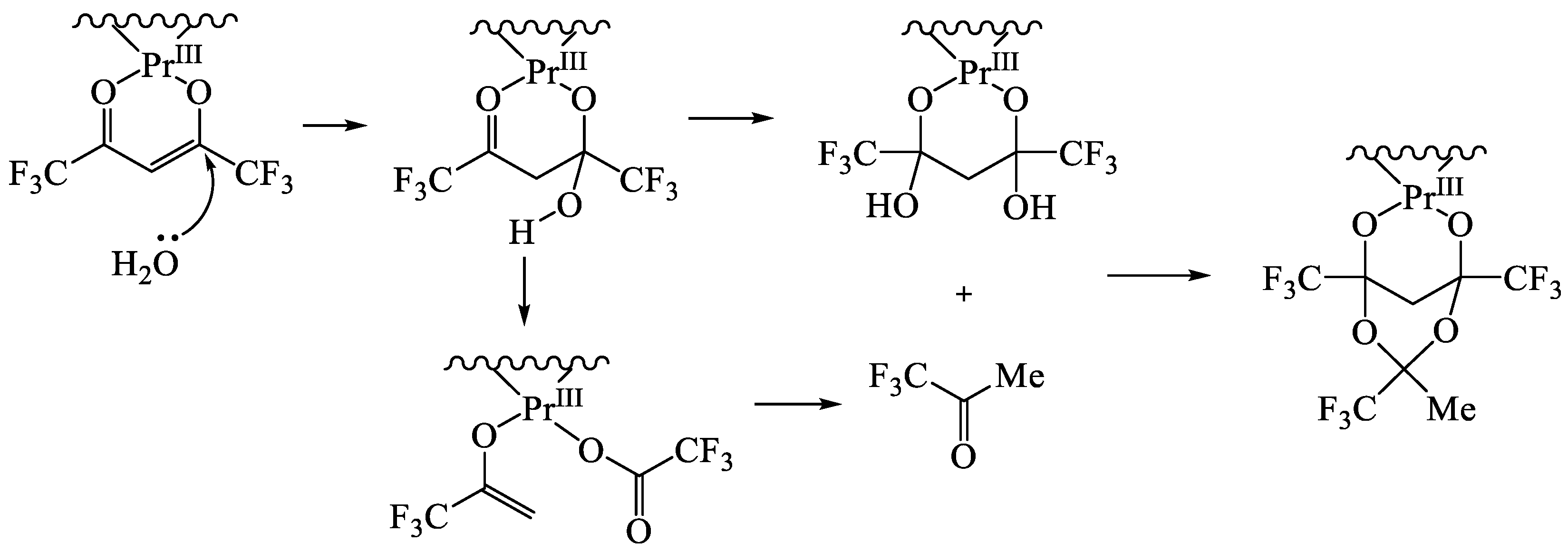
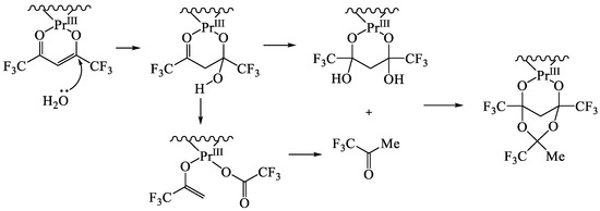
The Hhfac cleavage accompanied by the trifluoroacetate formation proceeds easily under the action of tertiary amines at room temperature [131]. The reaction between Ln(hfac)3 and 1,3-bis(dimethylamino)-2-propanol (bdmap) leads to heteronuclear [Pr-Cu] complexes 93, 94 (Scheme 34). If copper(II) methoxide is reacted with Pr(hfac)3 instead of the corresponding acetate, trifluoroacetate and trifluoromethylated dioxane-diol (CF3-diol) are formed as coligands (Figure 41). The CF3-diol is formed due to the condensation reaction of trifluoroacetone with β-diketonate from Pr(hfac)3 (Scheme 35). To prove the mechanism of heterometallic [Pr-Cu] complex (93) formation, the authors carried out the reaction of the copper(II) methoxide and Pr(hfac)3 with trifluoroacetic acid and proposed trifluoroacetone in the presence of bdmapH (Scheme 34).
Scheme 34.
Synthesis of polynuclear Pr(III) complexes via Hhfac transformations.
Figure 41.
Crystal structure of [Pr(hfac)2(CF3-diol)Cu(Hbdmap)2(tfa)] (93) [131]. CF3 groups are transparent for clarity. The cif has been retrieved from CCDC. CCDC number is 1232922.
Scheme 35.
Proposed mechanism for trifluoromethylated dioxane-diol formation.
12. Conclusions
The described analysis of the literature demonstrates the wide scope of fluorinated β-diketones in the synthesis of heterometallic compounds. In most cases, the available diketones with trifluoromethyl and perfluoropropyl substituents (hfac, fod) form polynuclear systems containing up to five different metal ions. Moreover, fluorinated β-diketones as coligands can be used in the design of the heterometallic architectures in combination with other organic polydentate molecules. However, the potential of coordination compounds containing two or more different metal ions has not been fully realized in terms of practice. This is mainly because of the limited number of transition metals used in the synthesis of heterometallic structures. The specific chemical properties of the initial β-diketones should be considered when planning conditions for the synthesis of coordination compounds. In particular, the action of bases causes the β-diketones’ destruction to form heteroleptic complexes. In this context, the directed synthesis of β-diketones containing additional coordination centers is a more attractive design strategy for the heterometallic complexes [51,52,53,93,94,132]. This area is promising for obtaining not only discrete structures but also 2D/3D organometallic polymers, which are of applied interest in the development of magnetic, fluorescent, catalytic or sensor devices. Therefore, using polydentate fluorinated β-diketonates allows the heterometallic composition of structurally diverse coordination compounds to be varied, which, in turn, may give rise to advanced materials with interesting physicochemical properties.
Author Contributions
Conceptualization, D.N.B., Y.S.K. and Y.V.B.; writing—original draft preparation, D.N.B., Y.O.E. and Y.S.K.; writing—review and editing, Y.O.E., Y.S.K., D.N.B. and Y.V.B.; visualization, Y.O.E.; supervision, V.I.S.; project administration, D.N.B. All authors have read and agreed to the published version of the manuscript.
Funding
This work was carried out in the framework of the basic theme of the Russian Academy of Sciences (state registration № AAAA-A19-119011290117-6).
Institutional Review Board Statement
Not applicable.
Informed Consent Statement
Not applicable.
Data Availability Statement
Not applicable.
Conflicts of Interest
The authors declare no conflict of interest.
Abbreviations
| MOCVD | metal organic chemical vapor deposition; |
| hfac | 1,1,1,5,5,5-hexafluoro-2,4-pentanedionate; |
| tfa | trifluoroacetate; |
| tfac | 1,1,1-trifluoro-2,4-pentanedionate; |
| ptac | 1,1,1-trifluoro-5,5-dimethyl-2,4-hexanedionate; |
| fod | 6,6,7,7,8,8,8-heptafluoro-2,2-dimethyl-3,5-octanedionate; |
| tta | thenoyltrifluoroacetylacetonate; |
| fta | furanoyltrifluoroacetylacetonate; |
| bta | benzoyltrifluoroacetone; |
| ntfa | 4,4,4-trifluoro-1-(2-naphtyl)-1,3-butanedionate; |
| Na2EDTA | ethylenediaminetetraacetic acid disodium salt; |
| PTSA | p-toluenesulfonic acid; |
| dik | β-diketonate; |
| acac | acetylacetonate; |
| thd | 2,2,6,6-tetramethyl-3,5-heptanedionate; |
| pfbm | bis(pentafluorobenzoyl)methane; |
| Cp | cyclopentadienyl; |
| Fc | ferrocene; |
| DME | 1,2-dimethoxyethane; |
| DMF | dimethylformamide; |
| Et | ethyl; |
| LDA | lithium di(isopropyl)amide; |
| Me | methyl; |
| THF | tetrahydrofuran; |
| ttpt | tris-CF3-tetrahydropyran-2,4,6-triol; |
| bptz | 3,6-bis(2-pyridyl)-1,2,4,5-tetrazine; |
| phen | 1,10-phenantroline; |
| bdmap | 1,3-bis(dimethylamino)-2-propanol. |
References
- Jain, A. Multifunctional, heterometallic ruthenium-platinum complexes with medicinal applications. Coord. Chem. Rev. 2019, 401, 213067. [Google Scholar] [CrossRef]
- Liu, J.; Xue, J.; Yang, G.-P.; Dang, L.-L.; Ma, L.-F.; Li, D.-S.; Wang, Y.-Y. Recent advances of functional heterometallic-organic framework (HMOF) materials: Design strategies and applications. Coord. Chem. Rev. 2022, 463, 214521. [Google Scholar] [CrossRef]
- Liu, Y.-J.; Fang, W.-H.; Zhang, L.; Zhang, J. Recent advances in heterometallic polyoxotitanium clusters. Coord. Chem. Rev. 2020, 404, 213099. [Google Scholar] [CrossRef]
- Wang, J.; Feng, M.; Akhtar, M.N.; Tong, M.-L. Recent advance in heterometallic nanomagnets based on TMxLn4 cubane subunits. Coord. Chem. Rev. 2019, 387, 129–153. [Google Scholar] [CrossRef]
- Nesterov, D.S.; Nesterova, O.V.; Pombeiro, A.J.L. Homo- and heterometallic polynuclear transition metal catalysts for alkane C-H bonds oxidative functionalization: Recent advances. Coord. Chem. Rev. 2018, 355, 199–222. [Google Scholar] [CrossRef]
- Dey, A.; Bag, P.; Kalita, P.; Chandrasekhar, V. Heterometallic CuII–LnIII complexes: Single molecule magnets and magnetic refrigerants. Coord. Chem. Rev. 2021, 432, 213707. [Google Scholar] [CrossRef]
- Gil-Rubio, J.; Vicente, J. The coordination and supramolecular chemistry of gold metalloligands. Chem. Eur. J. 2018, 24, 32–46. [Google Scholar] [CrossRef]
- Nehra, K.; Dalal, A.; Hooda, A.; Bhagwan, S.; Saini, R.K.; Mari, B.; Kumar, S.; Singh, D. Lanthanides β-diketonate complexes as energy-efficient emissive materials: A review. J. Mol. Struct. 2022, 1249, 131531. [Google Scholar] [CrossRef]
- Clegg, J.K.; Li, F.; Lindoy, L.F. Oligo-β-diketones as versatile ligands for use in metallo-supramolecular chemistry: Recent progress and perspectives. Coord. Chem. Rev. 2022, 455, 214355. [Google Scholar] [CrossRef]
- Condorelli, G.G.; Malandrino, G.; Fragalà, I.L. Engineering of molecular architectures of β-diketonate precursors toward new advanced materials. Coord. Chem. Rev. 2007, 251, 1931–1950. [Google Scholar] [CrossRef]
- Gromilov, S.A.; Baidina, I.A. Regularities of Crystal Structures of Cu(II) β-Diketonates. J. Struct. Chem. 2004, 45, 1031–1081. [Google Scholar] [CrossRef]
- Steinborn, D. The unique chemistry of platina-β-diketones. Dalton Trans. 2005, 16, 2664. [Google Scholar] [CrossRef] [PubMed]
- Zolotareva, N.V.; Semenov, V.V. β-Diketones and their derivatives in sol–gel processes. Russ. Chem. Rev. 2013, 82, 964–987. [Google Scholar] [CrossRef]
- Tanaka, K.; Chujo, Y. Recent progress of optical functional nanomaterials based on organoboron complexes with β-diketonate, ketoiminate and diiminate. NPG Asia Mater. 2015, 7, e223. [Google Scholar] [CrossRef]
- Malandrino, G.; Pellegrino, A.L.; Lucchini, G.; Speghini, A. Energy conversion systems: Molecular architecture engineering of metal precursors and their applications to vapor phase and solution routes. J. Mater. Res. 2020, 35, 2950–2966. [Google Scholar] [CrossRef]
- Fromm, K.M.; Gueneau, E.D. Structures of alkali and alkaline earth metal clusters with oxygen donor ligands. Polyhedron 2004, 23, 1479–1504. [Google Scholar] [CrossRef]
- Kaizaki, S. Coordination effects of nitroxide radicals in transition metal and lanthanide complexes. Coord. Chem. Rev. 2006, 250, 1804–1818. [Google Scholar] [CrossRef]
- Minkin, V.I.; Starikova, A.A. Molecular design of the valence tautomeric mixed-ligand adducts of CoII diketonates with redox-active ligands. Mendeleev Commun. 2015, 25, 83–92. [Google Scholar] [CrossRef]
- Malandrino, G.; Fragalà, I.L. Lanthanide “second-generation” precursors for MOCVD applications: Effects of the metal ionic radius and polyether length on coordination spheres and mass-transport properties. Coord. Chem. Rev. 2006, 250, 1605–1620. [Google Scholar] [CrossRef]
- Vigato, P.A.; Peruzzo, V.; Tamburini, S. The evolution of β-diketone or β-diketophenol ligands and related complexes. Coord. Chem. Rev. 2009, 253, 1099–1201. [Google Scholar] [CrossRef]
- Aromí, G.; Gamez, P.; Reedijk, J. Poly beta-diketones: Prime ligands to generate supramolecular metalloclusters. Coord. Chem. Rev. 2008, 252, 964–989. [Google Scholar] [CrossRef]
- Pettinari, R.; Marchetti, F.; Di Nicola, C.; Pettinari, C. Half-sandwich metal complexes with β-diketone-like ligands and their anticancer activity. Eur. J. Inorg. Chem. 2018, 2018, 3521–3536. [Google Scholar] [CrossRef]
- Kljun, J.; Turel, I. β-Diketones as scaffolds for anticancer drug design—From organic building blocks to natural products and metallodrug components. Eur. J. Inorg. Chem. 2017, 2017, 1655–1666. [Google Scholar] [CrossRef]
- Brock, A.J.; Clegg, J.K.; Li, F.; Lindoy, L.F. Recent developments in the metallo-supramolecular chemistry of oligo-β-diketonato ligands. Coord. Chem. Rev. 2018, 375, 106–133. [Google Scholar] [CrossRef]
- Clegg, J.K.; Li, F.; Lindoy, L.F. Di-, tri- and oligometallic platforms: Versatile components for use in metallo-supramolecular chemistry. Coord. Chem. Rev. 2013, 257, 2536–2550. [Google Scholar] [CrossRef]
- Hansen, P.E. Structural studies of β-diketones and their implications on biological effects. Pharmaceuticals 2021, 14, 1189. [Google Scholar] [CrossRef]
- Mishra, S.; Daniele, S. Metal–organic derivatives with fluorinated ligands as precursors for inorganic nanomaterials. Chem. Rev. 2015, 115, 8379–8448. [Google Scholar] [CrossRef]
- Devi, A. ‘Old Chemistries’ for new applications: Perspectives for development of precursors for MOCVD and ALD applications. Coord. Chem. Rev. 2013, 257, 3332–3384. [Google Scholar] [CrossRef]
- Bünzli, J.-C.G. On the design of highly luminescent lanthanide complexes. Coord. Chem. Rev. 2015, 293–294, 19–47. [Google Scholar] [CrossRef]
- Binnemans, K. Lanthanide-based luminescent hybrid materials. Chem. Rev. 2009, 109, 4283–4374. [Google Scholar] [CrossRef]
- Lin, L.-R.; Wang, X.; Wei, G.-N.; Tang, H.-H.; Zhang, H.; Ma, L.-H. Azobenzene-derived tris-β-diketonate lanthanide complexes: Reversible trans-to-cis photoisomerization in solution and solid state. Dalton Trans. 2016, 45, 14954–14964. [Google Scholar] [CrossRef] [PubMed]
- Li, J.; Li, H.; Yan, P.; Chen, P.; Hou, G.; Li, G. Synthesis, Crystal Structure, and Luminescent Properties of 2-(2,2,2-Trifluoroethyl)-1-indone Lanthanide Complexes. Inorg. Chem. 2012, 51, 5050–5057. [Google Scholar] [CrossRef] [PubMed]
- Ambili Raj, D.B.; Francis, B.; Reddy, M.L.P.; Butorac, R.R.; Lynch, V.M.; Cowley, A.H. Highly luminescent poly(methyl methacrylate)-incorporated europium complex supported by a carbazole-based fluorinated β-diketonate ligand and a 4,5-bis(diphenylphosphino)-9,9-dimethylxanthene oxide co-ligand. Inorg. Chem. 2010, 49, 9055–9063. [Google Scholar] [CrossRef]
- Francis, B.; Heering, C.; Freire, R.O.; Reddy, M.L.P.; Janiak, C. Achieving visible light excitation in carbazole based Eu3+–β-diketonate complexes via molecular engineering. RSC Adv. 2015, 5, 90720. [Google Scholar] [CrossRef]
- Taydakov, I.V.; Kreshchenova, Y.M.; Dolotova, E.P. A convenient and practical synthesis of β-diketones bearing linear perfluorinated alkyl groups and a 2-thienyl moiety. Beilstein J. Org. Chem. 2018, 14, 3106–3111. [Google Scholar] [CrossRef] [PubMed]
- Gao, X.; Li, H.; Chen, P.; Sun, W.; Yan, P. A series of triple-stranded lanthanide(III) helicates: Syntheses, structures and single molecular magnets. Polyhedron 2017, 126, 1–7. [Google Scholar] [CrossRef]
- Gao, X.; Li, L.; Sun, W.; Chen, P. Crystallization and single molecule magnetic behavior of quadruple-stranded helicates: Tuning the anisotropic axes. Dalton Trans. 2020, 49, 2843–2849. [Google Scholar] [CrossRef]
- Shi, J.; Hou, Y.; Chu, W.; Shi, X.; Gu, H.; Wang, B.; Sun, Z. Crystal structure and highly luminescent properties studies of bis-β-diketonate lanthanide complexes. Inorg. Chem. 2013, 52, 5013–5022. [Google Scholar] [CrossRef]
- Tan, Y.B.; Yamada, M.; Katao, S.; Nishikawa, Y.; Asanoma, F.; Yuasa, J.; Kawai, T. Self-assembled tetranuclear EuIII complexes with D2- and C2h symmetrical square scaffold. Inorg. Chem. 2020, 59, 12867–12875. [Google Scholar] [CrossRef]
- Chen, P.; Li, H.; Sun, W.; Tang, J.; Zhang, L.; Yan, P. Crystallization of triple- and quadruple-stranded dinuclear bis-β-diketonate-Dy(III) helicates: Single molecule magnetic behavior. CrystEngComm 2015, 17, 7227–7232. [Google Scholar] [CrossRef]
- Ma, H.; Zhou, Y.; Gao, T.; Li, H.; Yan, P. The role of ancillary ligand on regulating photoluminescence properties of Eu(III) helicates. Inorg. Chim. Acta 2021, 525, 120495. [Google Scholar] [CrossRef]
- Yao, Z.; Zhou, Y.; Gao, T.; Yan, P.; Li, H. Ancillary ligand modulated stereoselective selfassembly of triple-stranded Eu(III) helicate featuring circularly polarized luminescence. RSC Adv. 2021, 11, 10524–10531. [Google Scholar] [CrossRef] [PubMed]
- Li, H.-F.; Yan, P.-F.; Chen, P.; Wang, Y.; Xu, H.; Li, G.-M. Highly luminescent bis-diketone lanthanide complexes with triple-stranded dinuclear structure. Dalton Trans. 2012, 41, 900–907. [Google Scholar] [CrossRef] [PubMed]
- Khamidullina, L.A.; Puzyrev, I.S.; Glukhareva, T.V.; Shatunova, S.A.; Slepukhin, P.A.; Dorovatovskii, P.V.; Zubavichus, Y.V.; Khrustalev, V.N.; Fan, Z.; Kalinina, T.A.; et al. Synthesis, characterization, DFT calculations, and biological activity of copper(II) complexes with 1,1,1-trifluoro-4-(2-methoxyphenyl)butan-2,4-dione. J. Mol. Struct. 2019, 1176, 515–528. [Google Scholar] [CrossRef]
- Saloutin, V.I.; Burgart, Y.V.; Edilova, Y.O.; Slepukhin, P.A.; Kudyakova, Y.S.; Bazhin, D.N. Synthesis and structure of homoleptic copper complexes based on fluorinated functionalized 1,3-diketones. Russ. Chem. Bull. 2021, 70, 839–846. [Google Scholar] [CrossRef]
- Bazhin, D.N.; Kudyakova, Y.S.; Burgart, Y.V.; Saloutin, V.I. Intramolecular cyclization of lithium 4,4-dimethoxy-1-(perfluoroalkyl)pentane-1,3-dionates on treatment with boron trifluoride diethyl etherate. Russ. Chem. Bull. 2018, 68, 497–499. [Google Scholar] [CrossRef]
- Kudyakova, Y.S.; Onoprienko, A.Y.; Edilova, Y.O.; Burgart, Y.V.; Saloutin, V.I.; Bazhin, D.N. Effect of the nature of a fluorinated substituent on the synthesis of functionalized 1,3-diketones. Russ. Chem. Bull. 2021, 70, 745–752. [Google Scholar] [CrossRef]
- Slepukhin, P.A.; Boltacheva, N.S.; Filyakova, V.I.; Charushin, V.N. Synthesis and structure of lithium 3-trifluoromethyl-1,3-diketonates containing pyridyl substituents. Russ. Chem. Bull. 2019, 68, 1213–1218. [Google Scholar] [CrossRef]
- Rigamonti, L.; Piccioli, M.; Nava, A.; Malavolti, L.; Cortigiani, B.; Sessoli, R.; Cornia, A. Structure, magnetic properties and thermal sublimation of fluorinated Fe4 single-molecule magnets. Polyhedron 2017, 128, 9–17. [Google Scholar] [CrossRef]
- Yu, T.; Cao, Y.; Su, W.; Zhang, C.; Zhao, Y.; Fan, D.; Huang, M.; Yue, K.; Cheng, S.Z.D. Synthesis, structure, photo- and electroluminescence of an iridium(III) complex with a novel carbazole functionalized β-diketone ligand. RSC Adv. 2014, 4, 554–562. [Google Scholar] [CrossRef]
- Sabea, H.; Norel, L.; Galangau, O.; Hijazi, H.; Métivier, R.; Roisnel, T.; Maury, O.; Bucher, C.; Riobé, F.; Rigaut, S. Dual light and redox control of NIR luminescence with complementary photochromic and organometallic antennae. J. Am. Chem. Soc. 2019, 141, 20026–20030. [Google Scholar] [CrossRef] [PubMed]
- Yu, G.; Xing, Y.; Chen, F.; Han, R.; Wang, J.; Bian, Z.; Fu, L.; Liu, Z.; Ai, X.; Zhang, J.; et al. Energy-transfer mechanisms in IrIII–EuIII bimetallic complexes. ChemPlusChem 2013, 78, 852–859. [Google Scholar] [CrossRef] [PubMed]
- Chen, F.-F.; Bian, Z.-Q.; Liu, Z.-W.; Nie, D.-B.; Chen, Z.-Q.; Huang, C.-H. Highly efficient sensitized red emission from europium (III) in Ir-Eu bimetallic complexes by 3MLCT energy transfer. Inorg. Chem. 2008, 47, 2507–2513. [Google Scholar] [CrossRef] [PubMed]
- Kemp, K.C.; Fourie, E.; Conradie, J.; Swarts, J.C. Ruthenocene-containing-diketones: Synthesis, pKa′ values, keto–enol isomerization kinetics, and electrochemical aspects. Organometallics 2008, 27, 353–362. [Google Scholar] [CrossRef]
- Erasmus, E.; Swarts, J.C. Intramolecular communication and electrochemical observation of the 17-electron ruthenocenium cation in fluorinated ruthenocene-containing β-diketones; polymorphism of C10H21 and C10F21 derivatives. New J. Chem. 2013, 37, 2862–2873. [Google Scholar] [CrossRef]
- Taydakov, I.V.; Krasnoselsky, S.S. Modified method for the synthesis of isomeric N-substituted (1H-pyrazolyl)-propane-1,3-diones. Chem. Heterocycl. Comp. 2011, 47, 695. [Google Scholar] [CrossRef]
- Chizhov, D.L.; Belyaev, D.V.; Yachevskii, D.S.; Rusinov, G.L.; Chupakhin, O.N.; Charushin, V.N. Efficient and scalable synthesis of 3-(polyfluoroacyl)pyruvaldehydes dimethyl acetals: A novel functionalized fluorinated building-block. J. Fluor. Chem. 2017, 199, 39–45. [Google Scholar] [CrossRef]
- Soldatov, D.V.; Ripmeester, J.A.; Shergina, S.I.; Sokolov, I.E.; Zanina, A.S.; Gromilov, S.A.; Dyadin, Y.A. α- and β-Bis(1,1,1-trifluoro-5,5-dimethyl-5-methoxyacetylacetonato)copper(II): Transforming the dense polymorph into a versatile new microporous framework. J. Am. Chem. Soc. 1999, 121, 4179–4188. [Google Scholar] [CrossRef]
- Bazhin, D.N.; Chizhov, D.L.; Röschenthaler, G.-V.; Kudyakova, Y.S.; Burgart, Y.V.; Slepukhin, P.A.; Saloutin, V.I.; Charushin, V.N. A concise approach to CF3-containing furan-3-ones, (bis)pyrazoles from novel fluorinated building blocks based on 2,3-butanedione. Tetrahedron Lett. 2014, 55, 5714–5717. [Google Scholar] [CrossRef]
- Kudyakova, Y.S.; Onoprienko, A.Y.; Slepukhin, P.A.; Burgart, Y.V.; Saloutin, V.I.; Bazhin, D.N. Fluorine-containing furan-3(2H)-ones in reactions with binucleophiles: CF3 vs C2F5. Chem. Heterocycl. Comp. 2019, 55, 517–522. [Google Scholar] [CrossRef]
- Edilova, Y.O.; Kudyakova, Y.S.; Kiskin, M.A.; Burgart, Y.V.; Saloutin, V.I.; Bazhin, D.N. Expanding 1,2,4-triketone toolbox for use as fluorinated building blocks in the synthesis of pyrazoles, pyridazinones and β-diketohydrazones. J. Fluor. Chem. 2022, 253, 109932. [Google Scholar] [CrossRef]
- Kudyakova, Y.S.; Slepukhin, P.A.; Valova, M.S.; Burgart, Y.V.; Saloutin, V.I.; Bazhin, D.N. The impact of the alkali metal ion on the crystal structure and (mechano)luminescence of terbium(III) tetrakis(β-diketonates). Eur. J. Inorg. Chem. 2020, 2020, 523. [Google Scholar] [CrossRef]
- Hori, A.; Shinohe, A.; Takatani, S.; Miyamoto, T.K. Synthesis and crystal structures of fluorinated β-diketonate metal (Al3+, Co2+, Ni2+, and Cu2+) complexes. Bull. Chem. Soc. Jpn. 2009, 82, 96–98. [Google Scholar] [CrossRef]
- Crowder, J.M.; Han, H.; Wei, Z.; Dikarev, E.V.; Petrukhina, M.A. Unsolvated homo- and heterometallic highly fluorinated β-diketonate complexes of copper(II). Polyhedron 2019, 157, 33–38. [Google Scholar] [CrossRef]
- Lindoy, L.F.; Lip, H.C.; Louie, H.W.; Drew, M.G.B.; Hudson, M.J. Interaction of lanthanide shift reagents with co-ordination complexes; direct observation of nuclear magnetic resonance signals for free and complexed tris(pentane-2,4-dionato)cobalt(III) at ambient temperature, and X-ray crystal and molecular structure of the 1:1 adduct formed. Chem. Commun. 1977, 21, 778–780. [Google Scholar] [CrossRef]
- Han, H.; Wei, Z.; Barry, M.C.; Filatov, A.S.; Dikarev, E.V. Heterometallic molecular precursors for a lithium–iron oxide material: Synthesis, solid state structure, solution and gas-phase behaviour, and thermal decomposition. Dalton Trans. 2017, 46, 5644–5649. [Google Scholar] [CrossRef]
- Han, H.; Carozza, J.C.; Colliton, A.P.; Zhang, Y.; Wei, Z.; Filatov, A.S.; Chen, Y.-S.; Alkan, M.; Rogachev, A.Y.; Dikarev, E.V. Heterotrimetallic mixed-valent molecular precursors containing Periodic table neighbors: Assignment of metal positions and oxidation states. Angew. Chem. Int. Ed. 2020, 59, 9624–9630. [Google Scholar] [CrossRef]
- Han, H.; Carozza, J.C.; Zhou, Z.; Zhang, Y.; Wei, Z.; Abakumov, A.M.; Filatov, A.S.; Chen, Y.-S.; Santa Lucia, D.J.; Berry, J.F.; et al. Heterotrimetallic Precursor with 2:2:1 Metal Ratio Requiring at Least a Pentanuclear Molecular Assembly. J. Am. Chem. Soc. 2020, 142, 12767–12776. [Google Scholar] [CrossRef]
- Lieberman, C.M.; Filatov, A.S.; Wei, Z.; Rogachev, A.Y.; Abakumov, A.M.; Dikarev, E.V. Mixed-valent, heteroleptic homometallic diketonates as templates for the design of volatile heterometallic precursors. Chem. Sci. 2015, 6, 2835–2842. [Google Scholar] [CrossRef]
- Lieberman, C.M.; Wei, Z.; Filatov, A.S.; Dikarev, E.V. Mixed-Ligand Approach to Changing the Metal Ratio in Bismuth–Transition Metal Heterometallic Precursors. Inorg. Chem. 2016, 55, 3946–3951. [Google Scholar] [CrossRef]
- Krisyuk, V.V.; Urkasym Kyzy, S.; Rybalova, T.V.; Korolkov, I.V.; Sysoev, S.V.; Koretskaya, T.P.; Kuchumov, B.M.; Turgambaeva, A.E. Volatile trinuclear heterometallic beta-diketonates: Structure and thermal properties related to the chemical vapor deposition of composite thin films. Polyhedron 2020, 191, 114806. [Google Scholar] [CrossRef]
- Krisyuk, V.V.; Tkachev, S.V.; Baidina, I.A.; Korolkov, I.V.; Turgambaeva, A.E.; Igumenov, I.K. Volatile Pd–Pb and Cu–Pb heterometallic complexes: Structure, properties, and trans-to-cis isomerization under cocrystallization of Pd and Cu β-diketonates with Pb hexafluoroacetylacetonate. J. Coord. Chem. 2015, 68, 1890–1902. [Google Scholar] [CrossRef]
- Krisyuk, V.V.; Urkasym Kyzy, S.; Rybalova, T.V.; Baidina, I.A.; Korolkov, I.V.; Chizhov, D.L.; Bazhin, D.N.; Kudyakova, Y.S. Isomerization as a tool to design volatile heterometallic complexes with methoxy-substituted β-diketonates. J. Coord. Chem. 2018, 71, 2194–2208. [Google Scholar] [CrossRef]
- Krisyuk, V.V.; Baidina, I.A.; Basova, T.V.; Bulusheva, L.G.; Igumenov, I.K. Self-Assembly of Coordination Polymers from Volatile PdII and PbII β-Diketonate Derivatives through Metallophilic Interactions. Eur. J. Inorg. Chem. 2013, 2013, 5738–5745. [Google Scholar] [CrossRef]
- Hirai, Y.; Nakanishi, T.; Kitagawa, Y.; Fushimi, K.; Seki, T.; Ito, H.; Hasegawa, Y. Luminescent Europium(III) Coordination Zippers Linked with Thiophene-Based Bridges. Angew. Chem. Int. Ed. 2016, 55, 12059–12062. [Google Scholar] [CrossRef]
- Francis, B.; Nolasco, M.M.; Brandão, P.; Ferreira, R.A.S.; Carvalho, R.S.; Cremona, M.; Carlos, L.D. Efficient Visible-Light-Excitable Eu3+ Complexes for Red Organic Light-Emitting Diodes. Eur. J. Inorg. Chem. 2020, 2020, 1260–1270. [Google Scholar] [CrossRef]
- Fu, C.-Y.; Chen, L.; Wang, X.; Lin, L.-R. Synthesis of Bis-β-Diketonate Lanthanide Complexes with an Azobenzene Bridge and Studies of Their Reversible Photo/Thermal Isomerization Properties. ACS Omega 2019, 4, 15530–15538. [Google Scholar] [CrossRef]
- Barry, M.C.; Wei, Z.; He, T.; Filatov, A.S.; Dikarev, E.V. Volatile Single-Source Precursors for the Low-Temperature Preparation of Sodium-Rare Earth Metal Fluorides. J. Am. Chem. Soc. 2016, 138, 8883–8887. [Google Scholar] [CrossRef]
- Mara, D.; Artizzu, F.; Laforce, B.; Vincze, L.; Van Hecke, K.; Van Deun, R.; Kaczmarek, A.M. Novel tetrakis lanthanide β-diketonate complexes: Structural study, luminescence properties and temperature sensing. J. Lumin. 2019, 213, 343–355. [Google Scholar] [CrossRef]
- Battiato, S.; Rossi, P.; Paoli, P.; Malandrino, G. Heterobimetallic sodium rare-earth complexes: “Third-generation” MOCVD precursors for the deposition of NaREF4 (RE = Y, Gd) films. Inorg. Chem. 2018, 57, 15035–15039. [Google Scholar] [CrossRef]
- Zeng, D.; Ren, M.; Bao, S.-S.; Zheng, L.-M. Tuning the Coordination Geometries and Magnetic Dynamics of [Ln(hfac)β]-through Alkali Metal Counterions. Inorg. Chem. 2014, 53, 795–801. [Google Scholar] [CrossRef]
- Taidakov, I.V.; Krasnosel’skii, S.S.; Lobanov, A.N.; Vitukhnovskii, A.G.; Starikova, Z.A. Cesium Tetrakis(1(1,5-Dimethyl-1H-Pyrazol-4-yl)-4,4,4-Trifluorobutane-1,3-diono)europiate(III): Synthesis, Crystal Structure, and Luminescence Properties. Russ. J. Coord. Chem. 2013, 39, 680–684. [Google Scholar] [CrossRef]
- Dinh, T.-H.; Nguyen, H.-H.; Nguyen, M.-H. A structural and spectroscopic study on heterometallic sodium(I)-europium(III) β-diketonate complexes. Inorg. Chem. Comm. 2021, 130, 108674. [Google Scholar] [CrossRef]
- Catalano, M.R.; Pellegrino, A.L.; Rossi, P.; Paoli, P.; Cortelletti, P.; Pedroni, M.; Speghini, A.; Malandrino, G. Upconverting Er3+,Yb3+ activated β-NaYF4 thin films: A solution route using a novel sodium β-diketonate polyether adduct. New J. Chem. 2017, 41, 4771–4775. [Google Scholar] [CrossRef]
- Jimenez, G.L.; Rosales-Hoz, M.J.; Leyva, M.A.; Reyes-Rodriguez, J.L.; Galindo-Garcia, U.; Falcony, C. Structural analysis of an europium-sodium complex containing 2-thenoyltrifluoroacetone and succinimide as ligands, a highly photoluminescent material. J. Mol. Struct. 2021, 1228, 129778. [Google Scholar] [CrossRef]
- Kudyakova, Y.S.; Slepukhin, P.A.; Ganebnykh, I.N.; Burgart, Y.V.; Saloutin, V.I.; Bazhin, D.N. Lithium β-Diketonate in the Synthesis of Homo- and Heteronuclear Complexes of Rare-Earth Metals. Russ. J. Coord. Chem. 2021, 47, 280–295. [Google Scholar] [CrossRef]
- Kudyakova, Y.S.; Slepukhin, P.A.; Valova, M.S.; Burgart, Y.V.; Saloutin, V.I.; Bazhin, D.N. Functionalized Trifluoromethyl-Containing A Rare Example of Discrete Lanthanide–Lithium Tetrakis-β-Diketonates: Synthesis, Structures, and Luminescence Properties. Russ. J. Coord. Chem. 2020, 46, 545–552. [Google Scholar] [CrossRef]
- Bazhin, D.N.; Kudyakova, Y.S.; Bogomyakov, A.S.; Slepukhin, P.A.; Kim, G.A.; Burgart, Y.V.; Saloutin, V.I. Dinuclear lanthanide–lithium complexes based on fluorinated β-diketonate with acetal group: Magnetism and effect of crystal packing on mechanoluminescence. Inorg. Chem. Front. 2019, 6, 40–49. [Google Scholar] [CrossRef]
- Kudyakova, Y.S.; Slepukhin, P.A.; Valova, M.S.; Burgart, Y.V.; Saloutin, V.I.; Bazhin, D.N. Role of alkyl substituents in the structure and luminescence properties of discrete terbium(III)-lithium(I) β-diketonates. J. Mol. Struct. 2021, 1226, 129331. [Google Scholar] [CrossRef]
- Lia, X.-L.; Lia, J.; Wanga, A.; Liub, C.-M.; Cuia, M.; Zhang, Y.-Q. Observation of field-induced single-ion magnet behavior in a mononuclear DyIII complex by co-crystallization of a square-planar CuII complex. Inorg. Chim. Acta 2020, 510, 119718. [Google Scholar] [CrossRef]
- Barry, M.C.; Lieberman, C.M.; Wei, Z.; Clérac, R.; Filatov, A.S.; Dikarev, E.V. Expanding the Structural Motif Landscape of Heterometallic β Diketonates: Congruently Melting Ionic Solids. Inorg. Chem. 2018, 57, 2308–2313. [Google Scholar] [CrossRef]
- Lieberman, C.M.; Vreshch, V.D.; Filatov, A.S.; Dikarev, E.V. Synthesis and characterization of {[CuI3Sn2(OBut)6]+[CuII(hfac)3]}− A heterometallic cluster with unique triangular copper(I) core. Inorg. Chim. Acta 2015, 424, 156–161. [Google Scholar] [CrossRef]
- Li, D.; Chen, F.-F.; Bian, Z.-Q.; Liu, Z.-W.; Zhao, Y.-L.; Huang, C.-H. Sensitized near-infrared emission of YbIII from an IrIII–YbIII bimetallic complex. Polyhedron 2009, 28, 897–902. [Google Scholar] [CrossRef]
- Chen, F.-F.; Bian, Z.-Q.; Lou, B.; Ma, E.; Liu, Z.-W.; Nie, D.-B.; Chen, Z.-Q.; Bian, J.; Chen, Z.-N.; Huang, C.-H. Sensitised near-infrared emission from lanthanides using an iridium complex as a ligand in heteronuclear Ir2Ln arrays. Dalton Trans. 2008, 41, 5577–5583. [Google Scholar] [CrossRef]
- Horikoshi, R.; Tominaga, T.; Mochida, T. Mixed-Metal Coordination Polymers and Molecular Squares Based on a Ferrocene-Containing Multidentate Ligand 1,2-Di(4-pyridylthio)ferrocene. Cryst. Growth Des. 2018, 18, 5089–5098. [Google Scholar] [CrossRef]
- Dolinar, B.S.; Alexandropoulos, D.I.; Vignesh, K.R.; James, T.A.; Dunbar, K.R. Lanthanide Triangles Supported by Radical Bridging Ligands. J. Am. Chem. Soc. 2018, 140, 908–911. [Google Scholar] [CrossRef]
- Kishore, P.V.V.N.; Rasamsetty, A.; Sañudo, E.C.; Baskar, V. Redox shield enfolding a magnetic core. Polyhedron 2015, 102, 361–365. [Google Scholar] [CrossRef]
- Jakob, A.; Joubert, C.C.; Rüffer, T.; Swarts, J.C.; Lang, H. Chemical and electrochemical oxidation studies on new copper(I) ferrocenyl-functionalised β-diketonates. Inorg. Chim. Acta 2014, 411, 48–55. [Google Scholar] [CrossRef]
- Gericke, H.J.; Muller, A.J.; Swarts, J.C. Electrochemical Illumination of Intramolecular Communication in Ferrocene-Containing tris-β-Diketonato Aluminum(III) Complexes; Cytotoxicity of Al(FcCOCHCOCF3)3. Inorg. Chem. 2012, 51, 1552–1561. [Google Scholar] [CrossRef] [PubMed]
- Maseme, M.R.; Buitendach, B.E.; Erasmus, E.; Swarts, J.C. The chemistry of spin-coated rhodium-ferrocenyl complexes supported on silanol-capped silicon wafers. Polyhedron 2021, 204, 115277. [Google Scholar] [CrossRef]
- Conradie, J.; Lamprecht, G.J.; Roodt, A.; Swarts, J.C. Kinetic study of the oxidative addition reaction between methyl iodide and [Rh(FcCOCHCOCF3)(CO)(PPh3)]: Structure of [Rh(FcCOCHCOCF3)(CO)(PPh3)(CH3)(I)]. Polyhedron 2007, 26, 5075–5087. [Google Scholar] [CrossRef]
- DuChane, C.M.; Merola, J.S. Hexafluoroacetylacetonate (hfac) as ligand for pentamethylcyclopentadienyl (Cp∗) rhodium and iridium complexes: Some surprising results, including an Ir3Na1O4 cubane structure. J. Organomet. Chem. 2020, 929, 121552. [Google Scholar] [CrossRef]
- Towatari, M.; Nishi, K.; Fujinami, T.; Matsumoto, N.; Sunatsuki, Y.; Kojima, M.; Mochida, N.; Ishida, T.; Re, N.; Mrozinski, J. Syntheses, Structures, and Magnetic Properties of Acetato- and Diphenolato-Bridged 3d–4f Binuclear Complexes [M(3-MeOsaltn)(MeOH)x(ac)Ln(hfac)2] (M = ZnII, CuII, NiII, CoII; Ln = LaIII, GdIII, TbIII, DyIII; 3-MeOsaltn = N,N′-Bis(3-methoxy-2-oxybenzylidene)-1,3-propanediaminato; ac = Acetato; hfac = Hexafluoroacetylacetonato; x = 0 or 1). Inorg. Chem. 2013, 52, 6160–6178. [Google Scholar] [CrossRef]
- Apostol, A.A.; Mihalache, I.; Mocanu, T.; Tutunaru, O.; Pachiu, C.; Gavrila, R.; Maxim, C.; Andruh, M. Luminescent [ZnIILnIII] complexes anchored on graphene: Synthesis and crystal structures of [ZnIIEuIII] and [ZnIITbIII] complexes decorated with pyrene groups. Appl. Organomet. Chem. 2020, 35, e6126. [Google Scholar] [CrossRef]
- Vikulova, E.S.; Nikolaeva, N.S.; Krasnov, P.O.; Sukhikh, A.A.; Smolentsev, A.I.; Kovaleva, E.A.; Morozova, N.B.; Basova, T.V. Synthesis, structural, vibrational and DFT investigation of new binuclear molecular Pd-Cu and Cu-Cu complexes formed by Schiff base and hexafluoroacetylacetonate building blocks. J. Mol. Struct. 2020, 1216, 128341. [Google Scholar] [CrossRef]
- Xu, H.; Li, J.; Shi, L.; Chen, Z. Sensitized luminescence in dinuclear lanthanide(III) complexes of bridging 8-hydroxyquinoline derivatives with different electronic properties. Dalton Trans. 2011, 40, 5549–5556. [Google Scholar] [CrossRef]
- Wang, W.-M.; Liu, S.-Y.; Xu, M.; Bai, L.; Wang, H.-Q.; Wen, X.; Zhao, X.-Y.; Qiao, H.; Wu, Z.-L. Structures and magnetic properties of phenoxo-O-bridged dinuclear lanthanide(III) compounds: Single molecule magnet behavior and magnetic refrigeration. Polyhedron 2018, 145, 114–119. [Google Scholar] [CrossRef]
- Xu, H.-B.; Li, J.; Zhang, L.-Y.; Huang, X.; Li, B.; Chen, Z.-N. Structures and Photophysical Properties of Homo- and Heteronuclear Lanthanide(III) Complexes with Bridging 2-Methyl-8-hydroxyquinoline (HMq) in the m-Phenol Mode. Cryst. Growth. Des. 2010, 10, 4101–4108. [Google Scholar] [CrossRef]
- Yamamoto, M.; Nakanishi, T.; Kitagawa, Y.; Seki, T.; Ito, H.; Fushimi, K.; Hasegawa, Y. Synthesis and Photophysical Properties of Eu(III) Complexes with Phosphine Oxide Ligands including Metal Ions. Bull. Chem. Soc. Jpn. 2018, 91, 6–11. [Google Scholar] [CrossRef]
- Shi, J.Y.; Ma, Z.L.; Tian, L. A new mononuclear terbium and copper cocrystalline nitronyl nitroxide complex: Synthesis, structure and magnetic properties. J. Mol. Struct. 2021, 1224, 129012. [Google Scholar] [CrossRef]
- Patrascu, A.A.; Briganti, M.; Soriano, S.; Calancea, S.; Allao Cassaro, R.A.; Totti, F.; Vaz, M.G.F.; Andruh, M. SMM Behavior Tuned by an Exchange Coupling LEGO Approach for Chimeric Compounds: First 2p-3d-4f Heterotrispin Complexes with Different Metal Ions Bridged by One Aminoxyl Group. Inorg. Chem. 2019, 58, 13090–13101. [Google Scholar] [CrossRef] [PubMed]
- Souza, M.S.; Briganti, M.; Reis, S.G.; Stinghen, D.; Bortolot, C.S.; Cassaro, R.A.A.; Guedes, G.P.; Silva, F.C.; Ferreira, V.F.; Novak, M.A.; et al. Magnetic Cationic Copper(II) Chains and a Mononuclear Cobalt(II) Complex Containing [Ln(hfac)4]− Blocks as Counterions. Inorg. Chem. 2019, 58, 1976–1987. [Google Scholar] [CrossRef] [PubMed]
- Li, H.; Jing, P.; Lu, J.; Xi, L.; Wang, Q.; Ding, L.; Wang, W.-M.; Song, Z. Multifunctional properties of {CuII2LnIII2} systems involving nitrogen-rich nitronyl nitroxide: Single-molecule magnet behavior, luminescence, magnetocaloric effects and heat capacity. Dalton Trans. 2021, 50, 2854–2863. [Google Scholar] [CrossRef] [PubMed]
- Jing, P.; Xi, L.; Lu, J.; Han, J.; Huang, X.; Jin, C.; Xie, J.; Li, L. Regulating Spin Dynamics of Nitronyl Nitroxide Biradical Lanthanide Complexes through Introducing Different Transition Metals. Chem. Asian J. 2021, 16, 793–800. [Google Scholar] [CrossRef] [PubMed]
- Yang, M.; Liang, X.; Zhang, Y.; Ouyang, Z.; Dong, W. A family of 3d-4f Cu-Ln ladder-like complexes: Synthesis, structures and magnetic properties. Polyhedron 2020, 180, 114435. [Google Scholar] [CrossRef]
- Xi, L.; Sun, J.; Wang, K.; Lu, J.; Jing, P.; Li, L. Slow magnetic relaxation in CoII-LnIII heterodinuclear complexes achieved through a functionalized nitronyl nitroxide biradical. Dalton Trans. 2020, 49, 1089–1096. [Google Scholar] [CrossRef] [PubMed]
- Shi, J.Y.; Chen, P.Y.; Wu, M.Z.; Tian, L.; Liu, Z.Y. Synthesis of a series of hetero-multi-spin Ln2Cu3 complexes based on a methyl-pyrazole nitronyl nitroxide radical with slow magnetic relaxation behaviors. Dalton Trans. 2019, 48, 9187–9193. [Google Scholar] [CrossRef]
- Hu, P.; Wu, Y.-N.; Zhao, Y.-H.; Cao, J.-F.; Lai, J.-L.; Ma, D.-Y.; Zhu, L.-L.; Xiao, F.-P. Structure changes from radical-3d ring dimer to radical-3d-4f 1D chain with different magnetic properties. Inorg. Chim. Acta 2020, 512, 119867. [Google Scholar] [CrossRef]
- Li, H.; Sun, J.; Yang, M.; Sun, Z.; Tang, J.; Ma, Y.; Li, L. Functionalized Nitronyl Nitroxide Biradicals for the Construction of 3d-4f Heterometallic Compounds. Inorg. Chem. 2018, 57, 9757–9765. [Google Scholar] [CrossRef]
- Romanenko, G.V.; Kuznetsova, O.V.; Fursova, E.Y.; Letyagin, G.A.; Ovcharenko, V.I. The structure of multinuclear copper (II) hexafluoroacetylacetone. J. Struct. Chem. 2019, 60, 275–278. [Google Scholar] [CrossRef]
- Mautner, F.A.; Bierbaumer, F.; Gyurkac, M.; Fischer, R.C.; Torvisco, A.; Massoud, S.S.; Vicente, R. Synthesis and characterization of Lanthanum(III) complexes containing 4,4,4-trifluoro-1-(naphthalen-2yl)butane-1,3-dionate. Polyhedron 2020, 179, 114384. [Google Scholar] [CrossRef]
- Wong, H.-Y.; Chan, W.T.K.; Law, G.-L. Assembly of Lanthanide(III) Cubanes and Dimers with Single-Molecule Magnetism and Photoluminescence. Inorg. Chem. 2018, 57, 6893–6902. [Google Scholar] [CrossRef] [PubMed]
- Zaim, A.; Favera, N.D.; Guenee, L.; Nozary, H.; Hoang, T.N.Y.; Eliseeva, S.V.; Petoud, S.; Piguet, C. Lanthanide hexafluoroacetylacetonates vs. nitrates for the controlled loading of luminescent polynuclear single-stranded oligomers. Chem. Sci. 2013, 4, 1125–1136. [Google Scholar] [CrossRef]
- Filyakova, T.I.; Saloutina, L.V.; Slepukhin, P.A.; Saloutin, V.I.; Chupakhin, O.N. Synthesis and crystal structures of the heptafluoroacetylacetonatocopper(II) and 4-iminoheptafluoropent-2-ene-2-aminatocopper(II) complexes with triphenylphosphine oxide and pyridine. Russ. Chem. Bull. 2009, 58, 1132–1138. [Google Scholar] [CrossRef]
- Chen, L.; Tan, Y.; Xu, H.; Wang, K.; Chen, Z.-H.; Zheng, N.; Li, Y.-Q.; Lin, L.-R. Enhanced E/Z-photoisomerization and luminescence of stilbene derivative co-coordinated in di-β-diketonate lanthanide complexes. Dalton Trans. 2020, 49, 16745–16761. [Google Scholar] [CrossRef] [PubMed]
- Bruno, S.M.; Ananias, D.; Almeida, P.; Filipe, A.; Pillinger, M.; Valente, A.A.; Carlos, L.D.; Goncalves, I.S. Crystal structure and temperature-dependent luminescence of a heterotetranuclear sodium-europium(III) β-diketonate complex. Dalton Trans. 2015, 44, 488–492. [Google Scholar] [CrossRef]
- Lin, J.; Yue, L.; Xin, L.; Jinlei, T.; Shiping, Y. Three series of heterometallic NiII-LnIII Schiff base complexes: Synthesis, crystal structures and magnetic characterization. Dalton Trans. 2017, 46, 12558–12573. [Google Scholar] [CrossRef]
- Kogane, T.; Harada, K.; Hirota, R.; Urushiyama, A. Structures and characterization of reaction products of bis(1,1,1,5,5,5-hexafluoropentane-2,4-dionato)copper(II) with 3-methyl- and 3,5-dimethyl-1H-pyrazoles. Polyhedron 1996, 15, 4093–4101. [Google Scholar] [CrossRef]
- Saaidi, P.-L.; Jeanneau, E.; Bouchu, D.; Hasserodt, J. The case of a Cd2Cu2 complex containing an apparently C3-symmetric ligand: Erroneous ligand-structure assignment by X-ray diffraction data analysis. Polyhedron 2007, 26, 1191–1198. [Google Scholar] [CrossRef]
- Chappidi, D.Y.; Gordon, M.N.; Ashberry, H.M.; Huang, J.; Labedis, B.M.; Cooper, R.E.; Cooper, B.J.; Carta, V.; Skrabalak, S.E.; Dunbar, K.R.; et al. Mechanochemical Syntheses of Ln(hfac)3(H2O)x (Ln = La-Sm, Tb): Isolation of 10-, 9-, and 8-Coordinate Ln(hfac)n Complexes. Inorg. Chem. 2022, 61, 12197–12206. [Google Scholar] [CrossRef]
- Wang, S.; Pang, Z.; Smith, K.D.L.; Hua, Y.-S.; Deslippe, C.; Wagner, M.J. Decomposition and Cycloaddition Reactions of hfacac, and Syntheses and Structures of LnIII2(hfacac)4(bdmap)2(H2O)2(THF)2, LnIIICuII(bdmapH)2(hfacac)2(O2CCF3)L, LnIIICuII2(hfacac)(bdmap)3(O2CCH3)2(O2CCF3)(hfacacH) (Ln = Y, Pr, Nd; hfacac = hexafluoroacetylacetonato; bdmap = 1,3-bis(dimethylamino)-2-propanolato; L = 2-methyl-2,4,6-tris(trifluoromethyl)-1,3-dioxane-4,6-diolato). Inorg. Chem. 1995, 34, 908–917. [Google Scholar] [CrossRef]
- Bazhin, D.N.; Kudyakova, Y.S.; Edilova, Y.O.; Burgart, Y.V.; Saloutin, V.I. Fluorinated 1,2,4-triketone analogs: New prospects for heterocyclic and coordination chemistry. Russ. Chem. Bull. 2022, 71, 1321–1341. [Google Scholar] [CrossRef]
Publisher’s Note: MDPI stays neutral with regard to jurisdictional claims in published maps and institutional affiliations. |
© 2022 by the authors. Licensee MDPI, Basel, Switzerland. This article is an open access article distributed under the terms and conditions of the Creative Commons Attribution (CC BY) license (https://creativecommons.org/licenses/by/4.0/).












































































