Deuterium Distribution in Fe/V Multi-Layered Films
Abstract
1. Introduction
2. Results and Discussion
2.1. Characterization of Fe/V ML Interfaces
2.1.1. Layer Interdiffusion at a High Deposition Temperature
- Origin of asymmetric Fe/V interface profile at an elevated deposition temperature, and
- Increasing alloying degree towards the surface.
2.1.2. Interface Intermixing by Sputtering Process
- (1)
- The maximum implantation depth of Fe is slightly deeper than that of V.
- (2)
- The intensive recoil events of Fe indicate (first 0.1 nm in Figure 6a) floating Fe at the deposition front.
- (3)
- The recoil of V is much less pronounced than that of Fe (recoiled V ion count is one order of magnitude smaller).
2.1.3. Combined Effect of Sputtering and Thermal Interdiffusion
2.2. D in FeV ML—The Impact of D2 Loading Pressure
2.2.1. D2 0.05 Pa
2.2.2. D2 0.5–1000 Pa
2.2.3. Comparison with the EMF Curve (Pressure-Composition Isotherm)
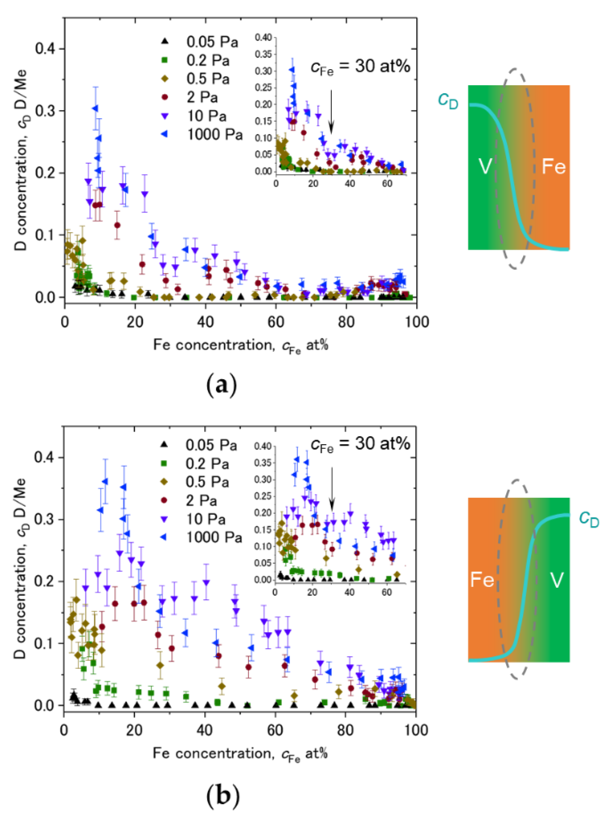
2.2.4. Asymmetric D Profiles at Fe/V and V/Fe Interfaces
3. Materials and Methods
3.1. Sample Preparation
3.2. Deuterium Loading at Different Pressures
3.3. APT Analysis
3.4. Verification of cD via EMF Measurement
4. Summary
Author Contributions
Funding
Institutional Review Board Statement
Informed Consent Statement
Data Availability Statement
Acknowledgments
Conflicts of Interest
References
- Cerezo, A.; Godfrey, T.J.; Smith, G.D.W. Application of a Position-sensitive Detector to Atom Probe Microanalysis. Rev. Sci. Instrum. 1998, 59, 862. [Google Scholar] [CrossRef]
- Blavette, D.; Cadel, E.; Fraczkiewicz, A.; Menand, A. Three-Dimensional Atomic-Scale Imaging of Impurity Segregation to Line Defects. Science 1999, 286, 2317–2319. [Google Scholar] [CrossRef] [PubMed]
- Miller, M.K. Atom Probe Tomography; Springer: Berlin/Heidelberg, Germany, 2000. [Google Scholar] [CrossRef]
- Al-Kassab, T.; Wollenberger, H.; Schmitz, G.; Kirchheim, R. Tomography by Atom Probe Field Ion Microscopy. High-Resolut. Imaging Spectrom. Mater. 2003, 50, 271–320. [Google Scholar] [CrossRef]
- Kelly, T.F.; Miller, M.K. Atom Probe Tomography. Rev. Sci. Instrum. 2007, 78, 031101. [Google Scholar] [CrossRef]
- Gault, B.; Moody, M.P.; Cairney, J.M.; Ringer, S.P. Atom Probe Microscopy; Springer Science & Business Media: Berlin/Heidelberg, Germany, 2012; Volume 160. [Google Scholar] [CrossRef]
- Larson, D.J.; Prosa, T.J.; Ulfig, R.M.; Geiser, B.P.; Kelly, T.F. Local Electrode Atom Probe Tomography; Springer: Berlin/Heidelberg, Germany, 2013. [Google Scholar] [CrossRef]
- Miller, M.K.; Forbes, R.G. Atom-Probe Tomography: The Local Electrode Atom Probe; Springer: Berlin/Heidelberg, Germany, 2014; pp. 1–423. [Google Scholar] [CrossRef]
- Sundell, G.; Thuvander, M.; Yatim, A.K.; Nordin, H.; Andrén, H.O. Direct Observation of Hydrogen and Deuterium in Oxide Grain Boundaries in Corroded Zirconium Alloys. Corros. Sci. 2015, 90, 1–4. [Google Scholar] [CrossRef]
- Meier, M.S.; Jones, M.E.; Felfer, P.J.; Moody, M.P.; Haley, D. Extending Estimating Hydrogen Content in Atom Probe Tomography Experiments Where H2Molecule Formation Occurs. Microsc. Microanal. 2021, 28, 1–14. [Google Scholar] [CrossRef]
- Jones, M.E.; London, A.J.; Breen, A.J.; Styman, P.D.; Sikotra, S.; Moody, M.P.; Haley, D. Improving the Quantification of Deuterium in Zirconium Alloy Atom Probe Tomography Data Using Existing Analysis Methods. Microsc. Microanal. 2022, 28, 1245–1254. [Google Scholar] [CrossRef]
- Breen, A.J.; Stephenson, L.T.; Sun, B.; Li, Y.; Kasian, O.; Raabe, D.; Herbig, M.; Gault, B. Solute Hydrogen and Deuterium Observed at the near Atomic Scale in High-Strength Steel. Acta Mater. 2020, 188, 108–120. [Google Scholar] [CrossRef]
- Takahashi, J.; Kawakami, K.; Kobayashi, Y. Origin of Hydrogen Trapping Site in Vanadium Carbide Precipitation Strengthening Steel. Acta Mater. 2018, 153, 193–204. [Google Scholar] [CrossRef]
- Takamizawa, H.; Hoshi, K.; Shimizu, Y.; Yano, F.; Inoue, K.; Nagata, S.; Shikama, T.; Nagai, Y. Three-Dimensional Characterization of Deuterium Implanted in Silicon Using Atom Probe Tomography. Appl. Phys. Express 2013, 6, 066602. [Google Scholar] [CrossRef]
- Shimizu, Y.; Han, B.; Ebisawa, N.; Ichihashi, Y.; Hashiguchi, T.; Katayama, H.; Matsumoto, M.; Terakawa, A.; Inoue, K.; Nagai, Y. 3D Impurity Profiles of Doped/Intrinsic Amorphous-Silicon Layers Composing Textured Silicon Heterojunction Solar Cells Detected by Atom Probe Tomography. Appl. Phys. Express 2020, 13, 126503. [Google Scholar] [CrossRef]
- Shimizu, Y.; Sai, H.; Matsui, T.; Taki, K.; Hashiguchi, T.; Katayama, H.; Matsumoto, M.; Terakawa, A.; Inoue, K.; Nagai, Y. Crystallite Distribution Analysis Based on Hydrogen Content in Thin-Film Nanocrystalline Silicon Solar Cells by Atom Probe Tomography. Appl. Phys. Express 2020, 14, 016501. [Google Scholar] [CrossRef]
- Yatagai, K.; Shishido, Y.; Gemma, R.; Boll, T.; Uchida, H.H.; Oguri, K. Mechanochemical CO2 Methanation over LaNi-Based Alloys. Int. J. Hydrogen Energy 2020, 45, 5264–5275. [Google Scholar] [CrossRef]
- Gemma, R.; Al-Kassab, T.; Kirchheim, R.; Pundt, A. Analysis of Deuterium in V-Fe5at.% Film by Atom Probe Tomography (APT). J. Alloys Compd. 2011, 509, S872–S876. [Google Scholar] [CrossRef]
- Takahashi, J.; Kawakami, K.; Kobayashi, Y.; Tarui, T. The First Direct Observation of Hydrogen Trapping Sites in TiC Precipitation-Hardening Steel through Atom Probe Tomography. Scr. Mater. 2010, 63, 261–264. [Google Scholar] [CrossRef]
- Chen, Y.S.; Haley, D.; Gerstl, S.S.A.; London, A.J.; Sweeney, F.; Wepf, R.A.; Rainforth, W.M.; Bagot, P.A.J.; Moody, M.P. Direct Observation of Individual Hydrogen Atoms at Trapping Sites in a Ferritic Steel. Science 2017, 355, 1196–1199. [Google Scholar] [CrossRef]
- Chen, Y.S.; Bagot, P.A.J.; Moody, M.P.; Haley, D. Observing Hydrogen in Steel Using Cryogenic Atom Probe Tomography: A Simplified Approach. Int. J. Hydrogen Energy 2019, 44, 32280–32291. [Google Scholar] [CrossRef]
- Stephenson, L.T.; Szczepaniak, A.; Mouton, I.; Rusitzka, K.A.K.; Breen, A.J.; Tezins, U.; Sturm, A.; Vogel, D.; Chang, Y.; Kontis, P.; et al. The Laplace Project: An Integrated Suite for Preparing and Transferring Atom Probe Samples under Cryogenic and UHV Conditions. PLoS ONE 2018, 13, e0209211. [Google Scholar] [CrossRef]
- Felfer, P.; Ott, B.; Monajem, M.; Dalbauer, V.; Heller, M.; Josten, J.; Macaulay, C. An Atom Probe with Ultra-Low Hydrogen Background. Microsc. Microanal. 2022, 28, 1255–1263. [Google Scholar] [CrossRef]
- Gemma, R.; Al-Kassab, T.; Kirchheim, R.; Pundt, A. APT Analyses of Deuterium-Loaded Fe/V Multi-Layered Films. Ultramicroscopy 2009, 109, 631–636. [Google Scholar] [CrossRef]
- Gemma, R. Hydrogen in V-Fe Thin Films and Fe/V-Fe Multi-Layered Thin Films; Cuvillier Verlag Goettingen: Göttingen, Germany, 2011; ISBN 978-3-86955-976-6. [Google Scholar]
- Fromm, E.; Gebhardt, E. Gase Und Kohlenstoff in Metallen; Springer: Berlin/Heidelberg, Germany, 1976; ISBN 9783642809446. [Google Scholar]
- Yagi, E.; Kobayashi, T.; Nakamura, S.; Kano, F.; Watanabe, K.; Fukai, Y.; Koike, S. Direct Evidence of Stress-Induced Site Change of H in V Observed by the Channeling Method. Phys. Rev. B 1986, 33, 5121. [Google Scholar] [CrossRef] [PubMed]
- Pálsson, G.K.; Wälde, M.; Amft, M.; Wu, Y.; Ahlberg, M.; Wolff, M.; Pundt, A.; Hjörvarsson, B. Hydrogen Site Occupancy and Strength of Forces in Nanosized Metal Hydrides. Phys. Rev. B Condens. Matter Mater. Phys. 2012, 85, 195407. [Google Scholar] [CrossRef]
- Johansson, R.; Ahuja, R.; Eriksson, O.; Hjörvarsson, B.; Scheicher, R.H. Effect of Uniaxial Strain on the Site Occupancy of Hydrogen in Vanadium from Density-Functional Calculations. Sci. Rep. 2015, 5, 1–7. [Google Scholar] [CrossRef]
- Birch, J.; Yamamoto, Y.; Hultman, L.; Radnoczi, G.; Sundgren, J.E.; Wallenberg, L.R. Growth and Structural Characterization of Single-Crystal (001) Oriented Mo/V Superlattices. Vacuum 1990, 41, 1231–1233. [Google Scholar] [CrossRef]
- Ivanchenko, V. Fe-V (Iron-Vanadium) Phase Diagram Crystal Structure. Landolt Börnstein 2008, Group IV/5. [Google Scholar] [CrossRef]
- Marquis, E.A.; Vurpillot, F. Chromatic Aberrations in the Field Evaporation Behavior of Small Precipitates. Microsc. Microanal. 2008, 14, 561–570. [Google Scholar] [CrossRef]
- Torres, K.L.; Geiser, B.; Moody, M.P.; Ringer, S.P.; Thompson, G.B. Field Evaporation Behavior in [0 0 1] FePt Thin Films. Ultramicroscopy 2011, 111, 512–517. [Google Scholar] [CrossRef] [PubMed]
- Brons, J.G.; Herzing, A.A.; Henry, K.T.; Anderson, I.M.; Thompson, G.B. Comparison of Atom Probe Compositional Fidelity across Thin Film Interfaces. Thin Solid Film. 2014, 551, 61–67. [Google Scholar] [CrossRef]
- Ziegler, J.F. The Stopping and Range of Ions in Solids/J.F. Ziegler, J.P. Biersack, U. Littmark; Stopping ranges ions matter; v. 1; Pergamon: New York, NY, USA, 1985. [Google Scholar]
- Haasen, P.; Mordike, B.L. Physical Metallurgy; Elsevier: Amsterdam, The Netherlands, 1996. [Google Scholar] [CrossRef]
- Isberg, P.; Granberg, P.; Svedberg, E.B.; Hjörvarsson, B.; Wäppling, R.; Nordblad, P. Structure and Magnetic Properties of Fe/V (110) Superlattices. Phys. Rev. B 1998, 57, 3531. [Google Scholar] [CrossRef]
- Kirchheim, R. Hydrogen Solubility and Diffusivity in Defective and Amorphous Metals. Prog. Mater. Sci. 1988, 32, 261–325. [Google Scholar] [CrossRef]
- Pundt, A.; Kirchheim, R. Hydrogen in Metals: Microstructural Aspects. Annu. Rev. Mater. Res. 2006, 36, 555–608. [Google Scholar] [CrossRef]
- Schober, T.; Wenzl, H. Systems NbH(D), TaH(D), VH(D): Structures, Phase Diagrams, Morphologies, Methods of Preparation. Hydrog. Met 2 1978, 29, 11–71. [Google Scholar] [CrossRef]
- Papathanassopoulos, K.; Wenzl, H. Pressure-Composition Isotherms of Hydrogen and Deuterium in Vanadium Films Measured with a Vibrating Quartz Microbalance. J. Phys. F Met. Phys. 1982, 12, 1369. [Google Scholar] [CrossRef]
- Gemma, R.; Al-Kassab, T.; Kirchheim, R.; Pundt, A. Visualization of Deuterium Dead Layer by Atom Probe Tomography. Scr. Mater. 2012, 67, 903–906. [Google Scholar] [CrossRef]
- Olafsson, S.; Hjörvarsson, B.; Stillesjö, F.; Karlsson, E.; Birch, J.; Sundgren, J.E. Charge Transfer at Interfaces in MoxV1−x/V Superlattices. Phys. Rev. B 1995, 52, 10792. [Google Scholar] [CrossRef]
- Wagner, S.; Pundt, A. Quasi-Thermodynamic Model on Hydride Formation in Palladium–Hydrogen Thin Films: Impact of Elastic and Microstructural Constraints. Int. J. Hydrogen Energy 2016, 41, 2727–2738. [Google Scholar] [CrossRef]
- Lebon, A.; Vega, A.; Mokrani, A. Ab Initio Study of Hydrogen Insertion in Ultrathin Transition Metal Doped v Films: Structural and Electronic Properties. Phys. Rev. B Condens. Matter Mater. Phys. 2010, 81, 094110. [Google Scholar] [CrossRef]
- Shiga, M.; Nakamura, Y. Effect of Local Environment on Formation of Local Moments in BCC Fe-V Alloys: Mossbauer Study. J. Phys. F Met. Phys. 1978, 8, 177. [Google Scholar] [CrossRef]
- Sutton, A.L.; Hume-Rothery, W. CXLI. The Lattice Spacings of Solid Solutions of Titanium, Vanadium, Chromium, Manganese, Cobalt and Nickel in α-Iron. Lond. Edinb. Dublin Philos. Mag. J. Sci. 2010, 46, 1295–1309. [Google Scholar] [CrossRef]
- Lam, D.J.; Van Ostenburg, D.O.; Nevitt, M.V.; Trapp, H.D.; Pracht, D.W. Magnetic Susceptibilities and Nuclear Magnetic Resonance Measurements in V-Fe Alloys. Phys. Rev. 1963, 131, 1428. [Google Scholar] [CrossRef]
- Hanneman, R.E.; Mariano, A.N. Lattice-Parameter and Volumetric Data of Iron-Vanadium System. Trans. Met. Soc. AIME 1964, 230, 937–939. [Google Scholar]
- Martens, H.; Duwez, P. Phase Relationships in the Iron-Chromium-Vanadium System. Trans. ASM 1952, 44, 484–494. [Google Scholar]
- Jeske, T.; Schmitz, G. Influence of the Microstructure on the Interreaction of Al/Ni Investigated by Tomographic Atom Probe. Mater. Sci. Eng. A 2002, 327, 101–108. [Google Scholar] [CrossRef]
















| D2 Pressure [Pa] | Mean D Concentration, cD [D/Me] | |
|---|---|---|
| Expected by EMF 1 | Detected by APT 2 | |
| 0.05 | 0.035 | 0.013(4) |
| 0.2 | 0.053 | 0.05(2) 3 |
| 0.5 | 0.08 | 0.12(5) |
| 2 | 0.15 | 0.13(5) |
| 10 | 0.22 | 0.22(9) |
| 1000 | 0.55 | 0.28(6) |
Publisher’s Note: MDPI stays neutral with regard to jurisdictional claims in published maps and institutional affiliations. |
© 2022 by the authors. Licensee MDPI, Basel, Switzerland. This article is an open access article distributed under the terms and conditions of the Creative Commons Attribution (CC BY) license (https://creativecommons.org/licenses/by/4.0/).
Share and Cite
Gemma, R.; Al-Kassab, T.; Pundt, A. Deuterium Distribution in Fe/V Multi-Layered Films. Molecules 2022, 27, 7848. https://doi.org/10.3390/molecules27227848
Gemma R, Al-Kassab T, Pundt A. Deuterium Distribution in Fe/V Multi-Layered Films. Molecules. 2022; 27(22):7848. https://doi.org/10.3390/molecules27227848
Chicago/Turabian StyleGemma, Ryota, Talaat Al-Kassab, and Astrid Pundt. 2022. "Deuterium Distribution in Fe/V Multi-Layered Films" Molecules 27, no. 22: 7848. https://doi.org/10.3390/molecules27227848
APA StyleGemma, R., Al-Kassab, T., & Pundt, A. (2022). Deuterium Distribution in Fe/V Multi-Layered Films. Molecules, 27(22), 7848. https://doi.org/10.3390/molecules27227848
