Conditions for Shake-Gel Formation: The Relationship between the Size of Poly(Ethylene Oxide) and the Distance between Silica Particles
Abstract
1. Introduction
2. Materials and Methods
2.1. Materials
2.2. Methods
3. Results and Discussion
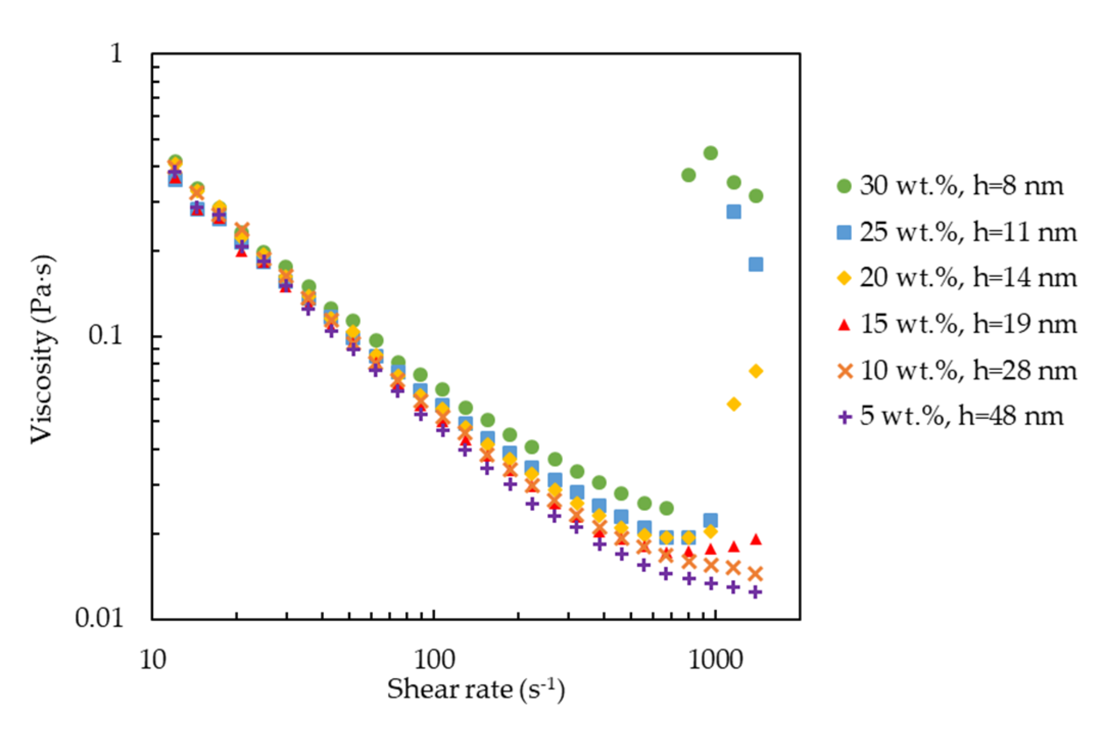
3.1. Some Notes from Previous Findings on the Shake-Gel Formation of Silica-PEO Suspensions
3.2. State Diagram of Silica-PEO Suspensions Consisting of Different PEO Molecular Weights
3.3. State Diagram of Silica-PEO Suspensions under Different Silica Concentrations
3.4. The Gelation of a Silica-PEO Suspension Due to the Relationship between PEO Molecular Weight and Silica Concentration
4. Conclusions
Author Contributions
Funding
Data Availability Statement
Conflicts of Interest
Sample Availability
References
- Ebner, A.D.; Ritter, J.A.; Navratil, J.D. Adsorption of cesium, strontium, and cobalt ions on magnetite and a magnetite—Silica composite. Ind. Eng. Chem. Res. 2001, 40, 1615–1623. [Google Scholar] [CrossRef]
- Canham, L.T. Nanoscale semiconducting silicon as a nutritional food additive. Nanotechnology 2007, 18, 185704. [Google Scholar] [CrossRef]
- Vallet-Regí, M.; Ruiz-González, L.; Izquierdo-Barba, I.; González-Calbet, J.M. Revisiting silica based ordered mesoporous materials: Medical applications. J. Mater. Chem. 2006, 16, 26–31. [Google Scholar] [CrossRef]
- Adachi, Y.; Kobayashi, A.; Kobayashi, M. Structure of colloidal flocs in relation to the dynamic properties of unstable suspension. Int. J. Polym. Sci. 2012, 2012, 574878. [Google Scholar] [CrossRef]
- Koga, T.; Li, C. Shear-Induced network formation in colloid/polymer mixtures: A molecular dynamics study. Nihon Reoroji Gakkaishi 2014, 42, 123–127. [Google Scholar] [CrossRef]
- Kobayashi, M.; Adachi, Y.; Ooi, S. On the steady shear viscosity of coagulated suspensions. Nihon Reoroji Gakkaishi 2000, 28, 143–144. [Google Scholar] [CrossRef]
- Otsubo, Y.; Watanabe, K. Rheological behavior of silica suspensions flocculated by bridging. J. Non-Newton. Fluid Mech. 1987, 24, 265–278. [Google Scholar] [CrossRef]
- Wagner, N.J.; Brady, J.F. Shear thickening in colloidal dispersions. Phys. Today 2009, 62, 27–32. [Google Scholar] [CrossRef]
- Cabane, B.; Wong, K.; Lindner, P.; Lafuma, F. Shear induced gelation of colloidal dispersions. J. Rheol. 1997, 41, 531–547. [Google Scholar] [CrossRef]
- Zebrowski, J.; Prasad, V.; Zhang, W.; Walker, L.M.; Weitz, D.A. Shake-gels: Shear-induced gelation of laponite-PEO mixtures. Colloids Surf. A Physicochem. Eng. Asp. 2003, 213, 189–197. [Google Scholar] [CrossRef]
- Mar Ramos-Tejada, M.; Luckham, P.F. Shaken but not stirred: The formation of reversible particle—Polymer gels under shear. Colloids Surf. A Physicochem. Eng. Asp. 2015, 471, 164–169. [Google Scholar] [CrossRef]
- Saito, Y.; Hirose, Y.; Otsubo, Y. Shear-induced reversible gelation of nanoparticle suspensions flocculated by poly(ethylene oxide). Colloids Surf. A Physicochem. Eng. Asp. 2011, 384, 40–46. [Google Scholar] [CrossRef]
- Shibayama, M.; Kawada, H.; Kume, T.; Matsunaga, T.; Iwai, H.; Sano, T.; Osaka, N.; Miyazaki, S.; Okabe, S.; Endo, H. In situ small-angle neutron scattering and rheological measurements of shear-induced gelation. J. Chem. Phys. 2007, 127, 144507. [Google Scholar] [CrossRef] [PubMed]
- Tian, Q.; Sun, J.; Henderson, M.J.; Huang, X.; Li, N.; Courtois, J.; Almásy, L. Quantitative analysis of the structural relaxation of silica-PEO shake gel by X-ray and light scattering. Polym. Test. 2021, 104, 107391. [Google Scholar] [CrossRef]
- Kawasaki, S.; Kobayashi, M. Affirmation of the effect of pH on shake-gel and shear thickening of a mixed suspension of polyethylene oxide and silica nanoparticles. Colloids Surf. A Physicochem. Eng. Asp. 2018, 537, 236–242. [Google Scholar] [CrossRef]
- Huang, Y.; Kobayashi, M. Direct observation of relaxation of Aqueous Shake-Gel consisting of silica nanoparticles and polyethylene oxide. Polymers 2020, 12, 1141. [Google Scholar] [CrossRef]
- Huang, Y.; Yamaguchi, A.; Pham, T.D.; Kobayashi, M. Charging and aggregation behavior of silica particles in the presence of lysozymes. Colloid Polym. Sci. 2018, 296, 145–155. [Google Scholar] [CrossRef]
- Kobayashi, M.; Skarba, M.; Galletto, P.; Cakara, D.; Borkovec, M. Effects of heat treatment on the aggregation and charging of Stöber-type silica. J. Colloid Interface Sci. 2005, 292, 139–147. [Google Scholar] [CrossRef]
- Laven, J.; Stein, H.N. The electroviscous behavior of aqueous dispersions of amorphous silica (Ludox). J. Colloid Interface Sci. 2001, 238, 8–15. [Google Scholar] [CrossRef]
- Pozzo, D.C.; Walker, L.M. Reversible shear gelation of polymer-clay dispersions. Colloids Surf. A Physicochem. Eng. Asp. 2004, 240, 187–198. [Google Scholar] [CrossRef]
- Collini, H.; Mohr, M.; Luckham, P.; Shan, J.; Russell, A. The effects of polymer concentration, shear rate and temperature on the gelation time of aqueous Silica-Poly(ethylene-oxide) “Shake-gels”. J. Colloid Interface Sci. 2018, 517, 1–8. [Google Scholar] [CrossRef] [PubMed]
- Yamagata, Y.; Miyamoto, K. Gel formation and its relaxation mechanism of shear-induced aqueous suspensions comprised of bentonite and heptaethylene oleyl ether. Colloids Surf. A Physicochem. Eng. Asp. 2021, 624, 126786. [Google Scholar] [CrossRef]
- Székely, G.; Schaepertoens, M.; Gaffney, P.R.J.; Livingston, A.G. Beyond PEG2000: Synthesis and functionalisation of monodisperse pegylated homostars and clickable bivalent polyethyleneglycols. Chem.-A Eur. J. 2014, 20, 10038–10051. [Google Scholar] [CrossRef]
- Can, V.; Okay, O. Shake gels based on Laponite-PEO mixtures: Effect of polymer molecular weight. Des. Monomers Polym. 2005, 8, 453–462. [Google Scholar] [CrossRef]
- Kamibayashi, M.; Ogura, H.; Otsubo, Y. Shear-thickening flow of nanoparticle suspensions flocculated by polymer bridging. J. Colloid Interface Sci. 2008, 321, 294–301. [Google Scholar] [CrossRef]
- Gaharwar, A.K.; Kishore, V.; Rivera, C.; Bullock, W.; Wu, C.J.; Akkus, O.; Schmidt, G. Physically Crosslinked Nanocomposites from Silicate-Crosslinked PEO: Mechanical Properties and Osteogenic Differentiation of Human Mesenchymal Stem Cells. Macromol. Biosci. 2012, 12, 779–793. [Google Scholar] [CrossRef] [PubMed]
- Woodcock, L. Developments in the non-Newtonian rheology of glass forming systems. In Molecular Dynamics and Relaxation Phenomena in Glasses; Dorfmuller, T., Williams, G., Eds.; Springer: Berlin/Heidelberg, Germany, 1987; pp. 113–124. [Google Scholar] [CrossRef]
- Van der Beek, G.P.; Cohen Stuart, M.A. The hydrodynamic thickness of adsorbed polymer layers measured by dynamic light scattering: Effects of polymer concentration and segmental binding strength. J. Phys. 1988, 49, 1449–1454. [Google Scholar] [CrossRef]
- Geonzon, L.C.; Kobayashi, M.; Sugimoto, T.; Adachi, Y. Study on the kinetics of adsorption of poly(ethylene oxide) onto a silica particle using optical tweezers and microfluidics. Colloids Surf. A Physicochem. Eng. Asp. 2022, 642, 128691. [Google Scholar] [CrossRef]
- Pozzo, D.C.; Hollabaugh, K.R.; Walker, L.M. Rheology and phase behavior of copolymer-templated nanocomposite materials. J. Rheol. 2005, 49, 759–782. [Google Scholar] [CrossRef]





Publisher’s Note: MDPI stays neutral with regard to jurisdictional claims in published maps and institutional affiliations. |
© 2022 by the authors. Licensee MDPI, Basel, Switzerland. This article is an open access article distributed under the terms and conditions of the Creative Commons Attribution (CC BY) license (https://creativecommons.org/licenses/by/4.0/).
Share and Cite
Huang, Y.; Sato, S.; Kobayashi, M. Conditions for Shake-Gel Formation: The Relationship between the Size of Poly(Ethylene Oxide) and the Distance between Silica Particles. Molecules 2022, 27, 7770. https://doi.org/10.3390/molecules27227770
Huang Y, Sato S, Kobayashi M. Conditions for Shake-Gel Formation: The Relationship between the Size of Poly(Ethylene Oxide) and the Distance between Silica Particles. Molecules. 2022; 27(22):7770. https://doi.org/10.3390/molecules27227770
Chicago/Turabian StyleHuang, Yi, Shunsuke Sato, and Motoyoshi Kobayashi. 2022. "Conditions for Shake-Gel Formation: The Relationship between the Size of Poly(Ethylene Oxide) and the Distance between Silica Particles" Molecules 27, no. 22: 7770. https://doi.org/10.3390/molecules27227770
APA StyleHuang, Y., Sato, S., & Kobayashi, M. (2022). Conditions for Shake-Gel Formation: The Relationship between the Size of Poly(Ethylene Oxide) and the Distance between Silica Particles. Molecules, 27(22), 7770. https://doi.org/10.3390/molecules27227770

