Silver-Catalyzed Cascade Cyclization of Amino-NH-1,2,3-Triazoles with 2-Alkynylbenzaldehydes: An Access to Pentacyclic Fused Triazoles
Abstract
1. Introduction
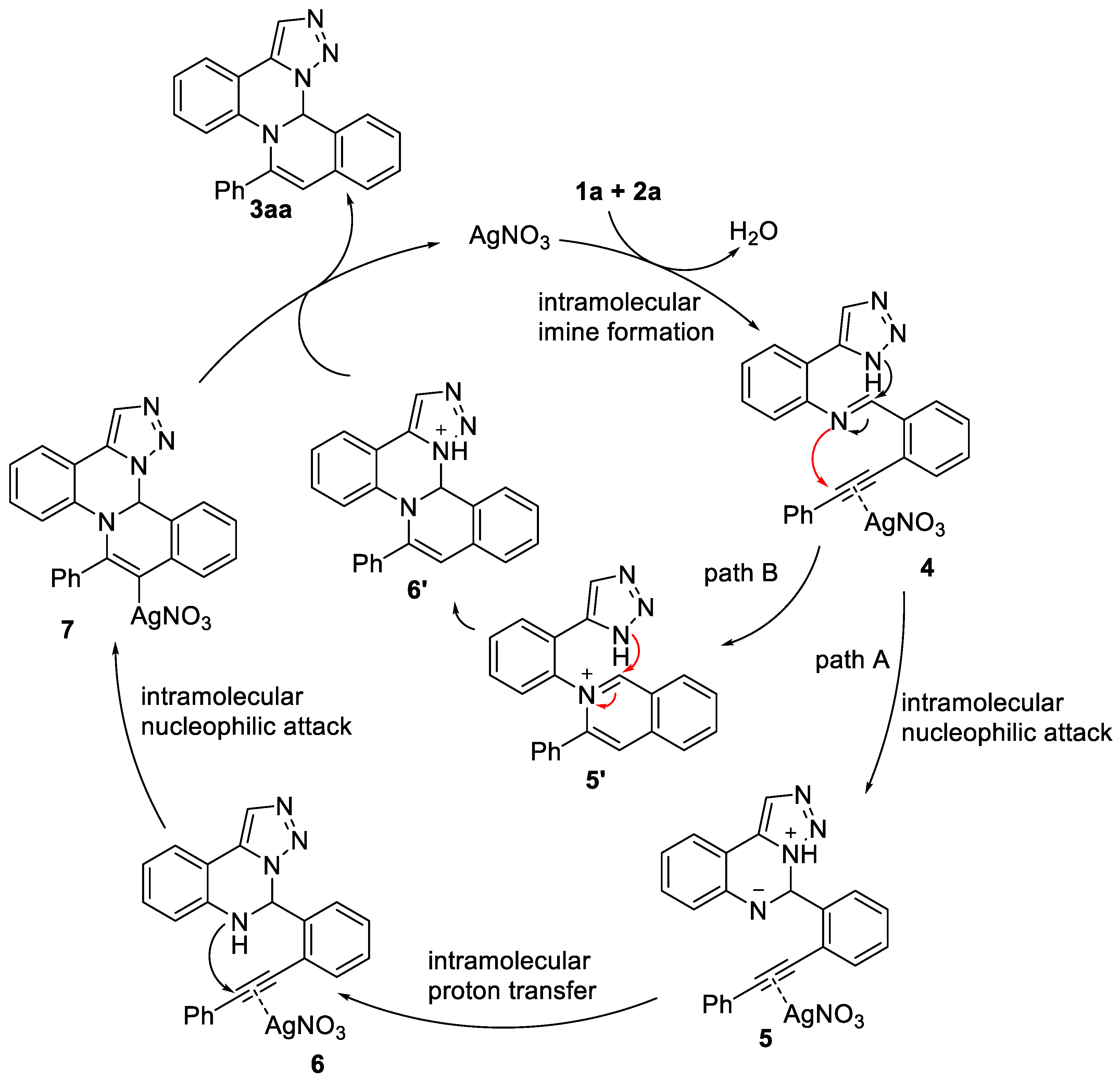
2. Results and Discussion
3. Materials and Methods
3.1. Synthesis of Various Substituted 2-(1H-1,2,3-Triazol-5-yl) Aniline (Take 1a as An Example) [81,82]
3.2. Synthesis of Various Substituted 2-(Phenylethynyl)benzaldehyde (Take 2a as An Example) [83]
3.3. General Procedure for Synthesis Pentacyclic Fused Triazoles (Take 3aa as An Example)
4. Conclusions
Supplementary Materials
Author Contributions
Funding
Institutional Review Board Statement
Informed Consent Statement
Data Availability Statement
Conflicts of Interest
Sample Availability
References
- Dheer, D.; Singh, V.; Shankar, R. Medicinal attributes of 1,2,3-triazoles: Current developments. Bioorg. Chem. 2017, 71, 30–54. [Google Scholar] [CrossRef] [PubMed]
- Tomasic, T.; Rabbani, S.; Jakob, R.P.; Reisner, A.; Jakopin, Z.; Maier, T.; Ernst, B.; Anderluh, M. Does targeting Arg98 of FimH lead to high affinity antagonists? Eur. J. Med. Chem. 2021, 211, 113093–113108. [Google Scholar] [CrossRef] [PubMed]
- Giffin, M.J.; Heaslet, H.; Brik, A.; Lin, Y.-C.; Cauvi, G.; Wong, C.-H.; McRee, D.E.; Elder, J.H.; Stout, C.D.; Torbett, B.E. A copper(I)-catalyzed 1,2,3-triazole azide-alkyne click compound is a potent inhibitor of a multidrug-resistant HIV-1 protease variant. J. Med. Chem. 2008, 51, 6263–6270. [Google Scholar] [CrossRef] [PubMed]
- Othman, E.M.; Fayed, E.A.; Husseiny, E.M.; Abulkhair, H.S. Apoptosis induction, PARP-1 inhibition, and cell cycle analysis of leukemia cancer cells treated with novel synthetic 1,2,3-triazole-chalcone conjugates. Bioorg. Chem. 2022, 123, 105762–105776. [Google Scholar] [CrossRef] [PubMed]
- Sun, L.; Huang, T.; Dick, A.; Meuser, M.E.; Zalloum, W.A.; Chen, C.-H.; Ding, X.; Gao, P.; Cocklin, S.; Lee, K.-H.; et al. Design, synthesis and structure-activity relationships of 4-phenyl-1H-1,2,3-triazole phenylalanine derivatives as novel HIV-1 capsid inhibitors with promising antiviral activities. Eur. J. Med. Chem. 2020, 190, 112085–112104. [Google Scholar] [CrossRef]
- Xiao, L.; Shi, D.A. Convenient synthesis of 3-[substituted pyridyl(or thiazolyl)methyl]-1,2,3-triazolo[4,5-d]pyrimidin-7-one via the tandem aza-Wittig reaction and their herbicidal activity. Chin. J. Org. Chem. 2010, 30, 85–91. [Google Scholar]
- Franco, C.A.; da Silva, T.I.; Dias, M.G.; Ferreira, B.W.; de Sousa, B.L.; Bousada, G.M.; Barreto, R.W.; Vaz, B.G.; Lima, G.S.; Santos, M.H.D.; et al. Synthesis of tyrosol 1,2,3-triazole derivatives and their phytotoxic activity against Euphorbia heterophylla. J. Agric. Food Chem. 2022, 70, 2806–2816. [Google Scholar] [CrossRef]
- Taggert, B.I.; Walker, C.; Chen, D.; Wille, U. Substituted 1,2,3-triazoles: A new class of nitrification inhibitors. Sci. Rep. 2021, 11, 14980–14991. [Google Scholar] [CrossRef]
- Chen, Z.; Jiang, Y.; Xu, C.; Sun, X.; Ma, C.; Xia, Z.; Zhao, H. Oleanane-type triterpene conjugates with 1H-1,2,3-triazole possessing of fungicidal activity. Molecules 2022, 27, 4928. [Google Scholar] [CrossRef]
- Venugopala, K.N.; Shinu, P.; Tratrat, C.; Deb, P.K.; Gleiser, R.M.; Chandrashekharappa, S.; Chopra, D.; Attimarad, M.; Nair, A.B.; Sreeharsha, N.; et al. 1,2,3-Triazolyl-tetrahydropyrimidine conjugates as potential sterol carrier protein-2 inhibitors: Larvicidal activity against the malaria vector anopheles arabiensis and in silico molecular docking study. Molecules 2022, 27, 2676. [Google Scholar] [CrossRef]
- Lee, K.; Campbell, J.; Swoboda, J.G.; Cuny, G.D.; Walker, S. Development of improved inhibitors of wall teichoic acid biosynthesis with potent activity against Staphylococcus aureus. Bioorg. Med. Chem. Lett. 2010, 20, 1767–1770. [Google Scholar] [CrossRef] [PubMed]
- Mohammed, H.H.H.; Abd El-Hafeez, A.A.; Ebeid, K.; Mekkawy, A.I.; Abourehab, M.A.S.; Wafa, E.I.; Alhaj-Suliman, S.O.; Salem, A.K.; Ghosh, P.; Abuo-Rahma, G.E.A.; et al. New 1,2,3-triazole linked ciprofloxacin-chalcones induce DNA damage by inhibiting human topoisomerase I& II and tubulin polymerization. J. Enzym. Inhib. Med. Chem. 2022, 37, 1346–1363. [Google Scholar]
- Felipe, J.L.; Cassamale, T.B.; Lourenco, L.D.; Carvalho, D.B.; das Neves, A.R.; Duarte, R.C.F.; Carvalho, M.G.; Toffoli-Kadri, M.C.; Baroni, A.C.M. Anti-inflammatory, ulcerogenic and platelet activation evaluation of novel 1,4-diaryl-1,2,3-triazole neolignan-celecoxib hybrids. Bioorg. Chem. 2022, 119, 105485–105503. [Google Scholar] [CrossRef] [PubMed]
- Albayrak, F.; Çiçek, M.; Alkaya, D.; Kulu, I. Design, synthesis and biological evaluation of 8-aminoquinoline-1,2,3-triazole hybrid derivatives as potential antimicrobial agents. Med. Chem. Res. 2022, 31, 652–665. [Google Scholar] [CrossRef]
- Dong, Y.; Hu, X.; Duan, C.; Liu, P.; Liu, S.; Lan, L.; Chen, D.; Ying, L.; Su, S.; Gong, X.; et al. A series of new medium-bandgap conjugated polymers based on naphtho[1,2-c:5,6-c]bis(2-octyl-[1,2,3]triazole) for high-performance polymer solar cells. Adv. Mater. 2013, 25, 3683–3688. [Google Scholar] [CrossRef]
- Helms, B.; Mynar, J.L.; Hawker, C.J.; Fréchet, J.M.J. Dendronized linear polymers via “click chemistry”. J. Am. Chem. Soc. 2004, 126, 15020–15021. [Google Scholar] [CrossRef]
- Wu, P.; Feldman, A.K.; Nugent, A.K.; Hawker, C.J.; Scheel, A.; Voit, B.; Pyun, J.; Frechet, J.M.J.; Sharpless, K.B.; Fokin, V.V. Efficiency and fidelity in a click-chemistry route to triazole dendrimers by the copper(I)-catalyzed ligation of azides and alkynes. Angew. Chem. Int. Ed. 2004, 43, 3928–3932. [Google Scholar] [CrossRef]
- Thottempudi, V.; Yin, P.; Zhang, J.; Parrish, D.A.; Shreeve, J.M. 1,2,3-Triazolo[4,5,-e]furazano[3,4,-b]pyrazine 6-oxide-a fused heterocycle with a roving hydrogen forms a new class of insensitive energetic materials. Chem. Eur. J. 2014, 20, 542–548. [Google Scholar] [CrossRef]
- Nguyen, D.T.H.; Belanger-Bouliga, M.; Shultz, L.R.; Maity, A.; Jurca, T.; Nazemi, A. Robust water-soluble gold nanoparticles via polymerized mesoionic N-heterocyclic carbene-gold(I) complexes. Chem. Mater. 2021, 33, 9588–9600. [Google Scholar] [CrossRef]
- Zhou, J.; Lei, P.; Geng, Y.; He, Z.; Li, X.; Zeng, Q.; Tang, A.; Zhou, E. A linear 2D-conjugated polymer based on 4,8-bis(4-chloro-5-tripropylsilyl-thiophen-2-yl)benzo [1,2-b:4,5-b’]dithiophene (BDT-T-SiCl) for low voltage loss organic photovoltaics. J. Mater. Chem. A 2022, 10, 9869–9877. [Google Scholar] [CrossRef]
- Rostovtsev, V.V.; Green, L.G.; Fokin, V.V.; Sharpless, K.B. A stepwise Huisgen cycloaddition process: Copper(Ⅰ)-catalyzed regioselective “ligation” of azides and terminal alkynes. Angew. Chem. Int. Ed. 2002, 41, 2596–2599. [Google Scholar] [CrossRef]
- Meldal, M.; Tornøe, C.W. Cu-catalyzed azide-alkyne cycloaddition. Chem. Rev. 2008, 108, 2952–3015. [Google Scholar] [CrossRef] [PubMed]
- Saroha, B.; Kumar, G.; Kumar, R.; Kumari, M.; Kumar, S. A minireview of 1,2,3-triazole hybrids with O-heterocycles as leads in medicinal chemistry. Chem. Biol. Drug Des. 2021, 2021, 1–27. [Google Scholar] [CrossRef]
- Zhang, S.; Xu, Z.; Gao, C.; Ren, Q.-C.; Chang, L.; Lv, Z.-S.; Feng, L.S. Triazole derivatives and their anti-tubercular activity. Eur. J. Med. Chem. 2017, 138, 501–513. [Google Scholar] [CrossRef]
- Nagesh, H.N.; Naidu, K.M.; Rao, D.H.; Sridevi, J.P.; Sriram, D.; Yogeeswari, P.; Sekhar, K.V.G.C. Design, synthesis and evaluation of 6-(4-((substituted-1H-1,2,3-triazol-4-yl)methyl)piperazin-1-yl)phenanthridine analogues as antimycobacterial agents. Bioorg. Med. Chem. Lett. 2013, 23, 6805–6810. [Google Scholar] [CrossRef] [PubMed]
- Giacobbe, D.R.; Bassetti, M.; De Rosa, F.G.; Del Bono, V.; Grossi, P.A.; Menichetti, F.; Pea, F.; Rossolini, G.M.; Tumbarello, M.; Viale, P.; et al. Ceftolozane/tazobactam: Place in therapy. Expert Rev. Anti Infect. Ther. 2018, 16, 307–320. [Google Scholar] [CrossRef]
- Forezi, L.D.M.; Lima, C.G.S.; Amaral, A.A.P.; Ferreira, P.G.; de Souza, M.C.B.V.; Cunha, A.C.; da Silva, F.D.; Ferreira, V.F. Bioactive 1,2,3-triazoles: An account on their synthesis, structural diversity and biological applications. Chem. Rec. 2021, 21, 2782–2807. [Google Scholar] [CrossRef]
- Ju, R.; Guo, L.; Li, J.; Zhu, L.; Yu, X.; Chen, C.; Chen, W.; Ye, C.; Zhang, D. Carboxyamidotriazole inhibits oxidative phosphorylation in cancer cells and exerts synergistic anti-cancer effect with glycolysis inhibition. Cancer Lett. 2016, 370, 232–241. [Google Scholar] [CrossRef]
- Bonandi, E.; Christodoulou, M.S.; Fumagalli, G.; Perdicchia, D.; Rastelli, G.; Passarella, D. The 1,2,3-triazole ring as a bioisostere in medicinal chemistry. Drug Discov. Today 2017, 22, 1572–1581. [Google Scholar] [CrossRef]
- Al-Azmi, A.; George, P.; El-Dusouqui, O.M.E. Alkylation of azoles: Synthesis of new heterocyclic-based AT1-non-peptide angiotensin (II) receptor antagonists. J. Heterocycl. Chem. 2007, 44, 515–520. [Google Scholar] [CrossRef]
- Shukla, N.M.; Malladi, S.S.; Mutz, C.A.; Balakrishna, R.; David, S.A. Structure-activity relationships in human toll-like receptor 7-active Imidazoquinoline analogues. J. Med. Chem. 2010, 53, 4450–4465. [Google Scholar] [CrossRef] [PubMed]
- Stivanin, M.L.; Fernandes, A.A.G.; da Silva, A.F.; Okada, C.Y.; Jurberg, I.D. Blue light-promoted N-H Insertion of carbazoles, pyrazoles and 1,2,3-triazoles into aryldiazoacetates. Adv. Synth. Catal. 2020, 362, 1106–1111. [Google Scholar] [CrossRef]
- Ueda, S.; Su, M.; Buchwald, S.L. Highly N2-selective palladium-catalyzed arylation of 1,2,3-triazoles. Angew. Chem. Int. Ed. 2011, 50, 8944–8947. [Google Scholar] [CrossRef] [PubMed]
- Wen, J.; Zhu, L.-L.; Bi, Q.-W.; Shen, Z.-Q.; Li, X.-X.; Li, X.; Wang, Z.; Chen, Z. Highly N2-selective coupling of 1,2,3-triazoles with indole and pyrrole. Chem. Eur. J. 2014, 20, 974–978. [Google Scholar] [CrossRef]
- Tang, S.; Yu, J.; Shao, Y.; Sun, J. Scandium-catalyzed highly selective N2-alkylation of benzotriazoles with cyclohexanones. Org. Chem. Front. 2021, 8, 278–282. [Google Scholar] [CrossRef]
- Berthold, D.; Breit, B. Chemo-, regio-, and enantioselective rhodium-catalyzed allylation of triazoles with internal alkynes and terminal allenes. Org. Lett. 2018, 20, 598–601. [Google Scholar] [CrossRef]
- Bhagat, U.K.; Peddinti, R.K. Asymmetric organocatalytic approach to 2,4-disubstituted 1,2,3-triazoles by N2-selective aza-Michael addition. J. Org. Chem. 2018, 83, 793–804. [Google Scholar] [CrossRef]
- Wang, T.; Tang, Z.; Luo, H.; Tian, Y.; Xu, M.; Lu, Q.; Li, B. Access to (Z)-β-substituted enamides from N1-H-1,2,3-Triazoles. Org. Lett. 2021, 23, 6293–6298. [Google Scholar] [CrossRef]
- Zhu, L.-L.; Xu, X.-Q.; Shi, J.-W.; Chen, B.-L.; Chen, Z. N2-Selective iodofunctionalization of olefins with NH-1,2,3-triazoles to provide N2-alkyl-substituted 1,2,3-triazoles. J. Org. Chem. 2016, 81, 3568–3575. [Google Scholar] [CrossRef]
- Chao, Z.; Ma, M.; Gu, Z. Cu-catalyzed site-selective and enantioselective ring opening of cyclic diaryliodoniums with 1,2,3-triazoles. Org. Lett. 2020, 22, 6441–6446. [Google Scholar] [CrossRef]
- Motornov, V.; Beier, P. Access to fluoroalkylated azoles and 2-acylaminoketones via fluorinated anhydride-mediated cleavage of NH-1,2,3-triazoles. Org. Lett. 2022, 24, 1958–1963. [Google Scholar] [CrossRef] [PubMed]
- D’Andrea, S.V.; Ghosh, A.; Wang, W.; Freeman, J.P.; Szmuszkovicz, J. 1,2,3-Triazoles from (Z)-β-(formyloxy)vinyl azides and triethyl phosphite. J. Org. Chem. 1991, 56, 2680–2684. [Google Scholar] [CrossRef]
- Suzuki, H.; Nakaya, C.; Matano, Y. Photochemical azido ligand transfer reaction of a triarylbismuth diazide with alkynes. Tetrahedron Lett. 1993, 34, 1055–1056. [Google Scholar] [CrossRef]
- Barluenga, J.; Valdes, C.; Beltran, G.; Escribano, M.; Aznar, F. Developments in Pd catalysis: Synthesis of 1H-1,2,3-triazoles from sodium azide and alkenyl bromides. Angew. Chem. Int. Ed. 2006, 45, 6893–6896. [Google Scholar] [CrossRef] [PubMed]
- Gao, F.; Bai, R.; Li, M.; Gu, Y. Dipolar HCP materials as alternatives to DMF solvent for azide-based synthesis. Green Chem. 2021, 23, 7499–7505. [Google Scholar] [CrossRef]
- Jankovi, D.; Virant, M.; Gazvoda, M. Copper-catalyzed azide-alkyne cycloaddition of hydrazoic acid formed in situ from sodium azide affords 4-monosubstituted-1,2,3-triazoles. J. Org. Chem. 2022, 87, 4018–4028. [Google Scholar] [CrossRef]
- Liu, L.; Ai, Y.; Li, D.; Qi, L.; Zhou, J.; Tang, Z.; Shao, Z.; Liang, Q.; Sun, H.-B. Recyclable acid-base bifunctional core-shell-shell nanosphere catalyzed synthesis of 5-aryl-NH-1,2,3-triazoles via “one-pot” cyclization of aldehyde, nitromethane and NaN3. ChemCatChem 2017, 9, 3131–3137. [Google Scholar] [CrossRef]
- Gu, C.-X.; Bi, Q.-W.; Gao, C.-K.; Wen, J.; Zhao, Z.-G.; Chen, Z. Post-synthetic modification of tryptophan containing peptides via NIS mediation. Org. Biomol. Chem. 2017, 15, 3396–3400. [Google Scholar] [CrossRef]
- Duan, H.; Yan, W.; Sengupta, S.; Shi, X. Highly efficient synthesis of vinyl substituted triazoles by Au(I) catalyzed alkyne activation. Bioorg. Med. Chem. Lett. 2009, 19, 3899–3902. [Google Scholar] [CrossRef]
- Man, X.J.A.T.R.H.; Liu, Y.C.; Li, X.X.; Zhao, Z.G. Highly N2-selective allylation of NH-1,2,3-triazoles with allenamides mediated by N-iodosuccinimide. New J. Chem. 2019, 43, 14739–14746. [Google Scholar] [CrossRef]
- Rai, V.; Kavyashree, P.; Harmalkar, S.S.; Dhuri, S.N.; Maddani, M.R. 1,6-Addition of 1,2,3-NH triazoles to para-quinone methides: Facile access to highly selective N1 and N2 substituted triazoles. Org. Biomol. Chem. 2022, 20, 345–351. [Google Scholar] [CrossRef] [PubMed]
- Bhagat, U.K.; Peddinti, R.K. Regiospecific aza-Michael addition of 4-aryl-1H-1,2,3-triazoles to chalcones: Synthesis of 2,4-disubstituted 1,2,3-triazoles in basic medium. Synlett 2018, 29, 99–105. [Google Scholar]
- Bhagat, U.K.; Kamaluddin Peddinti, R.K. DABCO-mediated aza-Michael addition of 4-aryl-1H-1,2,3-triazoles to cycloalkenones: Regioselective synthesis of disubstituted 1,2,3-triazoles. Tetrahedron Lett. 2017, 58, 298–301. [Google Scholar] [CrossRef]
- Zhu, L.-L.; Tian, L.; Cai, B.; Liu, G.; Zhang, H.; Wang, Y. Diamine-mediated N2-selective β-selenoalkylation of triazoles with alkenes. Chem. Commun. 2020, 56, 2979–2982. [Google Scholar] [CrossRef] [PubMed]
- Bhagat, U.K.; Kamaluddin Peddinti, R.K. Base-mediated ring opening of meso-epoxides with 4-aryl-NH-1,2,3-triazoles: Synthesis of trans-2-(aryltriazolyl)cycloalkanols. Synthesis 2017, 49, 3985–3997. [Google Scholar] [CrossRef][Green Version]
- Deng, X.; Lei, X.; Nie, G.; Jia, L.; Li, Y.; Chen, Y. Copper-catalyzed cross-dehydrogenative N2-coupling of NH-1,2,3-triazoles with N, N-dialkylamides: N-Amidoalkylation of NH-1,2,3-triazoles. J. Org. Chem. 2017, 82, 6163–6171. [Google Scholar] [CrossRef]
- Yao, W.; Liao, T.; Tuguldur, O.; Zhong, C.; Petersen, L.J.; Shi, X. Mitsunobu reaction of 1,2,3-NH-triazoles: A regio- and stereoselective approach to functionalized triazole derivatives. Chem. Asian J. 2011, 6, 2720–2724. [Google Scholar]
- Reddy, R.J.; Shankar, A.; Waheed, M.; Nanubolu, J.B. Metal-free, highly regioselective sulfonylation of NH-1,2,3-triazoles with sodium sulfinates and thiosulfonates. Tetrahedron Lett. 2018, 59, 2014–2017. [Google Scholar] [CrossRef]
- Wang, C.; Ji, X.; Deng, G.-J.; Huang, H. Copper-catalyzed three-component N-alkylation of quinazolinones and azoles. Org. Biomol. Chem. 2022, 20, 1200–1204. [Google Scholar] [CrossRef]
- Desai, S.P.; Zambri, M.T.; Taylor, M.S. Borinic acid catalyzed regioselective N-alkylation of azoles. J. Org. Chem. 2022, 87, 5385–5394. [Google Scholar] [CrossRef]
- Duan, S.; Chen, Y.; Meng, H.; Shan, L.; Xu, Z.-F.; Li, C.Y. Synthesis of [1,2,3]-triazolo[5,1-a]-isoquinolines through TBAF-promoted cascade reactions. Asian J. Org. Chem. 2021, 10, 224–232. [Google Scholar] [CrossRef]
- Chen, Y.; Zhou, S.; Ma, S.; Liu, W.; Pan, Z.; Shi, X. A facile synthesis of 5-amino-[1,2,3]triazolo[5,1-a]-isoquinoline derivatives through copper-catalyzed cascade reactions. Org. Biomol. Chem. 2013, 11, 8171–8174. [Google Scholar] [CrossRef] [PubMed]
- Du, W.; Huang, H.; Xiao, T.; Jiang, Y. Metal-free, visible-light promoted intramolecular azole C-H bond amination using catalytic amount of I2: A route to 1,2,3-triazolo[1,5-a]quinazolin-5(4H)-ones. Adv. Synth. Catal. 2020, 362, 5124–5129. [Google Scholar] [CrossRef]
- Xie, Y.-Y.; Wang, Y.-C.; He, Y.; Hu, D.-C.; Wang, H.-S.; Pan, Y.-M. Catalyst-free synthesis of fused 1,2,3-triazole and isoindoline derivatives via an intramolecular azide-alkene cascade reaction. Green Chem. 2017, 19, 656–659. [Google Scholar] [CrossRef]
- Liu, Y.; Zhang, W.; Xie, K.; Jiang, Y. Silver-catalyzed intramolecular C(5)-H acyloxylation of 1,4-disubstituted 1,2,3-triazoles. Synlett 2017, 28, 1496–1500. [Google Scholar]
- Wang, J.; Yang, J.; Fu, X.; Qin, G.; Xiao, T.; Jiang, Y. Synthesis of triazole-fused phenanthridines through Pd-catalyzed intramolecular phenyl C-H activation of 1,5-diaryl-1,2,3-triazoles. Synlett 2019, 30, 1452–1456. [Google Scholar] [CrossRef]
- Yang, J.; Xiong, S.; Ren, Y.; Xiao, T.; Jiang, Y. Copper-catalyzed cross-coupling and sequential allene-mediated cyclization for the synthesis of 1,2,3-triazolo[1,5-a]quinolines. Org. Biomol. Chem. 2020, 18, 7174–7182. [Google Scholar] [CrossRef]
- Ma, X.; Li, H.; Xin, H.; Du, W.; Anderson, E.A.; Dong, X.; Jiang, Y. Copper-catalyzed intramolecular C-H alkoxylation of diaryltriazoles: Synthesis of tricyclic triazole benzoxazines. Org. Lett. 2020, 22, 5320–5325. [Google Scholar] [CrossRef]
- Rawat, M.; Taniike, T.; Rawat, D.S. Magnetically separable Fe3O4@poly(m-phenylenediamine)@Cu2O nanocatalyst for the facile synthesis of 5-phenyl-[1,2,3]triazolo[1,5-c]quinazolines. ChemCatChem 2022, 14, e202101926. [Google Scholar] [CrossRef]
- Jia, F.-C.; Xu, C.; Zhou, Z.-W.; Cai, Q.; Li, D.-K.; Wu, A.-X. Consecutive cycloaddition/SNAr/reduction/cyclization/oxidation sequences: A Copper-catalyzed multicomponent synthesis of fused N-Heterocycles. Org. Lett. 2015, 17, 2820–2823. [Google Scholar] [CrossRef]
- Mishra, M.; Twardy, D.; Ellstrom, C.; Wheeler, K.A.; Dembinski, R.; Török, B. Catalyst-free ambient temperature synthesis of isoquinoline-fused benzimidazoles from 2-alkynylbenzaldehydes via alkyne hydroamination. Green Chem. 2019, 21, 99–108. [Google Scholar] [CrossRef]
- Verma, A.K.; Choudhary, D.; Saunthwal, R.K.; Rustagi, V.; Patel, M.; Tiwari, R.K. On water: Silver-catalyzed domino approach for the synthesis of benzoxazine/oxazine-fused isoquinolines and naphthyridines from o-alkynyl aldehydes. J. Org. Chem. 2013, 78, 6657–6669. [Google Scholar] [CrossRef]
- Rustagi, V.; Tiwari, R.; Verma, A.K. AgI-catalyzed cascade strategy: Regioselective access to diversely substituted fused benzimidazo[2,1-a]isoquinolines, naphthyridines, thienopyridines, and quinoxalines in water. Eur. J. Org. Chem. 2012, 2012, 4590–4602. [Google Scholar] [CrossRef]
- Sonawane, A.D.; Shaikh, Y.B.; Garud, D.R.; Koketsu, M. Synthesis of isoquinoline-fused quinazolinones through Ag(I)-catalyzed cascade annulation of 2-aminobenzamides and 2-alkynylbenzaldehydes. Synthesis 2019, 51, 500–507. [Google Scholar]
- Jiang, B.; Zhou, Y.; Kong, Q.; Jiang, H.; Liu, H.; Li, J. ‘One-pot’ synthesis of dihydrobenzo[4,5][1,3]oxazino[2,3-a] isoquinolines via a silver(I)-catalyzed cascade approach. Molecules 2013, 18, 814–831. [Google Scholar] [CrossRef]
- Patil, N.T.; Konala, A.; Sravanti, S.; Singh, A.; Ummanni, R.; Sridhar, B. Electrophile induced branching cascade: A powerful approach to access various molecular scaffolds and their exploration as novel anti-mycobacterial agents. Chem. Commun. 2013, 49, 10109–10111. [Google Scholar] [CrossRef][Green Version]
- Zhao, Y.-H.; Li, Y.; Guo, T.; Tang, Z.; Deng, K.; Zhao, G. CuI-Catalyzed domino reactions for the synthesis of benzoxazine-fused isoquinlines under microwave irradiation. Synth. Commun. 2016, 46, 355–360. [Google Scholar] [CrossRef]
- Patil, N.T.; Mutyala, A.K.; Lakshmi, P.G.V.V.; Raju, P.V.K.; Sridhar, B. Facile assembly of fused isoquinolines by gold(I)-catalyzed coupling-cyclization reactions between o-alkynylbenzaldehydes and aromatic amines containing tethered nucleophiles. Eur. J. Org. Chem. 2010, 2010, 1999–2007. [Google Scholar] [CrossRef]
- Li, Y.; Zhao, Y.; Luo, M.; Tang, Z.; Cao, C.; Deng, K. Synthesis of isoquinolines derivatives from o-alkynyl aldehydes. Chin. J. Org. Chem. 2016, 36, 2504–2509. [Google Scholar] [CrossRef][Green Version]
- See the Supporting Information for Details. CCDC: 2133327 (3aa) Contain the Supplementary Crystallographic Data for This Paper. These Data Can Be Obtained Free of Charge from The Cambridge Crystallographic Data Centre. Available online: www.ccdc.cam.ac.uk/data_request/cif (accessed on 9 January 2022).
- Li, H.-H.; Ye, S.-H.; Chen, Y.-B.; Luo, W.-F.; Qian, P.-C.; Ye, L.-W. Efficient and divergent synthesis of medium-sized lactams through zinc-catalyzed oxidative cyclization of indoly ynamides. Chin. J. Chem. 2020, 38, 263–268. [Google Scholar] [CrossRef]
- Röhrig, U.F.; Majjigapu, S.R.; Grosdidier, A.; Bron, S.; Stroobant, V.; Pilotte, L.; Colau, D.; Vogel, P.; den Eynde, B.J.V.; Zoete, V.; et al. Rational design of 4-aryl-1,2,3-triazoles for indoleamine 2,3-dioxygenase 1 inhibition. J. Med. Chem. 2012, 55, 5270–5290. [Google Scholar] [CrossRef] [PubMed]
- Dai, G.-X.; Larock, R.C. Synthesis of 3,4-disubstituted isoquinolines via palladium-catalyzed cross-coupling of o-(1-alkynyl)benzaldimines and organic halides. Org. Lett. 2001, 3, 4035–4038. [Google Scholar] [CrossRef] [PubMed]








| Entry | Sol. (x mL) | Temp. (°C) | Cat. (x mol%) | Yield (%) b |
|---|---|---|---|---|
![]() | ||||
| 1 | DMF (2) | 80 | AgNO3 (10) | 82 |
| 2 | Toluene (2) | 80 | AgNO3 (10) | trace |
| 3 | DCE (2) | 80 | AgNO3 (10) | 79 |
| 4 | MeCN (2) | 80 | AgNO3 (10) | 70 |
| 5 | DMSO (2) | 80 | AgNO3 (10) | 74 |
| 6 | DMF (2) | 60 | AgNO3 (10) | 74 |
| 7 | DMF (2) | 100 | AgNO3 (10) | 75 |
| 8 | DMF (2) | 120 | AgNO3 (10) | 70 |
| 9 | DMF (2) | 80 | AgOTf (10) | 76 |
| 10 | DMF (2) | 80 | Ag2O (10) | ND |
| 11 | DMF (2) | 80 | Ag2CO3 (10) | ND |
| 12 | DMF (2) | 80 | AgOAc (10) | ND |
| 13 | DMF (2) | 80 | CuSCN (10) | 22 |
| 14 | DMF (2) | 80 | CuI (10) | 30 |
| 15 | DMF (2) | 80 | AgNO3 (5) | 72 |
| 16 | DMF (2) | 80 | AgNO3 (20) | 79 |
| 17 | DMF (2) | 80 | AgNO3 (30) | 80 |
| 18 | DMF (1) | 80 | AgNO3 (10) | 83 |
| 19 | DMF (4) | 80 | AgNO3 (10) | 77 |
| 20 c | DMF (1) | 80 | AgNO3 (10) | 92 |
Publisher’s Note: MDPI stays neutral with regard to jurisdictional claims in published maps and institutional affiliations. |
© 2022 by the authors. Licensee MDPI, Basel, Switzerland. This article is an open access article distributed under the terms and conditions of the Creative Commons Attribution (CC BY) license (https://creativecommons.org/licenses/by/4.0/).
Share and Cite
Zhang, S.; Li, J.; Xiao, T.; Yang, B.; Jiang, Y. Silver-Catalyzed Cascade Cyclization of Amino-NH-1,2,3-Triazoles with 2-Alkynylbenzaldehydes: An Access to Pentacyclic Fused Triazoles. Molecules 2022, 27, 7567. https://doi.org/10.3390/molecules27217567
Zhang S, Li J, Xiao T, Yang B, Jiang Y. Silver-Catalyzed Cascade Cyclization of Amino-NH-1,2,3-Triazoles with 2-Alkynylbenzaldehydes: An Access to Pentacyclic Fused Triazoles. Molecules. 2022; 27(21):7567. https://doi.org/10.3390/molecules27217567
Chicago/Turabian StyleZhang, Shuitao, Jianxin Li, Tiebo Xiao, Baomin Yang, and Yubo Jiang. 2022. "Silver-Catalyzed Cascade Cyclization of Amino-NH-1,2,3-Triazoles with 2-Alkynylbenzaldehydes: An Access to Pentacyclic Fused Triazoles" Molecules 27, no. 21: 7567. https://doi.org/10.3390/molecules27217567
APA StyleZhang, S., Li, J., Xiao, T., Yang, B., & Jiang, Y. (2022). Silver-Catalyzed Cascade Cyclization of Amino-NH-1,2,3-Triazoles with 2-Alkynylbenzaldehydes: An Access to Pentacyclic Fused Triazoles. Molecules, 27(21), 7567. https://doi.org/10.3390/molecules27217567


