Entropy-Driven Inclusion of Natural Protoberberine Alkaloids in Sulfobutylether-β-Cyclodextrin
Abstract
1. Introduction
2. Results
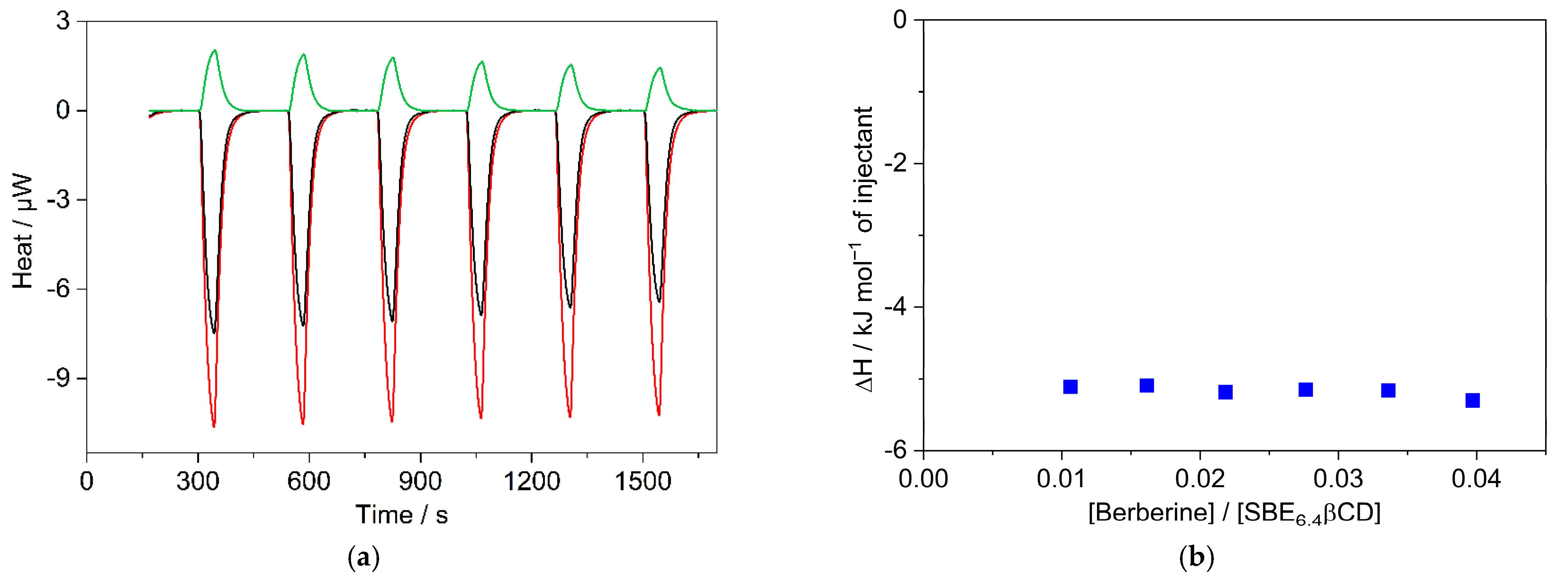
2.1. Inclusion Complex Formation of Berberine with SBE6.4βCD
2.2. Effect of Alkaloid Substituent Variation on the Complexation with SBE6.4βCD
3. Discussion
4. Materials and Methods
5. Conclusions
Supplementary Materials
Author Contributions
Funding
Institutional Review Board Statement
Informed Consent Statement
Data Availability Statement
Conflicts of Interest
References
- Wang, Q. Industrial applications of cyclodextrins. In Handbook of Macrocyclic Supramolecular Assembly; Liu, Y., Chen, Y., Zhang, H.-Y., Eds.; Springer: Singapore, 2020; pp. 1665–1697. [Google Scholar]
- Cid-Samamed, A.; Rakmai, J.; Mejuto, J.C.; Simal-Gandara, J.; Astray, G. Cyclodextrins inclusion complex: Preparation methods, analytical techniques and food industry applications. Food Chem. 2022, 384, 132467. [Google Scholar] [CrossRef] [PubMed]
- Dhiman, P.; Bhatia, M. Pharmaceutical applications of cyclodextrins and their derivatives. J. Incl. Phenom. Macrocycl. Chem. 2020, 98, 171–186. [Google Scholar] [CrossRef]
- Poulson, B.G.; Alsulami, Q.A.; Sharfalddin, A.; El Agammy, E.F.; Mouffouk, F.; Emwas, A.-H.; Jaremko, L.; Jaremko, M. Cyclodextrins: Structural, chemical, and physical properties, and applications. Polysaccharides 2022, 3, 1–31. [Google Scholar] [CrossRef]
- Păduraru, D.N.; Niculescu, A.-G.; Bolocan, A.; Andronic, O.; Grumezescu, A.M.; Bîrlă, R. An Updated overview of cyclodextrin-based drug delivery systems for cancer therapy. Pharmaceutics 2022, 14, 1748. [Google Scholar] [CrossRef] [PubMed]
- Qiu, N.; Li, X.; Liu, J. Application of cyclodextrins in cancer treatment. J. Incl. Phenom. Macrocycl. Chem. 2017, 89, 229–246. [Google Scholar] [CrossRef]
- Duchêne, D.; Bochot, A. Thirty years with cyclodextrins. Int. J. Pharm. 2016, 514, 58–72. [Google Scholar] [CrossRef]
- Jambhekar, S.S.; Breen, P. Cyclodextrins in pharmaceutical formulations I: Structure and physicochemical properties, formation of complexes, and types of complex. Drug Discov. Today 2016, 21, 356–362. [Google Scholar] [CrossRef]
- Chakraborty, G.; Ray, A.K.; Singh, P.K.; Pal, H. Does the degree of substitution on the cyclodextrin hosts impact their affinity towards guest binding? Photochem. Photobiol. Sci. 2020, 19, 956–965. [Google Scholar] [CrossRef]
- Zia, V.; Rajewski, R.A.; Stella, V.J. Thermodynamics of binding of neutral molecules to sulfobutyl ether β-cyclodextrins (SBE-β-CDs): The effect of total degree of substitution. Pharm. Res. 2000, 17, 936–941. [Google Scholar] [CrossRef]
- Stella, V.J.; Rajewski, R.A. Sulfobutylether-β-cyclodextrin. Int. J. Pharm. 2020, 583, 119396. [Google Scholar] [CrossRef]
- Huang, Y.; Yu, H.; Li, L.; Zhang, C.; Zhang, H.; Zhang, G.; Chen, A. Combined use of ionic liquid and sulfobutylether-β-cyclodextrin as electrolyte additives for separation and determination of camptothecin alkaloids by CZE. Electrophoresis 2016, 37, 3010–3016. [Google Scholar] [CrossRef]
- Ribeiro, L.; Loftsson, T.; Ferreira, D.; Veiga, F. Investigation and physicochemical characterization of vinpocetine-sulfobutyl ether β-cyclodextrin binary and ternary complexes. Chem. Pharm. Bull. 2003, 51, 914–922. [Google Scholar] [CrossRef] [PubMed]
- Várnai, B.; Zsila, F.; Szakács, Z.; Garádi, Z.; Malanga, M.; Béni, S. Sulfobutylation of β-cyclodextrin enhances the complex formation with mitragynine: An NMR and chiroptical study. Int. J. Mol. Sci. 2022, 23, 3844. [Google Scholar] [CrossRef] [PubMed]
- Kadam, V.; Kakatkar, A.S.; Barooah, N.; Chatterjee, S.; Bhasikuttan, A.C.; Mohanty, J. Supramolecular interaction of sanguinarine dye with sulfobutylether-β-cyclodextrin: Modulation of the photophysical properties and antibacterial activity. RSC Adv. 2020, 10, 25370–25378. [Google Scholar] [CrossRef]
- Chakraborty, G.; Chittela, R.K.; Jonnalgadda, P.N.; Pal, H. Supramolecular modulation in photophysical features of berberine and its application towards ATP sensing. J. Mol. Liq. 2022, 359, 119316. [Google Scholar] [CrossRef]
- Piñeiro, Á.; Pipkin, J.; Antle, V.; Garcia-Fandino, R. Remdesivir interactions with sulphobutylether-β-cyclodextrins: A case study using selected substitution patterns. J. Mol. Liq. 2022, 346, 117157. [Google Scholar] [CrossRef]
- Samuelsen, L.; Holm, R.; Schönbeck, C. Specific buffers affect the stability of a charged cyclodextrin complex via competitive binding and ionic strength. J. Pharm. Sci. 2021, 110, 2661–2668. [Google Scholar] [CrossRef]
- Wang, Z.; Landy, D.; Sizun, C.; Cézard, C.; Solgadi, A.; Przybylski, C.; de Chaisemartin, L.; Herfindal, L.; Barratt, G.; Legrand, F.-X. Cyclodextrin complexation studies as the first step for repurposing of chlorpromazine. Int. J. Pharm. 2020, 584, 119391. [Google Scholar] [CrossRef]
- Leong, N.J.; Prankerd, R.J.; Shackleford, D.M.; McIntosh, M.P. The Effect of intravenous sulfobutylether7-β-cyclodextrin on the pharmacokinetics of a series of adamantane-containing compounds. J. Pharm. Sci. 2015, 104, 1492–1498. [Google Scholar] [CrossRef]
- Holm, R.; Østergaard, J.; Schönbeck, C.; Jensen, H.; Shi, W.; Peters, G.H.; Westh, P. Determination of stability constants of tauro-and glyco-conjugated bile salts with the negatively charged sulfobutylether-β-cyclodextrin: Comparison of affinity capillary electrophoresis and isothermal titration calorimetry and thermodynamic analysis of the interaction. J. Incl. Phenom. Macrocycl. Chem. 2014, 78, 185–194. [Google Scholar]
- Stojanov, M.; Nielsen, H.M.; Larsen, K.L. Cyclodextrins: Efficient biocompatible solubilizing excipients for bromhexine liquid and semi-solid drug delivery systems. Int. J. Pharm. 2012, 422, 349–355. [Google Scholar] [CrossRef] [PubMed]
- Oliva, R.; Battista, F.; Cozzolino, S.; Notomista, E.; Winter, R.; Del Vecchio, P.; Petraccone, L. Encapsulating properties of sulfobutylether-β-cyclodextrin toward a thrombin-derived antimicrobial peptide. J. Therm. Anal. Calorim. 2019, 138, 3249–3256. [Google Scholar] [CrossRef]
- Valeur, B. Molecular Fluorescence, Principles and Applications; Wiley-VCH: Weinheim, Germany, 2002; p. 343. [Google Scholar]
- MacCarthy, P. Simplified experimental route for obtaining Job’s curves. Anal. Chem. 1978, 50, 2165. [Google Scholar] [CrossRef]
- Hill, Z.D.; MacCarthy, P. Novel approach to Job’s method: An undergraduate experiment. J. Chem. Educ. 1986, 63, 162. [Google Scholar] [CrossRef]
- Inbaraj, J.J.; Kukielczak, B.M.; Bilski, P.; Sandvik, S.L.; Chignell, C.F. Photochemistry and photocytotoxicity of alkaloids from goldenseal (Hydrastis canadensis L.) 1. Berberine. Chem. Res. Toxicol. 2001, 14, 1529–1534. [Google Scholar] [CrossRef]
- Miskolczy, Z.; Megyesi, M.; Lendvay, G.; Biczók, L. Self-assembly of quaternary benzo[c]phenanthridine plant alkaloids into dimer in aqueous solution. J. Mol. Liq. 2021, 334, 116014. [Google Scholar] [CrossRef]
- Miskolczy, Z.; Biczók, L.; Lendvay, G. Substituent effect on the dynamics of the inclusion complex formation between protoberberine alkaloids and cucurbit[7]uril. Phys. Chem. Chem. Phys. 2018, 20, 15986–15994. [Google Scholar] [CrossRef]
- Miskolczy, Z.; Biczók, L. Kinetics and thermodynamics of berberine inclusion in cucurbit[7]uril. J. Phys. Chem. B 2014, 118, 2499–2505. [Google Scholar] [CrossRef]
- Miskolczy, Z.; Megyesi, M.; Toke, O.; Biczók, L. Change of the kinetics of inclusion in cucurbit[7]uril upon hydrogenation and methylation of palmatine. Phys. Chem. Chem. Phys. 2019, 21, 4912–4919. [Google Scholar] [CrossRef]
- Yu, J.-S.; Wei, F.-D.; Gao, W.; Zhao, C.-C. Thermodynamic study on the effects of β-cyclodextrin inclusion with berberine. Spectrochim. Acta Part A Mol. Biomol. Spectrosc. 2002, 58, 249–256. [Google Scholar] [CrossRef]
- Rekharsky, M.V.; Inoue, Y. Complexation thermodynamics of cyclodextrins. Chem. Rev. 1998, 98, 1875–1918. [Google Scholar] [CrossRef] [PubMed]
- Marcus, Y.; Hefter, G. Ion pairing. Chem. Rev. 2006, 106, 4585–4621. [Google Scholar] [CrossRef] [PubMed]
- Biedermann, F.; Schneider, H.-J. Experimental binding energies in supramolecular complexes. Chem. Rev. 2016, 116, 5216–5300. [Google Scholar] [CrossRef] [PubMed]
- Marquez, C.; Nau, W.M. Polarizabilities inside molecular containers. Angew. Chem. Int. Ed. 2001, 40, 4387–4390. [Google Scholar] [CrossRef]
- Koner, A.L.; Nau, W.M. Cucurbituril encapsulation of fluorescent dyes. Supramol. Chem. 2007, 19, 55–66. [Google Scholar] [CrossRef]
- Sandilya, A.A.; Natarajan, U.; Priya, M.H. Molecular view into the cyclodextrin cavity: Structure and hydration. ACS Omega 2020, 5, 25655–25667. [Google Scholar] [CrossRef]
- Lindner, K.; Saenger, W. β-Cyclodextrin dodecahydrate: Crowding of water molecules within a hydrophobic cavity. Angew. Chem. Int. Ed. 1978, 17, 694–695. [Google Scholar] [CrossRef]
- Biedermann, F.; Uzunova, V.D.; Scherman, O.A.; Nau, W.M.; De Simone, A. Release of high-energy water as an essential driving force for the high-affinity binding of cucurbit[n]urils. J. Am. Chem. Soc. 2012, 134, 15318–15323. [Google Scholar] [CrossRef]
- Megyesi, M.; Biczók, L.; Jablonkai, I. Highly sensitive fluorescence response to inclusion complex formation of berberine alkaloid with cucurbit[7]uril. J. Phys. Chem. C 2008, 112, 3410–3416. [Google Scholar] [CrossRef]
- Melhuish, W.H. Quantum efficiencies of fluorescence of organic substances: Effect of solvent and concentration of the fluorescent solute. J. Phys. Chem. 1961, 65, 229–235. [Google Scholar] [CrossRef]
- Ueda, H.; Ou, D.; Endo, T.; Nagase, H.; Tomono, K.; Nagai, T. Evaluation of a sulfobutyl ether β-cyclodextrin as a solubilizing/stabilizing agent for several drugs. Drug. Dev. Ind. Pharm. 1998, 24, 863–867. [Google Scholar] [CrossRef] [PubMed]
- Wang, J.; Zhang, X. Binary crystallized supramolecular aerogels derived from host–guest inclusion complexes. ACS Nano 2015, 9, 11389–11397. [Google Scholar] [CrossRef] [PubMed]
- Liu, Z.; Ye, L.; Xi, J.; Wang, J.; Feng, Z.-G. Cyclodextrin polymers: Structure, synthesis, and use as drug carriers. Prog. Polym. Sci. 2021, 118, 101408. [Google Scholar] [CrossRef]








| Host Macrocycle | Berberine | Coptisine | Palmatine | Epiberberine | Dehydrocorydaline | |
|---|---|---|---|---|---|---|
| SBE6.4βCD | K/103 M−1 | 19.2 ± 1.0 | 19.1 ± 1.3 | 4.7 ± 0.2 | 3.0 ± 0.3 | 2.5 ± 0.2 |
| ∆H/kJ mol−1 | −5.2 ± 0.2 | −5.7 ± 0.3 | −2.6 ± 0.4 | −1.9 ± 0.3 | −3.2 ± 0.4 | |
| −T∆S/kJ mol−1 | −19.2 ± 1.8 | −18.7 ± 1.9 | −18.3 ± 1.6 | −17.9 ± 1.8 | −16.2 ± 1.7 | |
| ∆S/J mol−1 K−1 | 64 ± 6 | 63 ± 6 | 62 ± 5 | 60 ± 6 | 54 ± 6 | |
| Cucurbit[7]uril a,b | K/107 M−1 | 2.4 ± 0.3 a | 50 ± 15 a | 2.6 ± 0.3 a | 62 ± 15 a | 0.21 ± 0.03 b |
| ∆H/kJ mol−1 | −38 ± 2 a | −45 ± 2 a | −37 ± 2 a | −45 ± 2 a | −34 ± 1 b | |
| −T∆S/kJ mol−1 | −4.5 ± 0.1 c | −6.9 ± 2.1 c | −2.7 ± 1.2 c | −7.2 ± 2.1 c | −1.8 ± 0.6 c | |
| ∆S/J mol−1 K−1 | 15 ± 4 a | 23 ± 7 a | 9 ± 4 a | 24 ± 7 a | 6 ± 2 b |
Publisher’s Note: MDPI stays neutral with regard to jurisdictional claims in published maps and institutional affiliations. |
© 2022 by the authors. Licensee MDPI, Basel, Switzerland. This article is an open access article distributed under the terms and conditions of the Creative Commons Attribution (CC BY) license (https://creativecommons.org/licenses/by/4.0/).
Share and Cite
Miskolczy, Z.; Megyesi, M.; Biczók, L. Entropy-Driven Inclusion of Natural Protoberberine Alkaloids in Sulfobutylether-β-Cyclodextrin. Molecules 2022, 27, 7514. https://doi.org/10.3390/molecules27217514
Miskolczy Z, Megyesi M, Biczók L. Entropy-Driven Inclusion of Natural Protoberberine Alkaloids in Sulfobutylether-β-Cyclodextrin. Molecules. 2022; 27(21):7514. https://doi.org/10.3390/molecules27217514
Chicago/Turabian StyleMiskolczy, Zsombor, Mónika Megyesi, and László Biczók. 2022. "Entropy-Driven Inclusion of Natural Protoberberine Alkaloids in Sulfobutylether-β-Cyclodextrin" Molecules 27, no. 21: 7514. https://doi.org/10.3390/molecules27217514
APA StyleMiskolczy, Z., Megyesi, M., & Biczók, L. (2022). Entropy-Driven Inclusion of Natural Protoberberine Alkaloids in Sulfobutylether-β-Cyclodextrin. Molecules, 27(21), 7514. https://doi.org/10.3390/molecules27217514

