Functionalization of 7-Hydroxy-pyranoflavylium: Synthesis of New Dyes with Extended Chromatic Stability
Abstract
1. Introduction
2. Results
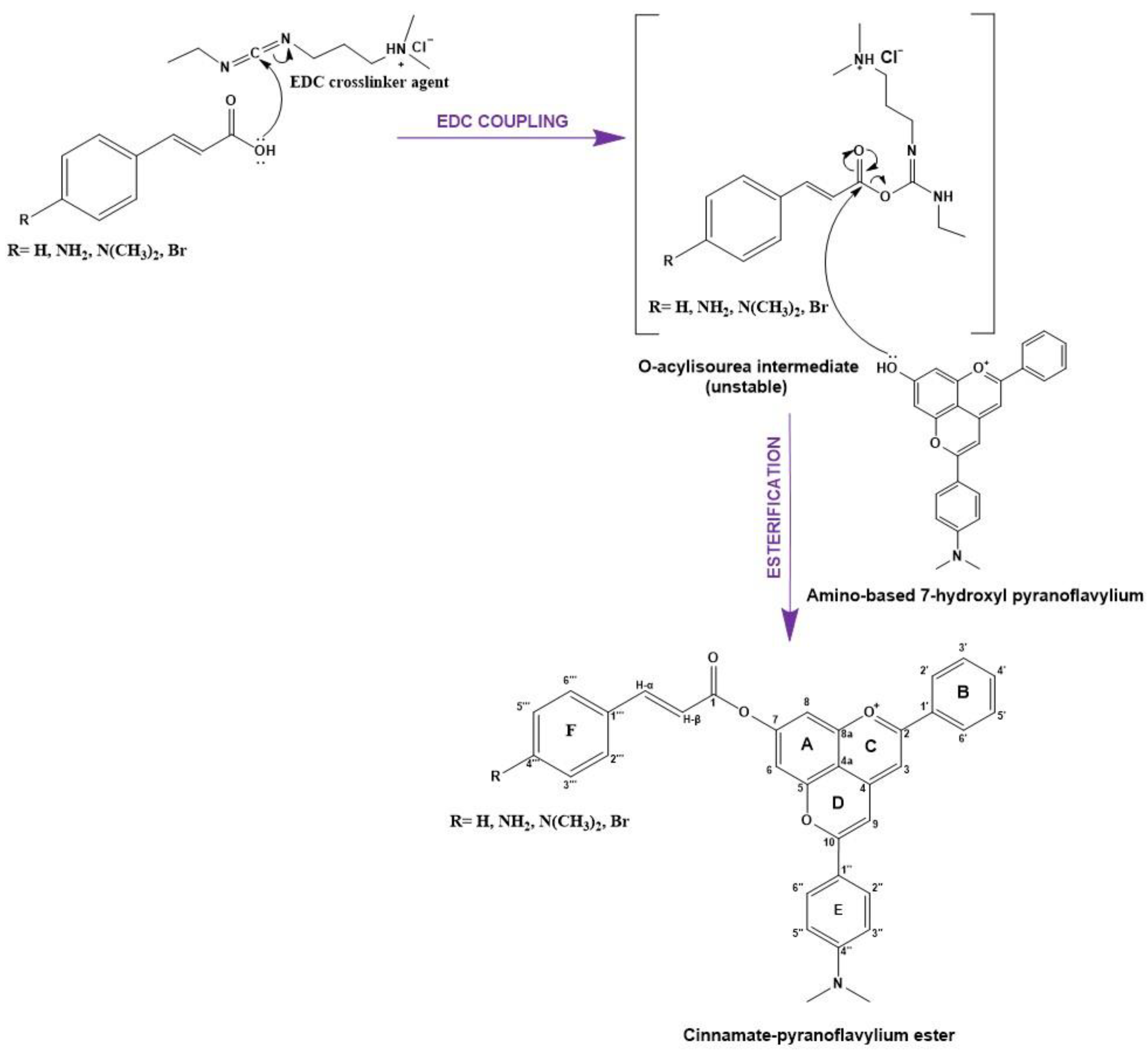
2.1. Esterification of Amino-Based 7-Hydroxyl Pyranoflavylium
2.2. Structural Characterization—LC-MS and NMR
2.3. UV-Visible Spectroscopy
2.4. Fluorescence Quantum Yields
2.5. Acid-Base Reactions in Aqueous Solutions at Different pH Values
2.6. Dyes Stability over Time at Different pH Values
3. Materials and Methods
3.1. General Information
3.2. General Synthesis of Pyranoflavylium-Cinnamate Esters
3.3. HPLC/LC-MS Analysis
3.4. NMR Spectroscopy
3.5. Determination of Molar Absorption Coefficients (ε)
3.6. Fluorescence Quantum Yields
3.7. Titration of the Cinnamate Ester Pigments by UV-Visible Spectroscopy
4. Conclusions
Supplementary Materials
Author Contributions
Funding
Data Availability Statement
Acknowledgments
Conflicts of Interest
References
- Oyvind, A.M.; Kenneth, M.R. Flavonoids: Chemistry, Biochemistry and Applications, 1st ed.; CRC Press: Boca Raton, FL, USA, 2005; pp. 471–551. [Google Scholar]
- Wallace, T.C.; Giusti, M.M. Anthocyanins—Nature’s Bold, Beautiful, and Health-Promoting Colors. Foods 2019, 8, 550. [Google Scholar] [CrossRef] [PubMed]
- Awika, J.M.; Rooney, L.W.; Waniska, R.D. Properties of 3-Deoxyanthocyanins from Sorghum. J. Agric. Food Chem. 2004, 52, 4388–4394. [Google Scholar] [CrossRef] [PubMed]
- Herrman, D.A.; Brantsen, J.F.; Ravisankar, S.; Lee, K.-M.; Awika, J.M. Stability of 3-deoxyanthocyanin pigment structure relative to anthocyanins from grains under microwave assisted extraction. Food Chem. 2020, 333, 127494. [Google Scholar] [CrossRef] [PubMed]
- Araújo, P.; Fernandes, A.; de Freitas, V.; Oliveira, J. A New Chemical Pathway Yielding A-Type Vitisins in Red Wines. Int. J. Mol. Sci. 2017, 18, 762. [Google Scholar] [CrossRef]
- Oliveira, J.; de Freitas, V.; Mateus, N. A novel synthetic pathway to vitisin B compounds. Tetrahedron Lett. 2009, 50, 3933–3935. [Google Scholar] [CrossRef]
- Fulcrand, H.; Benabdeljalil, C.; Rigaud, J.; Cheynier, V.; Moutounet, M. A new class of wine pigments generated by reaction between pyruvic acid and grape anthocyanins. Phytochemistry 1998, 47, 1401–1407. [Google Scholar] [CrossRef]
- He, J.; Santos-Buelga, C.; Silva, A.M.S.; Mateus, N.; de Freitas, V. Isolation and Structural Characterization of New Anthocyanin-Derived Yellow Pigments in Aged Red Wines. J. Agric. Food Chem. 2006, 54, 9598–9603. [Google Scholar] [CrossRef]
- He, J.; Oliveira, J.; Silva, A.M.; Mateus, N.; De Freitas, V. Oxovitisins: A new class of neutral pyranone-anthocyanin derivatives in red wines. J Agric Food Chem 2010, 58, 8814–8819. [Google Scholar] [CrossRef]
- Oliveira, J.; Araújo, P.; Fernandes, A.; Brás, N.F.; Mateus, N.; Pina, F.; de Freitas, V. Influence of the structural features of amino-based pyranoanthocyanins on their acid-base equilibria in aqueous solutions. Dye. Pigment. 2017, 141, 479–486. [Google Scholar] [CrossRef]
- Mateus, N.; Oliveira, J.; Haettich-Motta, M.; Freitas, V. New Family of Bluish Pyranoanthocyanins. J. Biomed. Biotechnol. 2004, 2004, 299–305. [Google Scholar] [CrossRef]
- Oliveira, J.; Mateus, N.; de Freitas, V. Previous and recent advances in pyranoanthocyanins equilibria in aqueous solution. Dye. Pigment. 2014, 100, 190–200. [Google Scholar] [CrossRef]
- Cruz, L.; Basílio, N.; Mateus, N.; de Freitas, V.; Pina, F. Natural and Synthetic Flavylium-Based Dyes: The Chemistry Behind the Color. Chem. Rev. 2022, 122, 1416–1481. [Google Scholar] [CrossRef] [PubMed]
- Chassaing, S.; Isorez-Mahler, G.; Kueny-Stotz, M.; Brouillard, R. Aged red wine pigments as a source of inspiration for organic synthesis—The cases of the color-stable pyranoflavylium and flavylium-(4→8)-flavan chromophores. Tetrahedron 2015, 71, 3066–3078. [Google Scholar] [CrossRef]
- Yoshida, K.; Mori, M.; Kondo, T. Blue flower color development by anthocyanins: From chemical structure to cell physiology. Nat. Prod. Rep. 2009, 26, 884–915. [Google Scholar] [CrossRef] [PubMed]
- Trouillas, P.; Sancho-García, J.C.; De Freitas, V.; Gierschner, J.; Otyepka, M.; Dangles, O. Stabilizing and modulating color by copigmentation: Insights from theory and experiment. Chem. Rev. 2016, 116, 4937–4982. [Google Scholar] [CrossRef]
- Araújo, P.; Rita Pereira, A.; de Freitas, V.; Mateus, N.; Fernandes, I.; Oliveira, J. Synthesis, structural characterization and chromatic features of new 2-phenyl-1-benzopyrylium and 2-phenyl-styryl-1-benzopyrylium amino-based blue dyes. Tetrahedron Lett. 2021, 85, 153487. [Google Scholar] [CrossRef]
- Gago, S.; Petrov, V.; Parola, A.J.; Pina, F. Synthesis, characterization and photochromism of 3′-butoxyflavylium derivatives. J. Photochem. Photobiol. A Chem. 2012, 244, 54–64. [Google Scholar] [CrossRef]
- Gomes, R.; Diniz, A.M.; Jesus, A.; Parola, A.J.; Pina, F. The synthesis and reaction network of 2-styryl-1-benzopyrylium salts: An unexploited class of potential colorants. Dye. Pigment. 2009, 81, 69–79. [Google Scholar] [CrossRef]
- Gomes, V.; Mateus, N.; de Freitas, V.; Cruz, L. Synthesis and Structural Characterization of a Novel Symmetrical 2,10-Bis-Styryl-1-Benzopyrylium Dye. Synlett 2018, 29, 1390–1394. [Google Scholar]
- Cruz, L.; Fernandes, V.C.; Araújo, P.; Mateus, N.; de Freitas, V. Synthesis, characterisation and antioxidant features of procyanidin B4 and malvidin-3-glucoside stearic acid derivatives. Food Chem. 2015, 174, 480–486. [Google Scholar] [CrossRef]
- Cruz, L.; Guimarães, M.; Araújo, P.; Évora, A.; de Freitas, V.; Mateus, N. Malvidin 3-Glucoside–Fatty Acid Conjugates: From Hydrophilic toward Novel Lipophilic Derivatives. J. Agric. Food Chem. 2017, 65, 6513–6518. [Google Scholar] [CrossRef] [PubMed]
- Grajeda-Iglesias, C.; Salas, E.; Barouh, N.; Baréa, B.; Figueroa-Espinoza, M.C. Lipophilization and MS characterization of the main anthocyanins purified from hibiscus flowers. Food Chem. 2017, 230, 189–194. [Google Scholar] [CrossRef] [PubMed]
- Yang, W.; Kortesniemi, M.; Yang, B.; Zheng, J. Enzymatic Acylation of Anthocyanins Isolated from Alpine Bearberry (Arctostaphylos alpina) and Lipophilic Properties, Thermostability, and Antioxidant Capacity of the Derivatives. J. Agric. Food Chem. 2018, 66, 2909–2916. [Google Scholar] [CrossRef] [PubMed]
- Guimarães, M.; Pérez-Gregorio, M.; Mateus, N.; de Freitas, V.; Galinha, C.F.; Crespo, J.G.; Portugal, C.A.M.; Cruz, L. An efficient method for anthocyanins lipophilization based on enzyme retention in membrane systems. Food Chem. 2019, 300, 125167. [Google Scholar] [CrossRef]
- Guimarães, M.; Mateus, N.; de Freitas, V.; Branco, L.C.; Cruz, L. Microwave-Assisted Synthesis and Ionic Liquids: Green and Sustainable Alternatives toward Enzymatic Lipophilization of Anthocyanin Monoglucosides. J. Agric. Food Chem. 2020, 68, 7387–7392. [Google Scholar] [CrossRef]
- Diniz, A.M.; Pinheiro, C.; Petrov, V.; Parola, A.J.; Pina, F. Synthesis and characterization of a symmetric bis(7-hydroxyflavylium) containing a methyl viologen bridge. Chemistry 2011, 17, 6359–6368. [Google Scholar] [CrossRef]
- Basílio, N.; Garnier, T.; Avó, J.; Danel, M.; Chassaing, S.; Pina, F. Synthesis and multistate characterization of bis-flavylium dications—symmetric resorcinol- and phloroglucinol-type derivatives as stochastic systems. RSC Adv. 2016, 6, 69698–69707. [Google Scholar] [CrossRef]
- Cruz, L.M.; Basílio, N.M.; de Freitas, V.A.; Lima, J.C.; Pina, F.J. Extending the Study of the 6,8 Rearrangement in Flavylium Compounds to Higher pH Values: Interconversion between 6-Bromo and 8-Bromo-apigeninidin. ChemistryOpen 2016, 5, 236–246. [Google Scholar] [CrossRef]
- Ruwizhi, N.; Aderibigbe, B.A. Cinnamic Acid Derivatives and Their Biological Efficacy. Int. J. Mol. Sci. 2020, 21, 5712. [Google Scholar] [CrossRef]
- Cruz, L.; Fernandes, I.; Guimarães, M.; de Freitas, V.; Mateus, N. Enzymatic synthesis, structural characterization and antioxidant capacity assessment of a new lipophilic malvidin-3-glucoside-oleic acid conjugate. Food Funct. 2016, 7, 2754–2762. [Google Scholar] [CrossRef]
- Zhang, P.; Liu, S.; Zhao, Z.; You, L.; Harrison, M.D.; Zhang, Z. Enzymatic acylation of cyanidin-3-glucoside with fatty acid methyl esters improves stability and antioxidant activity. Food Chem. 2021, 343, 128482. [Google Scholar] [CrossRef] [PubMed]
- Williams, R.T.; Bridges, J.W. Fluorescence of Solutions: A Review. J. Clin. Pathol. 1964, 17, 371–394. [Google Scholar] [CrossRef] [PubMed]
- Divac, V.M.; Šakić, D.; Weitner, T.; Gabričević, M. Solvent effects on the absorption and fluorescence spectra of Zaleplon: Determination of ground and excited state dipole moments. Spectrochim. Acta A Mol. Biomol. Spectrosc. 2019, 212, 356–362. [Google Scholar] [CrossRef] [PubMed]
- Alejo-Armijo, A.; Corici, L.; Cseh, L.; Aparaschivei, D.; Moro, A.J.; Parola, A.J.; Lima, J.C.; Pina, F. Achieving Complexity at the Bottom. 2,6-Bis(arylidene)cyclohexanones and Anthocyanins: The Same General Multistate of Species. ACS Omega 2018, 3, 17853–17862. [Google Scholar] [CrossRef]
- Tron, A.; Gago, S.; McClenaghan, N.D.; Parola, A.J.; Pina, F. A blue 4′,7-diaminoflavylium cation showing an extended pH range stability. Phys. Chem. Chem. Phys. 2016, 18, 8920–8925. [Google Scholar] [CrossRef]
- Schwarz, M.; Winterhalter, P. A novel synthetic route to substituted pyranoanthocyanins with unique colour properties. Tetrahedron Lett. 2003, 44, 7583–7587. [Google Scholar] [CrossRef]






| Entry | DMAC: EDC | DMAC: 7-Hydroxy-pyranoflavylium | EDC: DMAP | Solvent | Temperature | Reaction Time | Reaction Yield |
|---|---|---|---|---|---|---|---|
| 1 | - | (3:1) | - | DMF | r.t. | 2 h | No product |
| 2 | (1:2) | (5:1) | - | Ethanol | r.t | (a) 1 h | No product |
| (b) 4 days | No product | ||||||
| 3 | (1:2) | (5:1) | - | Ethanol | Reflux | 16 h | No product |
| 4 | (1:2) | (5:1) | - | DMF | r.t. | (a) 1 h | 24% |
| (b) 3 h | 41% | ||||||
| (c) 7 h | 85% | ||||||
| (d) 24 h | 87% | ||||||
| 5 | (1:10) | (10:1) | - | DMF | r.t. | (a) 1 h | 85% |
| (b) 3 h | 94% | ||||||
| 6 | (1:5) | (10:1) | - | DMF | r.t. | 1 h | 99% |
| 7 | (1:3) | (10:1) | - | DMF | r.t. | (a) 1 h | 55% |
| b) 5 h | 99% | ||||||
| 8 | (1:2) | (10:1) | - | DMF | r.t. | (a) 1 h | 5% |
| (b) 3 h | 28% | ||||||
| (c) 7 h | 37% | ||||||
| (d) 24 h | 42% | ||||||
| 9 | (1:1) | (10:1) | - | DMF | r.t. | (a) 1 h | 8% |
| (b) 3 h | 16% | ||||||
| (c) 7 h | 25% | ||||||
| (d) 24 h | 24% | ||||||
| 10 | (1:2) | (10:1) | (1:1) | DMF | r.t | (a) 1 h | 49% |
| (b) 6 h | 19% | ||||||
| 11 | (1:5) | (5:1) | - | DMF | r.t. | (a) 1 h | 44% |
| (b) 5 h | 72% | ||||||
| (c) 20 h | 99% |
| Dye | ε (M−1·cm−1) | |||
|---|---|---|---|---|
| Methanol | Ethanol | DMSO | 20% (v/v) Ethanol/Water | |
| 7-hydroxyl pyranoflavylium | 3.5 × 104 (551 nm) | 3.6 × 104 (554 nm) | 3.2 × 104 (560 nm) | 1.3 × 104 (546 nm) |
| Dye 1 | 3.9 × 104 (563 nm) | 3.7 × 104 (568 nm) | 3.4 × 104 (576 nm) | 2.4 × 104 (525 nm) |
| Dye 2 | 3.5 × 104 (566 nm) | 3.7 × 104 (565 nm) | 3.0 × 104 (567 nm) | 1.7 × 104 (537 nm) |
| Dye 3 | 2.5 × 104 (565 nm) | 2.6 × 104 (568 nm) | 9.0 × 103 (573 nm) | 6.0 × 103 (528 nm) |
| Dye 4 | 2.4 × 104 (566 nm) | 2.6 × 104 (570 nm) | 2.8 × 104 (576 nm) | 9.2 × 103 (506 nm) |
| Compound | Fluorescence Quantum Yields ± SD (%) | |||
|---|---|---|---|---|
| DMSO | Methanol | Ethanol | 20%Ethanol/Water (v/v) | |
| 7-hydroxyl pyranoflavylium | (1.47 ± 0.21) | (1.50 ± 0.24) | (1.80 ± 0.08) | (0.87 ± 0.12) |
| Dye 1 | (1.40 ± 0.14) | (1.20 ± 0.14) | (1.13 ± 0.12) **** | (1.00 ± 0.08) |
| Dye 2 | (1.20 ± 0.22) | (0.97 ± 0.05) * | (0.77 ± 0.05) **** | (0.80 ± 0.08) |
| Dye 3 | (1.03 ± 0.17) | (0.97 ± 0.12) * | (0.80 ± 0.08) **** | (0.47 ± 0.09) * |
| Dye 4 | (0.90 ± 0.08) | (0.90 ± 0.08) * | (0.93 ± 0.05) **** | (0.70 ± 0.14) |
Publisher’s Note: MDPI stays neutral with regard to jurisdictional claims in published maps and institutional affiliations. |
© 2022 by the authors. Licensee MDPI, Basel, Switzerland. This article is an open access article distributed under the terms and conditions of the Creative Commons Attribution (CC BY) license (https://creativecommons.org/licenses/by/4.0/).
Share and Cite
Pereira, A.R.; Freitas, V.d.; Mateus, N.; Oliveira, J. Functionalization of 7-Hydroxy-pyranoflavylium: Synthesis of New Dyes with Extended Chromatic Stability. Molecules 2022, 27, 7351. https://doi.org/10.3390/molecules27217351
Pereira AR, Freitas Vd, Mateus N, Oliveira J. Functionalization of 7-Hydroxy-pyranoflavylium: Synthesis of New Dyes with Extended Chromatic Stability. Molecules. 2022; 27(21):7351. https://doi.org/10.3390/molecules27217351
Chicago/Turabian StylePereira, Ana Rita, Victor de Freitas, Nuno Mateus, and Joana Oliveira. 2022. "Functionalization of 7-Hydroxy-pyranoflavylium: Synthesis of New Dyes with Extended Chromatic Stability" Molecules 27, no. 21: 7351. https://doi.org/10.3390/molecules27217351
APA StylePereira, A. R., Freitas, V. d., Mateus, N., & Oliveira, J. (2022). Functionalization of 7-Hydroxy-pyranoflavylium: Synthesis of New Dyes with Extended Chromatic Stability. Molecules, 27(21), 7351. https://doi.org/10.3390/molecules27217351

