First Evidence of Gastroprotection by Schinus molle: Roles of Nitric Oxide, Prostaglandins, and Sulfhydryls Groups in Its Mechanism of Action
Abstract
1. Introduction
2. Results
2.1. Gastroprotective Activity of the Hexane and Dichloromethane Extracts
2.2. Gastroprotective Activity of the Fractions of the Hexane Extract
2.3. Gastroprotective Activity of the White Solid
2.4. Mass Spectrometric Analysis of the White Solid
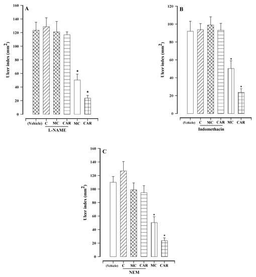
2.5. Participation of L-NAME, Indomethacin, and NEM in the Gastroprotective Effect of the White Solid
2.6. Antisecretory Activity
3. Discussion
4. Materials and Methods
4.1. Animals
4.2. Drugs and Compounds
4.3. Plant Material
4.4. Isolation of the White Solid
4.5. Ethanol-Induced Gastric Lesions
4.6. Ethanol-Induced Gastric Mucosal Lesions in Rats Pretreated with L-NAME
4.7. Ethanol-Induced Gastric Mucosal Lesions in Rats Pretreated with Indomethacin
4.8. Ethanol-Induced Gastric Mucosal Lesions in Rats Pretreated with NEM
4.9. Antisecretory Effect (Pylorus Ligation)
4.10. Statistics
5. Conclusions
Author Contributions
Funding
Institutional Review Board Statement
Informed Consent Statement
Data Availability Statement
Acknowledgments
Conflicts of Interest
Sample Availability
References
- López-Lorenzo, Y.; Sánchez-Mendoza, M.E.; Arrieta-Baez, D.; Perez-Ruiz, A.G.; Arrieta, J. Gastroprotective activity of (E)-ethyl-12-cyclohexyl-4,5-dihydroxydodec-2-enoate, a compound isolated from Heliotropium indicum: Role of nitric oxide, prostaglandins, and sulfhydryls in its mechanism of action. Pharm. Biol. 2022, 60, 1207–1213. [Google Scholar] [CrossRef] [PubMed]
- Lauret, M.E.; Rodriguez-Pelaez, M.; Perez, I.; Rodrigo, L. Peptic Ulcer Disease. J. Gastroenterol. Hepatol. Dis. 2015, 1, 2–8. [Google Scholar]
- Li, W.; Hao, D.; Fan, T.; Huang, H.; Yao, H.; Niu, X. Protective effect of chelerythrine against ethanol-induced gastric ulcer in mice. Chem. Biol. Interact. 2014, 208, 18–27. [Google Scholar] [CrossRef] [PubMed]
- Heibashy, M.I.A.; Mazen, G.M.A.; Ibrahim, M.A. Efficacy and Safety of some Medical Herbs on Gastric Ulcer Induced by Aspirin in Rats. IOSR-JPBS 2014, 9, 19–27. [Google Scholar]
- de Souza Almeida, E.S.; Filho, V.C.; Niero, R.; Clasen, B.K.; Balogun, S.O.; de Oliveira Martins, D.T. Pharmacological mechanisms underlying the anti-ulcer activity of methanol extract and canthin-6-one of Simaba ferruginea A. St-Hil. in animal models. J. Ethnopharmacol. 2011, 134, 630–636. [Google Scholar] [CrossRef]
- Wallace, J.L.; Sharkey, K.A. Pharmacotherapy of gastric acidity, peptic ulcers, and gastroesophageal reflux disease. In Goodman and Gilman’s the Pharmacological Basis of Therapeutics, 12th ed.; Brunton, L., Ed.; McGraw-Hill: New York, NY, USA, 2011; pp. 1307–1351. [Google Scholar]
- Abreu Miranda, M.; Lemos, M.; Alves Cowart, K.; Rodenburg, D.; McChesney, J.D.; Radwan, M.M.; Furtado, N.A.; Kenupp Bastos, J. Gastroprotective activity of the hydroethanolic extract and isolated compounds from the leaves of Solanum cernuum Vell. J. Ethnopharmacol. 2015, 172, 421–429. [Google Scholar] [CrossRef]
- Shah, N.H.; LePendu, P.; Bauer-Mehren, A.; Ghebremariam, Y.T.; Iyer, S.V.; Marcus, J.; Nead, K.T.; Cooke, J.P.; Leeper, N.J. Proton Pump Inhibitor Usage and the Risk of Myocardial Infarction in the General Population. PLoS ONE 2015, 10, e0124653. [Google Scholar] [CrossRef]
- Peng, Y.C.; Lin, C.L.; Hsu, W.Y.; Lu, I.T.; Yeh, H.Z.; Chang, C.S.; Kao, C.H. Proton Pump Inhibitor Use is Associated with Risk of Pancreatic Cancer: A Nested Case-Control Study. Dose Response 2018, 16, 1559325818803283. [Google Scholar] [CrossRef]
- Wangchuk, P.; Tobgay, T. Contributions of medicinal plants to the Gross National Happiness and Biodiscovery in Bhutan. J. Ethnobiol. Ethnomed. 2015, 11, 1–12. [Google Scholar] [CrossRef]
- Belhoussaine, O.; El Kourchi, C.; Harhar, H.; Bouyahya, A.; El Yadini, A.; Fozia, F.; Alotaibi, A.; Ullah, R.; Tabyaoui, M. Chemical Composition, Antioxidant, Insecticidal Activity, and Comparative Analysis of Essential Oils of Leaves and Fruits of Schinus molle and Schinus terebinthifolius. Evid. Based Complement. Altern. Med. 2022, 30, 4288890. [Google Scholar] [CrossRef]
- Sepulveda, B.; Quispe, C.; Simirgiotis, M.; Torres-Benítez, A.; Reyes-Ortíz, J.; Areche, C.; García-Beltrán, O. Gastroprotective activity of synthetic coumarins: Role of endogenous prostaglandins, nitric oxide, non-protein sulfhydryls and vanilloid receptors. Bioorg. Med. Chem. Lett. 2016, 26, 5732–5735. [Google Scholar] [CrossRef] [PubMed]
- García-Martínez, L.E.; Sánchez-Mendoza, M.E.; Arrieta-Baez, D.; Cruz-Antonio, L.; Mejía-Barradas, C.M.; Soto-Perulero, C.R.; Arrieta, J. Gastroprotection of 2,3-epoxyjuanislamin, isolated from Calea urticifolia, against ethanol-induced gastric lesions in Wistar rats. Int. J. Pharmacol. 2016, 12, 893–900. [Google Scholar]
- Serafim, C.; Araruna, M.E.; Júnior, E.A.; Diniz, M.; Hiruma-Lima, C.; Batista, L. A Review of the Role of Flavonoids in Peptic Ulcer (2010–2020). Molecules 2020, 25, 5431. [Google Scholar] [CrossRef] [PubMed]
- da Silva, L.M.; Burci, L.M.; Crestani, S.; de Souza, P.; da Silva, R.C.M.V.A.F.; Dartora, N.; de Souza, L.M.; Cipriani, T.R.; da Silva-Santos, J.E.; André, E.; et al. Acid-gastric antisecretory effect of the ethanolic extract from Arctium lappa L. root: Role of H+, K+ ATPase, Ca2+ influx and the cholinergic pathway. Inflammopharmacology 2018, 26, 521–530. [Google Scholar] [CrossRef]
- Pozzo-Balbi, T.; Nobile, L.; Scapini, G.; Cini, M. The triterpenoid acids of Schinus molle. Phytochemistry 1978, 17, 2107–2110. [Google Scholar] [CrossRef]
- Salazar, J.R.; Loza-Mejía, M.A.; Soto-Cabrera, D. Chemistry, Biological Activities and In Silico Bioprospection of Sterols and Triterpenes from Mexican Columnar Cactaceae. Molecules 2020, 25, 1649. [Google Scholar] [CrossRef]
- Heeba, G.H.; Hassan, M.K.; Amin, R.S. Gastroprotective effect of simvastatin against indomethacin-induced gastric ulcer in rats: Role of nitric oxide and prostaglandins. Eur. J. Pharmacol. 2009, 607, 188–193. [Google Scholar] [CrossRef]
- Dembinska-Kiec, A.; Pallapies, D.; Simmet, T.; Peskar, B.M.; Peskar, B.A. Effect of carbenoxolone on the biological activity of nitric oxide: Relation to gastroprotection. Br. J. Pharmacol. 1991, 104, 811–816. [Google Scholar] [CrossRef]
- Takeuchi, K.; Amagase, K. Roles of cyclooxygenase, prostaglandin E2 and EP receptors in mucosal protection and ulcer healing in the gastrointestinal tract. Curr. Pharm. Des. 2018, 24, 2002–2011. [Google Scholar] [CrossRef]
- Avila, J.R.; de la Lastra, C.A.; Martin, M.J.; Motilva, V.; Luque, I.; Delgado, D.; Esteban, J.; Herrerias, J. Role of endogenous sulphydryls and neutrophil infiltration in the pathogenesis of gastric mucosal injury induced by piroxicam in rats. Inflamm. Res. 1996, 45, 83–88. [Google Scholar] [CrossRef]
- Sánchez-Mendoza, M.E.; López-Lorenzo, Y.; Cruz-Antonio, L.; Cruz-Oseguera, A.; García-Machorro, J.; Arrieta, J. Gastroprotective effect of juanislamin on ethanol-induced gastric lesions in rats: Role of prostaglandins, nitric oxide and sulfhydryl groups in the mechanism of action. Molecules 2020, 25, 2246. [Google Scholar] [CrossRef] [PubMed]




| Treatment | Dose (mg/kg) | n | Gastroprotection (%) |
|---|---|---|---|
| Hexane extract | 30 | 7 | 75.57 ± 3.65 * |
| 100 | 7 | 99.03 ± 0.28 | |
| Dichloromethane extract | 30 | 7 | 76.91 ± 1.44 # |
| 100 | 7 | 99.32 ± 0.28 | |
| Carbenoxolone | 100 | 7 | 94.90 ± 0.41 |
| Treatment | Dose (mg/kg) | n | Gastroprotection (%) |
|---|---|---|---|
| F1 | 100 | 7 | 99.37 ± 0.44 |
| F2 | 100 | 7 | 99.62 ± 0.25 |
| F3 | 100 | 7 | 37.24 ± 4.13 * |
| Carbenoxolone | 100 | 7 | 99.67 ± 0.21 |
| Treatment | Dose (mg/kg) | n | Volume (mL) | pH |
|---|---|---|---|---|
| Control | 0 | 7 | 1.66 ± 0.04 | 2.19 ± 0.06 |
| White solid | 100 | 7 | 1.27 ± 0.28 | 2.09 ± 0.08 |
| Omeprazole | 30 | 7 | 1.57 ± 0.10 | 5.98 ± 0.24 * |
Publisher’s Note: MDPI stays neutral with regard to jurisdictional claims in published maps and institutional affiliations. |
© 2022 by the authors. Licensee MDPI, Basel, Switzerland. This article is an open access article distributed under the terms and conditions of the Creative Commons Attribution (CC BY) license (https://creativecommons.org/licenses/by/4.0/).
Share and Cite
Sánchez-Mendoza, M.E.; López-Lorenzo, Y.; Cruz-Antonio, L.; Arrieta-Baez, D.; Pérez-González, M.C.; Arrieta, J. First Evidence of Gastroprotection by Schinus molle: Roles of Nitric Oxide, Prostaglandins, and Sulfhydryls Groups in Its Mechanism of Action. Molecules 2022, 27, 7321. https://doi.org/10.3390/molecules27217321
Sánchez-Mendoza ME, López-Lorenzo Y, Cruz-Antonio L, Arrieta-Baez D, Pérez-González MC, Arrieta J. First Evidence of Gastroprotection by Schinus molle: Roles of Nitric Oxide, Prostaglandins, and Sulfhydryls Groups in Its Mechanism of Action. Molecules. 2022; 27(21):7321. https://doi.org/10.3390/molecules27217321
Chicago/Turabian StyleSánchez-Mendoza, María Elena, Yaraset López-Lorenzo, Leticia Cruz-Antonio, Daniel Arrieta-Baez, Miranda Carolina Pérez-González, and Jesús Arrieta. 2022. "First Evidence of Gastroprotection by Schinus molle: Roles of Nitric Oxide, Prostaglandins, and Sulfhydryls Groups in Its Mechanism of Action" Molecules 27, no. 21: 7321. https://doi.org/10.3390/molecules27217321
APA StyleSánchez-Mendoza, M. E., López-Lorenzo, Y., Cruz-Antonio, L., Arrieta-Baez, D., Pérez-González, M. C., & Arrieta, J. (2022). First Evidence of Gastroprotection by Schinus molle: Roles of Nitric Oxide, Prostaglandins, and Sulfhydryls Groups in Its Mechanism of Action. Molecules, 27(21), 7321. https://doi.org/10.3390/molecules27217321

