Phytochemistry Meets Geochemistry—Blumenol C Sulfate: A New Megastigmane Sulfate from Palicourea luxurians (Rubiaceae: Palicoureeae)
Abstract
1. Introduction
2. Results and Discussion
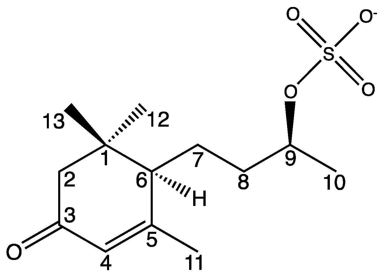
2.1. Isolation and Structure Elucidation of Compound 1
2.2. Possible Biosynthesis
2.3. Sulfur Enriched Hydro- and Geochemical Environment
2.4. Elemental Analysis of the Leaves from P. luxurians
2.5. Bioactivity
3. Materials and Methods
3.1. Plant Material
3.1.1. Plant Material Used for Isolation
3.1.2. Plant Material Used for Elemental Analysis
3.2. Extraction and Isolation
3.3. Chromatographic Purification
3.4. Spectroscopic and Spectrometric Measurements
3.5. Quantum Chemical Calculation Based on NMR and CD Data
3.6. Elemental Analysis
3.7. Antioxidant Activity
3.8. Anti-Microbial Activity
4. Conclusions
Supplementary Materials
Author Contributions
Funding
Institutional Review Board Statement
Informed Consent Statement
Data Availability Statement
Acknowledgments
Conflicts of Interest
Sample Availability
References
- Mendes-Pinto, M.M. Carotenoid breakdown products the—Norisoprenoids—In wine aroma. Arch. Biochem. Biophys. 2009, 483, 236–245. [Google Scholar] [CrossRef] [PubMed]
- Breitmaier, E. Terpene: Aromen, Düfte, Pharmaka, Pheromone, 2nd ed.; John Wiley & Sons: Hoboken, NJ, USA, 2012. [Google Scholar]
- Takeda, Y.; Zhang, H.; Masuda, T.; Honda, G.; Otsuka, H.; Sezik, E.; Yesilada, E.; Sun, H. Megastigmane glucosides from Stachys byzantina. Phytochemistry 1997, 44, 1335–1337. [Google Scholar] [CrossRef]
- Matsunami, K.; Takamori, I.; Shinzato, T.; Aramoto, M.; Kondo, K.; Otsuka, H.; Takeda, Y. Radical-scavenging activities of new megastigmane glucosides from Macaranga tanarius (L.) MÜLL.-ARG. Chem. Pharm. Bull. 2006, 54, 1403–1407. [Google Scholar] [CrossRef] [PubMed]
- Yoshikawa, M.; Morikawa, T.; Zhang, Y.; Nakamura, S.; Muraoka, O.; Matsuda, H. Megastigmanes and their glucosides from the whole plant of Sedum sarmentosum. J. Nat. Prod. 2007, 70, 575–583. [Google Scholar] [CrossRef]
- Kaewkrud, W.; Otsuka, H.; Ruchirawat, S.; Kanchanapoom, T. Megastigmane and flavone glycosides from Strophioblachia fimbricalyx Boerl. J. Nat. Med. 2008, 62, 124–125. [Google Scholar] [CrossRef]
- Rao, A.S. Isolation, absolute configuration and bioactivities of megastigmanes or C13 isonorterpinoides. Chem. Int. 2017, 3, 69–91. [Google Scholar]
- Takeda, Y.; Shimizu, H.; Masuda, T.; Hirata, E.; Shinzato, T.; Bando, M.; Otsuka, H. Lasianthionosides A–C, megastigmane glucosides from leaves of Lasianthus fordii. Phytochemistry 2004, 65, 485–489. [Google Scholar] [CrossRef] [PubMed]
- Cai, W.-H.; Matsunami, K.; Otsuka, H.; Shinzato, T.; Takeda, Y. A glycerol α-D-glucuronide and a megastigmane glycoside from the leaves of Guettarda speciosa L. J. Nat. Med. 2011, 65, 364–369. [Google Scholar] [CrossRef] [PubMed]
- Otsuka, H.; Shitamoto, J.; He, D.-H.; Matsunami, K.; Shinzato, T.; Aramoto, M.; Takeda, Y.; Kanchanapoom, T. Tricalysiosides P—U: Ent-kaurane glucosides and a labdane glucoside from leaves of Tricalysia dubia O HWI. Chem. Pharm. Bull. 2007, 55, 1600–1605. [Google Scholar] [CrossRef] [PubMed][Green Version]
- Shitamoto, J.; Sugimoto, S.; Matsunami, K.; Otsuka, H.; Shinzato, T.; Takeda, Y. Tricalysionoside A, a megastigmane gentiobioside, sulfatricalysines A—F, and tricalysiosides X—Z, ent-kaurane glucosides, from the leaves of Tricalysia dubia. Chem. Pharm. Bull. 2011, 59, 72–77. [Google Scholar] [CrossRef]
- Samy, M.N.; Khalil, H.E.; Sugimoto, S.; Matsunami, K.; Otsuka, H.; Kamel, M.S. Three new flavonoid glycosides, byzantionoside B 6′-O-sulfate and xyloglucoside of (Z)-hex-3-en-1-ol from Ruellia patula. Chem. Pharm. Bull. 2011, 59, 725–729. [Google Scholar] [CrossRef]
- Tran, T.H.; Le Huyen, T.; Tran, T.M.; Nguyen, T.A.; Pham, T.B.; Nguyen Tien, D. A new megastigmane sulphoglycoside and polyphenolic constituents from pericarps of Garcinia mangostana. Nat. Prod. Res. 2016, 30, 1598–1604. [Google Scholar] [CrossRef]
- Uemura, Y.; Kawakami, S.; Sugimoto, S.; Matsunami, K.; Otsuka, H.; Shinzato, T. Sulfated glucosides of an aliphatic alcohol and monoterpenes, and megastigmanes from the leaves of Meliosma pinnata spp. arnottiana. Chem. Pharm. Bull. 2016, 64, 638–643. [Google Scholar] [CrossRef] [PubMed]
- Mamdouh, N.S.; Sugimoto, S.; Matsunami, K.; Otsuka, H.; Kamel, M.S. Taxiphyllin 6′-O-gallate, actinidioionoside 6′-O-gallate and myricetrin 2″-O-sulfate from the leaves of Syzygium samarangense and their biological activities. Chem. Pharm. Bull. 2014, 62, 1013–1018. [Google Scholar] [CrossRef] [PubMed]
- Kuete, V.; Metuno, R.; Ngameni, B.; Mbaveng, A.; Ngandeu, F.; Bezabih, M.; Etoa, F.-X.; Ngadjui, B.; Abegaz, B.; Beng, V. Antimicrobial activity of the methanolic extracts and compounds from Treculia africana and Treculia acuminata (Moraceae). S. Afr. J. Bot. 2008, 74, 111–115. [Google Scholar] [CrossRef]
- Ma, X.; Yang, J.; Deng, S.; Huang, M.; Zheng, S.; Xu, S.; Cai, J.; Yang, X.; Ai, H. Two new megastigmanes from Chinese traditional medicinal plant Sedum sarmentosum. Nat. Prod. Res. 2017, 31, 1473–1477. [Google Scholar] [CrossRef] [PubMed]
- Rahim, A.; Mostofa, M.G.; Sadik, M.G.; Rahman, M.A.A.; Khalil, M.I.; Tsukahara, T.; Nakagawa-Goto, K.; Alam, A.K. The anticancer activity of two glycosides from the leaves of Leea aequata L. Nat. Prod. Res. 2021, 35, 5867–5871. [Google Scholar] [CrossRef]
- Lv, X.-J.; Li, Y.; Ma, S.-G.; Qu, J.; Liu, Y.-B.; Li, Y.-H.; Zhang, D.; Li, L.; Yu, S.-S. Bioactive megastigmane glucosides and monoterpenes from Lyonia ovalifolia. J. Asian Nat. Prod. Res. 2019, 21, 559–572. [Google Scholar] [CrossRef]
- Berger, A.; Fasshuber, H.; Schinnerl, J.; Brecker, L.; Greger, H. Various types of tryptamine-iridoid alkaloids from Palicourea acuminata (=Psychotria acuminata, Rubiaceae). Phytochem. Lett. 2012, 5, 558–562. [Google Scholar] [CrossRef]
- Berger, A.; Kostyan, M.K.; Klose, S.I.; Gastegger, M.; Lorbeer, E.; Brecker, L.; Schinnerl, J. Loganin and secologanin derived tryptamine–iridoid alkaloids from Palicourea crocea and Palicourea padifolia (Rubiaceae). Phytochemistry 2015, 116, 162–169. [Google Scholar] [CrossRef] [PubMed]
- Berger, A.; Preinfalk, A.; Robien, W.; Brecker, L.; Valant-Vetschera, K.; Schinnerl, J. New reports on flavonoids, benzoic-and chlorogenic acids as rare features in the Psychotria alliance (Rubiaceae). Biochem. Syst. Ecol. 2016, 66, 145–153. [Google Scholar] [CrossRef]
- Berger, A.; Tanuhadi, E.; Brecker, L.; Schinnerl, J.; Valant-Vetschera, K. Chemodiversity of tryptamine-derived alkaloids in six Costa Rican Palicourea species (Rubiaceae–Palicoureeae). Phytochemistry 2017, 143, 124–131. [Google Scholar] [CrossRef]
- Kornpointner, C.; Berger, A.; Traxler, F.; Hadžiabdić, A.; Massar, M.; Matek, J.; Brecker, L.; Schinnerl, J. Alkaloid and iridoid glucosides from Palicourea luxurians (Rubiaceae: Palicoureeae) indicate tryptamine-and tryptophan-iridoid alkaloid formation apart the strictosidine pathway. Phytochemistry 2020, 173, 112296. [Google Scholar] [CrossRef]
- Schinnerl, J.; Orlowska, E.A.; Lorbeer, E.; Berger, A.; Brecker, L. Alstrostines in Rubiaceae: Alstrostine A from Chassalia curviflora var. ophioxyloides and a novel derivative, rudgeifoline from Rudgea cornifolia. Phytochem. Lett. 2012, 5, 586–590. [Google Scholar] [CrossRef]
- Cai, X.-H.; Bao, M.-F.; Zhang, Y.; Zeng, C.-X.; Liu, Y.-P.; Luo, X.-D. A new type of monoterpenoid indole alkaloid precursor from Alstonia rostrata. Org. Lett. 2011, 13, 3568–3571. [Google Scholar] [CrossRef] [PubMed]
- Bigham, J.M.; Carlson, L.; Murad, E. Schwertmannite, a new iron oxyhydroxysulphate from Pyhäsalmi, Finland, and other localities. Miner. Mag. 1994, 58, 641–648. [Google Scholar] [CrossRef]
- Arce-Rodríguez, A.; Puente-Sánchez, F.; Avendaño, R.; Libby, E.; Rojas, L.; Cambronero, J.C.; Pieper, D.H.; Timmis, K.N.; Chavarría, M. Pristine but metal-rich Río Sucio (Dirty River) is dominated by Gallionella and other iron-sulfur oxidizing microbes. Extremophiles 2017, 21, 235–243. [Google Scholar] [CrossRef]
- Matsunami, K.; Otsuka, H.; Takeda, Y. Structural revisions of blumenol C glucoside and byzantionoside B. Chem. Pharm. Bull. 2010, 58, 438–441. [Google Scholar] [CrossRef]
- Yan, J.; Shi, X.; Donkor, P.O.; Zhu, H.; Gao, X.; Ding, L.; Qiu, F. Nine pairs of megastigmane enantiomers from the leaves of Eucommia ulmoides Oliver. J. Nat. Med. 2017, 71, 780–790. [Google Scholar] [CrossRef]
- Boss, B.; Richling, E.; Herderich, M.; Schreier, P. HPLC–ESI–MS/MS analysis of sulfated flavor compounds in plants. Phytochemistry 1999, 50, 219–225. [Google Scholar] [CrossRef]
- Schreiber, K.C. Infrared spectra of sulfones and related compounds. Anal. Chem. 1949, 21, 1168–1172. [Google Scholar] [CrossRef]
- Walter, M.H.; Floss, D.S.; Strack, D. Apocarotenoids: Hormones, mycorrhizal metabolites and aroma volatiles. Planta 2010, 232, 1–17. [Google Scholar] [CrossRef] [PubMed]
- Wang, M.; Schäfer, M.; Li, D.; Halitschke, R.; Dong, C.; McGale, E.; Paetz, C.; Song, Y.; Li, S.; Dong, J.; et al. Blumenols as shoot markers of root symbiosis with arbuscular mycorrhizal fungi. eLife 2018, 7, e37093. [Google Scholar] [CrossRef] [PubMed]
- Fester, T.; Hause, B.; Schmidt, D.; Halfmann, K.; Schmidt, J.; Wray, V.; Hause, G.; Strack, D. Occurrence and localization of apocarotenoids in arbuscular mycorrhizal plant roots. Plant Cell Physiol. 2002, 43, 256–265. [Google Scholar] [CrossRef]
- Aasen, A.J.; Hlubucek, J.R.; Enzell, C.R. Tobacco Chemistry. 24. (9ß)-9-Hydroxy-4-megastigmen-3-one, a new tobacco constituent. Acta Chem. Scand 1974, 28b, 285–288. [Google Scholar] [CrossRef]
- Deng, X.; Wu, Y.-J.; Chen, Y.-P.; Zheng, H.-H.; Wang, Z.-P.; Zhu, Y.; Gao, X.-M.; Xu, Y.-T.; Wu, H.-H. Nardonaphthalenones A and B from the roots and rhizomes of Nardostachys chinensis Batal. Bioorg. Med. Chem. Lett 2017, 27, 875–879. [Google Scholar] [CrossRef]
- SciFinder. Chemical Abstracts Service. Available online: https://scifinder.cas.org (accessed on 4 July 2022).
- Hanson, S.R.; Best, M.D.; Wong, C.-H. Sulfatases: Structure, mechanism, biological activity, inhibition, and synthetic utility. Angew. Chem. Int. Ed. 2004, 43, 5736–5763. [Google Scholar] [CrossRef]
- Hirschmann, F.; Krause, F.; Papenbrock, J. The multi-protein family of sulfotransferases in plants: Composition, occurrence, substrate specificity, and functions. Front. Plant Sci. 2014, 5, 556. [Google Scholar] [CrossRef]
- Marsolais, F.; Gidda, S.K.; Boyd, J.; Varin, L. Chapter Fourteen—Plant soluble sulfotransferases: Structural and functional similarity with mammalian enzymes. In Recent Advances in Phytochemistry; Romeo, J.T., Ibrahim, R., Varin, L., De Luca, V., Eds.; Elsevier: Amsterdam, The Netherlands, 2000; Volume 34, pp. 433–456. [Google Scholar]
- Valifard, M.; Mohsenzadeh, S.; Kholdebarin, B.; Rowshan, V.; Niazi, A.; Moghadam, A. Effect of salt stress on terpenoid biosynthesis in Salvia mirzayanii: From gene to metabolite. J. Hortic. Sci. Biotechnol. 2019, 94, 389–399. [Google Scholar] [CrossRef]
- Pringle, C.M.; Triska, F.J.; Browder, G. Spatial variation in basic chemistry of streams draining a volcanic landscape on Costa Rica’s Caribbean slope. Hydrobiologia 1990, 206, 73–85. [Google Scholar] [CrossRef]
- Kandioller, W.; Theiner, J.; Keppler, B.K.; Kowol, C.R. Elemental analysis: An important purity control but prone to manipulations. Inorg. Chem. Front. 2022, 9, 412–416. [Google Scholar] [CrossRef]
- Castellón, E.; Martínez, M.; Madrigal-Carballo, S.; Arias, M.L.; Vargas, W.E.; Chavarría, M. Scattering of light by colloidal aluminosilicate particles produces the unusual sky-blue color of Río Celeste (Tenorio Volcano Complex, Costa Rica). PLoS ONE 2013, 8, e75165. [Google Scholar] [CrossRef]
- Arce-Rodríguez, A.; Puente-Sánchez, F.; Avendaño, R.; Martínez-Cruz, M.; de Moor, J.M.; Pieper, D.H.; Chavarría, M. Thermoplasmatales and sulfur-oxidizing bacteria dominate the microbial community at the surface water of a CO2-rich hydrothermal spring located in Tenorio Volcano National Park, Costa Rica. Extremophiles 2019, 23, 177–187. [Google Scholar] [CrossRef]
- Yang, D.; Liang, J.; Xie, H.; Wei, X. Norsesquiterpenoids and triterpenoids from strawberry cv. Falandi. Food Chem. 2016, 203, 67–72. [Google Scholar] [CrossRef]
- Nimse, S.B.; Pal, D. Free radicals, natural antioxidants, and their reaction mechanisms. RSC Adv. 2015, 5, 27986–28006. [Google Scholar] [CrossRef]
- Williams, R.J.; Spencer, J.P.E.; Rice-Evans, C. Flavonoids: Antioxidants or signalling molecules? Free Radic. Biol. Med. 2004, 36, 838–849. [Google Scholar] [CrossRef]
- Benzie, I.F.F.; Strain, J.J. The ferric reducing ability of plasma (FRAP) as a measure of “antioxidant power”: The FRAP assay. Anal. Biochem. 1996, 239, 70–76. [Google Scholar] [CrossRef]
- Kornpointner, C.; Sainz Martinez, A.; Marinovic, S.; Haselmair-Gosch, C.; Jamnik, P.; Schröder, K.; Löfke, C.; Halbwirth, H. Chemical composition and antioxidant potential of Cannabis sativa L. roots. Ind. Crop. Prod. 2021, 165, 113422. [Google Scholar] [CrossRef]
- Kim, D.O.; Lee, K.W.; Lee, H.J.; Lee, C.Y. Vitamin C equivalent antioxidant capacity (VCEAC) of phenolic phytochemicals. J. Agric. Food Chem. 2002, 50, 3713–3717. [Google Scholar] [CrossRef]
- Re, R.; Pellegrini, N.; Proteggente, A.; Pannala, A.; Yang, M.; Rice-Evans, C. Antioxidant activity applying an improved ABTS radical cation decolorization assay. Free Radic. Biol. Med. 1999, 26, 1231–1237. [Google Scholar] [CrossRef]
- CLSI. Methods for Dilution Antimicrobial Susceptibility Tests for Bacteria That Grow Aerobically; Clinical and Laboratory Standards Institute: Wayne, PA, USA, 2018. [Google Scholar]
- Pregl, F. Die Quantitative Organische Mikroanalyse; Julius Springer: Berlin, Germany, 1917. [Google Scholar]





| pos. | δ 1H (ppm) | δ 13C (ppm) |
|---|---|---|
| 1 | - | 37.3, s |
| 2 | 1.97 (1H, m) 2.48 (1H, d, 16.9) | 48.1, t |
| 3 | - | 202.4, s |
| 4 | 5.81 (1H, s) | 125.4, d |
| 5 | - | 169.9, s |
| 6 | 1.99 (1H, m) | 52.3, d |
| 7 | 1.51 (1H, m) 2.02 (1H, m) | 26.7, t |
| 8 | 1.69 (2H, m) | 37.7, t |
| 9 | 4.40 (1H, ddq, 6.1, 6.1, 6.3) | 77.1, d |
| 10 | 1.32 (3H, d, 6.3) | 21.2, q |
| 11 | 2.05 (3H, d, 1.1) | 24.9, q |
| 12 | 1.01 (3H, s) | 29.0, q |
| 13 | 1.10 (3H, s) | 27.5, q |
| Sample | C | H | N | S | O d | Cl | Total | SO42− | S from SO42− |
|---|---|---|---|---|---|---|---|---|---|
| A | 45.77 (0.01) b | 6.11 (0.01) b | 2.67 (0.05) b | 0.750 (0.011) b | 42.26 | 0.643 (0.086) a | 98.20 | 1.697 (0.314) a | 0.566 |
| B | 47.99 (0.77) b | 6.38 (0.12) b | 2.13 (0.07) b | 0.411 (0.080) b | 40.70 | 0.307 (0.041) a | 97.93 | 0.939 (0.565) a | 0.313 |
| C | 46.07 (0.12) b | 6.21 (0.03) b | 3.38 (0.09) b | 0.535 (0.003) b | 41.63 | 0.144 (0.039) c | 97.96 | 0.375 (0.141) c | 0.125 |
| D | 47.07 (1.57) b | 6.47 (0.24) b | 4.15 (0.02) b | 0.555 (0.013) b | 40.19 | 0.379 (0.066) c | 98.81 | <0.05 c | |
| E | 47.22 (0.22) b | 6.46 (0.06) b | 3.36 (0.03) b | 0.388 (0.004) b | 39.44 (0.19) b | 0.314 (0.011) c | 97.19 | <0.05 c |
Publisher’s Note: MDPI stays neutral with regard to jurisdictional claims in published maps and institutional affiliations. |
© 2022 by the authors. Licensee MDPI, Basel, Switzerland. This article is an open access article distributed under the terms and conditions of the Creative Commons Attribution (CC BY) license (https://creativecommons.org/licenses/by/4.0/).
Share and Cite
Kornpointner, C.; Hochenegger, N.J.; Shi, B.-B.; Berger, A.; Theiner, J.; Brecker, L.; Schinnerl, J. Phytochemistry Meets Geochemistry—Blumenol C Sulfate: A New Megastigmane Sulfate from Palicourea luxurians (Rubiaceae: Palicoureeae). Molecules 2022, 27, 7284. https://doi.org/10.3390/molecules27217284
Kornpointner C, Hochenegger NJ, Shi B-B, Berger A, Theiner J, Brecker L, Schinnerl J. Phytochemistry Meets Geochemistry—Blumenol C Sulfate: A New Megastigmane Sulfate from Palicourea luxurians (Rubiaceae: Palicoureeae). Molecules. 2022; 27(21):7284. https://doi.org/10.3390/molecules27217284
Chicago/Turabian StyleKornpointner, Christoph, Nadine J. Hochenegger, Bao-Bao Shi, Andreas Berger, Johannes Theiner, Lothar Brecker, and Johann Schinnerl. 2022. "Phytochemistry Meets Geochemistry—Blumenol C Sulfate: A New Megastigmane Sulfate from Palicourea luxurians (Rubiaceae: Palicoureeae)" Molecules 27, no. 21: 7284. https://doi.org/10.3390/molecules27217284
APA StyleKornpointner, C., Hochenegger, N. J., Shi, B.-B., Berger, A., Theiner, J., Brecker, L., & Schinnerl, J. (2022). Phytochemistry Meets Geochemistry—Blumenol C Sulfate: A New Megastigmane Sulfate from Palicourea luxurians (Rubiaceae: Palicoureeae). Molecules, 27(21), 7284. https://doi.org/10.3390/molecules27217284

