Synthesis and Identification of New N,N-Disubstituted Thiourea, and Thiazolidinone Scaffolds Based on Quinolone Moiety as Urease Inhibitor
Abstract
1. Introduction
2. Results and Discussion
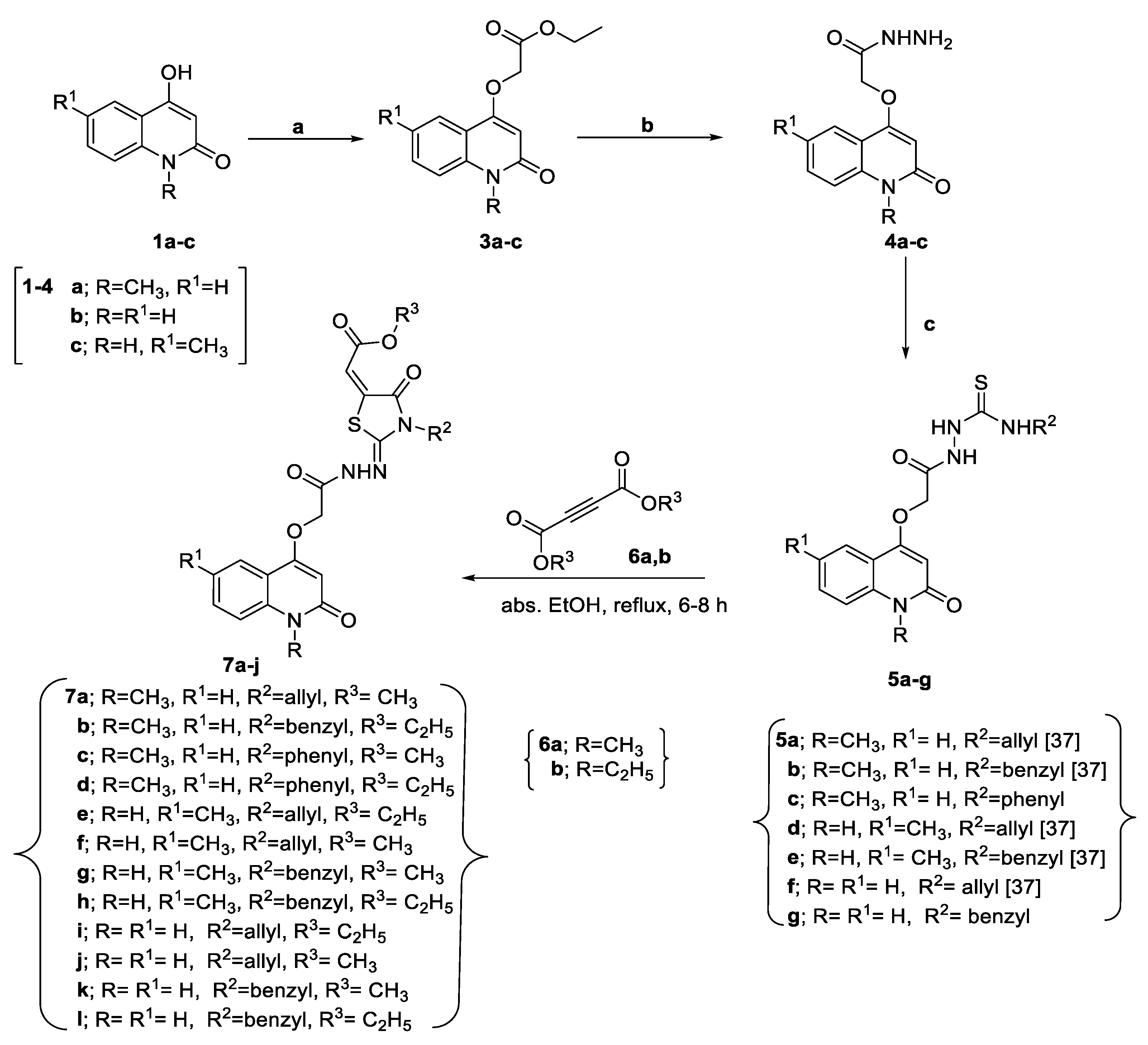
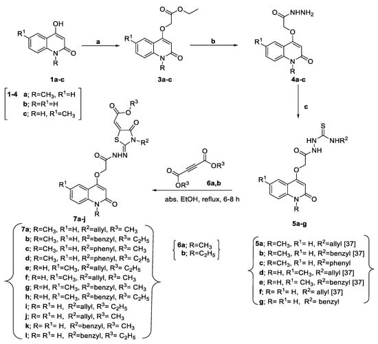
2.1. Chemistry
2.2. Bioactivities
2.2.1. Antibacterial Screening
2.2.2. Urease Inhibition Activity
2.3. Molecular Docking
2.4. Structure–Activity Relationship (SAR)
3. Experimental Section
3.1. General Information
3.2. Starting Materials
3.3. Biology
Urease Inhibitory Activity
4. Molecular Docking Study
5. Conclusions
Supplementary Materials
Author Contributions
Funding
Institutional Review Board Statement
Informed Consent Statement
Data Availability Statement
Acknowledgments
Conflicts of Interest
Sample Availability
References
- Kosikowska, P.; Berlicki, Ł. Urease inhibitors as potential drugs for gastric and urinary tract infections: A patent review. Expert Opin. Ther. Pat. 2011, 21, 945–957. [Google Scholar] [CrossRef] [PubMed]
- Mobley, H.; Hausinger, R. Microbial ureases: Significance, regulation, and molecular characterization. Microbiol. Mol. Biol. Rev. 1989, 53, 85–108. [Google Scholar] [CrossRef] [PubMed]
- Ali, B.; Khan, K.M.; Hussain, S.; Hussain, S.; Ashraf, M.; Riaz, M.; Wadood, A.; Perveen, S. Synthetic nicotinic/isonicotinic thiosemicarbazides: In vitro urease inhibitory activities and molecular docking studies. Bioorg. Chem. 2018, 79, 34–45. [Google Scholar] [CrossRef]
- Maroney, M.J.; Ciurli, S. Nonredox Nickel Enzymes. Chem. Rev. 2014, 114, 4206–4228. [Google Scholar] [CrossRef] [PubMed]
- Coker, C.; Poore, C.A.; Li, X.; Mobley, H.L. Pathogenesis of Proteus mirabilis urinary tract infection. Microbes Infect. 2000, 2, 1497–1505. [Google Scholar] [CrossRef]
- Preininger, C.; Wolfbeis, O.S. Disposable cuvette test with integrated sensor layer for enzymatic determination of heavy metals. Biosens. Bioelectron. 1996, 11, 981–990. [Google Scholar] [CrossRef]
- Beraldo, H.; Gambino, D. The wide pharmacological versatility of semicarbazones, thiosemicarba-zones and their metal complexes. Mini Rev. Med. Chem. 2004, 4, 31–39. [Google Scholar]
- Kafarski, P.; Taka, M. Recent advances in design of new urease inhibitors: A review. J. Adv. Res. 2018, 13, 101–112. [Google Scholar] [CrossRef]
- Svane, S.; Sigurdarson, J.J.; Finkenwirth, F.; Eitinger, T.; Karring, H. Inhibition of urease activity by different compounds provides insight into the modulation and association of bacterial nickel import and ureolysis. Sci. Rep. 2020, 10, 8503. [Google Scholar] [CrossRef]
- Hassan, A.A.; Shawky, A.M. Thiosemicarbazides in heterocyclization. J. Heterocycl. Chem. 2011, 48, 495–516. [Google Scholar] [CrossRef]
- Kalinowski, D.S.; Yu, Y.; Sharpe, P.C.; Islam, M.; Liao, Y.-T.; Lovejoy, D.B.; Kumar, N.; Bernhardt, P.V.; Richardson, D.R. Design, Synthesis, and Characterization of Novel Iron Chelators: Structure−Activity Relationships of the 2-Benzoylpyridine Thiosemicarbazone Series and Their 3-Nitrobenzoyl Analogues as Potent Antitumor Agents. J. Med. Chem. 2007, 50, 3716–3729. [Google Scholar] [CrossRef] [PubMed]
- Abid, M.; Azam, A. Synthesis and antiamoebic activities of 1-N-substituted cyclised pyrazoline analogues of thiosemicarbazones. Biorg. Med. Chem. 2005, 13, 2213–2220. [Google Scholar] [CrossRef] [PubMed]
- Hameed, A.; Khan, K.M.; Zehra, S.T.; Ahmed, R.; Shafiq, Z.; Bakht, S.M.; Yaqub, M.; Hussain, M.; de León, A.D.L.V.; Furtmann, N. Synthesis, biological evaluation and molecular docking of N-phenyl thiosemicarbazones as urease inhibitors. Bioorg. Chem. 2015, 61, 51–57. [Google Scholar] [CrossRef] [PubMed]
- Hameed, A.; Yaqub, M.; Hussain, M.; Hameed, A.; Ashraf, M.; Asghar, H.; Naseer, M.M.; Mahmood, K.; Muddassar, M.; Tahir, M.N. Coumarin-based thiosemicarbazones as potent urease inhibitors: Synthesis, solid state self-assembly and molecular docking. RSC Adv. 2016, 6, 63886–63894. [Google Scholar] [CrossRef]
- Shehzad, M.T.; Imran, A.; Njateng, G.S.S.; Hameed, A.; Islam, M.; Al-Rashida, M.; Uroos, M.; Asari, A.; Shafiq, Z.; Iqbal, J. Benzoxazinone-thiosemicarbazones as antidiabetic leads via aldose reductase inhibition: Synthesis, biological screening and molecular docking study. Bioorg. Chem. 2019, 87, 857–866. [Google Scholar] [CrossRef]
- Refat, M.S.; El-Deen, I.M.; Zein, M.A.; Adam, A.M.A.; Kobeasy, M.I. Spectroscopic, Structural and Electrical Conductivity Studies of Co(II), Ni(II) and Cu(II) Complexes derived from 4- Acetylpyridine with Thiosemicarbazide. Int. J. Electrochem. Sci. 2013, 8, 9894–9917. [Google Scholar]
- Menteşe, E.; Emirik, M.; Sökmen, B.B. Design, molecular docking and synthesis of novel 5,6-dichloro-2-methyl-1H-benzimidazole derivatives as potential urease enzyme inhibitors. Bioorg. Chem. 2019, 86, 151–158. [Google Scholar] [CrossRef]
- Menteşe, E.; Akyüz, G.; Emirik, M.; Baltaş, N. Synthesis, in vitro urease inhibition and molecular docking studies of some novel quinazolin-4(3H)-one derivatives containing triazole, thiadiazole and thiosemicarbazide functionalities. Bioorg. Chem. 2019, 83, 289–296. [Google Scholar] [CrossRef]
- Elbastawesy, M.A.; El-Shaier, Y.A.; Ramadan, M.; Brown, A.B.; Aly, A.A.; Abuo-Rahma, G.E.-D.A. Identification and molecular modeling of new quinolin-2-one thiosemicarbazide scaffold with antimicrobial urease inhibitory activity. Mol. Divers. 2021, 25, 13–27. [Google Scholar] [CrossRef]
- Martínez-Grau, A.; Marco, J. Friedländer reaction on 2-amino-3-cyano-4H-pyrans: Synthesis of derivatives of 4H-pyran [2,3-b] quinoline, new tacrine analogues. Bioorg. Med. Chem. Lett. 1997, 7, 3165–3170. [Google Scholar] [CrossRef]
- Kamperdick, C.; Van, N.H.; van Sung, T.; Adam, G. Bisquinolinone alkaloids from Melicope ptelefolia. Phytochemistry 1999, 50, 177–181. [Google Scholar] [CrossRef]
- Isaka, M.; Tanticharoen, M.; Kongsaeree, P.; Thebtaranonth, Y. Structures of cordypyridones A-D, antimalarial N-hydroxy- and N-methoxy-2-pyridones from the insect pathogenic fungus Cordyceps nipponica. J. Org. Chem. 2001, 66, 4803–4808. [Google Scholar] [CrossRef] [PubMed]
- Koizumi, F.; Fukumitsu, N.; Zhao, J.; Chanklan, R.; Miyakawa, T.; Kawahara, S.; Iwamoto, S.; Suzuki, M.; Kakita, S.; Rahayu, E.S. YCM1008A, a Novel Ca2-Signaling Inhibitor, Produced by Fusarium sp. YCM1008. J. Antibiot. 2007, 60, 455–458. [Google Scholar] [CrossRef] [PubMed]
- Othman, E.S.; Hassanin, H.M.; Mostafa, M.A. Synthesis of Pyrano[3,2-c]quinoline-3-carboxaldehyde and 3-(Ethoxymethylene)-pyrano[3,2-c]quinolinone and Their Chemical Behavior toward Some Nitrogen and Carbon Nucleophiles. J. Heterocycl. Chem. 2019, 56, 1598–1604. [Google Scholar] [CrossRef]
- Magesh, C.J.; Makesh, S.V.; Perumal, P.T. Highly diastereoselective inverse electron demand (IED) Diels–Alder reaction mediated by chiral salen–AlCl complex: The first, target-oriented synthesis of pyranoquinolines as potential antibacterial agents. Bioorg. Med. Chem. Lett. 2004, 14, 2035–2040. [Google Scholar] [CrossRef]
- Fouda, A.M. Halogenated 2-amino-4H-pyrano[3,2-h]quinoline-3-carbonitriles as antitumor agents and structure–activity relationships of the 4-, 6-, and 9-positions. Med. Chem. Res. 2017, 26, 302–313. [Google Scholar] [CrossRef]
- El-Agrody, A.M.; Abd-Rabboh, H.S.; Al-Ghamdi, A.M. Synthesis, antitumor activity, and structure–activity relationship of some 4H-pyrano[3,2-h]quinoline and 7H-pyrimido[4′,5′:6,5]pyrano[3,2-h]quinoline derivatives. Med. Chem. Res. 2013, 22, 1339–1355. [Google Scholar] [CrossRef]
- Deep, A.; Kumar, P.; Narasimhan, B.; Ramasamy, K.; Mani, V.; Kumar, P.; Mishra, R.; Bakar Abdul Majeed, A. Synthesis, antimicrobial, anticancer evaluation of 2-(aryl)-4- thiazolidinone derivatives and their QSAR studies. Curr. Top. Med. Chem. 2015, 15, 990–1002. [Google Scholar] [CrossRef]
- Szychowski, K.A.; Kaminskyy, D.V.; Leja, M.L.; Kryshchyshyn, A.P.; Lesyk, R.B.; Tobiasz, J.; Wnuk, M.; Pomiane, K.T.; Gmiński, J. Anticancer properties of 5Z-(4-fluorobenzylidene)-2-(4-hydroxyphenyl-amino)-thiazol-4-one. Sci. Rep. 2019, 9, 1–16. [Google Scholar]
- Kumar, A.S.; Kudva, J.; Bharath, B.; Ananda, K.; Sadashiva, R.; Kumar, S.M.; Revanasiddappa, B.; Kumar, V.; Rekha, P.; Naral, D. Synthesis, structural, biological and in silico studies of new 5-arylidene-4-thiazolidinone derivatives as possible anticancer, antimicrobial and antitubercular agents. New J. Chem. 2019, 43, 1597–1610. [Google Scholar] [CrossRef]
- Mahdi, M.F.; Raauf, A.; Kadhim, F. Synthesis, characterization and preliminary pharmacological evaluation of new non-steroidal anti-inflammatory pyrazoline derivatives. J. Nat. Sci. Res. 2015, 5, 21–28. [Google Scholar] [CrossRef][Green Version]
- Rahim, F.; Zaman, K.; Ullah, H.; Taha, M.; Wadood, A.; Javed, M.T.; Rehman, W.; Ashraf, M.; Uddin, R.; Uddin, I. Synthesis of 4-thiazolidinone analogs as potent in vitro anti-urease agents. Bioorg. Chem. 2015, 63, 123–131. [Google Scholar] [CrossRef] [PubMed]
- Khomami, A.; Rahimi, M.; Tabei, A.; Saniee, P.; Mahboubi, A.; Foroumadi, A.; Koopaei, N.N.; Almasirad, A. Synthesis and Docking Study of Novel 4-Thiazolidinone Derivatives as Anti-Gram-positive and Anti-H. pylori Agents. Mini Rev. Med. Chem. 2019, 19, 239–249. [Google Scholar] [CrossRef] [PubMed]
- Bonde, C.G.; Gaikwad, N.J. Synthesis and preliminary evaluation of some pyrazine containing thiazolines and thiazolidinones as antimicrobial agents. Biorg. Med. Chem. 2004, 12, 2151–2161. [Google Scholar] [CrossRef] [PubMed]
- Aridoss, G.; Balasubramanian, S.; Parthiban, P.; Kabilan, S. Synthesis, stereochemistry and antimicrobial evaluation of some N-morpholinoacetyl-2,6-diarylpiperidin-4-ones. Eur. J. Med. Chem. 2007, 42, 851–860. [Google Scholar] [CrossRef] [PubMed]
- El-Gaby, M.S.; Ali, G.A.E.-H.; El-Maghraby, A.A.; Abd El-Rahman, M.T.; Helal, M.H. Synthesis, characterization and in vitro antimicrobial activity of novel 2-thioxo-4-thiazolidinones and 4, 4′-bis (2-thioxo-4-thiazolidinone-3-yl) diphenylsulfones. Eur. J. Med. Chem. 2009, 44, 4148–4152. [Google Scholar] [CrossRef]
- Aly, A.A.; Abd El-Aziz, M.; Elshaier, Y.A.M.M.; Brown, A.A.; Fathy, H.M.; Bräse, S.; Nieger, M.; Ramadan, M. Regioselective formation of new 3-S-alkylated-1,2,4-triazole-quinolones. J. Sulfur Chem. 2021, 43, 215–231. [Google Scholar] [CrossRef]
- Benini, S.; Rypniewski, W.R.; Wilson, K.S.; Miletti, S.; Ciurli, S.; Mangani, S. The complex of Bacillus pasteurii urease with acetohydroxamate anion from X-ray data at 1.55 Å resolution. J. Biol. Inorg. Chem. 2000, 5, 110–118. [Google Scholar] [CrossRef]
- Weatherburn, M.W. Phenol-hypochlorite reaction for determination of ammonia. Anal. Chem. 1967, 39, 971–974. [Google Scholar] [CrossRef]
- Fast Rigid Exhaustive Docking (FRED) Receptor, Version 2.2.5. OpenEye Scientific Software: Santa Fe, NM, USA. Available online: http://www.eyesopen.com (accessed on 10 May 2022).
- OMEGA, Version 2.5.1.4. OpenEye Scientific Software: Santa Fe, NM, USA. Available online: http://www.eyesopen.com (accessed on 10 May 2022).
- VIDA, Version 4.1.2. OpenEye Scientific Software: Santa Fe, NM, USA. Available online: http://www.eyesopen.com (accessed on 10 May 2022).
- Sharaf, M.; Arif, M.; Hamouda, H.I.; Khan, S.; Abdalla, M.; Shabana, S.; Rozan, H.E.; Khan, T.U.; Chi, Z.; Liu, C. Preparation, urease inhibition mechanisms, and anti-Helicobacter pylori activities of hesperetin-7-rhamnoglucoside. Curr. Res. Microb. Sci. 2022, 3, 100103. [Google Scholar] [CrossRef]







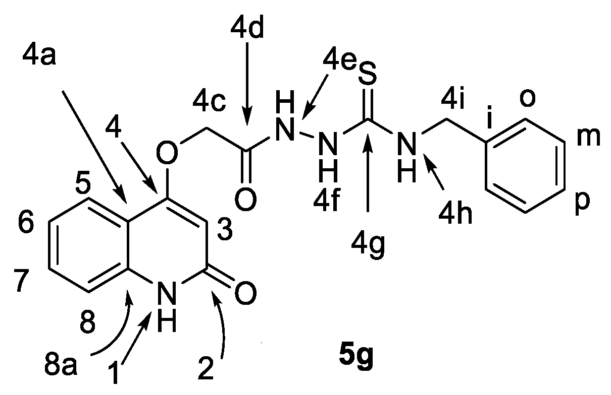
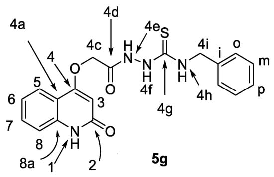
| 1H NMR | COSY | Assignment | |
| 11.29 (s; 1H) | NH-4d | ||
| 8.10 (dd, J = 8.0, 1.0; 1H) | 7.68, 7.30 | H-5 | |
| 7.68 (ddd, J = 7.2, 7.2, 1.1; 1H) | 8.10, 7.53, 7.30 | H-7 | |
| 7.53 (d, J = 8.5; 1H) | 7.68, 7.30 | H-8 | |
| 7.30 (m; 6H) | 8.10, 7.68, 7.53 | H-o, m, p, 6 | |
| 6.91 (s; 1H) | H-5a′ | ||
| 6.12 (s; 1H) | H-3 | ||
| 5.03 (s; 2H) | H-4b | ||
| 4.69 (s; 2H) 4.27 (q, J = 7.1; 2H) 3.57 (s; 3H) 1.28 (t, J = 7.1; 3H) | 1.28 4.27 | H-3a′ H-5c′ H-1a H-5d′ | |
| 13C NMR | HSQC | HMBC | Assignment |
| 165.01 | 4.27 | C-5b′ | |
| 162.00 | 3.57 | C-2 | |
| 160.94 | 6.91 | C-4′ | |
| 160.00 | 8.10, 6.12, 5.03 | C-4 | |
| 145.89 | 4.69 | C-2′ | |
| 139.42 | 8.10, 7.68, 3.57 | C-8a | |
| 138.26 | 7.30 | C-i | |
| 137.42 | 6.91, 4.69 | C-5′ | |
| 131.57 | 7.68 | 8.10, 7.68, 7.53 | C-7 |
| 128.30 | 7.30 | 7.30, 7.30 | C-m |
| 127.40 | 7.30 | 7.30, 7.30, 4.69 | C-o |
| 126.91 | 7.30 | 7.30 | C-p |
| 123.24 | 8.10 | 7.68, 5.03 | C-5 |
| 121.43 | 7.30 | 7.53, 6.12 | C-6 |
| 116.97 | 6.91 | 6.91 | C-5a |
| 115.15 | 7.53 | C-4a | |
| 114.58 | 7.53 | 7.53, 7.30, 6.12, 3.57 | C-8 |
| 97.92 | 6.12 | C-3 | |
| 66.06 | 5.03 | 1.28 | C-4b |
| 61.63 | 4.27 | 7.30 | C-5c′ |
| 54.76 | 4.69 | 6.12 | C-3a′ |
| 28.67 | 3.57 | 3.57 | C-1a |
| 13.94 | 1.28 | 4.27, 1.28 | C-5d′ |
| 15N-NMR | HSQC | HMBC | Assignment |
| 137.9 127.2 | 11.29 | 7.53, 6.12, 3.57 | N-1 N-4d |
| Compd. | IC50 (µM) Urease | MIC (µM) P. mirabilis |
|---|---|---|
| 5a | 2.48 ± 0.18 | 22 (100) |
| 5b | 2.58 ± 0.10 | 20 (100) |
| 5c | 1.83 ± 0.79 | 27 (100) |
| 5d | 5.29 ± 0.36 | 15 (100) |
| 5e | 5.60 ± 0.84 | 9 (100) |
| 5f | 9.45 ± 0.08 | 12 (100) |
| 5g | 11.21 ± 0.27 | 10 (100) |
| 7a | 36.28 ± 0.10 | 9 (200) |
| 7b | 23.98 ± 0.88 | 9 (200) |
| 7c | 18.80 ± 1.72 | 8 (200) |
| 7d | 26.8 ± 1.11 | 6 (200) |
| 7e | 29.8 ± 1.31 | 11 (200) |
| 7f | 31.58 ± 0.15 | 10 (200) |
| 7g | 45.43 ± 0.19 | 7 (200) |
| 7h | 31.29 ± 0.36 | 9 (200) |
| 7i | 42.8 ± 1.51 | 11 (200) |
| 7j | 51.4 ± 0.91 | 6 (200) |
| 7k | 49.45 ± 0.09 | 8 (200) |
| 7l | 37.21 ± 0.28 | 9 (200) |
| lead I [21] | 6.02 ± 0.27 | |
| Thiourea | 22.8 ± 1.31 | |
| Acetohydroxamic acid | 21.03 ± 0.94 | |
| Ciprofloxacin | 8 (1.26) |
| Compound | Structure | Consensus Score | Binding Mode |
|---|---|---|---|
| 5a | ![]() | 102 | Thiourea moiety forms HB Ala:366A; hydrazide forms HB with His:323A |
| 5b | ![]() | 53 | Thiourea moiety forms HB Cys: 322A, |
| 5c | ![]() | 65 | Thiourea moiety forms Two HBs with Ala:366A |
| 5d | ![]() | 127 | Thiourea moiety forms HB with Leu: 365:A; NH of quinolinyl moiety forms HB with Asp:224A. |
| 5e | ![]() | 109 | Thiourea moiety forms HB with Ala: 366A, NH of quinolinyl moiety forms HB with Asp: 224A. |
| 5f | ![]() | 114 | Thiourea moiety forms HB with Ala: 366A, NH of quinolonyl moiety forms HB with Asp: 224A |
| 5g | ![]() | 90 | Thiourea moiety forms HB with Asp:224A Leu:365:A; NH of quinolinyl moiety forms HB with Ala: 366A |
Publisher’s Note: MDPI stays neutral with regard to jurisdictional claims in published maps and institutional affiliations. |
© 2022 by the authors. Licensee MDPI, Basel, Switzerland. This article is an open access article distributed under the terms and conditions of the Creative Commons Attribution (CC BY) license (https://creativecommons.org/licenses/by/4.0/).
Share and Cite
Elshaier, Y.A.M.M.; Aly, A.A.; Abdel-Aziz, M.; Fathy, H.M.; Brown, A.B.; Bräse, S.; Ramadan, M. Synthesis and Identification of New N,N-Disubstituted Thiourea, and Thiazolidinone Scaffolds Based on Quinolone Moiety as Urease Inhibitor. Molecules 2022, 27, 7126. https://doi.org/10.3390/molecules27207126
Elshaier YAMM, Aly AA, Abdel-Aziz M, Fathy HM, Brown AB, Bräse S, Ramadan M. Synthesis and Identification of New N,N-Disubstituted Thiourea, and Thiazolidinone Scaffolds Based on Quinolone Moiety as Urease Inhibitor. Molecules. 2022; 27(20):7126. https://doi.org/10.3390/molecules27207126
Chicago/Turabian StyleElshaier, Yaseen A. M. M., Ashraf A. Aly, Mohamed Abdel-Aziz, Hazem M. Fathy, Alan B. Brown, Stefan Bräse, and Mohamed Ramadan. 2022. "Synthesis and Identification of New N,N-Disubstituted Thiourea, and Thiazolidinone Scaffolds Based on Quinolone Moiety as Urease Inhibitor" Molecules 27, no. 20: 7126. https://doi.org/10.3390/molecules27207126
APA StyleElshaier, Y. A. M. M., Aly, A. A., Abdel-Aziz, M., Fathy, H. M., Brown, A. B., Bräse, S., & Ramadan, M. (2022). Synthesis and Identification of New N,N-Disubstituted Thiourea, and Thiazolidinone Scaffolds Based on Quinolone Moiety as Urease Inhibitor. Molecules, 27(20), 7126. https://doi.org/10.3390/molecules27207126








