GGA and GGA + U Study of ThMn2Si2 and ThMn2Ge2 Compounds in a Body-Centered Tetragonal Ferromagnetic Phase
Abstract
1. Introduction
2. Computational Details
3. Results and Discussion
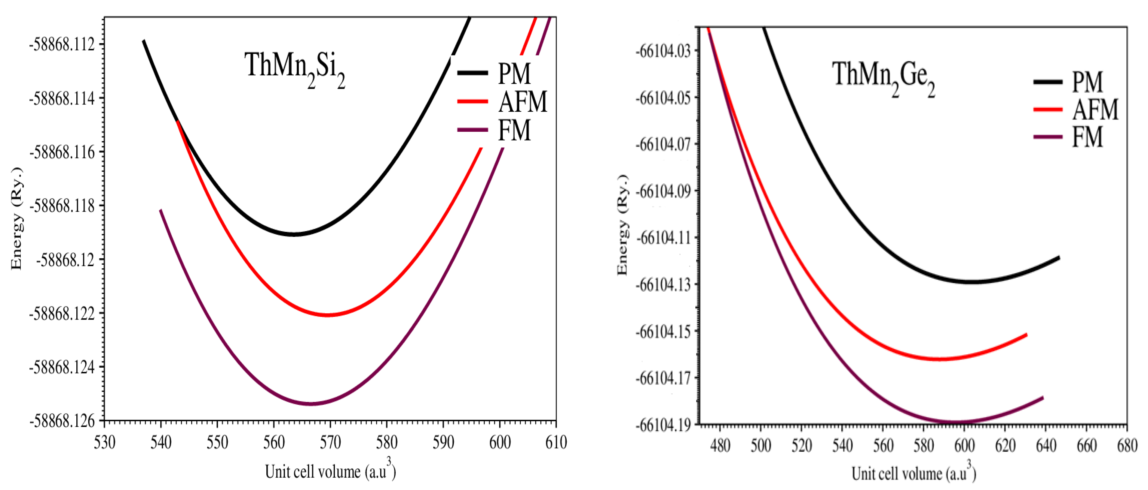
3.1. Structural Properties
3.2. Electronic Properties
Band Structures and Density of States
3.3. Magnetic Properties
4. Conclusions
Author Contributions
Funding
Institutional Review Board Statement
Informed Consent Statement
Data Availability Statement
Conflicts of Interest
Sample Availability
References
- Masumoto, K.; McGahan, W.A. Electromagnetic applications of intermetallic compounds. MRS Bull. 1996, 21, 44–49. [Google Scholar] [CrossRef]
- Schetky, L.M. Miscellaneous applications of intermetallic compounds. MRS Bull. 1996, 21, 50–55. [Google Scholar] [CrossRef]
- Zada, Z.; Laref, A.; Murtaza, G.; Zeb, A.; Yar, A. First-principles calculations of electronic and magnetic properties of XMn2Y2 (X = Ca, Sr; Y = Sb, Bi) compounds. Int. J. Mod. Phys. B 2019, 33, 1950199. [Google Scholar] [CrossRef]
- Katsnelson, M.I.; Irkhin, V.Y.; Chioncel, L.; Lichtenstein, A.I.; de Groot, R.A. Half-metallic ferromagnets: From band structure to many-body effects. Rev. Mod. Phys. 2008, 80, 315. [Google Scholar] [CrossRef]
- Hirohata, A.; Takanashi, K. Future perspectives for spintronic devices. J. Phys. D Appl. Phys. 2014, 47, 193001. [Google Scholar] [CrossRef]
- Khan, A.A.; Yaseen, M.; Laref, A.; Murtaza, G. Impact of anion replacement on the optoelectronic and thermoelectric properties of CaMg2X2, X = (N, P, As, Sb, Bi) compounds. Phys. B Condens. Matter 2018, 541, 24–31. [Google Scholar] [CrossRef]
- Pearson, P.; Calvert, L. Pearson’s Handbook of Crystallographics Data for Intermetallic Phases, 2nd ed.; ASM International: Geauga, OH, USA, 1991. [Google Scholar]
- Khan, A.A.; Hasil, R.; Laref, A.; Ullah, N.; Sajjad, M.; Zeb, A.; Murtaza, G. DFT prediction of the structural, electronic, thermoelectric and optical properties of ternary pnictides MgBe2X2 (X= N, P, As, Sb, Bi): A novel analysis of beryllium with 2A-and 5B-Elements of the structure type CaAl2Si2. Solid State Commun. 2019, 300, 113667. [Google Scholar] [CrossRef]
- Murtaza, G.; Khan, A.A.; Yaseen, M.; Laref, A.; Ullah, N.; ur Rahman, I. The effect of replacing pnictogen elements on the physical properties SrMg2 (, P, As, Sb, Bi) Zintl compounds. Chin. Phys. B 2018, 27, 047102. [Google Scholar] [CrossRef]
- Khan, A.A.; Rehman, A.U.; Laref, A.; Yousaf, M.; Murtaza, G. Structural, optoelectronic and thermoelectric properties of ternary CaBe2X2 (X= N, P, As, Sb, Bi) compounds. Z. Für Nat. A 2018, 73, 965–973. [Google Scholar] [CrossRef]
- Sikirica, M.; Ban, Z. Thorium Transition Metals Ternary Germanides. Croat. Chem. Acta 1964, 36, 151–158. [Google Scholar]
- Ban, Z.; Sikirica, M. The crystal structure of ternary silicides ThM2Si2 (M= Cr, Mn, Fe, Co, Ni and Cu). Acta Crystallogr. 1965, 18, 594–599. [Google Scholar] [CrossRef]
- Omejec, L.; Ban, Z. Magnetic Susceptibilities of ThM2X2 Compounds (M= Cr, Mn, Fe, Co, Ni and Cu; X= Si and Ge). Z. Für Anorg. Und Allg. Chem. 1971, 380, 111–117. [Google Scholar] [CrossRef]
- Korotin, D.M.; Finkelstein, L.D.; Streltsov, S.V.; Gerasimov, E.G.; Kurmaev, E.Z.; Mushnikov, N.V. Origin of magnetic phase transition in RMn2Si2 (R= rare-earth ion or Y) intermetallics. Comput. Mater. Sci. 2020, 184, 109901. [Google Scholar] [CrossRef]
- Korotin, D.M.; Rosenfeld, E.V.; Mushnikov, N.V.; Gerasimov, E.G.; Zhidkov, I.S.; Kukharenko, A.I.; Finkelstein, L.D.; Cholakh, S.O.; Kurmaev, E.Z. Electronic structure of RMn2Si2 (R= Y, La) intermetallics: DFT and XPS studies. J. Alloys Compd. 2017, 695, 1663–1671. [Google Scholar] [CrossRef]
- Narasimhan, K.S.V.L.; Rao, V.U.S.; Wallace, W.E.; Pop, I. Magnetic properties of RMn2X2 compounds (R= Rare earth, Y or Th and X= Ge, Si). In AIP Conference Proceedings; American Institute of Physics: College Park, MD, USA, 1976; Volume 29, pp. 594–595. [Google Scholar] [CrossRef]
- Venturini, G. The Electronic Structure of the RΜn2Ge2 (R= Ca, Y, La, Ba) Antiferromagnets. Acta Phys. Pol. Ser. A 2000, 97, 761–765. [Google Scholar] [CrossRef]
- Narasimhan, K.S.V.L.; Rao, V.U.S.; Bergner, R.L.; Wallace, W.E. Magnetic properties of R Mn2Ge2 compounds (R= La, Ce, Pr, Nd, Cd, Tb, Dy, Ho, Er, and Th). J. Appl. Phys. 1975, 46, 4957–4960. [Google Scholar] [CrossRef]
- McCall, W.M.; Narasimhan, K.S.V.L.; Butera, R.A. Magnetic properties of R Co2 Ge2 compounds (R= La, Ce, Pr, Nd, Sm, Gd, Tb, Dy, Ho, Er, Tm, Yb, Lu, and Y). J. Appl. Phys. 1973, 44, 4724–4726. [Google Scholar] [CrossRef]
- Gyorgy, E.M.; Batlogg, B.; Remeika, J.P.; Van Dover, R.B.; Fleming, R.M.; Bair, H.E.; Espinosa, G.P.; Cooper, A.S.; Maines, R.G. The P-T magnetic phase diagram of SmMn2Ge2. J. Appl. Phys. 1987, 61, 4237–4239. [Google Scholar] [CrossRef]
- Bibi, R.; Zada, Z.; Khan, A.A.; Azam, S.; Irfan, M.; Haq, B.U.; Ahmad, M.; Khan, S.A. First-principles calculations of structural, electronic, magnetic, thermoelectric, and thermodynamic properties of BaMn2P2 in the Anti and ferromagnetic phase. J. Solid State Chem. 2021, 302, 122388. [Google Scholar] [CrossRef]
- Khan, A.A.; Saqib, M.; Zada, Z.; Chahed, F.; Ismail, M.; Ishaq, M.; Khan, Q.; Faizan, M. Electronic structure, magnetic, and thermoelectric properties of BaMn2As2 compound: A first-principles study. Phys. Scr. 2022, 97, 065810. [Google Scholar] [CrossRef]
- Khan, A.A.; Zada, Z.; Reshak, A.H.; Akbar, J.; Saqib, M.; Naeem, M.A.; Ismail, M.; Zada, S.; Murtaza, G.; Laref, A.; et al. Effects of anion-ligands replacement on the structural, electronic and magnetic properties of ThCo2X2 (X= Si, Ge). Chin. J. Phys. 2022, 77, 956–964. [Google Scholar] [CrossRef]
- Zada, Z.; Khan, A.A.; Zada, R.; Reshak, A.H.; Murtaza, G.; Saqib, M.; Ramli, M.M.; Bila, J. First-principles calculations to investigate variation of cationic-ligand LmAl2Ge2 (Lm= Ca, Y, La and Ce). Indian J. Phys. 2022, 96, 3151–3159. [Google Scholar] [CrossRef]
- Khan, A.A.; Reshak, A.H.; Zada, Z.; Saqib, M.; Abbas, Z.; Ismail, M.; Zada, S.; Murtaza, G.; Ali, S.; Laref, A. Thermoelectric, structural, electronic, magnetic, and thermodynamic properties of CaZn2Ge2 compound. Eur. Phys. J. Plus 2022, 137, 351. [Google Scholar] [CrossRef]
- Zada, Z.; Zada, R.; Khan, A.A.; Saqib, M.; Rehman, M.F.U.; Ismail, M.; Kulhari, N.; Sharma, K.S.; Shen, X.; Faizan, M. Investigation of electronic structure, magnetic stability, spin coupling, and thermodynamic properties of novel antiferromagnets XMn2Y2 (X= Ca, Sr; Y= P, As). J. Mol. Struct. 2022, 1268, 133698. [Google Scholar] [CrossRef]
- Blaha, P.; Schwarz, K.; Madsen, G.K.; Kvasnicka, D.; Luitz, J. Wien2k, An Augmented Plane Wave+ Local Orbitals Program for Calculating Crystal Properties; Schwarz, Vienna University of Technology: Vienna, Austria, 2001; ISBN 3-9501031-1-2. [Google Scholar]
- Zada, Z.; Khan, A.A.; Reshak, A.H.; Ismail, M.; Zada, S.; Murtaza, G.; Saqib, M.; Ramli, M.M.; Bila, J. Cationic variation for LnAl2Si2 (Ln= Y, Sm, Tb, Dy, Yb) compounds by density functional theory. J. Mol. Struct. 2022, 1252, 132136. [Google Scholar] [CrossRef]
- Zada, Z.; Ullah, H.; Zada, R.; Khan, A.A.; Mahmood, A.; Ramay, S.M. Electronic band profiles, magnetic stability, antiferromagnetic spins ordering and thermodynamics properties of novel antiferromagnet CaCr2Sb2. Eur. Phys. J. Plus 2021, 136, 371. [Google Scholar] [CrossRef]
- Zada, Z.; Ullah, H.; Zada, R.; Zada, S.; Laref, A.; Azam, S.; Khan, A.A.; Irfan, M. Structure stability, half metallic ferromagnetism, magneto-electronic and thermoelectric properties of new zintl XCr2Bi2 (X= Ca, Sr) compounds for spintronic and renewable energy applications. Phys. B Condens. Matter 2021, 607, 412866. [Google Scholar] [CrossRef]
- Zada, Z.; Ullah, H.; Bibi, R.; Zada, S.; Mahmood, A. Electronic band profiles and magneto-electronic properties of ternary XCu2P2 (X= Ca, Sr) compounds: Insight from ab initio calculations. Z. Für Nat. A 2020, 75, 543–549. [Google Scholar] [CrossRef]
- Blöchl, P.E.; Jepsen, O.; Andersen, O.K. Improved tetrahedron method for Brillouin-zone integrations. Phys. Rev. B 1994, 49, 16223. [Google Scholar] [CrossRef]
- Perdew, J.P.; Burke, K.; Ernzerhof, M. Generalized gradient approximation made simple. Phys. Rev. Lett. 1996, 77, 3865. [Google Scholar] [CrossRef]
- Perdew, J.P.; Wang, Y. Accurate and simple analytic representation of the electron-gas correlation energy. Phys. Rev. B 1992, 45, 13244. [Google Scholar] [CrossRef] [PubMed]
- Wu, Z.; Cohen, R.E. More accurate generalized gradient approximation for solids. Phys. Rev. B 2006, 73, 235116. [Google Scholar] [CrossRef]
- Perdew, J.P.; Ruzsinszky, A.; Csonka, G.I.; Vydrov, O.A.; Scuseria, G.E.; Constantin, L.A.; Zhou, X.; Burke, K. Restoring the density-gradient expansion for exchange in solids and surfaces. Phys. Rev. Lett. 2008, 100, 136406. [Google Scholar] [CrossRef] [PubMed]
- Wu, S.Q.; Zhu, Z.Z.; Yang, Y.; Hou, Z.F. Structural stabilities, electronic structures and lithium deintercalation in LixMSiO4 (M= Mn, Fe, Co, Ni): A GGA and GGA+ U study. Comput. Mater. Sci. 2009, 44, 1243–1251. [Google Scholar] [CrossRef]
- Rossi, D.; Marazza, R.; Mazzone, D.; Ferro, R. Lattice parameters of RMn2Si2 and RMn2Ge2 compounds. J. Less Common Met. 1978, 59, 79–83. [Google Scholar] [CrossRef]
- Murnaghan, F.D. The compressibility of media under extreme pressures. Proc. Natl. Acad. Sci. USA 1944, 30, 244–247. [Google Scholar] [CrossRef] [PubMed]
- Naseri, M.; Jalilian, J.; Reshak, A.H. Electronic and optical properties of pentagonal-B2C monolayer: A first-principles calculation. Int. J. Mod. Phys. B 2017, 31, 1750044. [Google Scholar] [CrossRef]
- Khan, A.A.; Khan, W.; Khan, A.; Laref, A.; Zeb, A.; Murtaza, G. Investigation of the structural, electrical, optical and magnetic properties of XMg4Mn6O15 (X= K, Rb, and Cs) compounds. Mater. Res. Express 2019, 6, 066102. [Google Scholar] [CrossRef]
- Rahim, I.; Azam, S.; Gul, B.; Khan, A.A.; Yousaf, N.; Zada, Z.; Saqib, M.; Subhan, F.; Ismail, M.; Khan, A.; et al. Advances in tuning band gap of graphene by potential doping using DFT: A review. Dig. J. Nanomater. Biostruct. (DJNB) 2021, 16, 975–988. [Google Scholar]
- Murtaza, G.; Khan, A.A.; AL-Anazy, M.M.; Laref, A.; Mahmood, Q.; Zada, Z.; Aman, M. Anionic variations for BaMg2X2 (X= N to Bi) compounds by density functional theory. Eur. Phys. J. Plus 2021, 136, 136. [Google Scholar] [CrossRef]
- Sahnoun, M.; Daul, C.; Haas, O.; Wokaun, A. Investigation of the electronic structure in La1−xCaxCoO3 (x = 0, 0.5) using full potential calculations. J. Phys. Condens. Matter 2005, 17, 7995. [Google Scholar] [CrossRef]
- Siddique, M.; Iqbal, A.; Rahman, A.U.; Azam, S.; Zada, Z.; Talat, N. Mechanical and thermodynamic stability, structural, electronics and magnetic properties of new ternary thorium-phosphide silicides ThSixP1-x: First-principles investigation and prospects for clean nuclear energy applications. Nucl. Eng. Technol. 2021, 53, 592–602. [Google Scholar] [CrossRef]
- Sinaga, G.S.; Utimula, K.; Nakano, K.; Hongo, K.; Maezono, R. First Principles Calculations of Superconducting Critical Temperature of ThCr2 Si2-Type Structure 2019. arXiv 2019, arXiv:1911.10716. [Google Scholar]
- Ciesielski, K.; Chajewski, G.; Samsel–Czekała, M.; Hackemer, A.; Obstarczyk, P.; Pikul, A.P.; Kaczorowski, D. Electronic properties of LaTE2Ge2 (TE= Fe, Co, Ni, Cu and Ru). Solid State Commun. 2018, 280, 13–17. [Google Scholar] [CrossRef]
- Khan, Z.; Murtaza, G.; Khan, A.A.; Laref, A.; Kattan, N.A.; Haneef, M. Different physical properties of bi-alkali pnictogen compounds using density functional theory. Int. J. Energy Res. 2021, 45, 7703–7718. [Google Scholar] [CrossRef]
- Khan, A.A.; Reshak, A.H.; Noor, Z.; Murtaza, G.; Al-Anazy, M.M.; Althib, H.; Flemban, T.H.; Laref, A.; Bakri, A.M.A.; Bila, J. First-principles calculations of structural, electronic, optical, and thermoelectric properties of ternary d-metal sulfides Sc2CdS4 and Y2CdS4 compounds. Int. J. Energy Res. 2021, 45, 13657–13667. [Google Scholar] [CrossRef]





| Compounds | Lattice Constant (A)0 | V0 (a.u)3 | B (GPa) | Bp | E0 (Ry) | |||
|---|---|---|---|---|---|---|---|---|
| a | c | FM | PM | AFM | ||||
| ThMn2Si2 Exp b | 4.015 4.019 b | 10.480 10.483 b | 563.5188 | 152.9576 | 5.0 | −58,868.125 | −58,868.119 | −58,868.122 |
| ThMn2Ge2 Expa,b,c | 4.088 4.084 a, 4.090 b, 4.690 c | 10.904 10.930 a, 10.907 b, 10.907 c | 595.9810 | 118.4229 | 5.44 | −66,104.19 | −66,104.13 | −66,104.16 |
| Compounds | minte | MTh | MMn | MSi/Ge | mcell | Δ = mcell − MMn |
|---|---|---|---|---|---|---|
| ThMn2Si2(PBE-GGA) | −0.04156 | −0.00300 | 1.90730 | −0.04194 | 3.68615 | 1.77885 |
| GGA + U | −0.15905 | −0.08126 | 4.18022 | −0.08740 | 7.94534 | 3.76512 |
| Exp. | ----------- | ----------- | 2.98 a | ----------- | ----------- | ----------- |
| Other calc. | ----------- | ----------- | ----------- | ----------- | ----------- | ----------- |
| ThMn2Ge2(PBE-GGA) | −0.17642 | −0.05845 | 2.17623 | −0.03884 | 4.03992 | 1.86369 |
| GGA + U | 0.01043 | −0.02784 | 4.42327 | −0.04544 | 8.73824 | 4.31497 |
| Exp. | ----------- | ----------- | 1.57 a, 0.10 b | ----------- | ----------- | ----------- |
| Other calc. | ----------- | ----------- | ----------- | ----------- | ----------- | ----------- |
Publisher’s Note: MDPI stays neutral with regard to jurisdictional claims in published maps and institutional affiliations. |
© 2022 by the authors. Licensee MDPI, Basel, Switzerland. This article is an open access article distributed under the terms and conditions of the Creative Commons Attribution (CC BY) license (https://creativecommons.org/licenses/by/4.0/).
Share and Cite
Khan, A.A.; Zada, Z.; Reshak, A.H.; Ishaq, M.; Zada, S.; Saqib, M.; Ismail, M.; Fazal-ur-Rehman, M.; Murtaza, G.; Zada, S.; et al. GGA and GGA + U Study of ThMn2Si2 and ThMn2Ge2 Compounds in a Body-Centered Tetragonal Ferromagnetic Phase. Molecules 2022, 27, 7070. https://doi.org/10.3390/molecules27207070
Khan AA, Zada Z, Reshak AH, Ishaq M, Zada S, Saqib M, Ismail M, Fazal-ur-Rehman M, Murtaza G, Zada S, et al. GGA and GGA + U Study of ThMn2Si2 and ThMn2Ge2 Compounds in a Body-Centered Tetragonal Ferromagnetic Phase. Molecules. 2022; 27(20):7070. https://doi.org/10.3390/molecules27207070
Chicago/Turabian StyleKhan, Abdul Ahad, Zeshan Zada, Ali H. Reshak, Muhammad Ishaq, Sabeen Zada, Muhammad Saqib, Muhammad Ismail, Muhammad Fazal-ur-Rehman, Ghulam Murtaza, Shafqat Zada, and et al. 2022. "GGA and GGA + U Study of ThMn2Si2 and ThMn2Ge2 Compounds in a Body-Centered Tetragonal Ferromagnetic Phase" Molecules 27, no. 20: 7070. https://doi.org/10.3390/molecules27207070
APA StyleKhan, A. A., Zada, Z., Reshak, A. H., Ishaq, M., Zada, S., Saqib, M., Ismail, M., Fazal-ur-Rehman, M., Murtaza, G., Zada, S., & Ramli, M. M. (2022). GGA and GGA + U Study of ThMn2Si2 and ThMn2Ge2 Compounds in a Body-Centered Tetragonal Ferromagnetic Phase. Molecules, 27(20), 7070. https://doi.org/10.3390/molecules27207070

