Green Extraction of Forsythoside A, Phillyrin and Phillygenol from Forsythia suspensa Leaves Using a β-Cyclodextrin-Assisted Method
Abstract
1. Introduction
2. Results and Discussion
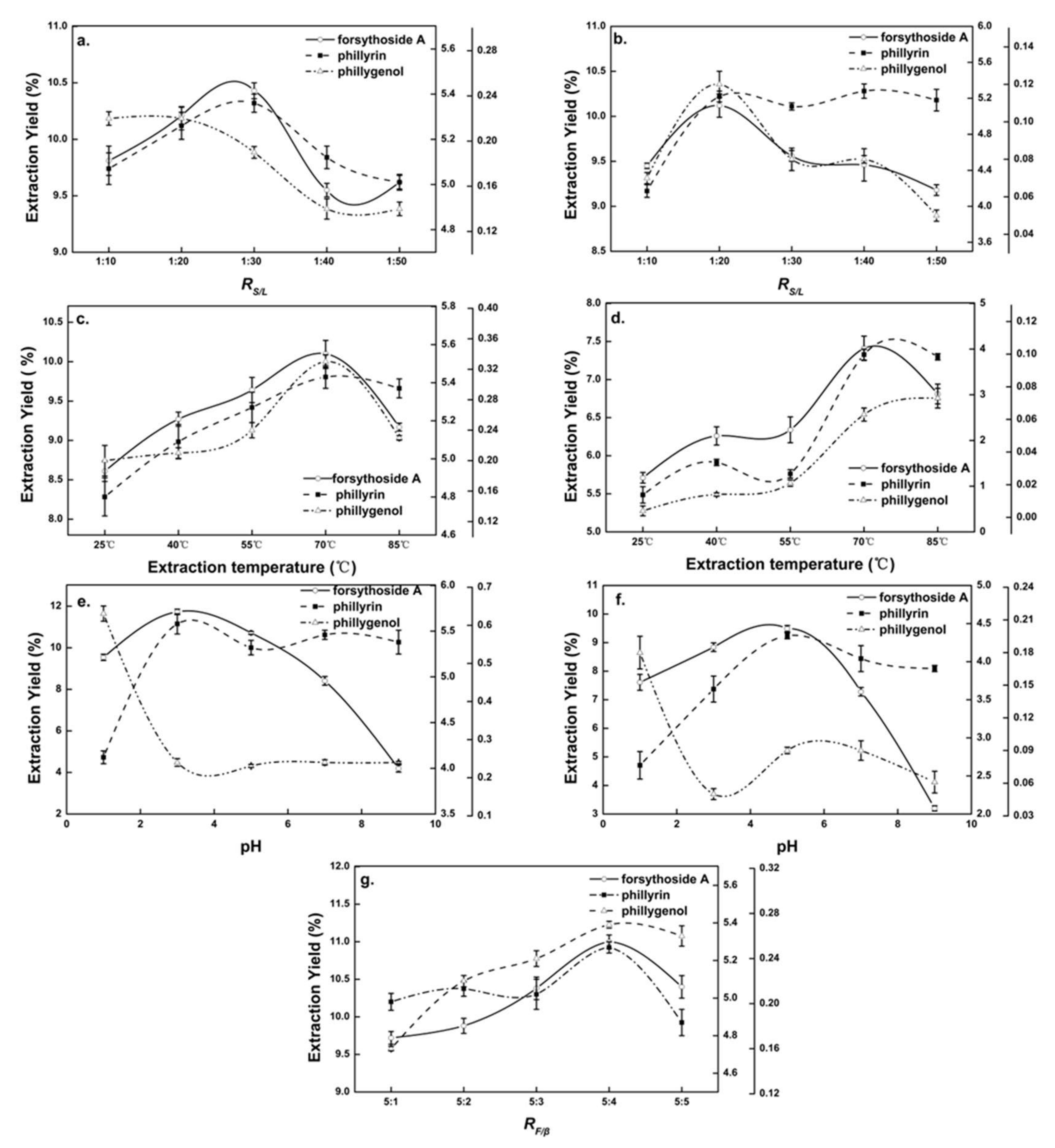
2.1. Single-Factor Experiments
2.1.1. Effects of the Solid–Liquid Ratio on Natural Products
2.1.2. Effects of Extraction Temperature on Natural Products
2.1.3. Effects of pH on Natural Products
2.1.4. Effects of RF/β on Natural Products
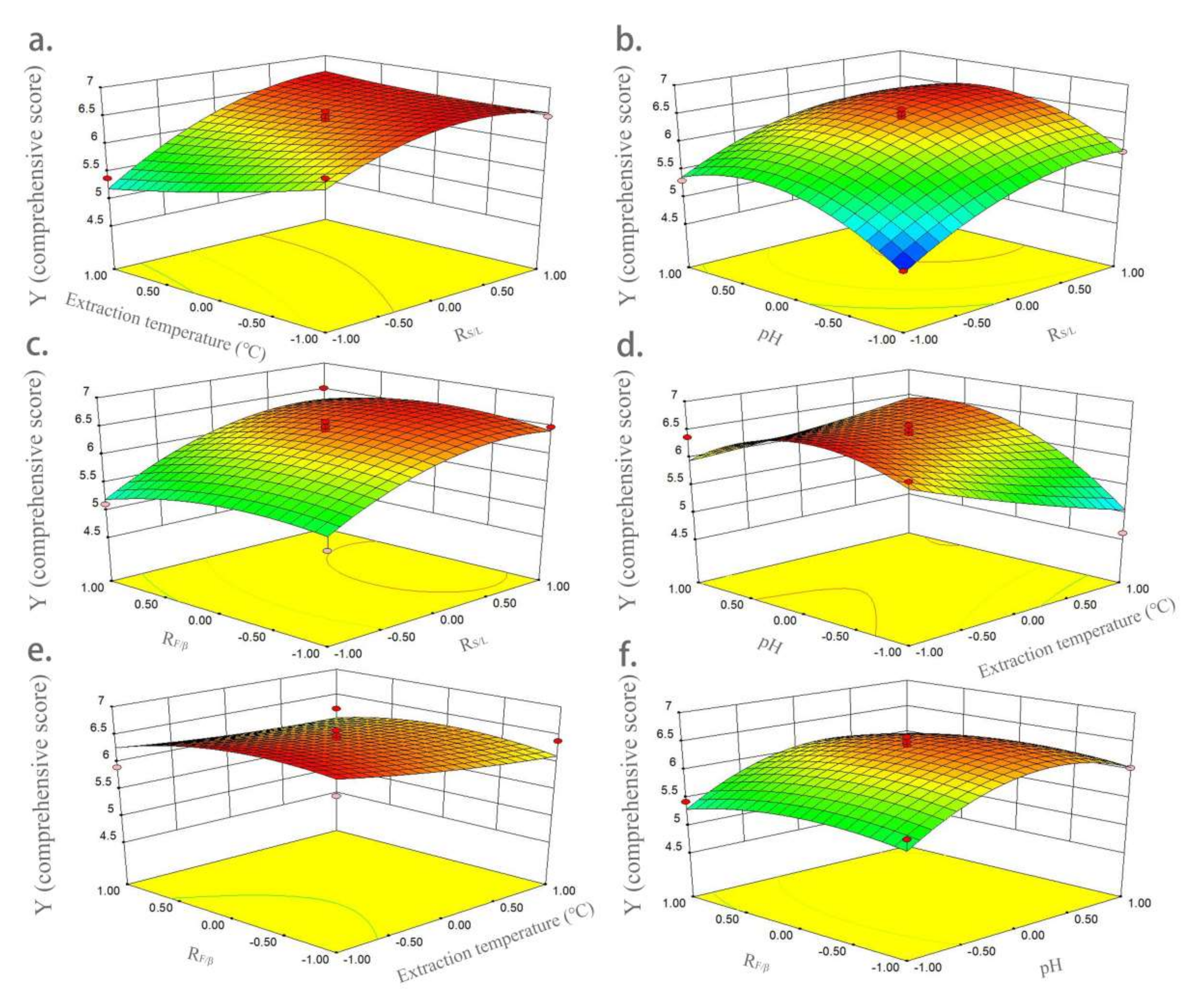
2.2. Response Surface Optimization of Extraction for β-CD-Assisted Extraction
0.43017X2X3 + 0.067554X2X4 − 0.901034X3X4 − 0.34706X12 + 0.55742X22 − 0.53869X32 − 0.21180X42
2.3. Characterization of β-CD Inclusion Complexes
2.3.1. PXRD Analysis
2.3.2. FT-IR Spectroscopy Analysis
2.3.3. Thermal Studies
2.3.4. SEM Analysis
2.3.5. Molecular Docking
2.4. Thermal Stability Study
2.5. Aqueous Solubility Experiments
2.6. Antioxidant Activity Study
3. Materials and Methods
3.1. Materials and Reagents
3.2. Optimization of Extraction Using RSM
3.3. Quantitative Analysis of Forsythoside A, Phillyrin and Phillygenol Using HPLC
3.4. Characterization of Natural Products from Forsythia Suspensa Leaves
3.4.1. Fourier Transform Infrared Spectroscopy (FT-IR)
3.4.2. Powder X-ray Diffraction (PXRD)
3.4.3. Differential Scanning Calorimetry (DSC)
3.4.4. Scanning Electron Microscopy (SEM)
3.4.5. Molecular Docking
3.5. Thermal Stability
3.6. Aqueous Solubility
3.7. In Vitro Antioxidant Activity
3.7.1. DPPH Free Radical Scavenging Activity
3.7.2. ABTS Free Radical Scavenging Activity
3.8. Statistical Analysis
4. Conclusions
Supplementary Materials
Author Contributions
Funding
Institutional Review Board Statement
Informed Consent Statement
Data Availability Statement
Conflicts of Interest
Sample Availability
References
- Wang, D.-H.; Wang, M.-Y.; Shen, W.-H.; Yuan, J.-F. Analysis of chemical compounds and toxicological evaluation of Forsythia suspensa leaves tea. Food Sci. Biotechnol. 2021, 30, 305–314. [Google Scholar] [CrossRef] [PubMed]
- Wang, Z.; Xia, Q.; Liu, X.; Liu, W.; Huang, W.; Mei, X.; Luo, J.; Shon, M.; Lin, R.; Zou, D.; et al. Phytochemistry, pharmacology, quality control and future research of Forsythia suspensa (Thunb.) Vahl: A review. J. Ethnopharmacol. 2018, 210, 318–339. [Google Scholar] [CrossRef] [PubMed]
- Fu, Y.; Pan, F.; Zhao, L.; Zhao, S.; Yi, J.; Cai, S. Interfering effects on the bioactivities of several key proteins of COVID-19/variants in diabetes by compounds from Lianqiao leaves: In silico and in vitro analyses. Int. J. Biol. Macromol. 2022, 207, 715–729. [Google Scholar] [CrossRef] [PubMed]
- Gong, L.; Wang, C.; Zhou, H.; Ma, C.; Zhang, Y.; Peng, C.; Li, Y. A review of pharmacological and pharmacokinetic properties of Forsythiaside A. Pharmacol. Res. 2021, 169, 105690. [Google Scholar] [CrossRef]
- Chen, X.; Wu, Y.; Chen, C.; Gu, Y.; Zhu, C.; Wang, S.; Chen, J.; Zhang, L.; Lv, L.; Zhang, G.; et al. Identifying potential anti-COVID-19 pharmacological components of traditional Chinese medicine Lianhuaqingwen capsule based on human exposure and ACE2 biochromatography screening. Acta Pharm. Sin. B 2021, 11, 222–236. [Google Scholar] [CrossRef]
- Chao, L.M.; Lin, J.; Zhou, J.; Du, H.L.; Chen, X.L.; Liu, M.J.; Qu, Q.; Lv, W.J.; Guo, S.N. Polyphenol Rich Forsythia suspensa Extract Alleviates DSS-Induced Ulcerative Colitis in Mice through the Nrf2-NLRP3 Pathway. Antioxidants 2022, 11, 475. [Google Scholar] [CrossRef]
- Qu, Q.; Li, Y.; Dong, Q.; Li, S.; Du, H.; Wang, Z.; Gong, X.; Zhang, W.; Lv, W.; Chao, L.; et al. Comparative Evaluation of Forsythiae Fructus From Different Harvest Seasons and Regions by HPLC/NIR Analysis and Anti-inflammatory and Antioxidant Assays. Front. Pharmacol. 2021, 12, 737576. [Google Scholar] [CrossRef]
- Han, Z.; Lei, X.-L.; Zhang, H.; Liu, L.; Chen, Z.-S.; Yang, W.; Lun, Z.-R. Evaluating the safety of forsythin from Forsythia suspensa leaves by acute and sub-chronic oral administration in rodent models. Asian Pac. J. Trop. Med. 2017, 10, 47–51. [Google Scholar] [CrossRef]
- Jiao, J.; Gai, Q.-Y.; Luo, M.; Wang, W.; Gu, C.-B.; Zhao, C.-J.; Zu, Y.-G.; Wei, F.-Y.; Fu, Y.-J. Comparison of main bioactive compounds in tea infusions with different seasonal Forsythia suspensa leaves by liquid chromatography-tandem mass spectrometry and evaluation of antioxidant activity. Food Res. Int. 2013, 53, 857–863. [Google Scholar] [CrossRef]
- Wang, T.; Dong, S.W.; Sun, Z.Y.; Wang, Y.M.; Luo, X.F.; Chen, B.; Yao, G.Z.; Gao, Y.; Lv, C.X.; Zheng, D.F.; et al. Chemical components from different parts of Forsythia suspensa vahl with different extraction methods by gas chromatography-mass spectrometry. Therm. Sci. 2020, 24, 1617–1624. [Google Scholar]
- Lee, J.J.; Kim, K.H.; Kim, E.J.; Choi, J.-Y.; Kim, S.-J.; Jeong, S.-I.; Kim, J.-I.; Joo, M. Anti-inflammatory activity of the decoction of Forsythia suspensa (Thunb.) Vahl is related to Nrf2 and A20. J. Ethnopharmacol. 2018, 227, 97–104. [Google Scholar] [CrossRef] [PubMed]
- Kaul, A.; Kuthethur, R.; Ishida, Y.; Terao, K.; Wadhwa, R.; Kaul, S.C. Molecular Insights into the Antistress Potentials of Brazilian Green Propolis Extract and Its Constituent Artepillin C. Molecules 2022, 27, 80. [Google Scholar] [CrossRef] [PubMed]
- Fang, X.; Wang, Y.; Wang, J.; Zhang, J.; Wang, X. Microwave-assisted extraction followed by RP-HPLC for the simultaneous extraction and determination of Forsythiaside A, rutin, and phillyrin in the fruits of Forsythia suspensa. J. Sep. Sci. 2013, 36, 2672–2679. [Google Scholar] [CrossRef] [PubMed]
- Fang, X.; Gu, S.; Jin, Z.; Hao, M.; Yin, Z.; Wang, J. Optimization of Ultrasonic-Assisted Simultaneous Extraction of Three Active Compounds from the Fruits of Forsythia suspensa and Comparison with Conventional Extraction Methods. Molecules 2018, 23, 2115. [Google Scholar] [CrossRef] [PubMed]
- Sun, Y.; Hou, Z.; Liu, Z.; Wang, J. Ionic Liquid-Based Ultrasonic-Assisted Extraction of Forsythosides from the Leaf of Forsythia suspensa (Thunb.) Vahl and Subsequent Separation and Purification by High-Speed Counter-Current Chromatography. J. Chromatogr. Sci. 2016, 54, 1445–1452. [Google Scholar] [CrossRef]
- Qi, M.; Zhao, S.; Zhou, B.; Zhang, M.; Zhang, H.; Wang, Y.; Hu, P. Probing the degradation mechanism of Forsythiaside A and simultaneous determination of three Forsythiasides in Forsythia preparations by a single marker. J. Sep. Sci. 2019, 42, 3503–3511. [Google Scholar] [CrossRef]
- Jia, J.; Huo, L.; Zhang, L. Study on inclusion behaviour of Forsythiaside A with beta-cyclodextrin. Phys. Chem. Liq. 2018, 56, 438–451. [Google Scholar] [CrossRef]
- Oo, A.; Kerdpol, K.; Mahalapbutr, P.; Rungrotmongkol, T. Molecular encapsulation of emodin with various beta-cyclodextrin derivatives: A computational study. J. Mol. Liq. 2022, 347, 118002. [Google Scholar] [CrossRef]
- Suvarna, V.; Bore, B.; Bhawar, C.; Mallya, R. Complexation of phytochemicals with cyclodextrins and their derivatives- an update. Biomed. Pharmacother. 2022, 149, 112862. [Google Scholar] [CrossRef]
- Kazlauskaite, J.A.; Ivanauskas, L.; Bernatoniene, J. Cyclodextrin-Assisted Extraction Method as a Green Alternative to Increase the Isoflavone Yield from Trifolium pratensis L. Extract. Pharmaceutics 2021, 13, 620. [Google Scholar] [CrossRef]
- Maraulo, G.E.; Ferreira, C.D.; Mazzobre, M.F. beta-cyclodextrin enhanced ultrasound-assisted extraction as a green method to recover olive pomace bioactive compounds. J. Food Process Preserv. 2021, 45, e15194. [Google Scholar] [CrossRef]
- Rajha, H.N.; Chacar, S.; Afif, C.; Vorobiev, E.; Louka, N.; Marount, R.G. beta-Cyclodextrin-Assisted Extraction of Polyphenols from Vine Shoot Cultivars. J. Agric. Food Chem. 2015, 63, 3387–3393. [Google Scholar] [CrossRef] [PubMed]
- Rakotondramasy-Rabesiaka, L.; Havet, J.-L.; Porte, C.; Fauduet, H. Estimation of effective diffusion and transfer rate during the protopine extraction process from Fumaria officinalis L. Sep. Purif. Technol. 2010, 76, 126–131. [Google Scholar] [CrossRef]
- Cai, R.; Yuan, Y.; Cui, L.; Wang, Z.; Yue, T. Cyclodextrin-assisted extraction of phenolic compounds: Current research and future prospects. Trends Food Sci. Technol. 2018, 79, 19–27. [Google Scholar] [CrossRef]
- Wang, L.; Zhou, Y.; Wang, Y.; Qin, Y.; Liu, B.; Bai, M. Two green approaches for extraction of dihydromyricetin from Chinese vine tea using beta-Cyclodextrin-based and ionic liquid-based ultrasonic-assisted extraction methods. Food Bioprod. Processing 2019, 116, 1–9. [Google Scholar] [CrossRef]
- Yolmeh, M.; Jafari, S.M. Applications of Response Surface Methodology in the Food Industry Processes. Food Bioprocess Technol. 2017, 10, 413–433. [Google Scholar] [CrossRef]
- Zhang, H.-J.; Liu, Y.-N.; Wang, M.; Wang, Y.-F.; Deng, Y.-R.; Cui, M.-L.; Ren, X.-L.; Qi, A.-D. One-pot beta-cyclodextrin-assisted extraction of active ingredients from Xue-Zhi-Ning basing its encapsulated ability. Carbohydr. Polym. 2015, 132, 437–443. [Google Scholar] [CrossRef]
- Wu, Y.; Xiao, Y.; Yue, Y.; Zhong, K.; Zhao, Y.; Gao, H. A deep insight into mechanism for inclusion of 2R,3R-dihydromyricetin with cyclodextrins and the effect of complexation on antioxidant and lipid-lowering activities. Food Hydrocoll. 2020, 103, 105718. [Google Scholar] [CrossRef]
- Pu, H.; Sun, Q.; Tang, P.; Zhao, L.; Li, Q.; Liu, Y.; Li, H. Characterization and antioxidant activity of the complexes of tertiary butylhydroquinone with beta-cyclodextrin and its derivatives. Food Chem. 2018, 260, 183–192. [Google Scholar] [CrossRef]
- Li, H.; Zhao, Q.S.; Chang, S.L.; Chang, T.R.; Tan, M.H.; Zhao, B. Development of cannabidiol full-spectrum oil/2,6-di-O-methyl-beta-cyclodextrin inclusion complex with enhanced water solubility, bioactivity, and thermal stability. J. Mol. Liq. 2022, 347, 118318. [Google Scholar] [CrossRef]
- Xie, Y.-L.; Zhou, H.-M.; Qian, H.-F. Effect of addition of peach gum on physicochemical properties of gelatin-based microcapsule. J. Food Biochem. 2006, 30, 302–312. [Google Scholar] [CrossRef]
- Li, H.; Zhao, Q.; Wang, L.; Wang, P.; Zhao, B. Cannabidiol/hydroxypropyl-β-cyclodextrin inclusion complex: Structure analysis, release behavior, permeability, and bioactivity under in vitro digestion. New J. Chem. 2022, 46, 4700–4709. [Google Scholar] [CrossRef]
- Yang, J.; Guo, J.; Yuan, J. In vitro antioxidant properties of rutin. Lwt-Food Sci. Technol. 2008, 41, 1060–1066. [Google Scholar] [CrossRef]
- Liu, M.; Dong, L.; Chen, A.; Zheng, Y.; Sun, D.; Wang, X.; Wang, B. Inclusion complexes of quercetin with three beta-cyclodextrins derivatives at physiological pH: Spectroscopic study and antioxidant activity. Spectrochim. Acta Part A Mol. Biomol. Spectrosc. 2013, 115, 854–860. [Google Scholar] [CrossRef] [PubMed]








Publisher’s Note: MDPI stays neutral with regard to jurisdictional claims in published maps and institutional affiliations. |
© 2022 by the authors. Licensee MDPI, Basel, Switzerland. This article is an open access article distributed under the terms and conditions of the Creative Commons Attribution (CC BY) license (https://creativecommons.org/licenses/by/4.0/).
Share and Cite
Li, J.; Qin, Q.; Zha, S.-H.; Zhao, Q.-S.; Li, H.; Liu, L.-P.; Hou, S.-B.; Zhao, B. Green Extraction of Forsythoside A, Phillyrin and Phillygenol from Forsythia suspensa Leaves Using a β-Cyclodextrin-Assisted Method. Molecules 2022, 27, 7055. https://doi.org/10.3390/molecules27207055
Li J, Qin Q, Zha S-H, Zhao Q-S, Li H, Liu L-P, Hou S-B, Zhao B. Green Extraction of Forsythoside A, Phillyrin and Phillygenol from Forsythia suspensa Leaves Using a β-Cyclodextrin-Assisted Method. Molecules. 2022; 27(20):7055. https://doi.org/10.3390/molecules27207055
Chicago/Turabian StyleLi, Jing, Qiao Qin, Sheng-Hua Zha, Qing-Sheng Zhao, Hang Li, Lu-Peng Liu, Shou-Bu Hou, and Bing Zhao. 2022. "Green Extraction of Forsythoside A, Phillyrin and Phillygenol from Forsythia suspensa Leaves Using a β-Cyclodextrin-Assisted Method" Molecules 27, no. 20: 7055. https://doi.org/10.3390/molecules27207055
APA StyleLi, J., Qin, Q., Zha, S.-H., Zhao, Q.-S., Li, H., Liu, L.-P., Hou, S.-B., & Zhao, B. (2022). Green Extraction of Forsythoside A, Phillyrin and Phillygenol from Forsythia suspensa Leaves Using a β-Cyclodextrin-Assisted Method. Molecules, 27(20), 7055. https://doi.org/10.3390/molecules27207055

