Preparation and Physicochemical Characterization of Gelatin–Aldehyde Derivatives
Abstract
1. Introduction
2. Results and Discussion
3. Materials and Methods
3.1. Materials
3.2. Methods
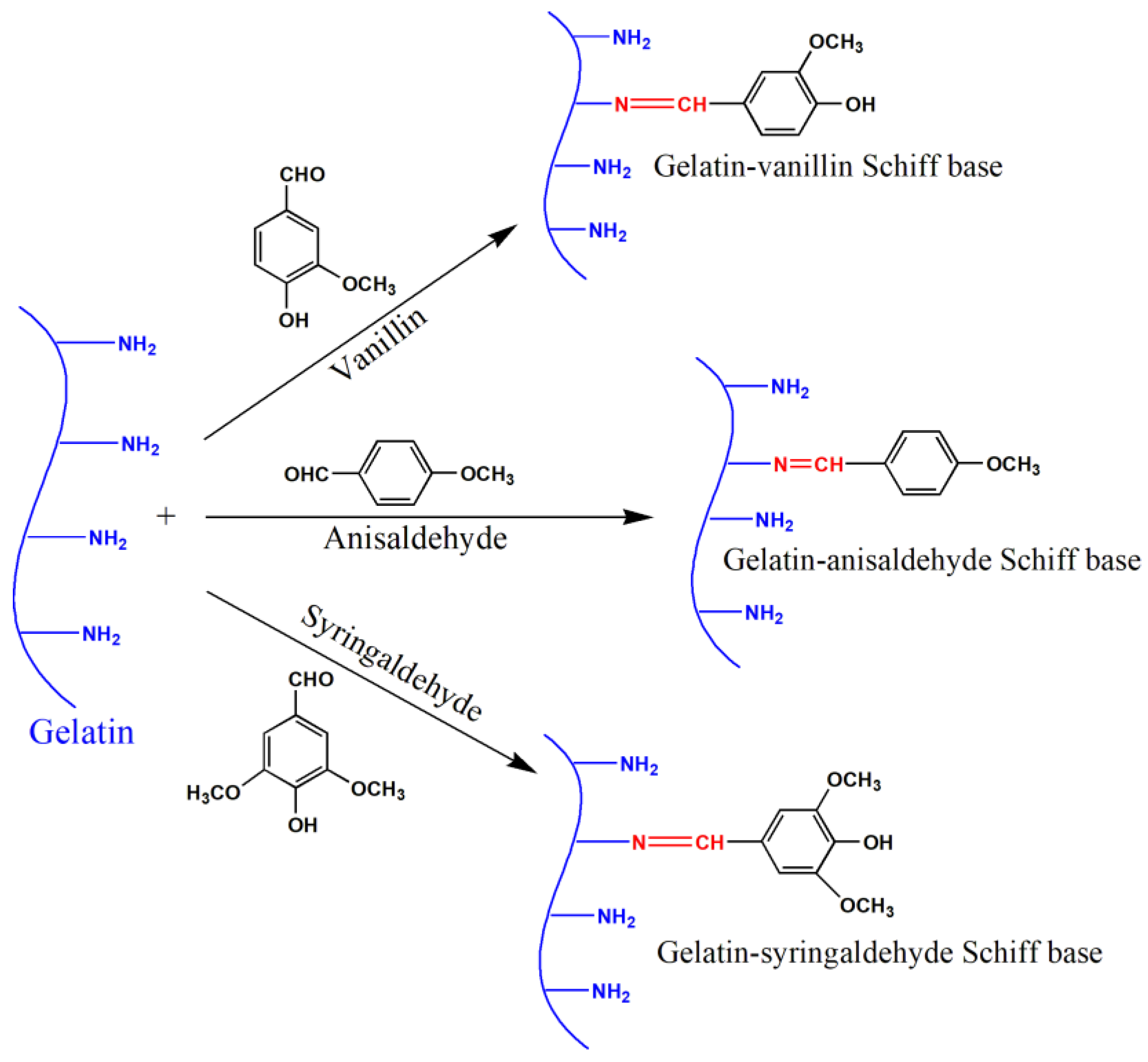
3.2.1. Synthesis of Gelatin Derivatives Anisaldehyde–, Vanillin– and Syringaldehyde–Gelatin
3.2.2. Fourier-Transform Infrared Spectrophotometry (FT-IR)
3.2.3. UV-Vis Spectroscopic Analysis
3.2.4. Scanning Electron Microscopy Analysis
3.2.5. Thermal Gravimetric Analysis
3.2.6. Differential Scanning Calorimetry
3.2.7. 1H NMR Analysis
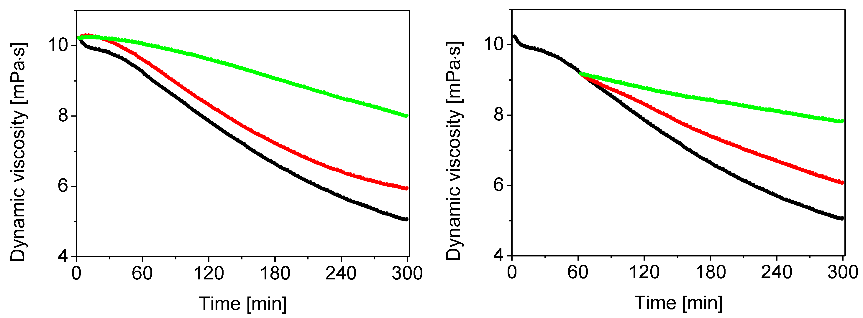
3.2.8. Effects on Free-Radical-Mediated Degradation of Hyaluronan
- (a)
- In the first set of experiments, the stock solution of CuCl2 (50 µL) was added to the HA solution (7.8 or 6.9 mL) and stirred for 30 s. After 7.5 min without stirring, 100 or 1000 µL of gelatin or its derivatives was added and stirred for 30 s. Finally, the stock solution of ascorbic acid (50 µL) was added, stirred for 30 s, and the reaction mixture was immediately transferred into the viscometer Teflon® vessel. Under these conditions, the compounds were examined for their ability to inhibit the initiation phase of HA degradation.
- (b)
- In the second set of experiments, a similar procedure as described in (a) was applied. However, after 7.5 min, 50 µL of stock solution of ascorbic acid was added, followed by stirring the HA mixture for 1 h. Then, 50 µL of the stock solution of gelatin or its derivatives was added and stirred for 30 s. The HA solution was immediately transferred into the viscometer Teflon® vessel. Under these conditions, the compounds were tested for their ability to inhibit the propagation phase of HA degradation.
3.2.9. ABTS Assay
Author Contributions
Funding
Institutional Review Board Statement
Informed Consent Statement
Data Availability Statement
Conflicts of Interest
Sample Availability
References
- Natu, M.V.; Sardinha, J.P.; Correia, I.J.; Gil, M.H. Controlled release gelatin hydrogels and lyophilisates with potential application as ocular inserts. Biomed. Mater. 2007, 2, 241–249. [Google Scholar] [CrossRef] [PubMed]
- Gómez-Guillén, M.C.; Giménez, B.; López-Caballero, M.E.; Montero, M.P. Functional and bioactive properties of collagen and gelatin from alternative sources: A review. Food Hydrocoll. 2011, 25, 1813–1827. [Google Scholar] [CrossRef]
- Rose, J.B.; Pacelli, S.; El Haj, A.J.; Dua, H.S.; Hopkinson, A.; White, L.J.; Rose, F.R.A.J. Gelatin-based materials in ocular tissue engineering. Materials 2014, 7, 3106–3135. [Google Scholar] [CrossRef] [PubMed]
- Zheng, Y.; Liang, Y.; Zhang, D.; Sun, X.; Liang, L.; Li, J.; Liu, Y.N. Gelatin-based hydrogels blended with gellan as an injectable wound dressing. ACS Omega 2018, 3, 4766–4775. [Google Scholar] [CrossRef]
- Jones, R.T. Gelatin: Manufacture and physio-chemical properties. In Pharmaceutical Capsules; Podczeck, F., Jones, B.E., Eds.; Pharmaceutical Press: London, UK, 2004; pp. 23–60. [Google Scholar]
- Bohidar, H.B.; Jena, S.S. Study of sol-state properties of aqueous gelatin solutions. J. Chem. Phys. 1994, 100, 6888–6895. [Google Scholar] [CrossRef]
- Kavoosi, G.; Dadfar, S.M.M.; Purfard, A.M.; Mehrabi, R. Antioxidant and antibacterial properties of gelatin films incorporated with carvacrol. J. Food Saf. 2013, 33, 423–432. [Google Scholar] [CrossRef]
- Yamamoto, M.; Ikada, Y.; Tabata, Y. Controlled release of growth factors based on biodegradation of gelatin hydrogel. J. Biomater. Sci. Polym. Ed. 2001, 12, 77–88. [Google Scholar] [CrossRef]
- Bertoni, F.; Barbani, N.; Giusti, P.; Ciardelli, G. Transglutaminase reactivity with gelatine: Perspective applications in tissue engineering. Biotechnol. Lett. 2006, 28, 697–702. [Google Scholar] [CrossRef]
- Dong, Y.; Rodrigues, S.A.M.; Li, X.; Kwon, S.H.; Kosaric, N.; Khong, S.; Gao, Y.; Wang, W.; Gurtner, G.C. Injectable and tunable gelatin hydrogels enhance stem cell retention and improve cutaneous wound healing. Adv. Funct. Mater. 2017, 27, 1606619. [Google Scholar] [CrossRef]
- Nagahama, H.; Maeda, H.; Kashiki, T. Preparation and characterization of novel chitosan/gelatin membranes using chitosan hydrogel. Carbohydr. Polym. 2009, 76, 255–260. [Google Scholar] [CrossRef]
- Yurong, L.; Luke, M.G.; Kennedy, J.E. Thermal behavior and mechanical properties of physi-cally crosslinked PVA/gelatin hydrogels. J. Mech. Behav. Biomed. Mater. 2010, 3, 203–209. [Google Scholar]
- Tsukada, M.; Hayasaka, S.; Inoue, K.; Nishikawa, S.; Yamamoto, S. Cell Culture Bed Substrate for Proliferation of Animal Cell and Its Preparation. Patent JPH 11243948, 3 February 1999. [Google Scholar]
- Fahlbusch, K.G.; Franz-Josef, H.; Panten, J.; Pickenhagen, W.; Schatkowski, D.; Kurt, B.; Garbe, D.; Surburg, H. Flavors and Fragrances in Ullmann’s Encyclopedia of Industrial Chemistry; Wiley-VCH: Weinheim, Germany, 2003. [Google Scholar]
- Shreaz, S.; Bhatia, R.; Khan, N.; Muralidhar, S.; Basir, S.F.; Manzoor, N.; Khan, L.A. Exposure of Candida to p-anisaldehyde inhibits its growth and ergosterol biosynthesis. J. General. App. Microbiol. 2011, 57, 129–136. [Google Scholar] [CrossRef]
- Mbah, J.A.; Ayimele, G.A.; Kodjio, N.; Yong, J.N.; Gatsing, D. Synthesis, molecular structure and antibacterial activity of 1-(4-methoxybenzaldehyde)-4-methylthiosemicarbazone. Int. J. Org. Chem. 2017, 7, 229–239. [Google Scholar] [CrossRef]
- Shojaii, A.; Fard, M. Review of Pharmacological Properties and Chemical Constituents of Pimpinella anisum. ISRN Pharm. 2012, 2012, 510795. [Google Scholar] [CrossRef]
- Lai, J.Y.; Li, Y.T.; Cho, C.H.; Yu, T.C. Nanoscale modification of porous gelatin scaffolds with chondroitin sulfate for corneal stromal tissue engineering. Int. J. Nanomed. 2012, 7, 1101–1114. [Google Scholar] [CrossRef]
- Taravel, M.N.; Domard, A. Collagen and its interactions with chitosan: III. Some biological and mechanical properties. Biomaterials 1996, 17, 451–455. [Google Scholar] [CrossRef]
- Li, X.K.; Cai, S.X.; Liu, B. Characteristics of PLGA-gelatin complex as potential artificial nerve scaffold. Colloids Surf. B Biointerfaces 2007, 57, 198–203. [Google Scholar] [CrossRef]
- Chong, E.J.; Phan, T.T.; Lim, I.J. Evaluation of electrospun PCL/gelatin nanofibrous scaffold for wound healing and layered dermal reconstitution. Acta Biomater. 2007, 3, 321–330. [Google Scholar] [CrossRef]
- Valachová, K.; Šoltés, L. Hyaluronan as a prominent biomolecule with numerous applications in medicine. Int. J. Mol. Sci. 2021, 22, 7077. [Google Scholar] [CrossRef]
- Sakai, S.; Ohi, H.; Taya, M. Gelatin/hyaluronic acid content in hydrogels obtained through blue light-induced gelation affects hydrogel properties and adipose stem cell behaviors. Biomolecules 2019, 9, 342. [Google Scholar] [CrossRef]
- Hossan, J.; Gafur, M.A.; Kadir, M.R.; Karim, M.M. Preparation and characterization of gelatin-hydroxyapatite composite for bone tissue engineering. Int. J. Eng. Technol. IJET-IJENS 2014, 14, 1424–1432. [Google Scholar]
- Pradini, D.; Juwono, H.; Madurani, K.A.; Kurniawan, F. A preliminary study of identification halal gelatin using quartz crystal microbalance (QCM) sensor. Mal. J. Fund App. Sci. 2018, 14, 325–330. [Google Scholar] [CrossRef]
- Kenawy, E.; Omer, A.M.; Tamer, T.M.; Elmeligy, M.A.; Mohy Eldin, M.S. Fabrication of biodegradable gelatin/chitosan/cinnamaldehyde crosslinked membranes for antibacterial wound dressing applications. Int. J. Biol. Macromol. 2019, 139, 440–448. [Google Scholar] [CrossRef]
- Wan, Y.; Wang, Y.; Cheng, G.; Yao, K. Preparation and characterization of gelatin gel with a gradient structure. Polym. Int. 2000, 49, 1600–1603. [Google Scholar] [CrossRef]
- Omer, A.M.; Ammar, Y.A.; Mohamed, A.; Abd Elbaky, Y.M.; Tamer, T.M. Preparation of Isatin/chitosan schiff base as novel antibacterial biomaterials. Egypt. J. Chem. 2019, 62, 123–131. [Google Scholar] [CrossRef]
- Hafidz, R.N.; Yaakob, C.M.; Amin, I.; Noorfaizan, A. Chemical and functional properties of bovine and porcine skin gelatin. Int. Food Res. J. 2011, 18, 813–817. [Google Scholar]
- Mohy Eldin, M.S.; Hashem, A.I.; Omer, A.M.; Tamer, T.M. Preparation: Characterization and antimicrobial evaluation of novel cinnamyl chitosan Schiff base. Int. J. Adv. Res. 2015, 3, 741–755. [Google Scholar]
- Lim, J.Y.; Donahue, H.J. Cell sensing and response to micro- and nanostructured surfaces produced by chemical and topographic patterning. Tissue Eng. 2007, 13, 1879–1891. [Google Scholar] [CrossRef]
- Pan, F.; Zhang, M.; Wu, G.; Lai, Y.; Greber, B.; Scholer, H.R.; Chi, L. Topographic effect on human induced pluripotent stem cells differentiationtowards neuronal lineage. Biomaterials 2013, 34, 8131–8139. [Google Scholar] [CrossRef]
- Chen, S.W.; Nakamoto, T.; Kawazoe, N.; Chen, G.P. Engineering multi-layered skeletal muscle tissue by using 3D microgrooved collagen scaffolds. Biomaterials 2015, 73, 23–31. [Google Scholar] [CrossRef]
- Sosnik, A.; Sefton, M.V. Semi-synthetic collagen/poloxamine matrices for tissue engineering. Biomaterials 2005, 26, 7425–7435. [Google Scholar] [CrossRef]
- Rahman, M.S.; Al-Saidi, G.; Guizani, N.; Abdullah, A. Development of state diagram of bovine gelatin by measuring thermal characteristics using differential scanning calorimetry (DSC) and cooling curve method. Thermochim. Acta 2010, 509, 111–119. [Google Scholar] [CrossRef]
- Al-Saidi, G.; Rahman, M.S.; Al-Alawi, A.; Guizani, N. Thermal characteristics of gelatin extracted from shaari fish skin: Effects of extraction conditions. J. Therm. Anal. Calorim. 2011, 104, 593–603. [Google Scholar] [CrossRef]
- Ding, W.; Sun, J.; Lian, H.; Xu, C.; Liu, X.; Zheng, S.; Zhang, D.; Han, X.; Liu, Y.; Chen, X.; et al. The influence of shuttle-shape emodin nanoparticles on the Streptococcus suis biofilm. Front. Pharmacol. 2018, 9, 227. [Google Scholar] [CrossRef]
- Li, W.M.; Liu, D.M.; Chen, S.Y. Amphiphilically-modified gelatin nanoparticles: Self-assembly behavior, controlled biodegradability, and rapid cellular uptake for intracellular drug delivery. J. Mater. Chem. 2011, 21, 12381–12388. [Google Scholar] [CrossRef]
- Li, X.; Chen, S.; Li, J.; Wang, X.; Zhang, J.; Kawazoe, N.; Chen, G. 3D culture of chondrocytes in gelatin hydrogels with different stiffness. Polymers 2016, 8, 269. [Google Scholar] [CrossRef]
- He, Y.; Chen, J.; Ren, J.; Wang, G.; Cai, G. Type I collagen inhibits hydroxyl radical-induced apoptosis. J. Buxhem. 2002, 132, 373–379. [Google Scholar] [CrossRef]
- Xiao, H.; Cai, G.; Liu, M. Hydroxyl radical-induced structural changes of collagen. Spectroscopy 2007, 21, 91–103. [Google Scholar] [CrossRef]
- Re, R.; Pellegrini, N.; Proteggente, A.; Pannalamin, A.; Yang, M.; Rice-Evans, C. Antioxidant activity applying an improved ABTS cation radical decolorization assay. Free Rad. Biol. Med. 1999, 26, 1231–1237. [Google Scholar] [CrossRef]
- Valachová, K.; Baňasová, M.; Topoľská, D.; Sasinková, V.; Juránek, I.; Collins, M.N. Influence of tiopronin, captopril and levamisole therapeutics on the oxidative degradation of hyaluronan. Carbohydr. Polym. 2015, 134, 516–523. [Google Scholar] [CrossRef]









| Sample | •OH Radical Scavenging Activity (%) | Alkyloxy- and/or Alkylperoxy-Type Radical-Scavenging Activity (%) |
|---|---|---|
| Gelatin | 57 | 67 |
| Gelatin–anisaldehyde | 45 | 45 |
| Gelatin–syringaldehyde | 57 | 50 |
| Gelatin–vanillin | 52 | 55 |
Publisher’s Note: MDPI stays neutral with regard to jurisdictional claims in published maps and institutional affiliations. |
© 2022 by the authors. Licensee MDPI, Basel, Switzerland. This article is an open access article distributed under the terms and conditions of the Creative Commons Attribution (CC BY) license (https://creativecommons.org/licenses/by/4.0/).
Share and Cite
El-Meligy, M.A.; Valachová, K.; Juránek, I.; Tamer, T.M.; Šoltés, L. Preparation and Physicochemical Characterization of Gelatin–Aldehyde Derivatives. Molecules 2022, 27, 7003. https://doi.org/10.3390/molecules27207003
El-Meligy MA, Valachová K, Juránek I, Tamer TM, Šoltés L. Preparation and Physicochemical Characterization of Gelatin–Aldehyde Derivatives. Molecules. 2022; 27(20):7003. https://doi.org/10.3390/molecules27207003
Chicago/Turabian StyleEl-Meligy, Mahmoud Atya, Katarína Valachová, Ivo Juránek, Tamer M. Tamer, and Ladislav Šoltés. 2022. "Preparation and Physicochemical Characterization of Gelatin–Aldehyde Derivatives" Molecules 27, no. 20: 7003. https://doi.org/10.3390/molecules27207003
APA StyleEl-Meligy, M. A., Valachová, K., Juránek, I., Tamer, T. M., & Šoltés, L. (2022). Preparation and Physicochemical Characterization of Gelatin–Aldehyde Derivatives. Molecules, 27(20), 7003. https://doi.org/10.3390/molecules27207003

