Abstract
A straightforward and transition metal-free one-pot protocol to synthesize halobenzo[b]furans has been developed employing simple and easily available starting materials such as O-aryl carbamates and alkynylsulfones. The fine-tuning of the different steps involved was key to achieving a successful one-pot procedure. Initially, a directed ortho-lithiation process, which uses the carbamate as the directed metalation group, was crucial in providing access to O-2-alkynylaryl N,N-diethyl carbamates by a direct alkynylation of the o-lithiated carbamate, with arylsulfonylalkynes as electrophilic reagents. Cyclization of the generated o-alkynylaryl carbamates was successfully accomplished through a strategy involving in situ carbamate alkaline hydrolysis under conventional heating or microwave irradiation, coupled with a subsequent heterocyclization step delivering the desired benzo[b]furans. A wide variety of new halobenzo[b]furans has been synthesized and their utility has been demonstrated by their further transformation.
1. Introduction
Benzo[b]furans are an important class of heterocyclic compounds that show a wide range of biological properties with medicinal significance [1,2]. They are also common structural motifs of natural products and bioactive compounds [3], as well as bioisosteres of indoles [4]. Thus, there is a growing interest in developing general and versatile methodologies for synthesizing molecules bearing this heterocyclic scaffold [5,6,7]. Among them, tandem Sonogashira coupling/cyclization from alkynes and o-halophenols under Pd-catalysis is one of the most used and efficient procedures [8]. In this field, the regioselective preparation of halogen-functionalized benzo[b]furans is a relevant goal, as these substrates allow for further functionalization through a plethora of transition metal-catalyzed cross-couplings or halogen-lithium exchange and subsequent electrophilic trapping. Whereas 5- and 7-halobenzo[b]furans can be prepared easily by different cyclization of p- and o-halophenol derivatives [9], respectively, the selective synthesis of 4-halobenzofurans is challenging to achieve, as the use of m-halophenols typically affords mixtures of 4- and 6-halobenzofurans [10,11]. In addition, starting from preformed benzofurans, its C-4 position is the least nucleophilic one and not prone to undergo an aromatic electrophilic substitution reaction.
On the other hand, directed ortho-lithiation is a powerful methodology in organic synthesis for the regioselective functionalization of (hetero)aromatics [12,13], and the search for new directed metalation groups is a topic actively explored [14,15,16]. In 2005, our group described a tandem Sonogashira coupling/5-endo-dig cyclization reaction of 2-iodo-3-halophenols, which were prepared through the regioselective ortho-lithiation of N,N-diethyl O-3-halophenylcarbamates [17]. This approach supposed a straightforward entry to 4-halobenzo[b]furans, which could be subsequently transformed into 4-functionalized benzo[b]furan derivatives (Scheme 1A). More recently, we have expanded the scope of the regioselective lithiation of O-dihalophenyl-N,N-diethylcarbamates, which was found to be regioselective at the C-2 position due to the cooperative effect of the m-halide and the mighty carbamate-directed metalating group [18] (Scheme 1B).
Scheme 1.
(A) Our previous work. (B) Selective o-lithiation of O-dihalophenyl-N,N-diethylcarbamates. (C) Proposed retrosynthesis for dihalobenzo[b]furans [17,18].
Although our route to access 4-halobenzo[b]furans was practical and efficient, starting from readily available halophenyl carbamates, it suffers from the use of transition metal complexes as well as the need for an iodine atom at the ortho-position, which is subsequently consumed in the Sonogashira coupling. In this context, and following our interest in the development of synthetic strategies based on the applications of directed ortho metalation reactions [19,20,21,22], we reasoned that if we were able to prepare O-2-alkynylaryl N,N-diethycarbamates in a straightforward manner from the intermediate O-2-lithioaryl carbamates, we would circumvent the prior synthesis and isolation of an iodoaryl carbamate. In addition, we also envisaged that the subsequent alkaline hydrolysis of the carbamate group in the intermediate 2-alkynylaryl carbamates would deliver a phenoxide that could undergo in situ cyclization providing the corresponding halobenzo[b]furans (Scheme 1C). Herein, we report a straightforward and transition metal-free synthesis of a wide variety of regioselectively halo-functionalized benzo[b]furans from readily available haloaryl carbamates, taking advantage of the powerful O-carbamate-directed metalation methodology pioneered by Prof. Snieckus [23,24,25].
2. Results and Discussion
2.1. Synthesis of O-o-Alkynylaryl Carbamates 2
To tackle the proposed target, we first needed to establish a suitable protocol for synthesizing O-o-alkynylaryl N,N-diethyl carbamates. We planned to take advantage of the Truce reaction [26], more recently developed and expanded by Alemán and García-Ruano [27,28], involving the use of arylsulfonylacetylenes as alkynylating reagents for organolithium and organomagnesium compounds. Alemán and García Ruano established that readily available alkynyl sulfones [29] undergo an “anti-Michael” addition of selected organolithiums, leading to their direct alkynylation. This unexpected behavior was rationalized with the aid of computational studies to proceed through an initial association of the organolithium to the sulfone prior to its intramolecular attack (Scheme 2A).
Scheme 2.
(A) Truce reaction developed by Alemán and García-Ruano. (B) Synthesis of O-2-alkynylaryl N,N-diethyl carbamate 2aa [27,28].
In the procedure established by these authors, an excess of the corresponding organolithium derivative (2 equiv) was made to react with the alkynylsulfone [28]. In our case, we decided to revisit the reported conditions to use the starting carbamate as the limiting reagent. After some experimentation, we observed that only slight excess of the alkynylsulfone was required as the electrophilic partner for the organolithium intermediate 1a-Li generated from the regioselective ortho-lithiation of O-3-fluorophenyl N,N-diethylcarbamate 1a [17,18]. Under these conditions, the O-2-alkynyl-3-fluorophenyl carbamate 2aa could be isolated in good yield, referred to as the starting carbamate 1a (Scheme 2B).
Starting from selected carbamates 1, we achieved lithiation at the ortho-position under our previously described reaction conditions [18]. Then, the generated organolithium intermediate was reacted with the corresponding alkynylsulfone, affording alkynyl-functionalized carbamates 2, which could be isolated with good yields (Table 1).
Table 1.
Synthesis of O-2-alkynylaryl N,N-diethyl carbamates 2 a.
We tested a range of carbamates with halogens (F and Cl) located at different positions of the benzene ring. The reaction provided access to 2-alkynyl 3-halocarbamates (2aa and 2da) (entries 1 and 4). In addition, 2-alkynyl-3,4-dihalophenyl carbamates were also possible to obtain (entry 2), as well as 3,5- and 3,6-dihalo-substituted ones (entries 3 and 5, respectively). Next, we proceeded to test this alkynylation reaction using different arylalkynyl sulfones. Interestingly, other arylsulfonylacetylenes bearing electron-donating or withdrawing groups on the aryl fragment were successfully employed in the reaction, leading to 2-alkynyl carbamates 2ab, ac, dc (entries 6–8). However, the reaction of 1a with alkynylsulfones bearing 3-thienyl, cyclopropyl, or n-butyl substituents failed in our hands, likely due to competitive acid-base reactions.
2.2. Synthesis of 4-Halo and 4,n-Dihalobenzo[b]furans 3
2.2.1. Preliminary Results
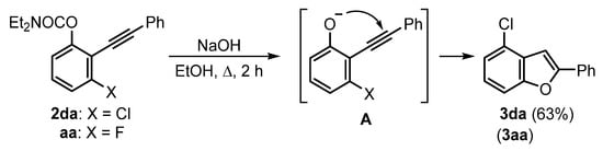
Having demonstrated the efficient preparation of O-halo-functionalized o-alkynylaryl carbamates 2, we envisioned that these substrates could experience cyclization, affording valuable halo-functionalized benzo[b]furans 3 under transition metal-free reaction conditions. Considering the known alkaline hydrolysis of O-aryl N,N-diethyl carbamates [17,30] and the NaOH-mediated cyclization processes of o-alkynyl anilines resulting in indoles [31], we selected 2da as the model substrate to study a cascade reaction involving its hydrolysis to the corresponding phenoxide intermediate A, and its subsequent cyclization, by using an excess of NaOH (Scheme 3). Gratifyingly, we found that 4-chloro-2-phenylbenzo[b]furan 3da was isolated with good yield after 2 h in refluxing ethanol.
Scheme 3.
Preliminary results for the hydrolysis–cyclization of carbamates 2aa and 2da.
Surprisingly, when we subjected the fluoro-functionalized carbamate 2aa to the same conditions, the reaction did not occur (Scheme 3). At this point, we decided to further study the desired hydrolysis–cyclization of 2aa by evaluating several parameters, such as the base, solvent, time, temperature, and heating method.
2.2.2. Optimization of the Reaction Conditions
With 2aa as the model substrate, different bases were employed, such as cesium carbonate, potassium carbonate, lithium aluminum hydride [32], triethylamine, sodium hydroxide, and potassium hydroxide (Table 2, entries 1–7). None of them achieved the expected cyclization reaction under different reaction conditions. However, when we employed NaOH in EtOH, heated the reaction mixture at 60 °C, and extended the reaction time to 48 h, we observed complete conversion, with the expected benzo[b]furan 3aa the only compound identified from the mixture (entry 8). To reduce the reaction time, we assayed different solvents that could allow us to increase the reaction temperature. By using DMF or DMSO, the reaction time could be shortened to 18 and 12 h, respectively (entries 9 and 10). At this point, we evaluated the influence that the heating method could have. For this purpose, we changed from conventional heating to microwave irradiation. Gratifyingly, when DMA was used as the solvent, the reaction took place in 40 min at 160 °C under microwave irradiation, with almost complete conversion (entry 11). In addition, KOH was proved to afford similar results to those employing NaOH. Thus, the best results were obtained following either of these two methods:
Table 2.
Optimization of the hydrolysis–cyclization reaction of 2aa a.
Method A: NaOH (2 eq) in DMSO (0.5 M) by conventional heating at 140 °C.
Method B: NaOH (2 eq) in DMA (0.5 M) by microwave irradiation at 160 °C.
2.2.3. One-Pot Preparation of Halo-Functionalized Benzofurans 3 from O-Haloaryl N,N-Diethyl Carbamates 1
Before studying the scope of this process to prepare benzofuran derivatives 3, we decided to unify both reactions, the alkynylation of o-lithiated carbamates 1 and the hydrolysis–cyclization of o-alkynyl carbamates 2, in a one-pot two-step sequence to avoid the isolation and purification of intermediates 2. We could successfully carry out the proposed one-pot process and apply it to the synthesis of a wide range of 4-halo and 4, n-dihalo-2-arylbenzo[b]furans 3 (Table 3). The transformation was shown to be general and could be extended to a wide variety of O-(di)halophenyl N,N-diethyl carbamates, allowing for the transition metal-free synthesis of relevant halobenzo[b]furans. However, LDA was used as a metalating agent instead of s-BuLi, with bromo-functionalized starting carbamates 1j, k, m, and n to avoid the competitive Br–Li exchange reaction [17] (entries 15, 16, 18, and 19). It is worth noting that the resulting benzofurans 3 were obtained in moderate to good yields in a straightforward manner from the readily available O-haloaryl N,N-diethyl carbamates 1. We observed, as a general effect, that substrates bearing a fluorine substituent led to lower yields, which could be due to a higher stabilization of the intermediate phenoxide anion, thus making it less reactive in the cyclization step.
Table 3.
One-pot reaction: Synthesis of 4,n-halobenzo[b]furans 3 from carbamates 1 a.
2.3. Synthesis of 5-Functionalized Benzo[b]furans 4
In this context, we planned to broaden the scope of the developed methodology to benzofurans with another pattern of functionalization and demonstrate that the 3-halo substituent is not required for the reaction to proceed. Although the preparation of 5-functionalized benzofurans is well-resolved starting from p-halophenol derivatives, as was established in Section 1, we tried to synthesize a selection of these heterocyclic derivatives by making use of the strategy described above. In this sense, a selection of 4-functionalized aryl carbamates 1o-q were used as the starting materials (Table 4). The one-pot alkynylation of the o-lithiated carbamate/hydrolysis–cyclization was proven to be successful, and 5-functionalized benzo[b]furan derivatives 4 could be isolated in moderate yields. In these cases, the second step was only performed under microwave irradiation, given the shorter reaction times.
Table 4.
Synthesis of 5-functionalized benzo[b]furans 4 from carbamates 1o-q.
2.4. Synthesis of 3-Alkynylsalicylamides 5 from O-3-Halophenyl Carbamates 1
After developing an efficient strategy to obtain halobenzo[b]furans from readily O-halophenyl N,N-diethyl carbamates 1, we envisaged that an alternative pathway to generate in situ an o-alkynyl phenoxide intermediate, like A (see Scheme 3), could be to trigger a Snieckus–Fries rearrangement from intermediates O-o-alkynylphenyl carbamates 2, after further addition of the base, finally leading to phenoxides B. In this way, new 7-diethylcarbamoyl halobenzofurans could be accessed (Scheme 4). Taking advantage of our previously reported synthesis of dihalosalicylamides through the Snieckus–Fries rearrangement [18], we attempted a one-pot tandem alkynylation of an o-lithiated carbamate/anionic Fries rearrangement/cyclization sequence with a selection of the starting carbamates 1a, d, and h (Scheme 4). In all the cases, the 3-alkynylsalicylamides 5 were obtained in moderate to good yields without the formation of the desired benzofuran derivatives. These results imply that the two first processes of the planned sequence, alkynylation/Snieckus–Fries rearrangement, had taken place, but not the final cyclization to the heterocyclic scaffold. After the initial alkynylation reaction that provided 2, the subsequent addition of s-BuLi led to a new o-lithiated carbamate C that underwent the anionic rearrangement upon raising the reaction temperature (Scheme 4). The lower yield obtained for 3-alkynylsalicylamide 5aa could be due to a competitive lithiation ortho to the fluorine atom in the corresponding intermediate 2aa. Disappointingly, attempts to trigger the subsequent cyclization of alkynylsalicylamides 5 under a wide variety of reaction conditions were not successful, likely due to the delocalization of the negative charge caused by the amide located at the ortho position.
Scheme 4.
Synthesis of 3-alkynylsalicylamides 5.
2.5. Synthesis of o,o′-Dialkynyl Carbamates 7 from O-3-Chloro-2-Iodophenyl Carbamate 1r
In a complementary way, we decided to prepare carbamates with two alkynyl groups at the ortho positions. To this end, 3-chloro-2-iodophenyl carbamate 1r [17] was subjected to a combined o-lithiation-halogen dance sequence developed by Snieckus and co-workers [33], which takes place through organolithium intermediates C and D (Scheme 5). By applying this strategy, 6-alkynyl-5-chloro-2-iodophenyl carbamates 6 were obtained in good yields after trapping D with arylsulfonylacetylenes. With these substrates 6 in hand, we carried out standard Sonogashira couplings with a selection of terminal alkynes, which led to the formation of 2,6-dialkynylphenyl carbamates 7 (Scheme 5). Regretfully, attempts to carry out the subsequent cyclization of carbamates 7 under the previously established conditions did not lead to the desired benzofurans. Even the hydrolysis step was unsuccessful, only recovering starting materials or decomposition products when employing harsher conditions.
Scheme 5.
Synthesis of o,o′-dialkynyl carbamates 7.
2.6. Further Transformations of 4,n-Dihalobenzo[b]furans 3
Finally, we decided to check the usefulness of 4,n-dihalobenzo[b]furans 3 as precursors of 4,n-difunctionalized benzo[b]furans. In this case, benzofuran 3ka was selected for further transformations. Firstly, 3ka underwent Br–Li exchange by treatment with nBuLi at a low temperature, and the generated organolithium was subsequently trapped with p-chlorobenzaldehyde, affording alcohol 8 in high yield (Scheme 6). In addition, bromobenzo[b]furan 3ka proved to be a useful starting material for Suzuki Pd-catalyzed coupling. Thus, 4-chloro-2,5-diphenylbenzo[b]furan 9 was readily accessible from 3ka by its reaction with phenylboronic acid (Scheme 6).
Scheme 6.
Further transformations of benzofuran 3ka.
3. Materials and Methods
3.1. General Information
All reactions involving air-sensitive compounds were carried out under a nitrogen atmosphere (99.99%). All glassware was oven-dried, evacuated, and purged with nitrogen. All common reagents and solvents were obtained from commercial suppliers and used without any further purification. NMR spectra were recorded at 300 MHz for 1H NMR, and 75.4 MHz for 13C NMR with a Varian Mercury-Plus (Agilent Technologies, Inc.; Santa Clara, CA, USA) or a Bruker Avance spectrometer (Bruker Corporation, Billerica, MA, USA) at room temperature. The NMR data are reported as: (s = singlet, d = doublet, t = triplet, q = quartet, m = multiplet or unresolved, br s = broad signal; coupling constant(s) in Hz, integration). 13C NMR spectra were recorded with 1H-decoupling and referenced to the solvent signal. DEPT experiments were performed to assign C, CH, CH2, and CH3 signals. 1H and 13C spectra for compounds 2–9 are available from the Supplementary Materials. High-resolution mass spectra (HRMS) were obtained on an Agilent 6545 Q-TOF mass spectrometer (Agilent Technologies, Inc.; Santa Clara, California, USA) using electrospray ionization (ESI+) or using an atmospheric pressure chemical ionization source (APCI+). Low-resolution mass spectra (LRMS) measurements were recorded on an Agilent 6890N/5973 Network GC System equipped with an HP-5MS column using electronic impact (EI) or on a Thermo Scientific Trace 1300 Series Gas Chromatograph (Thermo Fisher Scientific Inc.; Waltham, Massachusetts, USA) coupled with an ISQ Single Quadrupole Mass Spectrometer. Thin-layer chromatography (TLC) (Merck KGaA, Darmstadt, Germany) was performed on aluminum-backed plates coated with silica gel 60 with an F254 indicator; chromatograms were visualized under ultraviolet light. Rf values are reported on silica gel. Flash column chromatography was carried out on silica gel 60, 230–240 mesh. Melting points were measured on a Gallenkamp apparatus (Gallenkamp & Co, London, United Kingdom) using open capillary tubes and are uncorrected. Starting carbamates 1 were previously reported by our group [17,18], whereas the alkynyl sulfones were prepared following the described procedure [29].
3.2. Preparation and Characterization Data of Compounds
3.2.1. Synthesis of O-2-(Arylethynyl)phenyl N,N-Diethylcarbamates 2
General procedure: A solution of starting carbamate 1 (1 mmol) in THF (2 mL) at −78 °C under nitrogen atmosphere was treated with a solution of s-BuLi (0.85 mL of a 1.4 M solution in cyclohexane, 1.2 mmol). The reaction mixture was allowed to reach −65 °C for 5 min and was then stirred at this temperature for 90 min. Then, the corresponding alkynyl sulfone [29] (1.3 mmol) was added, and the resulting solution was stirred for 15 min at −65 °C. The solution was allowed to warm to room temperature and was then stirred for an additional 30 min. The reaction mixture was quenched with NH4Cl (aq), diluted with EtOAc, and the layers were separated. The aqueous phase was extracted with EtOAc (3 × 10 mL), and the combined organic layers were dried over anhydrous Na2SO4. The solvents were removed under reduced pressure, and the residue was purified by silica gel (VWR chemicals, Radnor, PA, USA) column chromatography (hexane/EtOAc), affording the O-2-(arylethynyl)phenyl N,N-diethylcarbamates 2.
O-3-Fluoro-2-(phenylethynyl)phenyl N,N-diethylcarbamate (2aa): The reaction of O-3-fluorophenyl N,N-diethylcarbamate (1a) (221 mg, 1 mmol), following the general procedure, yielded the product as a yellow oil (73% yield); Rf = 0.26 (hexane/EtOAc, 5:1). 1H NMR (300 MHz, CDCl3) δ (ppm): 7.55–7.52 (m, 2H), 7.38–7.28 (m, 4H), 7.09 (dt, J = 8.3, 1.0 Hz, 1H), 7.00 (td, J = 8.3, 1.0 Hz, 1H), 3.54 (q, J = 7.0 Hz, 2H), 3.42 (q, J = 7.0 Hz, 2H), 1.32 (t, J = 7.0 Hz, 3H), 1.20 (t, J = 7.0 Hz, 3H). 13C NMR (75.4 MHz, CDCl3) δ (ppm): 163.1 (d, J = 252.2 Hz, C), 153.32 (d, J = 4.1 Hz, C), 153.29 (C), 131.7 (2 × CH), 129.3 (d, J = 9.7 Hz, CH), 128.8 (CH), 128.4 (2 × CH), 123.0 (C), 118.5 (d, J = 3.3 Hz, CH), 112.3 (d, J = 21.0 Hz, CH), 107.4 (d, J = 18.0 Hz, C), 98.6 (d, J = 3.1 Hz, C), 78.5 (C), 42.5 (CH2), 42.2 (CH2), 14.3 (CH3), 13.4 (CH3). EI-LRMS m/z (%): 311 (M+, 4), 183 (7), 100 (100), 72 (56). ESI-HRMS was calculated for C19H19FNO2 [M + H]+ 312.139, and found 312.1402.
O-4-Chloro-3-fluoro-2-(phenylethynyl)phenyl N,N-diethylcarbamate (2ba): The reaction of O-4-chloro-3-fluorophenyl N,N-diethylcarbamate (1b) (245 mg, 1 mmol), following the general procedure, yielded the product as a yellow oil (75% yield); Rf = 0.29 (hexane/EtOAc, 5:1). 1H NMR (300 MHz, CDCl3) δ (ppm): 7.54–7.51 (m, 2H), 7.39–7.28 (m, 4H), 7.05 (dd, J = 8.9, 1.7 Hz, 1H), 3.53 (q, J = 7.0 Hz, 2H), 3.42 (q, J = 7.1 Hz, 2H), 1.31 (t, J = 7.1 Hz, 3H), 1.20 (t, J = 7.0 Hz, 3H). 13C NMR (75.4 MHz, CDCl3) δ (ppm): 158.4 (d, J = 254.1 Hz, C), 153.1 (C), 151.7 (d, J = 2.3 Hz, C), 131.7 (2 × CH), 129.6 (CH), 129.1 (CH), 128.5 (2 × CH), 122.6 (C), 119.0 (d, J = 4.0 Hz, CH), 117.9 (d, J = 17.7 Hz, C), 109.0 (d, J = 17.8 Hz, C), 99.7 (d, J = 3.7 Hz, C), 77.7 (C), 42.6 (CH2), 42.3 (CH2), 14.3 (CH3), 13.4 (CH3). EI-LRMS m/z (%): 347 (M+ + 2, 58), 345 (M+, 66), 181 (58), 100 (100), 72 (70). ESI-HRMS was calculated for C19H18ClFNO2 [M + H]+ 346.1005, and found 346.1013.
O-5-Chloro-3-fluoro-2-(phenylethynyl)phenyl N,N-diethyl carbamate (2ca): The reaction of O-3-chloro-5-fluorophenyl N,N-diethylcarbamate (1c) (245 mg, 1 mmol), following the general procedure, yielded the product as a yellow oil (80% yield); Rf = 0.31 (hexane/EtOAc, 5:1). 1H NMR (300 MHz, CDCl3) δ (ppm): 7.51–7.48 (m, 2H), 7.37–7.32 (m, 3H), 7.14–7.13 (m, 1H), 7.03–7.00 (m, 1H), 3.49 (q, J = 7.1 Hz, 2H), 3.39 (q, J = 7.1 Hz, 2H), 1.28 (t, J = 7.1 Hz, 3H), 1.18 (t, J = 7.1 Hz, 3H). 13C NMR (75.4 MHz, CDCl3) δ (ppm): 162.6 (d, J = 254.6 Hz, C), 153.4 (d, J = 5.6 Hz, C), 152.7 (C), 134.5 (d, J = 12.6 Hz, C), 131.6 (2 × CH), 129.0 (CH), 128.4 (2 × CH), 122.7 (C), 119.5 (d, J = 3.7 Hz, CH), 113.4 (d, J = 24.7 Hz, CH), 106.4 (d, J = 18.1 Hz, C), 99.3 (d, J = 3.5 Hz, C), 42.63 (CH2), 42.3 (CH2), 14.2 (CH3), 13.4 (CH3). EI-LRMS m/z (%): 347 (M+ + 2, 5), 345 (M+, 15), 181 (30), 100 (100), 72 (45). EI-HRMS was calculated for C19H17ClFNO2 [M]+ 345.0932, and found 345.0936.
O-3-Chloro-2-(phenylethynyl)phenyl N,N-diethylcarbamate (2da): The reaction of O-3-chlorophenyl N,N-diethylcarbamate (1d) (227 mg, 1 mmol), following the general procedure, yielded the product as a yellow oil (88% yield); Rf = 0.27 (hexane/EtOAc, 5:1). 1H NMR (300 MHz, CDCl3) δ (ppm): 7.60–7.53 (m, 2H), 7.46–7.28 (m, 5H), 7.23–7.16 (m, 1H), 3.56 (q, J = 7.0 Hz, 2H), 3.43 (q, J = 7.0 Hz, 2H), 1.33 (t, J = 7.0 Hz, 3H), 1.21 (t, J = 7.0 Hz, 3H). 13C NMR (75.4 MHz, CDCl3) δ (ppm): 153.1 (C), 152.9 (C), 136.4 (C), 131.3 (2 × CH), 128.8 (CH), 128.6 (CH), 128.2 (2 × CH), 125.8 (CH), 122.6 (C), 120.9 (CH), 117.9 (C), 98.6 (C), 81.8 (C), 42.2 (CH2), 41.9 (CH2), 14.0 (CH3), 13.1 (CH3). EI-LRMS m/z (%): 329 (M+ + 2, 4), 327 (M+, 12), 100 (100), 72 (60). ESI-HRMS was calculated for C19H19ClNO2 [M + H]+ 328.1099, and found 328.1105.
O-3,6-Dichloro-2-(phenylethynyl)phenyl N,N-diethylcarbamate (2ea): The reaction of O-3,6-dichlorophenyl N,N-diethylcarbamate (1e) (262 mg, 1 mmol), following the general procedure, yielded the product as a colorless solid (70% yield); mp = 119–121 °C; Rf = 0.32 (hexane/EtOAc, 10:1). 1H NMR (300 MHz, CDCl3) δ (ppm): 7.55–7.52 (m, 2H), 7.39–7.29 (m, 5H), 3.56 (q, J = 7.1 Hz, 2H), 3.44 (q, J = 7.1 Hz, 2H), 1.36 (t, J = 7.1 Hz, 3H), 1.21 (t, J = 7.1 Hz, 3H). 13C NMR (75.4 MHz, CDCl3) δ (ppm): 152.1 (C), 149.6 (C), 135.1 (C), 131.9 (2 × CH), 129.6 (CH), 129.1 (CH), 128.5 (2 × CH), 127.0 (C), 126.9 (CH), 122.7 (C), 120.8 (C), 99.8 (C), 81.5 (C), 42.8 (CH2), 42.4 (CH2), 14.3 (CH3), 13.5 (CH3). EI-LRMS m/z (%): 363 (M+ + 2, 1), 361 (M+), 100 (100), 72 (42). ESI-HRMS was calculated for C19H18Cl2NO2 [M + H]+ 362.0709, and found 362.0716.
O-3-Fluoro-2-((4-methoxyphenyl)ethynyl)phenyl N,N-diethylcarbamate (2ab): The reaction of O-3-fluorophenyl N,N-diethylcarbamate (1a) (211 mg, 1 mmol), following the general procedure, yielded the product as a colorless oil (71% yield); Rf = 0.24 (hexane/EtOAc, 5:1). 1H NMR (300 MHz, CDCl3) δ (ppm): 7.48–7.44 (m, 2H), 7.32–7.25 (m, 1H), 7.07 (dt, J = 8.3, 1.0 Hz, 1H), 6.99 (td, J = 8.3, 1.0 Hz, 1H), 6.91–6.86 (m, 2H), 3.84 (s, 3H), 3.53 (q, J = 6.8 Hz, 2H), 3.42 (q, J = 7.0 Hz, 2H), 1.31 (t, J = 6.8 Hz, 3H), 1.20 (t, J = 7.0 Hz, 3H). 13C NMR (75.4 MHz, CDCl3) δ (ppm): 163.0 (d, J = 251.9 Hz, C), 160.1 (C), 153.4 (C), 153.2 (d, J = 4.2 Hz, C), 133.2 (2 × CH), 128.9 (d, J = 9.6 Hz, CH), 118.5 (d, J = 3.3 Hz, CH), 115.2 (C), 114.1 (2 × CH), 112.3 (d, J = 21.1 Hz, CH), 107.8 (d, J = 18.0 Hz, C), 98.7 (C), 77.2 (C), 55.4 (CH3), 42.5 (CH2), 42.2 (CH2), 14.3 (CH3), 13.5 (CH3). EI-LRMS m/z (%): 341 (M+, 8), 100 (100), 72 (84). ESI-HRMS was calculated for C20H21FNO3 [M + H]+ 342.1500, and found 342.1504.
O-2-((4-Chlorophenyl)ethynyl)-3-fluorophenyl N,N-diethylcarbamate (2ac): The reaction of O-3-fluorophenyl N,N-diethylcarbamate (1a) (211 mg, 1 mmol), following the general procedure, yielded the product as a colorless solid (68% yield); mp = 60–62 °C; Rf = 0.14 (hexane/EtOAc, 10:1). 1H NMR (300 MHz, CDCl3) δ (ppm): 7.46–7.43 (m, 2H), 7.36–7.30 (m, 3H), 7.08 (d, J = 8.3 Hz, 1H), 7.00 (td, J = 8.3, 0.9 Hz, 1H), 3.52 (q, J = 7.0 Hz, 2H), 3.42 (q, J = 7.0 Hz, 2H), 1.30 (t, J = 7.0 Hz, 3H), 1.20 (t, J = 7.0 Hz, 3H). 13C NMR (75.4 MHz, CDCl3) δ (ppm): 163.1 (d, J = 252.7 Hz, C), 153.36 (d, J = 4.1 Hz, C), 153.2 (C), 134.9 (C), 132.9 (2 × CH), 129.6 (d, J = 9.7 Hz, CH), 128.8 (2 × CH), 121.5 (C), 118.5 (d, J = 3.3 Hz, CH), 112.4 (d, J = 21.0 Hz, CH), 107.1 (d, J = 18.0 Hz, C), 97.3 (C), 79.6 (C), 42.6 (CH2), 42.2 (CH2), 14.3 (CH3), 13.4 (CH3). EI-LRMS m/z (%): 345 (M+, 6), 100 (100), 72 (62). ESI-HRMS was calculated for C19H18ClFNO2 [M + H]+ 346.1005, and found 346.1007.
O-2-((4-Chlorophenyl)ethynyl)-3-chlorophenyl N,N-diethylcarbamate (2dc): The reaction of O-3-chlorophenyl N,N-diethylcarbamate (1d) (227 mg, 1 mmol), following the general procedure, yielded the product as a colorless solid (79% yield); mp = 80–82 °C; Rf = 0.19 (hexane/EtOAc, 10:1). 1H NMR (300 MHz, CDCl3) δ (ppm): 7.47–7.44 (m, 2H), 7.36–7.25 (m, 4H), 7.17 (dd, J = 7.3, 2.1 Hz, 1H), 3.52 (q, J = 7.1 Hz, 2H), 3.42 (q, J = 7.1 Hz, 2H), 1.30 (t, J = 7.1 Hz, 3H), 1.20 (t, J = 7.1 Hz, 3H). 13C NMR (75.4 MHz, CDCl3) δ (ppm): 153.3 (C), 136.8 (C), 134.9 (C), 132.9 (2 × CH), 129.3 (CH), 129.0 (C), 128.8 (2 × CH), 126.3 (CH), 121.5 (C), 121.2 (CH), 117.9 (C), 97.6 (C), 83.0 (C), 42.6 (CH2), 42.2 (CH2), 14.3 (CH3), 13.5 (CH3). EI-LRMS m/z (%): 363 (M+ + 2, 4), 361 (M+, 2), 100 (100), 72 (50). ESI-HRMS was calculated for C19H18Cl2NO2 [M + H]+ 362.0709, and found 362.0715.
3.2.2. Synthesis of 2-Arylbenzo[b]furans 3 and 4
General procedure: A solution of starting carbamate 1 (1 mmol) in THF (2 mL) at –78 °C under nitrogen atmosphere was treated with a solution of s-BuLi (0.85 mL of a 1.4 M solution in cyclohexane, 1.2 mmol). The reaction mixture was allowed to reach –65 °C for 5 min (–70 °C for 4-substituted carbamates 1o-q) and was stirred at this temperature for 90 min. Then, the corresponding alkynylsulfone (1.3 mmol) was added, and the resulting solution was allowed to warm to room temperature and was then stirred for 30 min. The solvents were removed under reduced pressure and the crude solution was treated with NaOH (2 mmol, 80 mg) in DMA (2 mL) or DMSO (2 mL). The resulting solution was warmed by conventional heating (Method A: DMSO, 140 °C) or under microwave irradiation (Method B: DMA, 160 °C), and stirred at this temperature until the completion of the reaction (see Table 3). The mixture was diluted with EtOAc and NH4Cl (aq), and the layers were separated. The aqueous phase was extracted with EtOAc (3 × 10 mL), and the combined organic layers were dried over anhydrous Na2SO4. The solvents were removed under reduced pressure, and the residue was purified by silica gel column chromatography (hexane/EtOAc), affording the 2-arylbenzo[b]furans 3 and 4.
4-Fluoro-2-phenylbenzo[b]furan (3aa) [17]: The reaction of O-3-fluorophenyl N,N-diethylcarbamate (1a) (211 mg, 1 mmol), following the general procedure with Method A, yielded the product as a white solid (51% yield); Rf = 0.16 (hexane/EtOAc, 10:1). 1H NMR (300 MHz, CDCl3) δ (ppm): 7.96–7.87 (m, 2H), 7.56–7.35 (m, 4H), 7.33–7.25 (m, 1H), 7.15 (d, J = 0.8 Hz, 1H), 7.03–6.96 (m, 1H). 13C NMR (75.4 MHz, CDCl3) δ (ppm): 156.8 (d, J = 9.8 Hz, C), 156.1 (C), 156.0 (d, J = 249.5 Hz, C), 130.0 (C), 129.0 (CH), 128.9 (2 × CH), 125.1 (2 × CH), 124.7 (d, J = 7.6 Hz, CH), 118.5 (d, J = 22.0 Hz, C), 108.6 (d, J = 18.9 Hz, CH), 107.5 (d, J = 4.1 Hz, CH), 97.4 (d, J = 1.7 Hz, CH). EI-LRMS m/z (%): 212 (M+, 60), 193 (100), 116 (42).
4-Fluoro-2-(4-methoxyphenyl)benzo[b]furan (3ab): The reaction of O-3-fluorophenyl N,N-diethylcarbamate (1a) (211 mg, 1 mmol), following the general procedure with Method B, yielded the product as a colorless solid (62% yield); mp = 99–101 °C; Rf = 0.33 (hexane/EtOAc, 5:1). 1H NMR (300 MHz, CDCl3) δ (ppm): 7.84–7.81 (m, 2H), 7.33 (dd, J = 8.2, 0.7 Hz, 1H), 7.24–7.19 (m, 1H), 7.03–6.9 (m, 4H), 3.89 (s, 1H). 13C NMR (75.4 MHz, CDCl3) δ (ppm): 160.4 (C), 156.3 (C), 155.9 (d, J = 248.9 Hz, C), 126.7 (2 × CH), 124.2 (d, J = 7.4 Hz, CH), 122.9 (C), 118.8 (d, J = 21.8 Hz, C), 114.5 (2 × CH), 108.5 (d, J = 19.0 Hz, CH), 107.4 (d, J = 3.6 Hz, CH), 95.8 (CH), 55.5 (CH3), one aromatic C does not appear due to overlapping. EI-LRMS m/z (%): 242 (M+, 100), 227 (84), 199 (80), 170 (28). ESI-HRMS was calculated for C15H12FO2 [M + H]+ 243.0816, and found 243.0819.
2-(4-Chlorophenyl)-4-fluorobenzo[b]furan (3ac): The reaction of O-3-fluorophenyl N,N-diethylcarbamate (1a) (211 mg, 1 mmol), following the general procedure with Method B, yielded the product as a colorless solid (72% yield); mp = 105–107 °C; Rf = 0.32 (hexane/EtOAc, 5:1). 1H NMR (300 MHz, CDCl3) δ (ppm): 7.83–7.78 (m, 2H), 7.47–7.43 (m, 2H), 7.33–7.24 (m, 2H), 7.10 (d, J = 0.9 Hz, 1H), 6.96 (ddd, J = 9.4, 8.0, 0.9 Hz, 1H). 13C NMR (75.4 MHz, CDCl3) δ (ppm): 156.8 (d, J = 9.7 Hz, C), 156.0 (d, J = 250.0 Hz, C), 155.0 (C), 134.9 (C), 129.3 (2 × CH), 128.6 (C), 126.4 (2 × CH), 125.1 (d, J = 7.6 Hz, CH), 118.5 (d, J = 21.9 Hz, C), 108.7 (d, J = 18.9 Hz, CH), 107.5 (d, J = 4.1 Hz, CH), 97.9 (d, J = 1.2 Hz, CH). EI-LRMS m/z (%): 246 (M+, 100), 127 (12), 183 (46). APCI-HRMS was calculated for C14H9ClFO [M + H]+ 247.0320, and found 247.0324.
5-Chloro-4-fluoro-2-phenylbenzo[b]furan (3ba): The reaction of O-4-chloro-3-fluorophenyl N,N-diethylcarbamate (1b) (245 mg, 1 mmol), following the general procedure with Method B, yielded the product as a colorless solid (52% yield); mp = 92–94 °C; Rf = 0.13 (hexane/EtOAc, 10:1). 1H NMR (300 MHz, CDCl3) δ (ppm): 7.87–7.84 (m, 2H), 7.49–7.42 (m, 3H), 7.28–7.27 (m, 2H), 7.08 (d, J = 0.4 Hz, 1H). 13C NMR (75.4 MHz, CDCl3) δ (ppm): 157.3 (C), 154.9 (d, J = 8.9 Hz, C), 151.0 (d, J = 252.1 Hz, C), 129.6 (C), 129. (CH), 129.0 (2 × CH), 125.4 (CH), 125.2 (2 × CH), 119.7 (d, J = 21.0 Hz, C), 114.3 (d, J = 15.9 Hz, C), 108.0 (d, J = 4.4 Hz, CH), 97.3 (d, J = 1.6 Hz, CH). EI-LRMS m/z (%): 248 (M+ + 2, 35), 246 (M+, 100), 183 (32), 81 (19). APCI-HRMS was calculated for C14H9ClFO [M + H]+ 247.0320, found 247.0326.
6-Chloro-4-fluoro-2-phenylbenzo[b]furan (3ca): The reaction of O-5-chloro-3-fluorophenyl N,N-diethylcarbamate (1c) (245 mg, 1 mmol), following the general procedure with Method B, yielded the product as a colorless solid (47% yield); mp = 78–80 °C; Rf = 0.14 (hexane/EtOAc, 10:1). 1H NMR (300 MHz, CDCl3) δ (ppm): 7.85–7.82 (m, 2H), 7.50–7.35 (m, 4H), 7.03 (d, J = 0.9 Hz, 1H), 6.99 (dd, J = 9.2, 1.6 Hz, 1H). 13C NMR (75.4 MHz, CDCl3) δ (ppm): 156.7 (d, J = 1.0 Hz, C), 156.3 (d, J = 11.3 Hz, C), 155.1 (d, J = 252.7 Hz, C), 130.0 (d, J = 10.1 Hz, C), 129.5 (C), 129.3 (CH), 129.0 (2 × CH), 125.1 (2 × CH), 117.4 (d, J = 21.8 Hz, C), 110.2 (d, J = 22.7 Hz, CH), 108.3 (d, J = 4.5 Hz, CH), 97.2 (d, J = 2.0 Hz, CH). EI-LRMS m/z (%): 248 (M+ + 2, 35), 246 (M+, 100), 183 (36), 81 (17). APCI-HRMS was calculated for C14H9ClFO [M + H]+ 247.0320, and found 247.0325.
4-Chloro-2-phenylbenzo[b]furan (3da) [17]: The reaction of O-3-chlorophenyl N,N-diethylcarbamate (1d) (227 mg, 1 mmol), following the general procedure with Method A, yielded the product as a white solid (67% yield); Rf = 0.18 (hexane/EtOAc, 10:1). 1H NMR (300 MHz, CDCl3) δ (ppm): 7.92–7.89 (m, 2H), 7.52–7.41 (m, 4H), 7.27–7.23 (m, 2H), 7.14 (d, J = 0.9 Hz, 1H). 13C NMR (75.4 MHz, CDCl3) δ (ppm): 156.7 (C), 155.2 (C), 130.0 (C), 129.1 (CH), 129.0 (2 × CH), 128.9 (C, 125.9 (C), 125.2 (2 × CH), 124.9 (CH), 123.0 (CH), 109.8 (CH), 99.9 (CH). EI-LRMS m/z (%): 230 (M+ + 2, 12), 228 (M+, 36), 193 (100), 116 (51).
4,7-Dichloro-2-phenylbenzo[b]furan (3ea): The reaction of O-3,5-dichlorophenyl N,N-diethylcarbamate (1e) (262 mg, 1 mmol), following the general procedure with Method A, yielded the product as a colorless solid (52% yield); mp = 109–111 °C; Rf = 0.33 (hexane). 1H NMR (300 MHz, CDCl3) δ (ppm): 7.95–7.91 (m, 2H), 7.53–7.43 (m, 3H), 7.23 (d, J = 8.4 Hz, 1H), 7.18 (d, J = 8.4 Hz, 1H), 7.14 (s, 1H). 13C NMR (75.4 MHz, CDCl3) δ (ppm): 157.5 (C), 150.5 (C), 130.0 (C), 129.5 (CH), 129.3 (C), 129.0 (2 × CH), 125.3 (2 × CH), 124.8 (CH), 124.3 (C), 123.7 (CH), 115.4 (C), 100.4 (CH). EI-LRMS m/z (%): 264 (M+ + 2, 64), 262 (M+, 100), 199 (22), 163 (24). APCI-HRMS was calculated for C14H9Cl2O [M + H]+ 263.0025, and found 263.0028.
4-Chloro-5-fluoro-2-phenylbenzo[b]furan (3fa): The reaction of O-3,4-difluorophenyl N,N-diethylcarbamate (1f) (245 mg, 1 mmol), following the general procedure with Method A, yielded the product as a light yellow solid (57% yield); mp = 103–105 °C; Rf = 0.13 (hexane/EtOAc, 10:1). 1H NMR (300 MHz, CDCl3) δ (ppm): 7.89 (d, J = 7.8 Hz, 2H), 7.53–7.35 (m, 4H), 7.17–7.05 (m, 4H). 13C NMR (75.4 MHz, CDCl3) δ (ppm): 158.3 (C), 154.9 (d, J = 241.1 Hz, C), 150.6 (C), 129.9 (d, J = 2.5 Hz, C), 129.6 (C), 129.4 (CH), 129.0 (2 × CH), 125.2 (2 × CH), 112.4 (d, J = 25.5 Hz, CH), 111.6 (d, J = 21.3 Hz, C), 110.0 (d, J = 8.4 Hz, CH), 100.1 (d, J = 4.4 Hz, CH). EI-LRMS m/z (%): 248 (M+ + 2, 9), 246 (M+, 27), 193 (100), 116 (51). APCI-HRMS was calculated for C14H9ClFO [M + H]+ 247.0320, and found 247.0327.
4,5-Difluoro-2-phenylbenzo[b]furan (3ga): The reaction of O-3,4-difluorophenyl N,N-diethylcarbamate (1g) (229 mg, 1 mmol), following the general procedure with Method B, yielded the product as a colorless solid (53% yield); mp = 86–88 °C; Rf = 0.15 (hexane/EtOAc, 10:1). 1H NMR (300 MHz, CDCl3) δ (ppm): 7.91–7.79 (m, 2H), 7.51–7.36 (m, 3H), 7.27– 7.19 (m, 1H), 7.15–7.02 (m, 2H). 13C NMR (75.4 MHz, CDCl3) δ (ppm): 157.6 (C), 151.7 (d, J = 7.9 Hz, C), 146.5 (dd, J = 238.8, 11.1 Hz, C), 142.8 (dd, J = 251.4, 15.3 Hz, C), 129.6 (C), 129.4 (CH), 129.0 (2 × CH), 125.2 (2 × CH), 120.0 (dd, J = 17.6, 2.4 Hz), 113.0 (d, J = 21.8 Hz, CH), 106.8 (dd, J = 7.4, 4.5 Hz, CH), 97.8 (dd, J = 4.6, 1.6 Hz, CH). EI-LRMS m/z (%): 230 (M+, 31), 193 (100), 116 (51). APCI-HRMS was calculated for C14H9F2O [M + H]+ 231.0616, and found 231.0621.
4,5-Dichloro-2-phenylbenzo[b]furan (3ha): The reaction of O-3,4-dichlorophenyl N,N-diethylcarbamate (1h) (262 mg, 1 mmol), following the general procedure with Method A, yielded the product as a colorless solid (70% yield); mp = 114–116 °C; Rf = 0.25 (hexane/EtOAc, 5:1). 1H NMR (300 MHz, CDCl3) δ (ppm): 7.90–7.79 (m, 2H), 7.52–7.32 (m, 5H), 7.09–7.05 (m, 1H). 13C NMR (75.4 MHz, CDCl3) δ (ppm): 157.7 (C), 153.0 (C), 130.2 (C), 129.5 (C), 129.4 (CH), 128.9 (2 × CH), 126.7 (C), 125.4 (CH), 125.2 (2 × CH), 123.7 (C), 110.5 (CH), 100.2 (CH). EI-LRMS m/z (%): 265 (M + + 4, 3), 263 (M+ + 2, 9), 261 ( 27), 211 (41), 193 (100). APCI-HRMS was calculated for C14H9Cl2O [M + H]+ 263.0025, and found 263.0032.
4,5-Dichloro-2-(4-methoxyphenyl)benzo[b]furan (3hb): The reaction of O-3,4-dichlorophenyl N,N-diethylcarbamate (1h) (262 mg, 1 mmol), following the general procedure with Method B, yielded the product as a colorless solid (65% yield); mp = 127–129 °C; Rf = 0.35 (hexane/EtOAc, 5:1). 1H NMR (300 MHz, CDCl3) δ (ppm): 7.81–7.78 (m, 2H), 7.36–7.28 (m, 2H), 7.01–6.98 (m, 2H), 6.94 (d, J = 0.6 Hz, 1H), 3.89 (s, 3H). 13C NMR (75.4 MHz, CDCl3) δ (ppm): 160.7 (C), 158.1 (C), 152.9 (C), 130.6 (C), 126.8 (2 × CH), 126.7 (C), 125.0 (CH), 123.4 (C), 122.4 (C), 114.5 (2 × CH), 110.4 (CH), 98.6 (CH), 55.5 (CH3). EI-LRMS m/z (%): 294 (M+ + 2, 80), 292 (M+, 100), 278 (75), 249 (38). ESI-HRMS was calculated for C15H11Cl2O2 [M + H]+ 293.0131, and found 293.0131.
4,6-Dichloro-2-phenylbenzo[b]furan (3ia): The reaction of O-3,5-dichlorophenyl N,N-diethylcarbamate (1i) (262 mg, 1 mmol), following the general procedure with Method A yielded the product as a colorless solid (46% yield); mp = 92–94 °C; Rf = 0.11 (hexane/EtOAc, 10:1). 1H NMR (300 MHz, CDCl3) δ (ppm): 7.88–7.85 (m, 2H), 7.51–7.42 (m, 4H), 7.27 (d, J = 1.6 Hz, 1H), 7.05 (d, J = 0.9 Hz, 1H). 13C NMR (75.4 MHz, CDCl3) δ (ppm): 157.4 (C), 154.8 (C), 130.1 (C), 129.6 (C), 129.4 (CH), 129.1 (2 × CH), 127.7 (C), 126.2 (C), 125.2 (2 × CH), 123.6 (CH), 110.6 (CH), 99.7 (CH) EI-LRMS m/z (%): 265 (M++4, 6), 263 (M+ + 2, 18), 261 (M+, 54), 211 (42), 193 (100). APCI-HRMS was calculated for C14H9Cl2O [M + H]+ 263.0025, and found 263.0027.
4,6-Dichloro-2-(4-chlorophenyl)benzo[b]furan (3ic): The reaction of O-3,5-dichlorophenyl N,N-diethylcarbamate (1i) (262 mg, 1 mmol), following the general procedure with Method B yielded the product as a colorless solid (68% yield); mp = 143–145 °C; Rf = 0.45 (hexane/EtOAc, 5:1). 1H NMR (300 MHz, CDCl3) δ (ppm): 7.77–7.74 (m, 2H), 7.46–7.42 (m, 3H), 7.26 (d, J = 1.6 Hz, 1H), 7.03 (d, J = 0.8 Hz, 1H). 13C NMR (75.4 MHz, CDCl3) δ (ppm): 156.2 (C), 154.8 (C), 135.3 (C), 130.4 (C), 129.3 (2 × CH), 128.0 (C), 127.6 (C), 126.4 (2 × CH), 126.3 (C), 123.7 (CH), 110.6 (CH), 100.1 (CH) EI-LRMS m/z (%): 298 (M+ + 2, 100), 296 (M+, 98), 233 (51), 163 (62). ESI-HRMS could not be recorded.
5-Bromo-4-fluoro-2-phenylbenzo[b]furan (3ja): The reaction of O-4-bromo-3-fluorophenyl N,N-diethylcarbamate (1j) (290 mg, 1 mmol), following the general procedure with Method B yielded the product as a yellow solid (53% yield); mp = 119–121 °C; Rf = 0.33 (hexane/EtOAc, 5:1). 1H NMR (300 MHz, CDCl3) δ (ppm): 7.88–7.85 (m, 2H), 7.51–7.39 (m, 4H), 7.24 (d, J = 8.7 Hz, 1H), 7.09 (s, 1H). 13C NMR (75.4 MHz, CDCl3) δ (ppm): 157.2 (C), 155.6 (d, J = 9.0 Hz, C), 152.0 (d, J = 250.4 Hz, C), 129.6 (C), 129.4 (CH), 129.1 (2 × CH), 128.0 (CH), 125.3 (2 × CH), 119.8 (d, J = 22.2 Hz, C), 108.6 (d, J = 4.2 Hz, CH), 101.7 (d, J = 19.2 Hz, C), 97.3 (d, J = 1.9 Hz, CH). EI-LRMS m/z (%): 292 (M+ + 2, 100), 290 (M+, 93), 183 (17). APCI-HRMS was calculated for C14H9BrFO [M + H]+ 290.9815, and found 290.9824.
5-Bromo-4-chloro-2-phenylbenzo[b]furan (3ka): The reaction of O-4-bromo-3-chlorophenyl N,N-diethylcarbamate (1k) (306 mg, 1 mmol), following the general procedure with Method A yielded the product as a colorless solid (60% yield); mp = 118–120 °C; Rf = 0.38 (hexane/EtOAc, 5:1). 1H NMR (300 MHz, CDCl3) δ (ppm): 7.80 (dd, J = 8.1, 1.3 Hz, 2H), 7.49–7.38 (m, 4H), 7.24 (dd, J = 8.7, 0.8 Hz, 1H), 7.00 (s, 1H). 13C NMR (75.4 MHz, CDCl3) δ (ppm): 157.5 (C), 153.5 (C), 130.4 (C), 129.4 (C), 129.3 (CH), 128.9 (2 × CH), 128.4 (CH), 125.7 (C), 125.2 (2 × CH), 116.1 (C), 110.9 (CH), 100.3 (CH). EI-LRMS m/z (%): 309 (M+ + 4, 11), 307 (M+ + 2, 11), 305 (M+, 33), 193 (100). APCI-HRMS was calculated for C14H9BrClO [M + H]+ 306.9520, and found 306.9524.
4,7-Difluoro-2-phenylbenzo[b]furan (3la): The reaction of O-2,5-difluorophenyl N,N-diethylcarbamate (1l) (229 mg, 1 mmol), following the general procedure with Method A yielded the product as a colorless solid (44% yield); mp = 97–99 °C; Rf = 0.41 (hexane). 1H NMR (300 MHz, CDCl3) δ (ppm): 7.92–7.89 (m, 2H), 7.52–7.43 (M, 3H), 7.13 (d, J = 2.6 Hz, 1H), 6.97 (ddd, J = 9.3, 3.9 Hz, 1H), 6.86 (ddd, J = 8.8, 3.1 Hz, 1H). 13C NMR (75.4 MHz, CDCl3) δ (ppm): 157.1 (CH), 151.54 (d, J = 245.7 Hz, C), 151.50 (d, J = 245.7 Hz, C), 146.2 (d, J = 3.9 Hz, C), 143.0 (d, J = 3.9 Hz, C), 129.4 (CH), 129.3 (C), 129.0 (2 × CH), 125.3 (2 × CH), 121.2 (dd, J = 24.2, 3.1 Hz, C), 110.4 (dd, J = 19.1, 8.1 Hz, CH), 108.4 (dd, J = 21.9, 6.4 Hz, CH), 97.8 (t, J = 1.9 Hz, CH). EI-LRMS m/z (%): 230 (M+, 100), 201 (42), 181 (8). ESI-HRMS was calculated for C14H9F2O [M + H]+ 231.0616, and found 231.0615.
7-Bromo-4-fluoro-2-phenylbenz[b]ofuran (3ma): The reaction of O-2-bromo-5-fluorophenyl N,N-diethylcarbamate (1m) (290 mg, 1 mmol), following the general procedure with Method A yielded the product as a colorless solid (41% yield); mp = 84–86 °C; Rf = 0.31 (hexane). 1H NMR (300 MHz, CDCl3) δ (ppm): 7.94–7.91 (m, 2H), 7.53–7.36 (m, 4H), 7.17 (s, 1H), 6.91–6.85 (m, 1H). 13C NMR (75.4 MHz, CDCl3) δ (ppm): 157.0 (C), 155.3 (d, J = 243.9 Hz, C), 129.5 (CH), 129.5 (C), 129.1 (2 × CH), 127.3 (d, J = 7.4 Hz, CH), 125.4 (2 × CH), 125.2 (C), 119.7 (d, J = 23.0 Hz, C), 110.2 (d, J = 20.6 Hz, CH), 98.8 (d, J = 4.4 Hz, C), 98.2 (d, J = 1.6 Hz, CH). EI-LRMS m/z (%): 291 (M+ + 2, 98), 289 (M+, 100), 211 (40). ESI-HRMS could not be recorded.
4-Bromo-2-phenylbenzo[b]furan (3na) [17]: The reaction of O-3-bromophenyl N,N-diethylcarbamate (1n) (272 mg, 1 mmol), following the general procedure with Method A yielded the product as a colorless solid (56% yield); Rf = 0.18 (hexane/EtOAc, 10:1)). 1H NMR (300 MHz, CDCl3) δ (ppm): 7.92–7.88 (m, 2H), 7.59–7.46 (m, 3H), 7.45–7.38 m, 2H), 7.17 (t, J = 8.1 Hz, 1H), 7.08 (s, 1H). 13C NMR (75.4 MHz, CDCl3) δ (ppm): 156.6 (C), 154.6 (C), 130.9 (CH), 129.9 (C), 129.1 (2 × CH), 128.9 (CH), 126.1 (2 × CH), 125.2 (C), 113.9 (C), 110.4 (CH), 102.4 (CH), 101.5 (CH). EI-LRMS m/z (%): 274 (M+ + 2, 96), 272 (M+, 100).
5-Fluoro-2-phenylbenzo[b]furan (4oa) [34]: The reaction of O-4-fluorophenyl N,N-diethylcarbamate (1o) (211 mg, 1 mmol), following the general procedure with Method B yielded the product as a colorless solid (59% yield); Rf = 0.42 (hexane/EtOAc, 5:1). 1H NMR (300 MHz, CDCl3) δ (ppm): 7.91–7.87 (m, 2H), 7.53–7.39 (m, 4H), 7.27 (dd, J = 8.6, 2.6 Hz, 1H), 7.05 (dt, J = 8.6, 2.6 Hz, 1H), 7.00 (d, J = 0.8 Hz, 1H). 13C NMR (75.4 MHz, CDCl3) δ (ppm): 159.5 (d, J = 237.9 Hz, C), 157.8 (C), 151.2 (C), 130.2 (C), 130.1 (d, J = 11.5 Hz, C), 129.0 (CH), 128.9 (2 × CH), 125.1 (2 × CH), 112.0 (d, J = 17.7 Hz, CH), 111.8 (CH), 106.4 (d, J = 25.1 Hz, CH), 101.5 (d, J = 4.0 Hz, CH). EI-LRMS m/z (%): 212 (M+, 100), 183 (66), 106 (16).
5-Chloro-2-phenylbenzo[b]furan (4pa) [35]: The reaction of O-4-chlorophenyl N,N-diethylcarbamate (1p) (227 mg, 1 mmol), following the general procedure with Method B yielded the product as a colorless solid (55% yield); Rf = 0.15 (hexane/EtOAc, 10:1). 1H NMR (300 MHz, CDCl3) δ (ppm): 7.87–7.83 (m, 2H), 7.54 (d, J = 2.1 Hz, 1H), 7.49–7.38 (m, 4H), 7.24 (dd, J = 8.7, 2.1 Hz, 1H), 6.96 (s, 1H). 13C NMR (75.4 MHz, CDCl3) δ (ppm): 157.5 (C), 153.3 (C), 130.7 (C), 130.1 (C), 129.1 (CH), 129.0 (2 × CH), 128.6 (C), 125.2 (2 × CH), 124.5 (CH), 120.5 (CH), 112.2 (CH), 100.9 (CH). EI-LRMS m/z (%): 230 (M+ + 2, 12), 228 (M+, 36), 193 (100), 116 (51).
5-Methoxy-2-phenylbenzo[b]furan (4qa) [36]: The reaction of O-4-methoxyphenyl N,N-diethylcarbamate (1q) (223 mg, 1 mmol), following the general procedure with Method B yielded the product as a colorless oil (56% yield); Rf = 0.15 (hexane/EtOAc, 10:1). 1H NMR (300 MHz, CDCl3) δ (ppm): 7.90–7.87 (m, 2H), 7.51–7.36 (m, 4H), 7.08 (d, J = 2.6 Hz, 1H), 6.99 (d, J = 0.9 Hz, 1H), 6.93 (dd, J = 8.9, 2.6 Hz, 1H), 3.89 (s, 3H). 13C NMR (75.4 MHz, CDCl3) δ (ppm): 156.8 (C), 156.2 (C), 150.1 (C), 130.7 (C), 129.9 (C), 128.9 (2 × CH), 128.6 (CH), 125.0 (2 × CH), 113.1 (CH), 111.7 (CH), 103.4 (CH), 101.6 (CH), 56.0 (CH3). EI-LRMS m/z (%): 224 (M+, 100), 153 (44), 76 (41).
3.2.3. Synthesis of o-Alkynyl Salicylamides 5
General Procedure: A solution of starting carbamate 1 (1 mmol) in THF (2 mL) at −78 °C under nitrogen was treated with a solution of s-BuLi (0.85 mL of a 1.4 M solution in cyclohexane, 1.2 mmol). The reaction mixture was allowed to reach −65 °C for 5 min and then stirred at this temperature for 90 min. Then, the corresponding alkynyl sulfone (1.3 mmol) was added at −65 °C, and the resulting solution was allowed to reach room temperature and then stirred for 60 min. Then, it was treated with s-BuLi (1.42 mL of a 1.4 M solution in cyclohexane, 2 mmol) at −65 °C and stirred at that temperature for 30 min. The mixture was allowed to warm slowly to room temperature and then stirred for an additional 60 min. The reaction mixture was quenched with NH4Cl (aq) and diluted with EtOAc. The layers were separated, the aqueous phase was extracted with EtOAc (3 × 10 mL), and the combined organic layers were dried over anhydrous Na2SO4. The solvents were removed under reduced pressure, and the residue was purified by column chromatography (hexane/EtOAc), affording the N,N-diethyl-2-hydroxy-3-(phenylethynyl) benzamides 5.
N,N-Diethyl-4-fluoro-2-hydroxy-3-(phenylethynyl) benzamide (5aa): The reaction of O-3-fluorophenyl N,N-diethylcarbamate (1a) (211 mg, 1 mmol), following the general procedure, yielded the product as a yellow oil (39% yield); Rf = 0.10 (hexane/EtOAc, 5:1). 1H NMR (300 MHz, CDCl3) δ (ppm): 10.28 (s, 1H), 7.63–7.60 (m, 2H), 7.39–7.37 (m, 3H), 7.26 (dd, J = 8.9, 6.3 Hz, 1H), 6.67 (t, J = 8.9 Hz, 1H), 3.52 (q, J = 7.1 Hz, 4H), 1.29 (t, J = 7.1 Hz, 6H). 13C NMR (75.4 MHz, CDCl3) δ (ppm): 170.3 ©, 164.4 (d, J = 255.6 Hz, C), 160.8 (d, J = 5.9 Hz, C), 131.94 (2 × CH), 128.8 (CH), 128.5 (2 × CH), 128.2 (CH), 125.2 (C), 122.9 (C), 115.0 (d, J = 3.1 Hz, C), 106.1 (d, J = 22.0 Hz, CH), 99.7 (C), 77.9 (C), 42.3 (2 × CH2), 13.5 (2 × CH3). EI-LRMS m/z (%): 311 (M+ + 2, 25), 310 (M+, 22), 239 (100), 183 (51). ESI-HRMS was calculated for C19H19FNO2 [M + H]+ 312.1394, and found 312.1400.
4-Chloro-N,N-diethyl-2-hydroxy-3-(phenylethynyl) benzamide (5da): The reaction of O-3-chlorophenyl N,N-diethylcarbamate (1d) (227 mg, 1 mmol), following the general procedure, yielded the product as a dark yellow oil (79% yield); Rf = 0.12 (hexane/EtOAc, 5:1). 1H NMR (300 MHz, CDCl3) δ (ppm): 9.77 (s, 1H), 7.64–7.61 (m, 2H), 7.40–7.36 (m, 3H), 7.15 (d, J = 8.4 Hz, 1H), 6.99 (d, J = 8.4 Hz, 1H), 3.49 (q, J = 7.1 Hz, 4H), 3.25 (t, J = 7.1 Hz, 6H). 13C NMR (75.4 MHz, CDCl3) δ (ppm): 169.7 (C), 158.9 (C), 138.7 (C), 131.9 (2 × CH), 128.9 (CH), 128.4 (2 × CH), 127.5 (CH), 122.8 (C), 119.8 (CH), 118.2 (C), 113.1 (C), 100.1 (C), 81.5 (C), 42.1 (2 × CH2), 13.5 (2 × CH3). EI-LRMS m/z (%): 329 (M+ + 2, 1), 327 (M+, 3), 292 (32), 58 (100). ESI-HRMS was calculated for C19H19ClNO2 [M + H]+ 328.1099, and found 328.1105.
4-Chloro-N,N-diethyl-2-hydroxy-3-((4-methoxyphenyl)ethynyl)benzamide (5db): The reaction of O-3-chlorophenyl N,N-diethylcarbamate (1d) (227 mg, 1 mmol), following the general procedure, yielded the product as a yellow solid (65% yield); mp = 121–123 °C; Rf = 0.25 (hexane/EtOAc, 2:1). 1H NMR (300 MHz, CDCl3) δ (ppm): 9.44 (s, 1H), 7.54 (d, J = 9.0 Hz, 2H), 7.13 (d, J = 8.4 Hz, 1H), 6.97 (d, J = 8.4 Hz, 1H), 6.89 (d, J = 9.0 Hz, 2H), 3.83 (s, 3H), 3.47 (q, J = 7.1 Hz, 4H), 1.24 (t, J = 7.1 Hz, 6H). 13C NMR (75.4 MHz, CDCl3) δ (ppm): 169.6 (C), 160.2 (C), 158.2 (C), 138.3 (C), 133.4 (2 × CH), 127.2 (CH), 119.9 (CH), 118.4 (C), 114.8 (C), 114.1 (2 × CH), 113.3 (C), 100.4 (C), 80.1 (c), 55.4 (CH3), 42.0 (2 × CH2), 13.4 (2 × CH3). EI-LRMS m/z (%): 359 (M+ + 2, 40), 357 (M+, 53), 285 (100), 151 (50), 42 (49). ESI-HRMS was calculated for C20H21ClNO3 [M + H]+ 358.1204, and found 358.1213.
4,5-Dichloro-N,N-diethyl-2-hydroxy-3-(phenylethynyl)benzamide (5ha): The reaction of O-3,4-dichlorophenyl N,N-diethylcarbamate (1h) (262 mg, 1 mmol), following the general procedure, yielded the product as a yellow solid (52% yield); mp = 155–157 °C; Rf = 0.18 (hexane/EtOAc, 2:1). 1H NMR (300 MHz, CDCl3) δ (ppm): 9.34 (s, 1H), 7.63 (dd, J = 6.6, 3.1 Hz, 2H), 7.41–7.39 (m, 3H), 7.31 (s, 1H), 3.49 (q, J = 7.1 Hz, 4H), 1.27 (t, J = 7.1 Hz, 6H). 13C NMR (75.4 MHz, CDCl3) δ (ppm): 168.3 (C), 156.1 (C), 136.2 (C), 131.9 (2 × CH), 129.1 (CH), 128.5 (2 × CH), 127.9 (CH), 123.4 (C), 122.5 (C), 120.5 (C), 114.8 (C), 101.0 (C), 81.4 (C), 42.0 (2 × CH2), 13.4 (2 × CH3). EI-LRMS m/z (%): 363 (M+ + 2, 40), 361 (M+, 48), 289 (100), 163 (34). ESI-HRMS was calculated for C19H18Cl2NO2 [M + H]+ 362.0709, and found 362.0718.
3.2.4. Synthesis of O-3-Chloro-6-iodo-2-(arylethynyl)phenyl N,N-Diethylcarbamates 6
General Procedure: A solution of O-3-chloro-2-iodophenyl N,N-diethylcarbamate (1r) (317 mg, 0.9 mmol) in THF (2 mL) at −78 °C under nitrogen was treated with a solution of LDA (1.08 mmol). The reaction mixture was stirred at −78 °C for 1 h. Then, the corresponding alkynyl sulfone (1.17 mmol) was added, and the resulting solution was stirred for 2 h at −78 °C. Finally, the resulting solution was warmed to room temperature and stirred overnight. The reaction mixture was quenched with NH4Cl (aq), and the aqueous phase was extracted with Et2O (3 × 10 mL). The combined organic layers were dried over anhydrous Na2SO4, and the solvents were removed under reduced pressure. The residue was purified by column chromatography (hexane/EtOAc), affording O-3-chloro-6-iodo-2-(arylethynyl)phenyl N,N-diethylcarbamates 6.
O-3-Chloro-6-iodo-2-(phenylethynyl)phenyl N,N-diethylcarbamate (6a): The use of 2-phenyl p-toluenesulfonylacetylene (300 mg), following the general procedure, yielded the product as a colorless solid (60% yield); mp = 87–89 °C; Rf = 0.27 (hexane/EtOAc, 10:1). 1H NMR (300 MHz, CDCl3) δ (ppm): 7.69 (dd, J = 8.6, 0.9 Hz, 1H), 7.54–7.51 (m, 2H), 7.39–7.36 (m, 3H), 7.08 (dd, J = 8.6, 0.9 Hz, 1H), 3.60–3.55 (m, 2H), 3.46–3.42 (m, 2H), 1.39 (t, J = 7.1 Hz, 3H), 1.20 (t, J = 7.1 Hz, 3H). 13C NMR (75.4 MHz, CDCl3) δ (ppm): 153.7 (C), 152.0 (C), 138.3 (2 × CH), 137.1 (C), 131.8 (2 × CH), 129.1 (CH), 128.5 (2 × CH), 127.7 (CH), 122.7 (C), 119.9 (C), 99.6 (C), 89.5 (C), 81.7 (C), 42.8 (CH2), 42.4 (CH2), 14.5 (CH3), 13.5 (CH3). EI-LRMS m/z (%): 455 (M+ + 2, 4), 453 (M+, 10), 163 (42), 100 (100). ESI-HRMS was calculated for C19H18ClINO2 [M + H]+ 454.0065, and found 454.0074.
O-3-Chloro-6-iodo-2-((4-methoxyphenyl)ethynyl)phenyl N,N-diethylcarbamate (6b): The use of 2-(4-methoxyphenyl) p-toluenesulfonylacetylene (334 mg), following the general procedure, yielded the product as a colorless solid (66% yield); mp = 88–90 °C; Rf = 0.46 (hexane/EtOAc, 3:1). 1H NMR (300 MHz, CDCl3) δ (ppm): 7.66 (d, J = 8.6 Hz, 1H), 7.45 (d, J = 8.9 Hz, 2H), 7.06 (d, J = 8.6 Hz, 1H), 6.89 (d, J = 8.9 Hz, 2H), 3.84 (s, 3H), 3.61–3.52 (m, 2H), 3.49–3.39 (m, 2H), 1.38 (t, J = 7.1 Hz, 3H), 1.20 (t, J = 7.1 Hz, 3H). 13C NMR (75.4 MHz, CDCl3) δ (ppm): 160.2 (C), 153.5 (C), 152.0 (C), 137.9 (CH), 136.7 (C), 133.3 (2 × CH), 127.6 (CH), 120.2 (C), 114.7 (C), 114.1 (2 × CH), 99.9 (C), 89.5 (C), 80.5 (C), 55.4 (CH3), 42.7 (CH2), 42.4 (CH2), 14.5 (CH3), 13.5 (CH3). EI-LRMS m/z (%): 485 (M+ + 2, 14) 483 (M+, 29), 100 (100), 72 (36). ESI-HRMS was calculated for C20H20ClINO3 [M + H]+ 484.0171, and found 484.0180.
3.2.5. Synthesis of O-3-Chloro-2,6-bis(alkynyl)phenyl N,N-Diethylcarbamates 7
General Procedure: To a solution of starting carbamate 6a (176 mg, 0.5 mmol) in DMF (3 mL) under nitrogen, Et2NH (55 mg, 0.75 mmol), the corresponding terminal alkyne (0.6 mmol), PdCl2(PPh3)2 (10.5 mg, 0.025 mmol), and CuI (2.9 mg, 0.015 mmol) were added. The resulting mixture was stirred at room temperature overnight. After completion of the reaction, the solvents were removed under reduced pressure, and the residue was purified by silica gel column chromatography (hexane/EtOAc = 10:1), affording the O-3-chloro-2,6-bis(alkynyl)phenyl N,N-diethylcarbamates 7.
O-3-Chloro-2,6-bis(phenylethynyl)phenyl N,N-diethyl carbamate (7aa): The use of phenylacetylene (61 mg), following the general procedure, yielded the product as a colorless solid (72% yield); mp = 94–96 °C; Rf = 0.17 (hexane/EtOAc, 10:1). 1H NMR (300 MHz, CDCl3) δ (ppm): 7.59–7.49 (m, 4H), 7.46 (d, J = 8.4 Hz, 1H), 7.40–7.28 (m, 7H), 3.60 (q, J = 7.1 Hz, 2H), 3.45 (q, J = 7.1 Hz, 2H), 1.38 (t, J = 7.1 Hz, 3H), 1.18 (t, J = 7.1 Hz, 3H). 13C NMR (75.4 MHz, CDCl3) δ (ppm): 154.0 (C), 152.7 (C), 136.6 (C), 132.1 (CH), 131.8 (2 × CH), 131.7 (2 × CH), 129.0 (CHs), 128.8 (CH), 128.5 (4 × CH), 126.4 (CH), 123.0 (C), 122.9 (C), 119.6 (C), 117.5 (C), 99.3 (C), 94.8 (C), 83.7 (C), 81.6 (C), 42.7 (CH2), 42.4 (CH2), 14.4 (CH3), 13.5 (CH3). EI-LRMS m/z (%): 429 (M+ + 2, 2), 427 (M+, 6), 100 (100), 72 (47). ESI-HRMS was calculated for C27H23ClNO2 [M + H]+ 428.1412, and found 428.1418.
O-3-Chloro-6-((4-chlorophenyl)ethynyl)-2-(phenylethynyl)phenyl N,N-diethylcarbamate (7ab): The use of 1-chloro-4-ethynylbenzene (82 mg), following the general procedure, yielded the product as a dark yellow oil (76% yield); Rf = 0.20 (hexane/EtOAc, 10:1). 1H NMR (300 MHz, CDCl3) δ (ppm): 7.57–7.54 (m, 2H), 7.46–7.30 (m, 9H), 3.59 (q, J = 7.0 Hz, 2H), 3.45 (q, J = 7.0 Hz, 2H), 1.38 (t, J = 7.1 Hz, 3H), 1.18 (t, J = 7.1 Hz, 3H). 13C NMR (75.4 MHz, CDCl3) δ (ppm): 154.0 (C), 152.6 (C), 136.8 (C), 134.8 (C), 132.8 (2 × CH), 132.0 (CH), 131.8 (2 × CH), 129.0 (CH), 128.8 (2 × CH), 128.4 (2 × CH), 126.4 (CH), 122.8 (C), 121.4 (C), 119.6 (C), 117.2 (C), 99.4 (C), 93.6 (C), 84.7 (C), 81.5 (C), 42.7 (CH2), 42.3 (CH2), 14.4 (CH3), 13.5 (CH3). EI-LRMS m/z (%): 463 (M+ + 2, 8), 461 (M+, 12), 100 (100), 72 (25). ESI-HRMS was calculated for C27H22Cl2NO2 [M + H]+ 462.1022, and found 462.1031.
O-3-Chloro-2-(phenylethynyl)-6-(thiophen-3-ylethynyl)phenyl N,N-diethylcarbamate (7ac): The use of 3-ethynylthiophene (65 mg), following the general procedure, yielded the product as a dark yellow oil (70% yield); Rf = 0.19 (hexane/EtOAc, 10:1). 1H NMR (300 MHz, CDCl3) δ (ppm): 7.57–7.51 (m, 3H), 7.45–7.30 (m, 6H), 7.17 (d, J = 5.0 Hz, 1H), 3.58 (q, J = 7.0 Hz, 2H), 3.44 (q, J = 7.0 Hz, 2H), 1.38 (t, J = 7.0 Hz, 3H), 1.18 (t, J = 7.0 Hz, 3H). 13C NMR (75.4 MHz, CDCl3) δ (ppm): 153.9 (C), 152.6 (C), 136.5 (C), 132.0 (CH), 131.8 (2 × CH), 129.8 (CH), 129.2 (CH), 129.0 (CH), 128.4 (2 × CH), 126.4 (CH), 125.6 (CH), 122.9 (C), 122.0 (C), 119.6 (C), 117.4 (C), 99.3 (C), 90.0 (C), 83.2 (C), 81.6 (C), 42.7 (CH2), 42.3 (CH2), 14.4 (CH3), 13.5 (CH3). EI-LRMS m/z (%): 435 (M+ + 2, 10), 433 (M+, 28), 100 (100), 72 (33). ESI-HRMS was calculated for C25H21ClNO2S [M + H]+ 434.0976, and found 434.0982.
3.2.6. Synthesis of (4-Chloro-2-Phenylbenzofuran-5-yl)(4-Chlorophenyl) Methanol 8
A solution of starting carbamate 3ka (123 mg, 0.4 mmol) in THF (2 mL) at −78 °C under nitrogen was treated with a solution of n-BuLi (0.30 mL of a 1.6 M solution in hexane, 0.48 mmol). The reaction mixture was stirred at this temperature for 30 min. Then, 4-chlorobenzaldehyde (67 mg, 0.48 mmol) was added, and the resulting solution was warmed to room temperature. The mixture was quenched with aqueous NH4Cl, diluted with EtOAc, and the layers were separated. The aqueous phase was extracted with EtOAc (3 × 10 mL), and the combined organic layers were dried over anhydrous Na2SO4. The solvents were removed under reduced pressure, and the residue was purified by column chromatography (hexane/EtOAc = 5:1), affording functionalized benzo[b]furan derivative 8.
(4-Chloro-2-phenylbenzofuran-5-yl)(4-chlorophenyl) methanol (8): Colorless oil (83% yield); Rf = 0.26 (hexane/EtOAc, 5:1). 1H NMR (300 MHz, CDCl3) δ (ppm): 7.89–7.63 (m, 2H), 7.48–7.34 (m, 9H), 7.10 (s, 1H), 6.34 (s, 1H), 2.58 (s, 1H). 13C NMR (75.4 MHz, CDCl3) δ (ppm): 157.2 (C), 154.3 (C), 141.4 (C), 135.3 (C), 133.5 (C), 129.9 (C), 129.3 (C), 129.2 (CH), 129.0 (2 × CH), 128.7 (2 × CH), 128.1 (2 × CH), 127.4 (C), 125.2 (2 × CH), 123.8 (CH), 110.3 (CH), 100.2 (CH), 71.8 (CH). EI-LRMS m/z (%): 372 (M++4, 6), 370 (M+ + 2, 18), 368 (M+, 54), 351 (100), 281 (41). ESI-HRMS was calculated for C21H14Cl2NaO2 [M + Na]+ 391.0263, and found 391.0267.
3.2.7. Synthesis of 4-Chloro-2,5-Diphenylbenzofuran 9
A solution of starting carbamate 3ka (123 mg, 0.4 mmol) in toluene (2 mL) was mixed with acid phenylboronic acid (97 mg, 0.8 mmol), Pd(OAc)2 (5 mg, 5 mol%), PPh3 (11 mg, 10 mol%), and K3PO4 (169 mg, 0.8 mmol). The resulting mixture was stirred at 100 °C for 12 h. After completion of the reaction, the solvents were removed under reduced pressure, and the residue was purified by silica gel column chromatography (hexane/EtOAc = 10:1), affording benzo[b]furan derivative 9.
4-Chloro-2,5-diphenylbenzofuran (9): White solid (81% yield); mp = 116–118 °C; Rf = 0.18 (hexane/EtOAc, 10:1). 1H NMR (300 MHz, CDCl3) δ (ppm): 7.95–7.92 (m, 2H), 7.53–7.49 (m, 9H), 7.30 (d, J = 8.4 Hz, 1H), 7.20 (d, J = 0.9 Hz, 1H). 13C NMR (75.4 MHz, CDCl3) δ (ppm): 157.2 (C), 154.2 (C), 139.6 (C), 135.4 (C), 130.1 (C), 130.0 (2 × CH), 129.6 (C), 129.2 (CH), 129.0 (2 × CH), 128.2 (2 × CH), 127.5 (CH), 127.3 (CH), 125.3 (2 × CH), 123.9 (C), 109.8 (CH), 100.6 (CH). EI-LRMS m/z (%): 306 (M+ + 2, 34), 304 (M+, 100), 239 (35), 119 (20). ESI-HRMS was calculated for C20H14ClO [M + H]+ 305.0728, and found 305.0739.
4. Conclusions
In summary, we have reported a straightforward protocol to synthesize regioselectively functionalized benzo[b]furans, particularly challenging those 4-halo-substituted derivatives, in a one-pot transition metal-free process employing readily available starting materials, such as O-3-halophenyl N,N-diethylcarbamates. The process is triggered by an initial C–H bond functionalization step through directed ortho-metalation (DoM), taking advantage of the extraordinary ability of the carbamate group to act as a directed metalation group. The generated organolithium intermediate was successfully reacted with arylsufonylacetylenes, affording the corresponding o-alkynylaryl carbamates, which, upon addition of NaOH and subsequent heating under conventional thermal or microwave irradiation, delivered the desired benzo[b]furans. In addition, by applying a halogen dance strategy, closely related O-6-alkynyl-5-chloro-2-iodophenyl carbamates were easily obtained from O-3-chloro-2-iodophenyl carbamate, expanding the scope of this transformation. Further derivatization allowed the synthesis of o,o´-dialkynylaryl carbamates. The carbamate moiety has demonstrated a wide versatility in increasing structural complexity by efficiently developing DoM processes, as shown with the synthesis of related 3-alkynylsalicylamides.
Supplementary Materials
The following supporting information can be downloaded online. Copies of 1H-NMR and 13C-NMR spectra of all new compounds.
Author Contributions
Methodology, C.F. and C.V.; investigation, C.F., C.V., C.S. and L.R.; writing—original draft, C.S. and S.S.-P.; writing—review and editing, S.S.-P. and R.S.; funding acquisition, S.S.-P. and R.S.; data curation, R.S. All authors have read and agreed to the published version of the manuscript.
Funding
This research was funded by the Ministerio de Ciencia e Innovación and FEDER (PID2020-115789GB-C21), and Junta de Castilla y León and FEDER (BU049P20). The project leading to these results has also received funding from “la Caixa” Foundation, under Agreement LCF/PR/PR18/51130007 > (CAIXA-UBU001). S.S.-P. and C.V. thank Junta de Castilla y León (Consejería de Educación) and Fondo Social Europeo (ESF+) for postdoctoral contracts. C.S. thanks Ministerio de Educación for a FPU predoctoral contract.
Institutional Review Board Statement
Not applicable.
Informed Consent Statement
Not applicable.
Data Availability Statement
The data presented in this study are available in this article.
Conflicts of Interest
The authors declare no conflict of interest.
Sample Availability
Not available.
References
- Naik, R.; Harmalkar, D.S.; Xu, X.; Jang, K.; Lee, K. Bioactive benzofuran derivatives: Moracins A–Z in medicinal chemistry. Eur. J. Med. Chem. 2015, 90, 379–393. [Google Scholar] [CrossRef] [PubMed]
- Nevagi, R.J.; Dighe, S.N.; Dighe, S.N. Biological and medicinal significance of benzofuran. Eur. J. Med. Chem. 2015, 97, 561–581. [Google Scholar] [CrossRef] [PubMed]
- Heravi, M.M.; Zadsirjan, V.; Hamidi, H.; Tabar Amiri, P.H. Total synthesis of natural products containing benzofuran rings. RSC Adv. 2017, 7, 24470–24521. [Google Scholar] [CrossRef] [Green Version]
- Taylor, R.D.; MacCoss, M.; Lawson, A.D.G. Rings in drugs: Miniperspective. J. Med. Chem. 2014, 57, 5845–5859. [Google Scholar] [CrossRef]
- Patil, N.T.; Yamamoto, Y. Coinage Metal-Assisted Synthesis of Heterocycles. Chem. Rev. 2008, 108, 3395–3442. [Google Scholar] [CrossRef]
- Katritzky, A.R.; Rachwal, S. Synthesis of Heterocycles Mediated by Benzotriazole. 2. Bicyclic Systems. Chem. Rev. 2011, 111, 7063–7120. [Google Scholar] [CrossRef]
- Agasti, S.; Dey, A.; Maiti, D. Palladium-catalyzed benzofuran and indole synthesis by multiple C-H functionalization. Chem. Commun. 2017, 53, 6544–6556. [Google Scholar] [CrossRef]
- Kundu, N.G.; Pal, M.; Mahanty, J.S.; Dasgupta, S.K. Palladium-catalysed Heteroannulation of Acetylenic Compounds: A Facile Method for the Synthesis of Benzofurans. J. Chem. Soc. Chem. Commun. 1992, 41–42. [Google Scholar] [CrossRef]
- Zhou, L.; Shi, Y.; Zhu, X.; Zhang, P. Pd-catalyzed intramolecular Heck reaction for the synthesis of 2-methylbenzofurans. Tetrahedron Lett. 2019, 60, 2005–2008. [Google Scholar] [CrossRef]
- Kotsuki, H.; Araki, T.; Miyazaki, A.; Iwasaki, M.; Datta, P.K. A New Enantioselective Total Synthesis of AI-77-B. Org. Lett. 1999, 1, 499–502. [Google Scholar] [CrossRef]
- Alemagna, A.; Baldoli, C.; Del Buttero, P.; Licandro, E.; Maiorana, S. Nucleophilic Aromatic Substitution on Tricarbonylchromium-complexed Haloarenes: Synthesis of O-Aryloximes and Their Cyclization to Benzofurans. Synthesis 1987, 2, 192–196. [Google Scholar] [CrossRef]
- Snieckus, V. Directed Ortho Metalation. Tertiary Amide and O-Carbamate Directors in Synthetic Strategies for Polysubstituted Aromatics. Chem. Rev. 1990, 90, 879–933. [Google Scholar] [CrossRef]
- Macklin, T.; Snieckus, V. Handbook of C-H Transformations; Dyker, G., Ed.; Wiley-VCH: Weinheim, Germany, 2005; pp. 106–119. [Google Scholar]
- Patel, J.J.; Blackburn, T.; Alessi, M.; Sawinski, H.; Snieckus, V. Tetraethylphosphorodiamidate-Directed Metalation Group: Directed Ortho and Remote Metalation, Cross Coupling, and Remote Phopha Anionic Fries Rearrangement Reactions. Org. Lett. 2020, 22, 3860–3864. [Google Scholar] [CrossRef]
- Sedano, C.; Velasco, R.; Feberero, C.; Suárez-Pantiga, S.; Sanz, R. Lithiobenzyloxy as a Directed Metalation Group in ortho-Lithiation Reactions. Org. Lett. 2020, 22, 6365–6369. [Google Scholar] [CrossRef]
- Gais, H.-J. Sulfoximine-Directed Arene ortho-Lithiation. Eur. J. Org. Chem. 2021, 6229–6246. [Google Scholar] [CrossRef]
- Sanz, R.; Castroviejo, M.P.; Fernández, Y.; Fañanás, F.J. A new and Efficient Synthesis of 4-Functionalized Benzo[b]furans from 2,3-Dihalophenol. J. Org. Chem. 2005, 70, 6548–6551. [Google Scholar] [CrossRef]
- Feberero, C.; Velasco, R.; Sanz, R. ortho-Lithiation Reactions of O-(3,n-Dihalophenyl) N,N-Diethylcarbamates: Synthesis of Dihalosalicylamides and 2,3,n-Trihalophenol Derivatives. Eur. J. Org. Chem. 2016, 33, 5519–5528. [Google Scholar] [CrossRef] [Green Version]
- Sanz, R.; Guilarte, V.; García, N. Synthesis of 4-functionalized-1H-indoles from 2,3-dihalophenols. Org. Biomol. Chem. 2010, 8, 3860–3864. [Google Scholar] [CrossRef]
- Guilarte, V.; Castroviejo, M.P.; García-García, P.; Fernández-Rodríguez, M.A.; Sanz, R. Approaches to the Synthesis of 2,3-Dihaloanilines. Useful Precursors of 4-Functionalized-1H-indoles. J. Org. Chem. 2011, 76, 3416–3437. [Google Scholar] [CrossRef] [Green Version]
- Feberero, C.; Suárez-Pantiga, S.; Cabello, Z.; Sanz, R. 1,5-O→N Carbamoyl Snieckus-Fries-Type Rearrangement. Org. Lett. 2018, 20, 2437–2440. [Google Scholar] [CrossRef]
- Feberero, C.; Sedano, C.; Suárez-Pantiga, S.; Silva López, C.; Sanz, R. Experimental and Computational Study of the 1,5-O→N Carbamoyl Snieckus-Fries-Type Rearrangement. J. Org. Chem. 2020, 85, 12561–12578. [Google Scholar] [CrossRef]
- Sibi, M.P.; Snieckus, V. The Directed Ortho Lithiation of O-Aryl Carbamates. An Anionic Equivalent of the Fries Rearrangement. J. Org. Chem. 1983, 48, 1935–1937. [Google Scholar] [CrossRef]
- Miah, M.A.J.; Sibi, M.P.; Chattopadhyay, S.; Familoni, O.B.; Snieckus, V. Directed ortho-Metalation of O-Aryl N,N-Dialkylcarbamates: Methodology, Anionic ortho-Fries Rearrangement, and Lateral Metalation. Eur. J. Org. Chem. 2018, 2018, 440–446. [Google Scholar] [CrossRef]
- Miah, M.A.J.; Sibi, M.P.; Chattopadhyay, S.; Familoni, O.B.; Snieckus, V. Directed ortho-Metalation of Aryl Amides, O-Carbamates, and Methoxymethoxy Systems: Directed Metalation Group Competition and Cooperation. Eur. J. Org. Chem. 2018, 2018, 447–454. [Google Scholar] [CrossRef]
- Smorada, R.L.; Truce, W.E. Reactions of Arylsulfonylacetylenes with Organolithium and Grignard Reagents: A New Synthesis of Acetylenes. J. Org. Chem. 1979, 44, 3444–3445. [Google Scholar] [CrossRef]
- García Ruano, J.L.; Alemán, J.; Marzo, L.; Alvarado, C.; Tortosa, M.; Díaz-Tendero, S.; Fraile, A. Arylsulfonylacetylenes as Alkynylating Reagents of Csp2-H Bonds Activated with Lithium Bases. Angew. Chem. Int. Ed. 2012, 51, 2712–2716. [Google Scholar] [CrossRef]
- García Ruano, J.L.; Alemán, J.; Marzo, L.; Alvarado, C.; Tortosa, M.; Díaz-Tendero, S.; Fraile, A. Expanding the Scope of Arylsulfonylacetylenes as Alkynylating Reagents and Mechanistic Insights in the Formation of Csp2-CSp and Csp3-Csp Bonds from Organolithiums. Chem. Eur. J. 2012, 18, 8414–8422. [Google Scholar] [CrossRef]
- Sun, Y.; Abdukader, A.; Lu, D.; Zhang, H.; Liu, C. Synthesis of (E)-β-iodo vinylsulfones via iodine-promoted iodosulfonylation of alkynes with sodium sulfinates in an aqueous medium at room temperature. Green Chem. 2017, 19, 1255–1258. [Google Scholar] [CrossRef]
- Mabic, S.; Vaysse, L.; Benezra, C.; Lepoittevin, J.-P. New Synthesis of Benzoquinone Primin and its Water Soluble Analog Primin Acid via Heck Reactions. Synthesis 1999, 7, 1127–1134. [Google Scholar] [CrossRef]
- Sanz, R.; Guilarte, V.; Castroviejo, M.P. Simple Indole Synthesis by One-Pot Sonogashira Coupling-NaOH-mediated Cyclization. Synlett 2008, 19, 3006–3010. [Google Scholar] [CrossRef]
- Yamazaki, K.; Kawamorita, S.; Ohmiya, H.; Sawamura, M. Directed Ortho Borylation of Phenol Derivatives Catalyzed by a Silica-Supported Iridium Complex. Org. Lett. 2010, 12, 3978–3981. [Google Scholar] [CrossRef] [PubMed]
- Miller, R.E.; Rantanen, T.; Ogilvie, K.A.; Groth, U.; Snieckus, V. Combined Directed ortho Metalation-Halogen Dance (HD) Synthetic Strategies. HD-Anionic ortho Fries Rearrangement and Double HD Sequences. Org. Lett. 2010, 12, 2198–2201. [Google Scholar] [CrossRef]
- Yin, S.-C.; Zhou, Q.; Zhao, X.-Y.; Shao, L.X. N-Heterocyclic Carbene-Palladium(II)-1-Methylimidazole Complex Catalyzed Direct C-H Bond Arylation of Benzo[b]furans with Aryl Chlorides. J. Org. Chem. 2015, 80, 8916–8921. [Google Scholar] [CrossRef] [PubMed]
- Chen, Z.-P.; Zhou, Y.; Shui, M.-Z.; Liu, F. CuI catalyzed domino coupling-cyclization of 2-iodo-phenols and 1-alkynes to the synthesis of 2-substituted benzo[b]furans/furo-pyridines. Tetrahedron Lett. 2019, 60, 133–136. [Google Scholar] [CrossRef]
- Wang, S.; Li, P.; Yu, L.; Wang, L. Sequential and One-Pot Reactions of Phenols with Bromoalkynes for the Synthesis of (Z)-2-Bromovinyl Phenyl Ethers and Benzo[b]furans. Org. Lett. 2011, 13, 5968–5971. [Google Scholar] [CrossRef] [PubMed]
Publisher’s Note: MDPI stays neutral with regard to jurisdictional claims in published maps and institutional affiliations. |
© 2022 by the authors. Licensee MDPI, Basel, Switzerland. This article is an open access article distributed under the terms and conditions of the Creative Commons Attribution (CC BY) license (https://creativecommons.org/licenses/by/4.0/).









