Can Urban Grassland Plants Contribute to the Phytoremediation of Soils Contaminated with Heavy Metals
Abstract
1. Introduction
2. Results and Discussion
2.1. Soil Properties
2.2. Heavy Metals in the Soil
2.2.1. Distribution of HM in Soils
2.2.2. Soil Pollution Level
2.2.3. Influence of Soil Properties on HM Level
2.3. Heavy Metals in Plants
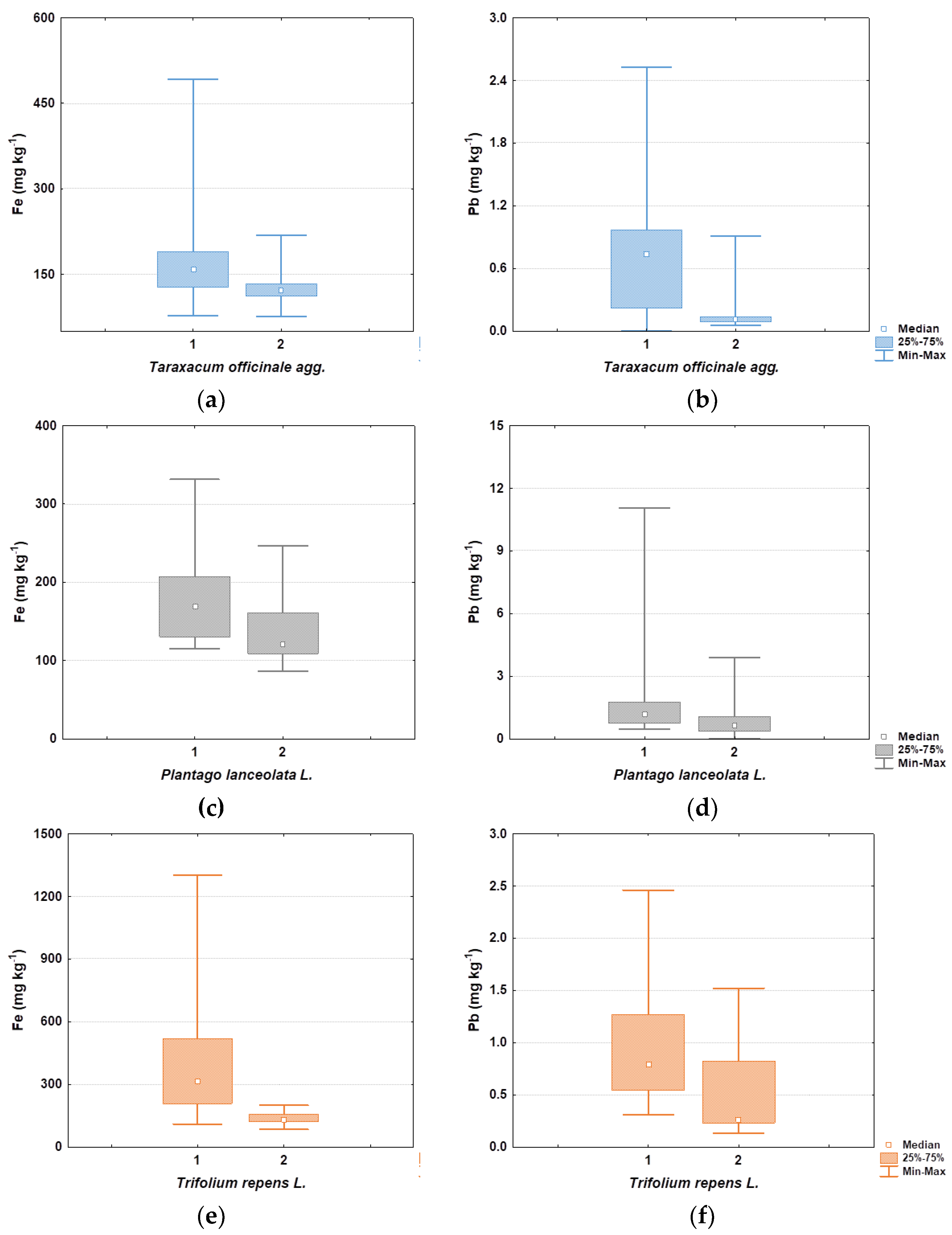
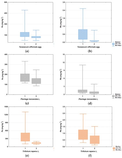
2.3.1. Total Concentrations of Heavy Metals in Washed Plant Samples
2.3.2. Factors Affecting Phytoextraction of Heavy Metals
2.3.3. Bioconcentration Factors (BCFs)
2.3.4. Differences in Heavy Metal Content between Unwashed and Washed Plant Samples
2.3.5. Biomass and Evaluation of Phytoremediation Applicability
2.4. Possible Sources of Pollution
3. Materials and Methods
3.1. Study Area
3.2. Sampling and Sample Preparation
3.3. Determination of Soil pH
3.4. Determination of Soil Texture
3.5. Analysis of Organic Matter Content in Soil
3.6. Heavy Metal Analysis in Soils and Plants
3.7. Assesment of Soil Pollution and Plant Bioaccumulation
3.8. Statistical Analysis
4. Conclusions
Supplementary Materials
Author Contributions
Funding
Institutional Review Board Statement
Informed Consent Statement
Data Availability Statement
Acknowledgments
Conflicts of Interest
Sample Availability
References
- Simon, E.; Vidic, A.; Braun, M.; Fábián, I.; Tóthmérész, B. Trace Element Concentrations in Soils along Urbanization Gradients in the City of Wien, Austria. Environ. Sci. Pollut. Res. 2013, 20, 917–924. [Google Scholar] [CrossRef] [PubMed]
- Škrbić, B.; Milovac, S.; Matavulj, M. Multielement Profiles of Soil, Road Dust, Tree Bark and Wood-Rotten Fungi Collected at Various Distances from High-Frequency Road in Urban Area. Ecol. Indic. 2012, 13, 168–177. [Google Scholar] [CrossRef]
- Norra, S.; Lanka-Panditha, M.; Kramar, U.; Stüben, D. Mineralogical and Geochemical Patterns of Urban Surface Soils, the Example of Pforzheim, Germany. Appl. Geochem. 2006, 21, 2064–2081. [Google Scholar] [CrossRef]
- Birke, M.; Rauch, U. Urban Geochemistry: Investigations in the Berlin Metropolitan Area. Environ. Geochem. Health 2000, 22, 233–248. [Google Scholar] [CrossRef]
- Horváth, A.; Szűcs, P.; Bidló, A. Soil Condition and Pollution in Urban Soils: Evaluation of the Soil Quality in a Hungarian Town. J. Soils Sediments 2015, 15, 1825–1835. [Google Scholar] [CrossRef]
- Puskás, I.; Farsang, A. Diagnostic Indicators for Characterizing Urban Soils of Szeged, Hungary. Geoderma 2009, 148, 267–281. [Google Scholar] [CrossRef]
- Biasioli, M.; Barberis, R.; Ajmone-Marsan, F. The Influence of a Large City on Some Soil Properties and Metals Content. Sci. Total Environ. 2006, 356, 154–164. [Google Scholar] [CrossRef]
- Manta, D.S.; Angelone, M.; Bellanca, A.; Neri, R.; Sprovieri, M. Heavy Metals in Urban Soils: A Case Study from the City of Palermo (Sicily), Italy. Sci. Total Environ. 2002, 300, 229–243. [Google Scholar] [CrossRef]
- Škrbić, B.; Čupić, S. Trace Metal Distribution in Surface Soils of Novi Sad and Bank Sediment of the Danube River. J. Environ. Sci. Health A 2004, 39, 1547–1558. [Google Scholar] [CrossRef]
- Crnković, D.; Ristić, M.; Antonović, D. Distribution of Heavy Metals and Arsenic in Soils of Belgrade (Serbia and Montenegro). Soil Sediment Contam. 2006, 15, 581–589. [Google Scholar] [CrossRef]
- Hiller, E.; Pilková, Z.; Filová, L.; Jurkovič, Ľ.; Mihaljevič, M.; Lacina, P. Concentrations of Selected Trace Elements in Surface Soils near Crossroads in the City of Bratislava (the Slovak Republic). Environ. Sci. Pollut. Res. 2021, 28, 5455–5471. [Google Scholar] [CrossRef] [PubMed]
- Finžgar, N.; Tlustoš, P.; Laštan, D. Relationship of Soil Properties to Fractionation, Bioavailability and Mobility of Lead and Zinc in Soil. Plant Soil Environ. 2008, 53, 225–238. [Google Scholar] [CrossRef]
- Leštan, D.; Grčman, H.; Zupan, M.; Bačac, N. Relationship of Soil Properties to Fractionation of Pb and Zn in Soil and Their Uptake into Plantago lanceolata. Soil Sediment Contam. 2003, 12, 507–522. [Google Scholar] [CrossRef]
- Madrid, L.; Díaz-Barrientos, E.; Madrid, F. Distribution of Heavy Metal Contents of Urban Soils in Parks of Seville. Chemosphere 2002, 49, 1301–1308. [Google Scholar] [CrossRef]
- United Nations. World Urbanization Prospects: The 2018 Revision (ST/ESA/SER.A/420); United Nations Department of Economic and Social Affairs; Population Division: New York, NY, USA, 2019; p. 19. [Google Scholar]
- Adriano, D.C. Ecological and Health Risks of Metals. In Trace Elements in Terrestrial Environments: Biogeochemistry, Bioavailability, and Risk of Metals; Adriano, D.C., Ed.; Springer: New York, NY, USA, 2001; pp. 133–165. [Google Scholar]
- Saad, A.A.A.; El-Sikail, A.; Kassem, H. Essential, Non-Essential Metals and Human Health. Blue Biotechnol. J. 2014, 3, 447–495. [Google Scholar]
- Fergusson, J.E.; Kim, N.D. Trace Elements in Street and House Dusts: Sources and Speciation. Sci. Total Environ. 1991, 100, 125–150. [Google Scholar] [CrossRef]
- Singh, O.V.; Labana, S.; Pandey, G.; Budhiraja, R.; Jain, R.K. Phytoremediation: An Overview of Metallic Ion Decontamination from Soil. Appl. Microbiol. Biot. 2003, 61, 405–412. [Google Scholar] [CrossRef]
- Suresh, B.; Ravishankar, G.A. Phytoremediation—A Novel and Promising Approach for Environmental Clean-Up. Crit. Rev. Biotechnol. 2004, 24, 97–124. [Google Scholar] [CrossRef]
- Vangronsveld, J.; Herzig, R.; Weyens, N.; Boulet, J.; Adriaensen, K.; Ruttens, A.; Thewys, T.; Vassilev, A.; Meers, E.; Nehnevajova, E.; et al. Phytoremediation of Contaminated Soils and Groundwater: Lessons from the Field. Environ. Sci. Pollut. Res. 2009, 16, 765–794. [Google Scholar] [CrossRef]
- Sarma, H. Metal Hyperaccumulation in Plants: A Review Focusing on Phytoremediation Technology. J. Environ. Sci. Technol. 2011, 4, 118–138. [Google Scholar] [CrossRef]
- Bhargava, A.; Carmona, F.F.; Bhargava, M.; Srivastava, S. Approaches for Enhanced Phytoextraction of Heavy Metals. J. Environ. Manag. 2012, 105, 103–120. [Google Scholar] [CrossRef] [PubMed]
- Ali, H.; Khan, E.; Sajad, M.A. Phytoremediation of Heavy Metals—Concepts and Applications. Chemosphere 2013, 91, 869–881. [Google Scholar] [CrossRef] [PubMed]
- Chibuike, G.U.; Obiora, S.C. Heavy Metal Polluted Soils: Effect on Plants and Bioremediation Methods. App. Environ. Soil Sci. 2014, 2014, 752708. [Google Scholar] [CrossRef]
- Baker, A.J.M.; McGrath, S.P.; Reeves, R.D.; Smith, J.A.C. Metal Hyperaccumulator Plants: A Review of the Ecology and Physiology of a Biological Resource for Phytoremediation of Metal-Polluted Soils. In Phytoremediation of Contaminated Soil and Water, 1st ed.; Terry, N., Bañuelos, G., Eds.; CRC Press: Boca Raton, FL, USA, 2020; pp. 85–107. [Google Scholar]
- Rascio, N.; Navari-Izzo, F. Heavy Metal Hyperaccumulating Plants: How and Why Do They Do It? And What Makes Them so Interesting? Plant Sci. 2011, 180, 169–181. [Google Scholar] [CrossRef]
- Prasad, M.N.V.; Freitas, H.M. Metal Hyperaccumulation in Plants—Biodiversity Prospecting for Phytoremediation Technology. Electron. J. Biotechnol. 2003, 6, 110–146. [Google Scholar] [CrossRef]
- Krämer, U. Metal Hyperaccumulation in Plants. Annu. Rev. Plant Biol. 2010, 61, 517–534. [Google Scholar] [CrossRef]
- Šaćiragić-Borić, S. Role of Plants in “Collection” of Waste in the Process of Phytoremediation; Academy of Sciences and Arts of Bosnia and Herzegovina, Department of Natural Sciences and Mathematics: Sarajevo, Bosnia and Herzegovina, 2011; Volume 21, pp. 139–153. [Google Scholar]
- Djingova, R.; Kuleff, I. Seasonal Variations in the Metal Concentration of Taraxacum officinale, Plantago major and Plantago lanceolata. Chem. Ecol. 1999, 16, 239–253. [Google Scholar] [CrossRef]
- Bini, C.; Wahsha, M.; Fontana, S.; Maleci, L. Effects of Heavy Metals on Morphological Characteristics of Taraxacum officinale Web Growing on Mine Soils in NE Italy. J. Geochem. Explor. 2012, 123, 101–108. [Google Scholar] [CrossRef]
- Malizia, D.; Giuliano, A.; Ortaggi, G.; Masotti, A. Common Plants as Alternative Analytical Tools to Monitor Heavy Metals in Soil. Chem. Cent. J. 2012, 6, S6. [Google Scholar] [CrossRef]
- Giacomino, A.; Malandrino, M.; Colombo, M.L.; Miaglia, S.; Maimone, P.; Blancato, S.; Conca, E.; Abollino, O. Metal Content in Dandelion (Taraxacum officinale) Leaves: Influence of Vehicular Traffic and Safety upon Consumption as Food. J. Chem. 2016, 2016, 9842987. [Google Scholar] [CrossRef]
- Kabata-Pendias, A.; Dudka, S. Trace Metal Contents of Taraxacum officinale (Dandelion) as a Convenient Environmental Indicator. Environ. Geochem. Health 1991, 13, 108–113. [Google Scholar] [CrossRef] [PubMed]
- Kabata-Pendias, A.; Krakowiak, A. Useful Phytoindicator (Dandelion) for Trace Metal Pollution. In Proceedings of the 5th International Conference—Transport, Fate and Effects of Silver in the Environment, University of Wisconsin System, Sea Grant Institute, Hamilton, ON, Canada, 28 September–1 October 1997; pp. 145–150. [Google Scholar]
- Diatta, J.B.; Grzebisz, W.; Apolinarska, K. A Study of Soil Pollution by Heavy Metals in the City of Poznań (Poland) Using Dandelion (Taraxacum officinale Web) as a Bioindicator. EJPAU Environ. Dev. 2003, 6. [Google Scholar]
- Korzeniowska, J.; Panek, E. The Content of Trace Metals (Cd, Cr, Cu, Ni, Pb, Zn) in Selected Plant Species (Moss Pleurozium Schreberi, Dandelion Taraxacum officianale, Spruce Picea abies) along the Road Cracow—Zakopane. Geomat. Environ. Eng. 2012, 6, 43–50. [Google Scholar] [CrossRef]
- Sembratowicz, I.; Rusinek, E.; Ognik, K.; Truchliński, J. Concentrations of Trace Elements and Heavy Metals at Selected Medicinal Plants Harvested in Two Vegetation Periods. Herba Pol. 2009, 55, 22–28. [Google Scholar]
- Murtić, S.; Zahirović, Ć.; Čivić, H.; Sijahović, E.; Jurković, J.; Avdić, J.; Šahinović, E.; Podrug, A. Phytoaccumulation of Heavy Metals in Native Plants Growing on Soils in the Spreča River Valley, Bosnia and Herzegovina. Plant Soil Environ. 2021, 67, 533–540. [Google Scholar] [CrossRef]
- Bidar, G.; Garçon, G.; Pruvot, C.; Dewaele, D.; Cazier, F.; Douay, F.; Shirali, P. Behavior of Trifolium repens and Lolium perenne Growing in a Heavy Metal Contaminated Field: Plant Metal Concentration and Phytotoxicity. Environ. Pollut. 2007, 147, 546–553. [Google Scholar] [CrossRef]
- Bidar, G.; Pruvot, C.; Garçon, G.; Verdin, A.; Shirali, P.; Douay, F. Seasonal and Annual Variations of Metal Uptake, Bioaccumulation, and Toxicity in Trifolium repens and Lolium perenne Growing in a Heavy Metal-Contaminated Field. Environ. Sci. Pollut. Res. 2009, 16, 42–53. [Google Scholar] [CrossRef]
- Tlustoš, P.; Száková, J.; Hrubý, J.; Hartman, I.; Najmanová, J.; Nedělník, J.; Pavlíková, D.; Batysta, M. Removal of As, Cd, Pb, and Zn from Contaminated Soil by High Biomass Producing Plants. Plant Soil Environ. 2011, 52, 413–423. [Google Scholar] [CrossRef]
- Tomašević, M.; Vukmirović, Z.; Rajšić, S.; Tasić, M.; Stevanović, B. Characterization of Trace Metal Particles Deposited on Some Deciduous Tree Leaves in an Urban Area. Chemosphere 2005, 61, 753–760. [Google Scholar] [CrossRef]
- Sánchez-López, A.S.; Carrillo-González, R.; González-Chávez, M.D.C.A.; Rosas-Saito, G.H.; Vangronsveld, J. Phytobarriers: Plants Capture Particles Containing Potentially Toxic Elements Originating from Mine Tailings in Semiarid Regions. Environ. Pollut. 2015, 205, 33–42. [Google Scholar] [CrossRef]
- Liu, Y.; Yang, Z.; Zhu, M.; Yin, J. Role of Plant Leaves in Removing Airborne Dust and Associated Metals on Beijing Roadsides. Aerosol Air Qual. Res. 2017, 17, 2566–2584. [Google Scholar] [CrossRef]
- Stančić, Z.; Vujević, D.; Dogančić, D.; Zavrtnik, S.; Dobrotić, I.; Bajsić, Z.; Dukši, I.; Vincek, D. Accumulation of Heavy Metals in Different Wild Plant Species. Environ. Eng. 2015, 2, 7–18. [Google Scholar]
- Neina, D. The Role of Soil pH in Plant Nutrition and Soil Remediation. Appl. Environ. Soil Sci. 2019, 2019, 5794869. [Google Scholar] [CrossRef]
- Liu, G.; Wang, J.; Liu, X.; Liu, X.; Li, X.; Ren, Y.; Wang, J.; Dong, L. Partitioning and Geochemical Fractions of Heavy Metals from Geogenic and Anthropogenic Sources in Various Soil Particle Size Fractions. Geoderma 2018, 312, 104–113. [Google Scholar] [CrossRef]
- Kwiatkowska-Malina, J. Functions of Organic Matter in Polluted Soils: The Effect of Organic Amendments on Phytoavailability of Heavy Metals. Appl. Soil Ecol. 2018, 123, 542–545. [Google Scholar] [CrossRef]
- Hjortenkrans, D.S.T.; Bergbäck, B.G.; Häggerud, A.V. Transversal Immission Patterns and Leachability of Heavy Metals in Road Side Soils. J. Environ. Monit. 2008, 10, 739–746. [Google Scholar] [CrossRef]
- Charlesworth, S.; Everett, M.; McCarthy, R.; Ordóñez, A.; de Miguel, E. A Comparative Study of Heavy Metal Concentration and Distribution in Deposited Street Dusts in a Large and a Small Urban Area: Birmingham and Coventry, West Midlands, UK. Environ. Int. 2003, 29, 563–573. [Google Scholar] [CrossRef]
- Staszewski, T.; Malawska, M.; Studnik-Wójcikowska, B.; Galera, H.; Wiłkomirski, B. Soil and Plants Contamination with Selected Heavy Metals in the Area of a Railway Junction. Arch. Environ. Prot. 2015, 41, 35–42. [Google Scholar] [CrossRef]
- Wan, D.; Han, Z.; Yang, J.; Yang, G.; Liu, X. Heavy Metal Pollution in Settled Dust Associated with Different Urban Functional Areas in a Heavily Air-Polluted City in North China. IJERPH 2016, 13, 1119. [Google Scholar] [CrossRef]
- Ordinance on the Protection of Agricultural Land from Pollution. OG 71/2019. Available online: https://narodne-novine.nn.hr/clanci/sluzbeni/2019_07_71_1507.html (accessed on 2 April 2022).
- Soil Remediation Circular 2013. Rijkswaterstaat, Ministry of Infrastructure and Water Management. Available online: http://enviroeng.eu/wp-content/uploads/2022/01/LISTA-HOLANDESA-2013.pdf (accessed on 19 June 2022).
- Dutch Target and Intervention Values, 2000, Annexes Circular on Target Values and Intervention Values for Soil Remediation. The Netherlands Ministry of Housing, Spatial Planning and Environment’s. Available online: https://www.esdat.net/environmental%20standards/dutch/annexs_i2000dutch%20environmental%20standards.pdf (accessed on 19 June 2022).
- Halamić, J.; Miko, S. Geochemical Atlas of the Republic of Croatia; Croatian Geological Survey: Zagreb, Croatia, 2009; pp. 40–83. [Google Scholar]
- Salminen, R.; Batista, M.J.; Bidovec, M.; Demetriades, A.; De Vivo, B.; De Vos, W.; Duris, M.; Gilucis, A.; Gregorauskiene, V.; Halamic, J.; et al. Geochemical Atlas of Europe. Part 1—Background Information, Methodology and Maps 2005. Available online: http://weppi.gtk.fi/publ/foregsatlas/index.php (accessed on 12 March 2022).
- Müller, G. Die Schwermetallbelastung der Sedimente des Neckars und seiner Nebenflüsse: Eine Bestandsaufnahme. Chem. Ztg. 1981, 6, 157–164. [Google Scholar]
- Kirkby, E. Introduction, Definitions and Classification of Nutrients. In Marschner’s Mineral Nutrition of Higher Plants; Marschner, H., Marschner, P., Eds.; Elsevier/Academic Press: London, UK, 2012; pp. 3–5. [Google Scholar]
- Markert, B. Presence and Significance of Naturally Occurring Chemical Elements of the Periodic System in the Plant Organism and Consequences for Future Investigations on Inorganic Environmental Chemistry in Ecosystems. Vegetatio 1992, 103, 1–30. [Google Scholar] [CrossRef]
- Kabata-Pendias, A.; Pendias, H. Trace Elements in Soils and Plants, 3rd ed.; CRC Press: Boca Raton, FL, USA, 2001; pp. 38–110. [Google Scholar]
- Violante, A.; Cozzolino, V.; Perelomov, L.; Caporale, A.G.; Pigna, M. Mobility and Bioavailability of Heavy Metals and Metalloids in Soil Environments. J. Soil Sci. Plant Nutr. 2010, 10, 268–292. [Google Scholar] [CrossRef]
- Oyewo, O.A.; Adeniyi, A.; Bopape, M.F.; Onyango, M.S. Heavy Metal Mobility in Surface Water and Soil, Climate Change, and Soil Interactions. In Climate Change and Soil Interactions; Narasimha, M., Prasad, V., Pietrzykowski, M., Eds.; Elsevier: Cambridge, UK, 2020; pp. 51–88. [Google Scholar]
- Kicińska, A.; Pomykała, R.; Izquierdo-Diaz, M. Changes in Soil pH and Mobility of Heavy Metals in Contaminated Soils. Eur. J. Soil Sci. 2022, 73, e13203. [Google Scholar] [CrossRef]
- Dimitrova, I.; Yurukova, L. Bioindication of Anthropogenic Pollution with Plantago lanceolata (Plantaginaceae): Metal Accumulation, Morphological and Stomatal Leaf Characteristics. Phytol. Balc. 2005, 11, 89–96. [Google Scholar]
- Castanheiro, A.; Samson, R.; De Wael, K. Magnetic- and Particle-Based Techniques to Investigate Metal Deposition on Urban Green. Sci. Total Environ. 2016, 571, 594–602. [Google Scholar] [CrossRef]
- Peuke, A.D.; Rennenberg, H. Phytoremediation: Molecular Biology, Requirements for Application, Environmental Protection, Public Attention and Feasibility. EMBO Rep. 2005, 6, 497–501. [Google Scholar] [CrossRef]
- Houben, D.; Pircar, J.; Sonnet, P. Heavy Metal Immobilization by Cost-Effective Amendments in a Contaminated Soil: Effects on Metal Leaching and Phytoavailability. J. Geochem. Explor. 2012, 123, 87–94. [Google Scholar] [CrossRef]
- Sheoran, V.; Sheoran, A.S.; Poonia, P. Phytomining: A Review. Miner. Eng. 2009, 22, 1007–1019. [Google Scholar] [CrossRef]
- Burkhardt, M.; Rossi, L.; Boller, M. Diffuse Release of Environmental Hazards by Railways. Desalination 2008, 226, 106–113. [Google Scholar] [CrossRef]
- Stančić, Z.; Fiket, Ž.; Vuger, A. Tin and Antimony as Soil Pollutants along Railway Lines—A Case Study from North-Western Croatia. Environments 2022, 9, 10. [Google Scholar] [CrossRef]
- Yang, J.; Zhang, C.; Tang, Y. Metal Distribution in Soils of an In-Service Urban Parking Lot. Environ. Monit. Assess. 2015, 187, 478. [Google Scholar] [CrossRef] [PubMed]
- Šajn, R.; Halamić, J.; Peh, Z.; Galović, L.; Alijagić, J. Assessment of the Natural and Anthropogenic Sources of Chemical Elements in Alluvial Soils from the Drava River Using Multivariate Statistical Methods. J. Geochem. Explor. 2011, 110, 278–289. [Google Scholar] [CrossRef]
- Halamić, J.; Galović, L.; Šparica, M. Heavy Metal (As, Cd, Cu, Hg, Pb and Zn) Distribution in Topsoil Developed on Alluvial Sediments of the Drava and Sava Rivers in NW Croatia. Geol. Croat. 2003, 56, 215–232. [Google Scholar] [CrossRef]
- Thorpe, A.; Harrison, R.M. Sources and Properties of Non-Exhaust Particulate Matter from Road Traffic: A Review. Sci. Total Environ. 2008, 400, 270–282. [Google Scholar] [CrossRef] [PubMed]
- Taylor, M.; Kruger, N. Tyre Weights an Overlooked Diffuse Source of Lead and Antimony to Road Runoff. Sustainability 2020, 12, 6790. [Google Scholar] [CrossRef]
- Pulles, T.; Denier van der Gon, H.; Appelman, W.; Verheul, M. Emission Factors for Heavy Metals from Diesel and Petrol Used in European Vehicles. Atmos. Environ. 2012, 61, 641–651. [Google Scholar] [CrossRef]
- Hjortenkrans, D. Road Traffic Metals—Sources and Emissions. Doctoral Thesis, University of Kalmar, Faculty of Natural Sciences and Engineering, Kalmar, Sweden, 2008. Dissertation Series, No. 54. [Google Scholar]
- European Parliament, Council of the European Union. Directive 98/70/EC of the European Parliament and of the Council of 13 October 1998 Relating to the Quality of Petrol and Diesel Fuels and Amending Council Directive 93/12/EEC. OJ EU 1998, L350, 58–68. [Google Scholar]
- Huber, M.; Welker, A.; Helmreich, B. Critical Review of Heavy Metal Pollution of Traffic Area Runoff: Occurrence, Influencing Factors, and Partitioning. Sci. Total Environ. 2016, 541, 895–919. [Google Scholar] [CrossRef]
- Wei, X.; Gao, B.; Wang, P.; Zhou, H.; Lu, J. Pollution Characteristics and Health Risk Assessment of Heavy Metals in Street Dusts from Different Functional Areas in Beijing, China. Ecotoxicol. Environ. Saf. 2015, 112, 186–192. [Google Scholar] [CrossRef]
- Bukowiecki, N.; Gehrig, R.; Hill, M.; Lienemann, P.; Zwicky, C.N.; Buchmann, B.; Weingartner, E.; Baltensperger, U. Iron, Manganese and Copper Emitted by Cargo and Passenger Trains in Zürich (Switzerland): Size-Segregated Mass Concentrations in Ambient Air. Atmos. Environ. 2007, 41, 878–889. [Google Scholar] [CrossRef]
- Lu, X.; Wang, L.; Lei, K.; Huang, J.; Zhai, Y. Contamination Assessment of Copper, Lead, Zinc, Manganese and Nickel in Street Dust of Baoji, NW China. J. Hazard. Mater. 2009, 161, 1058–1062. [Google Scholar] [CrossRef] [PubMed]
- Tadić, L.; Brleković, T. Hydrological Characteristics of the Drava River in Croatia. In The Drava River; Lóczy, D., Ed.; Springer Geography; Springer International Publishing: Cham, Switzerland, 2019; pp. 79–90. [Google Scholar]
- Bošnjak, G. The Regime of the Drava River in Croatia with Regard to Floods. Undergraduate’s Thesis, Faculty of Geotechnical Engineering, University of Zagreb, Varaždin, Croatia, 2018. [Google Scholar]
- Karlović, I.; Marković, T.; Vujnović, T.; Larva, O. Development of a Hydrogeological Conceptual Model of the Varaždin Alluvial Aquifer. Hydrology 2021, 8, 19. [Google Scholar] [CrossRef]
- Zaninović, K.; Gajić-Čapka, M.; Perčec Tadić, M.; Vučetić, M.; Milković, J.; Bajić, A.; Cindrić, K.; Cvitan, L.; Katušin, Z.; Kaučić, D.; et al. Climate Atlas of Croatia 1961–1990. 1971–2000; Meteorological and Hydrological Service of Croatia: Zagreb, Croatia, 2008; pp. 27–169. [Google Scholar]
- Meteorological and Hydrological Service of Croatia, Zagreb, Croatia. Personal communication. 2022.
- Sadovski, A.N. Study on pH in Water and Potassium Chloride for Bulgarian Soils. Eurasian J. Soil Sci. 2019, 8, 11–16. [Google Scholar] [CrossRef]
- HRN ISO 11277 Soil Quality—Determination of Particle Size Distribution in Mineral Soil Material—Method by Sieving and Sedimentation (ISO 11277:2009) 2011. Available online: http://31.45.242.218/HZN/Todb.nsf/wFrameset2?OpenFrameSet&Frame=Down&Src=%2FHZN%2FTodb.nsf%2Fcd07510acb630f47c1256d2c006ec863%2Fb23c712f88d6b685c1257809005388c0%3FOpenDocument%26AutoFramed (accessed on 12 March 2022).
- FAO. Guidelines for Soil Description, 4th ed.; FAO, UN: Rome, Italy, 2006; pp. 26–29. [Google Scholar]
- Škorić, A. Pedological Practice; University of Zagreb, Faculty of Agricultural Sciences: Zagreb, Croatia, 1973; pp. 24–26. [Google Scholar]
- Marković, T. Exploration Pollutants Mobility in the Overlying Deposits of the Karstic Aquifer in the Area of the Turanjsko Jezero in the Vransko Polje. Master’s Thesis, Faculty of Mining, Geology and Petroleum Engineering, University of Zagreb, Zagreb, Croatia, 2003. [Google Scholar]






| Heavy Metals and Soil Properties | Mean | Minimum | Maximum | Std. Dev. |
|---|---|---|---|---|
| Cd (mg/kg) | 0.55 | 0.15 | 2.12 | 0.52 |
| Cu (mg/kg) | 46.1 | 24.8 | 161 | 32.7 |
| Fe (g/kg) | 28.9 | 20.5 | 52.0 | 8.204 |
| Mn (mg/kg) | 575 | 398 | 973 | 163 |
| Ni (mg/kg) | 37.2 | 19.2 | 73.1 | 12.3 |
| Pb (mg/kg) | 117 | 24.0 | 490 | 112 |
| Zn (mg/kg) | 148 | 55.8 | 481 | 112 |
| Organic matter (%) | 4.88 | 1.63 | 8.66 | 1.89 |
| C (%) | 2.84 | 0.95 | 5.03 | 1.10 |
| pHH20 | 7.91 | 7.18 | 8.49 | 0.28 |
| pHKCl | 7.13 | 6.35 | 7.42 | 0.25 |
| Coarse sand (%) | 31.4 | 17.0 | 61.7 | 12.4 |
| Fine sand (%) | 21.0 | 13.0 | 32.0 | 5.67 |
| Coarse silt (%) | 20.1 | 6.70 | 25.2 | 4.59 |
| Fine silt (%) | 23.5 | 7.40 | 37.7 | 7.67 |
| Clay (%) | 3.96 | 1.00 | 7.10 | 1.47 |
| Plant Species | Heavy Metals (mg/kg) | N | Mean | Minimum | Maximum | St. Dev. |
|---|---|---|---|---|---|---|
| Taraxacum | Cd | 16 | 0.38 | 0.14 | 0.95 | 0.24 |
| officinale agg. | Cu | 16 | 15.1 | 8.5 | 23.5 | 4.0 |
| (dandelion) | Fe | 16 | 125 | 76 | 218 | 33 |
| Mn | 16 | 34 | 22 | 50 | 9 | |
| Ni | 15 | 1.19 | 0.03 | 5.50 | 1.58 | |
| Pb | 16 | 0.24 | 0.06 | 0.91 | 0.29 | |
| Zn | 16 | 92 | 58 | 142 | 21 | |
| Plantago | Cd | 15 | 0.25 | 0.13 | 0.63 | 0.14 |
| lanceolata L. | Cu | 14 | 9.8 | 7.1 | 18.8 | 2.9 |
| (narrowleaf | Fe | 15 | 139 | 86 | 246 | 52 |
| plantain) | Mn | 15 | 27 | 16 | 46 | 8 |
| Ni | 15 | 0.95 | 0.30 | 1.86 | 0.51 | |
| Pb | 15 | 0.93 | 0.02 | 3.88 | 0.91 | |
| Zn | 14 | 104 | 66 | 186 | 39 | |
| Trifolium | Cd | 15 | 0.03 | 0.01 | 0.04 | 0.01 |
| repens L. | Cu | 15 | 17.4 | 14.0 | 21.4 | 1.9 |
| (white | Fe | 15 | 138 | 85 | 201 | 33 |
| clover) | Mn | 15 | 25 | 16 | 32 | 5 |
| Ni | 15 | 0.83 | 0.07 | 2.58 | 0.52 | |
| Pb | 15 | 0.52 | 0.13 | 1.52 | 0.45 | |
| Zn | 14 | 57 | 30 | 147 | 33 |
| Cd | Cu | Fe | Mn | Ni | Pb | Zn | |
|---|---|---|---|---|---|---|---|
| mg/kg | mg/kg | mg/kg | mg/kg | mg/kg | mg/kg | mg/kg | |
| Taraxacum officinale agg. | |||||||
| Mean | −0.007 * | 0.7 | 64 | −4.1 * | −0.25 * | 0.6 | 86 |
| Plantago lanceolata L. | |||||||
| Mean | −0.004 * | 2.9 | 39 | 9.2 | −0.07 * | 1.0 | 26 |
| Trifolium repens L. | |||||||
| Mean | 0.021 | 4.0 | 286 | 13.2 | 0.38 | 0.5 | 27 |
| All three species | |||||||
| N | 46 | 45 | 46 | 46 | 45 | 44 | 44 |
| Mean | 0.003 | 2.5 | 128 | 5.9 | 0.02 | 0.7 | 48 |
| Taraxacum officinale agg. | Plantago lanceolata L. | Trifolium repens L. | Studied Species | All Other Species | Total Mass | |
|---|---|---|---|---|---|---|
| Fresh Biomass | ||||||
| single harvest-average (g/m2) | 43.8 | 136 | 98.6 | 278 | 333 | 611 |
| all harvests in growing season-average (g/m2) | 410 | 1271 | 925 | 2606 | 3118 | 5723 |
| all harvests in growing season-average (t/ha) | 4.10 | 12.7 | 9.25 | 26.1 | 31.2 | 57.2 |
| all harvests in growing season-average (%) | 7.2 | 22.2 | 16.2 | 45.6 | 54.5 | 100 |
| Dry Biomass | ||||||
| single harvest-average (g/m2) | 7.0 | 29.8 | 19.5 | 56.3 | 82.2 | 138 |
| all harvests in growing season-average (g/m2) | 65.2 | 279 | 183 | 527 | 771 | 1298 |
| all harvests in growing season-average (t/ha) | 0.65 | 2.79 | 1.83 | 5.27 | 7.71 | 13.0 |
| all harvests in growing season-average (%) | 5.00 | 21.5 | 14.1 | 40.6 | 59.4 | 100 |
| HMs Removal (kg/ha year) * | ||||||
| Cd | 0.001 | 0.003 | 0.0004 | 0.0044 | ||
| Cu | 0.073 | 0.167 | 0.208 | 0.448 | ||
| Pb | 0.004 | 0.015 | 0.007 | 0.026 | ||
| Zn | 0.663 | 1.72 | 0.447 | 2.83 | ||
| Cleanup Time (year) ** | ||||||
| Cd | 37 | |||||
| Cu | 56 | |||||
| Pb | >2000 | |||||
| Zn | 25 |
| Pb | Cu | Zn | Cd | Ni | Fe | Mn | |
|---|---|---|---|---|---|---|---|
| Road transport | |||||||
| brake wear [77] | |||||||
| tire wear [77] | |||||||
| tire weights [78] | |||||||
| road wear [77] | |||||||
| Rail transport | |||||||
| brakes [72] | |||||||
| rails, wheels [72] | |||||||
| galvanizing [72] | |||||||
| Fuels and oils | |||||||
| gasoline and diesel fuel [79] | |||||||
| engine lubricating oil [79] | |||||||
| Other sources | |||||||
| floods [75] | |||||||
Publisher’s Note: MDPI stays neutral with regard to jurisdictional claims in published maps and institutional affiliations. |
© 2022 by the authors. Licensee MDPI, Basel, Switzerland. This article is an open access article distributed under the terms and conditions of the Creative Commons Attribution (CC BY) license (https://creativecommons.org/licenses/by/4.0/).
Share and Cite
Stančić, Z.; Fiket, Ž.; Vujević, D. Can Urban Grassland Plants Contribute to the Phytoremediation of Soils Contaminated with Heavy Metals. Molecules 2022, 27, 6558. https://doi.org/10.3390/molecules27196558
Stančić Z, Fiket Ž, Vujević D. Can Urban Grassland Plants Contribute to the Phytoremediation of Soils Contaminated with Heavy Metals. Molecules. 2022; 27(19):6558. https://doi.org/10.3390/molecules27196558
Chicago/Turabian StyleStančić, Zvjezdana, Željka Fiket, and Dinko Vujević. 2022. "Can Urban Grassland Plants Contribute to the Phytoremediation of Soils Contaminated with Heavy Metals" Molecules 27, no. 19: 6558. https://doi.org/10.3390/molecules27196558
APA StyleStančić, Z., Fiket, Ž., & Vujević, D. (2022). Can Urban Grassland Plants Contribute to the Phytoremediation of Soils Contaminated with Heavy Metals. Molecules, 27(19), 6558. https://doi.org/10.3390/molecules27196558

