Changes in Fruit Quality Phytochemicals of Late-Mature Peach ‘Yonglian No.1’ during Storage
Abstract
:1. Introduction
2. Materials and Methods
2.1. Fruit Materials, Standard Samples, Package, and Storage Condition
2.2. Determination of Storage Good Fruit Rate, Fruit Firmness, and Flesh Browning Rate
2.3. Determination of Total Soluble Solids (TSS), Soluble Sugar, Organic Acid, and Vitamin C
2.4. Total Anthocyanin, Total Phenol, and Flavonoid Determination
2.5. Analysis of Anthocyanin Derivatives in Peaches Extracts by HPLC (High Performance Liquid Chromatography)
2.6. Statistical Analysis
3. Results
3.1. Effect of Treatment on Good Fruit Rate, Fruit Firmness, and Flesh Browning Rate of Peach Fruit
3.2. Effect of Treatment on TSS, Soluble Sugar, Organic Acid, and Vitamin C
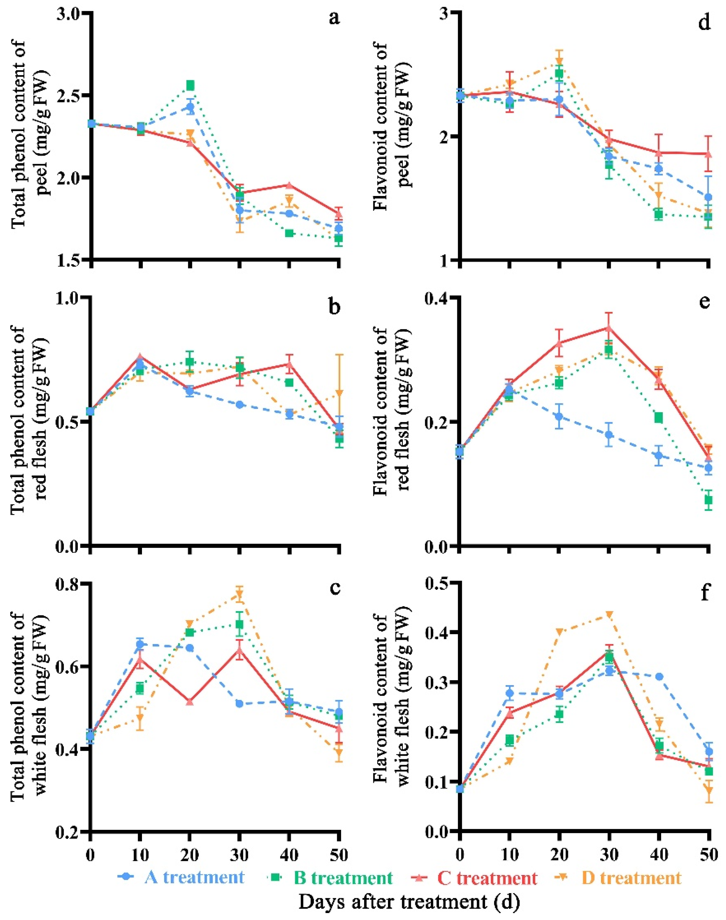
3.3. Effect of Treatment on Total Phenol and Flavonoid
3.4. Effect of Treatment on Total Anthocyanin and Identities of Anthocyanin in the Peach Extract
4. Discussion
4.1. Phytochemical Profiles of Different Peach Part
4.2. The Quality and Characteristics of ‘Yonglian No.1’ Peach
4.3. Effect of MAP on Peach Fruit Quality during Cold Storage
5. Conclusions
Author Contributions
Funding
Institutional Review Board Statement
Informed Consent Statement
Data Availability Statement
Acknowledgments
Conflicts of Interest
Sample Availability
References
- Reig, G.; Iglesias, I.; Gatius, F.; Alegre, S. Antioxidant capacity, quality, and anthocyanin and nutrient contents of several peach cultivars [Prunus persica (L.) Batsch] grown in Spain. J. Agric. Food Chem. 2013, 61, 6344–6357. [Google Scholar] [CrossRef] [PubMed]
- Bento, C.; Gonçalves, A.C.; Silva, B.; Silva, L.R. Peach (Prunus Persica): Phytochemicals and health benefits. Food Rev. Int. 2020, 38, 1703–1734. [Google Scholar] [CrossRef]
- Sun, Y.; Li, M.; Mitra, S.; Muhammad, H.M.; Debnath, B.; Lu, X.; Jian, H.; Qiu, D. Comparative phytochemical profiles and antioxidant enzyme activity analyses of the southern highbush blueberry (Vaccinium corymbosum) at different developmental stages. Molecules 2018, 23, 2209. [Google Scholar] [CrossRef] [PubMed]
- Budak, N.H.; Özdemir, N.; Gökırmaklı, Ç. The changes of physicochemical properties, antioxidants, organic, and key volatile compounds associated with the flavor of peach (Prunus cerasus L. Batsch) vinegar during the fermentation process. J. Food Biochem. 2021, 46, e13978. [Google Scholar] [CrossRef]
- Zhao, X.; Wang, F.; Xu, L.; He, H.; Zang, C.; Tian, Y. Anthocyanin composition and content in different peach cultivars as determined by HPLC. Food Sci. 2013, 34, 208–211. [Google Scholar]
- Lurie, S.; Crisosto, C.H. Chilling injury in peach and nectarine. Postharvest Biol. Technol. 2005, 37, 195–208. [Google Scholar] [CrossRef]
- Yang, C.; Chen, T.; Shen, B.; Sun, S.; Song, H.; Chen, D.; Xi, W. Citric acid treatment reduces decay and maintains the postharvest quality of peach (Prunus persica L.) fruit. Food Sci. Nutr. 2019, 7, 3635–3643. [Google Scholar] [CrossRef]
- Andréa, M.A.; Claudio, U.; Carol, M.; Marcela, J.; Alejandra, F.; Lee, M.; Mauricio, G.D.; Reinaldo, C.; Ariel, O. Proteomic analysis of a segregant population reveals candidate proteins linked to mealiness in peach. J. Proteom. 2015, 131, 71–81. [Google Scholar]
- Yang, Z.; Cao, S.; Su, X.; Jiang, Y. Respiratory activity and mitochondrial membrane associated with fruit senescence in postharvest peaches in response to UV-C treatment. Food Chem. 2014, 161, 16–21. [Google Scholar] [CrossRef]
- Yu, L.; Shao, X.; Wei, Y.; Xu, F.; Wang, H. Sucrose degradation is regulated by 1-methycyclopropene treatment and is related to chilling tolerance in two peach cultivars. Postharvest Biol. Technol. 2017, 124, 25–34. [Google Scholar] [CrossRef]
- Li, G.; Huo, Q.; Fan, C.; Cao, S.; Tian, Y.; Lu, Z. Effects of different storage temperature and harvesting time on fruit quality of ‘Qinchao’ peach. Nort Hort 2017, 14, 136–143. [Google Scholar]
- Oms-Oliu, G.; Odriozola-Serrano, I.; Soliva-Fortuny, R.; Martin-Belloso, O. Antioxidant content of fresh-cut pears stored in high-O2, active packages compared with conventional low-O2, active and passive modified atmosphere packaging. J. Agric. Food Chem. 2008, 56, 932–940. [Google Scholar] [CrossRef] [PubMed]
- Wang, Y.; Sugar, D. Internal browning disorder and fruit quality in modified atmosphere packaged ‘Bartlett’ pears during storage and transit. Postharvest Biol. Technol. 2013, 83, 72–82. [Google Scholar] [CrossRef]
- Chaudhary, P.R.; Jayaprakasha, G.K.; Porat, R.; Patil, B.S. Influence of modified atmosphere packaging on ‘star ruby’ grapefruit phytochemicals. J. Agric. Food Chem. 2015, 63, 1020–1028. [Google Scholar] [CrossRef] [PubMed]
- Santana, L.R.R.D.; Benedetti, B.C.; Sigrist, J.M.M.; Sarantopoulos, C.I.G.D.L. Modified atmosphere packaging extending the storage life of ‘Douradão’ peach. Rev. Bras. Frutic. 2010, 32, 1009–1017. [Google Scholar] [CrossRef]
- Jiang, Y.; Bian, K.; Zhang, Z.; Pan, L.; Wang, X. Fuzzy classification with kernel clustering for peach maturity discrimination with multi-dimensional indexes. Food Ferment. Ind. 2021, 47, 174–182. [Google Scholar]
- Wang, X.; Huang, J. Plant Physiological and Piochemical Principles and Pxperimental Pchniques, 3rd ed.; Higher Education Press: Beijing, China, 2015. [Google Scholar]
- Zhao, S.; Cang, J. Experimental Guidance of Plant Physiology; China Agriculture Press: Beijing, China, 2016. [Google Scholar]
- Li, M.; Sun, Y.; Lu, X.; Debnath, B.; Mitra, S.; Qiu, D. Proteomics reveal the profiles of color change in Brunfelsia acuminata flowers. Int. J. Mol. Sci. 2019, 20, 2000. [Google Scholar] [CrossRef]
- Lu, X.; Qiu, Z.; Li, M.; Chen, C.; Sun, Y.; Qiu, D. Optimizing the extraction process of anthocyanin in grape peel. Chin. Agric. Sci. Bull. 2019, 35, 114–121. [Google Scholar]
- Zhao, X.; Zhang, W.; Yin, X.; Su, M.; Sun, C.; Li, X.; Chen, K. Phenolic composition and antioxidant properties of different peach [prunus persica (L.) batsch] cultivars in China. Int. J. Mol. Sci. 2015, 16, 5762–5778. [Google Scholar] [CrossRef]
- Zhou, H.; Wang, Z.; Ye, Z.; Su, M.; Shen, X.; Huang, G.; Du, J.; Li, X. Difference analysis on postharvest sugar and acid metabolism in different types of peach fruits. Non-Wood For. Res. 2016, 34, 30–41. [Google Scholar]
- Hu, Y.; Jia, H.; Sun, C.; Chen, Q.; Xu, C.; Chen, K. A method for extracting and determining anthocyanin from peach fruit and its application. J. Fruit Sci. 2004, 21, 167–169. [Google Scholar]
- Wu, X.; Prior, R. Systematic identification and characterization of anthocyanins by HPLC-ESI-MS/MS in common foods in the United States: Fruits and berries. J. Agric. Food Chem. 2005, 53, 2589–2599. [Google Scholar] [CrossRef] [PubMed]
- Chen, X.; Lu, X.; Sun, Y.; Li, M.; Zeng, Z.; Ma, C.; Qiu, D. Comparison of fruit quality between ‘Weiduanmihong’ peach from Gutian, Fujian Province and ‘Yihong’ peach from Zhijiang, Hunan Province. Subtrop. Agric. Res. 2019, 15, 35–39. [Google Scholar]
- Cai, Z.; Yan, J.; Su, Z.; Xu, Z.; Zhang, M.; Shen, Z.; Yang, J.; Ma, R.; Yu, M. Evaluation of main phenolic compounds in different types of peach germplasm resources. Acta Hortic. Sin. 2022, 49, 1008–1022. [Google Scholar]
- Mihaylova, D.; Popova, A.; Desseva, I.; Petkova, N.; Stoyanova, M.; Vrancheva, R.; Slavov, A.; Slavchev, A.; Lante, A. Comparative study of early- and mid-ripening peach (Prunus persica L.) varieties: Biological activity, macro-, and micro- nutrient profile. Foods 2021, 10, 164. [Google Scholar] [CrossRef] [PubMed]
- Jiang, J.; Luo, F.; Liu, J.; Luo, Y.; Qiu, Y.; Tang, M.; Wang, Q. Effects of different temperature and packaging on the storage of chick peach. Mod. Food Sci. Technol. 2017, 33, 178–185+132. [Google Scholar]
- Yao, L.; Yin, J.; He, H.; Xu, L.; Liu, J.; Gao, H. Effect of biological preservative C06 treatment on fresh-keeping of post-harvest honey peach. Chin. Soc. Agric. Eng. 2010, 26, 357–361. [Google Scholar]
- Díaz-Mula, H.M.; Martínez-Romero, D.; Castillo, S.; Serrano, M.; Valero, D. Modified atmosphere packaging of yellow and purple plum cultivars. 1. Effect on organoleptic quality. Postharvest Biol. Technol. 2011, 61, 103–109. [Google Scholar] [CrossRef]
- Díaz-Mula, H.M.; Zapata, P.J.; Guillén, F.; Valverde, J.M.; Valero, D.; Serrano, M. Modified atmosphere packaging of yellow and purple plum cultivars. 2. Effect on bioactive compounds and antioxidant activity. Postharvest Biol. Technol. 2011, 61, 110–116. [Google Scholar] [CrossRef]
- Hu, H.; Li, P.; Wang, Y.; Wang, W.; Li, Z. Study of the effects of controlled atmosphere storage on enzymes activities of cell wall of strawberry. Food Mach. 2011, 27, 98–101. [Google Scholar]
- Liu, M.; Fan, X.; Wang, M.; Zhou, Z.; Zhang, C.; Zhang, Y. Influence of different packaging methods on physiological properties of blueberry during postharvest storage. Food Sci. 2013, 34, 346–350. [Google Scholar]
- Zhang, Z.; Tian, Q.; Wei, J.; Wu, B. Application of modified air microporous film packaging technology in storage and transportation of fresh table grapes. Packag. Eng. 2021, 42, 76–87. [Google Scholar]








Publisher’s Note: MDPI stays neutral with regard to jurisdictional claims in published maps and institutional affiliations. |
© 2022 by the authors. Licensee MDPI, Basel, Switzerland. This article is an open access article distributed under the terms and conditions of the Creative Commons Attribution (CC BY) license (https://creativecommons.org/licenses/by/4.0/).
Share and Cite
Li, W.; Pei, Z.; Shang, J.; Yang, H.; Kui, X.; Zeng, Z.; Ma, C.; Qiu, D. Changes in Fruit Quality Phytochemicals of Late-Mature Peach ‘Yonglian No.1’ during Storage. Molecules 2022, 27, 6319. https://doi.org/10.3390/molecules27196319
Li W, Pei Z, Shang J, Yang H, Kui X, Zeng Z, Ma C, Qiu D. Changes in Fruit Quality Phytochemicals of Late-Mature Peach ‘Yonglian No.1’ during Storage. Molecules. 2022; 27(19):6319. https://doi.org/10.3390/molecules27196319
Chicago/Turabian StyleLi, Wen, Zekang Pei, Juane Shang, Hongjuan Yang, Xiaohua Kui, Zhifang Zeng, Cuilan Ma, and Dongliang Qiu. 2022. "Changes in Fruit Quality Phytochemicals of Late-Mature Peach ‘Yonglian No.1’ during Storage" Molecules 27, no. 19: 6319. https://doi.org/10.3390/molecules27196319
APA StyleLi, W., Pei, Z., Shang, J., Yang, H., Kui, X., Zeng, Z., Ma, C., & Qiu, D. (2022). Changes in Fruit Quality Phytochemicals of Late-Mature Peach ‘Yonglian No.1’ during Storage. Molecules, 27(19), 6319. https://doi.org/10.3390/molecules27196319
