Effect of D-Limonene Nanoemulsion Edible Film on Banana (Musa sapientum Linn.) Post-Harvest Preservation
Abstract
:1. Introduction
2. Results and Discussion
2.1. Microscopic Morphology of the D-Limonene Nanoemulsion
2.2. Antibacterial Activity Results of the D-Limonene Nanoemulsion and D-Limonene Solution
2.2.1. Antibacterial Activity of the D-Limonene Solution against Food-Borne Pathogens
2.2.2. Effect of D-Limonene on the Antibacterial Activity of Food-Borne Pathogens after the Nanoemulsion Was Prepared
2.2.3. Minimal Inhibitory Concentration (MIC) and Minimal Bactericidal Concentration (MBC) of D-Limonene Solution and D-Limonene Nanoemulsion against Food-Borne Pathogens
2.3. Results of Quality Change of Bananas Treated with D-Limonene Nanoemulsion Coating
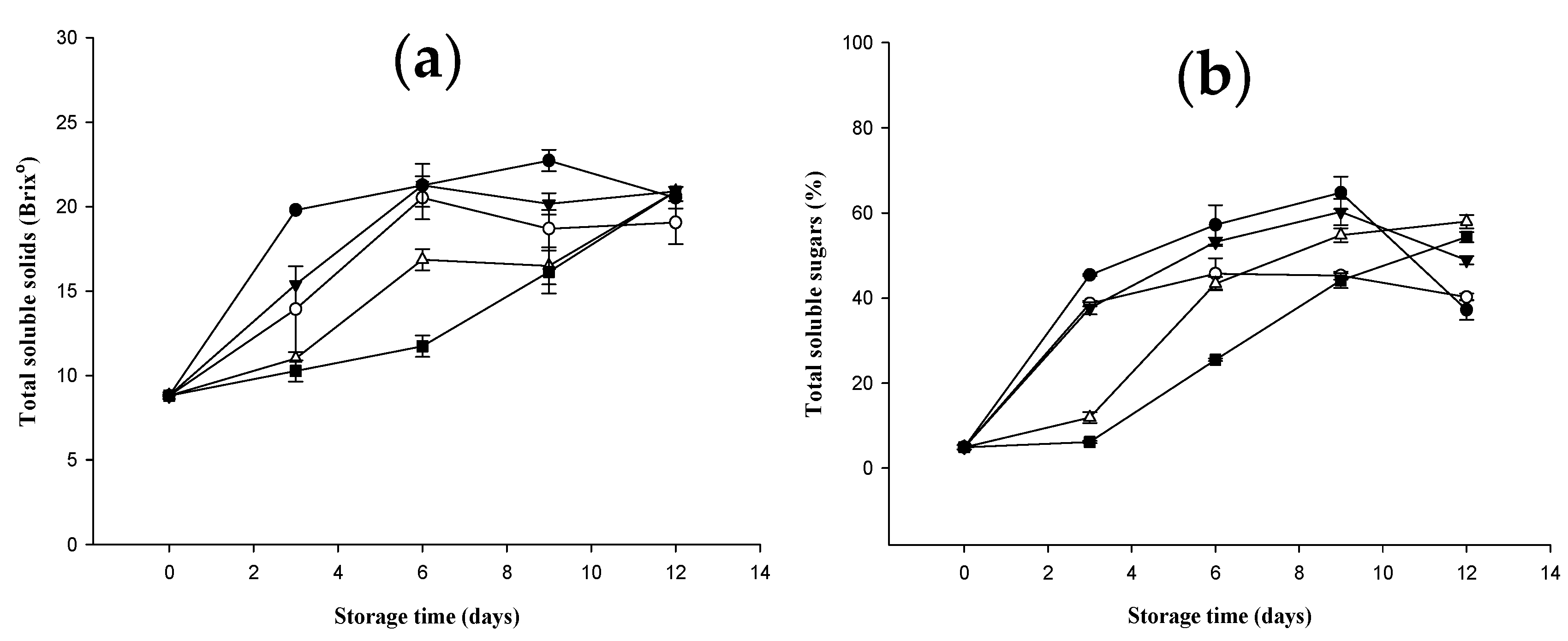
2.4. Changes in Total Soluble Solids and Total Soluble Sugars of Bananas Treated with D-Limonene Nanoemulsion Coating
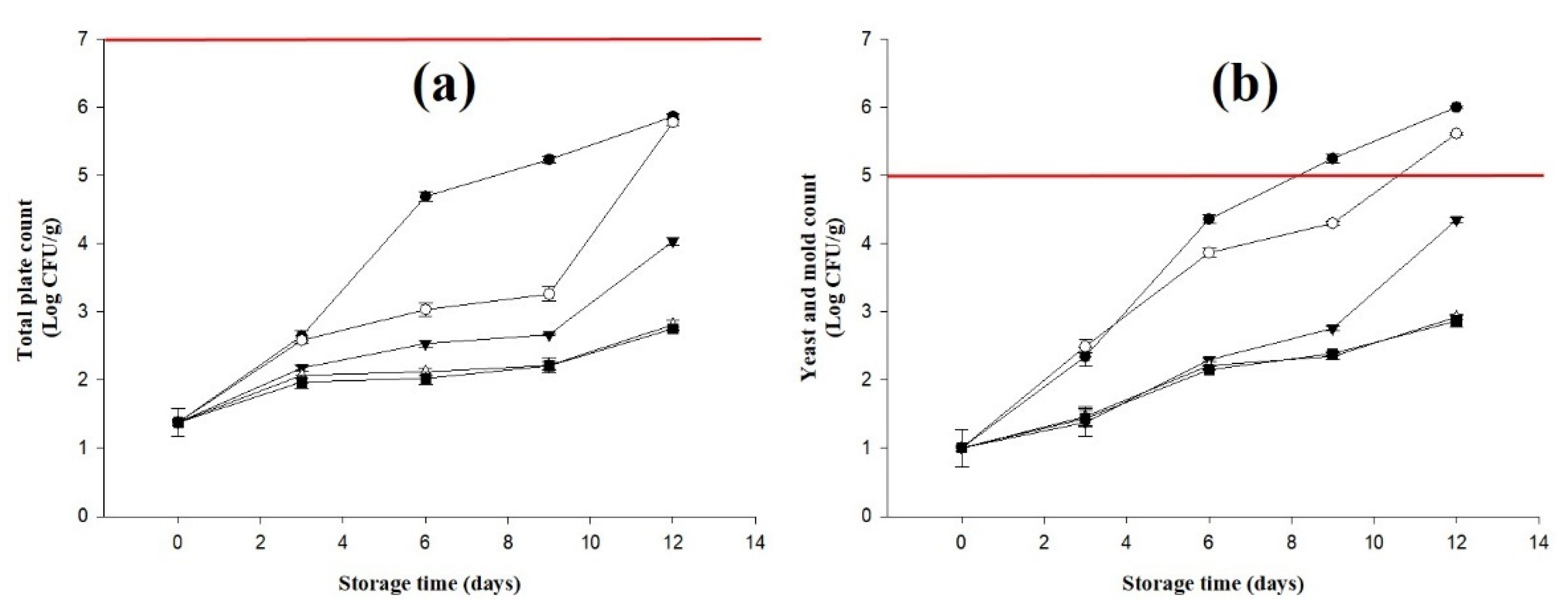
2.5. Results of Microbial Changes in Bananas Treated with D-Limonene Nanoemulsion Coating
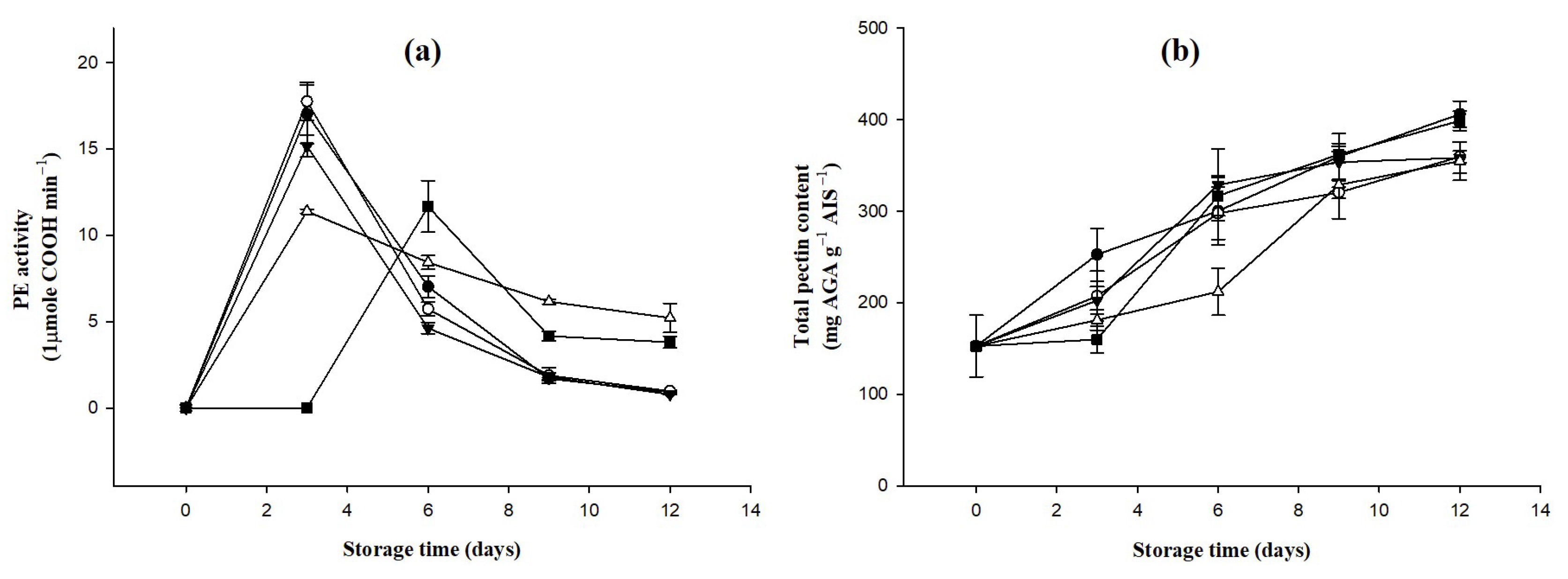
2.6. Changes in Pectinase Activity and the Total Pectin Content of Bananas Treated with D-Limonene Nanoemulsion Coating
2.7. Changes in the Color Characteristics of Bananas Treated with D-Limonene Nanoemulsion Coating
2.8. Changes in the Appearance of Bananas Treated with D-Limonene Nanoemulsion Coating
2.9. Microscopic Morphologies of D-Limonene Nanoemulsion Coatings on Banana Surfaces with Different Concentrations
3. Materials and Methods
3.1. Materials
3.2. Methods
3.2.1. Preparation of D-Limonene Nanoemulsion Coating
3.2.2. Transmission Electron Microscopic (TEM) Analysis of D-Limonene Nanoemulsion
3.2.3. Antibacterial Activity of D-Limonene Nanoemulsion and D-Limonene Solution
Strain Activation
Antibacterial Test (Broth Dilution Method)
3.2.4. D-Limonene Nanoemulsion Coating Used for Banana Fruit Preservation
3.2.5. Physical and Chemical Analysis
Weight Loss
Firmness
pH
Total Soluble Solids (TSS)
Titratable Acidity (TA)
Total Soluble Sugars
3.2.6. Microbiological Analysis
3.2.7. Pectin Analysis
Total Pectin Content Determination
Pectin Esterase (PE) Activity Determination
3.2.8. Color Characteristics Analysis
3.2.9. Appearance
3.2.10. Scanning Electron Microscopy (SEM) Analysis of D-Limonene Nanoemulsion Coating on Banana Surface
3.3. Statistical Analysis
4. Conclusions
Author Contributions
Funding
Institutional Review Board Statement
Informed Consent Statement
Data Availability Statement
Conflicts of Interest
References
- Sun, J. D-Limonene: Safety and Clinical Applications. Altern. Med. Rev. 2007, 12, 259. [Google Scholar] [PubMed]
- Nazaroff, W.W.; Weschler, C.J. Cleaning products and air fresheners: Exposure to primary and secondary air pollutants. Atmos. Environ. 2004, 38, 2841–2865. [Google Scholar] [CrossRef]
- Chemat, S.; Tomao, V.; Chemat, F. Limonene as Green Solvent for Extraction of Natural Products. In Green Solvents I: Properties and Applications in Chemistry; Springer: Berlin/Heidelberg, Germany, 2012; ISBN 9789400717121. [Google Scholar]
- Singh, B.; Singh, J.P.; Kaur, A.; Singh, N. Bioactive Compounds in Banana and Their Associated Health Benefits—A Review. Food Chem. 2016, 206, 1–11. [Google Scholar] [CrossRef] [PubMed]
- Seymour, G.B. Postharvest Technology of Horticultural Crops. Postharvest Biol. Technol. 1993, 2, 359. [Google Scholar] [CrossRef]
- Zhang, H.; Yang, S.; Joyce, D.C.; Jiang, Y.; Qu, H.; Duan, X. Physiology and quality response of harvested banana fruit to cold shock. Postharvest Biol. Technol. 2010, 55, 154–159. [Google Scholar] [CrossRef]
- Maqbool, M.; Ali, A.; Alderson, P.G.; Zahid, N.; Siddiqui, Y. Effect of a Novel Edible Composite Coating Based on Gum Arabic and Chitosan on Biochemical and Physiological Responses of Banana Fruits during Cold Storage. J. Agric. Food Chem. 2011, 59, 5474–5482. [Google Scholar] [CrossRef]
- Palomer, X.; Roig-Villanova, I.; Grima-Calvo, D.; Vendrell, M. Effects of nitrous oxide (N2O) treatment on the postharvest ripening of banana fruit. Postharvest Biol. Technol. 2005, 36, 167–175. [Google Scholar] [CrossRef]
- Jiang, Y.; Joyce, D.C.; Jiang, W.; Lu, W. Effects of Chilling Temperatures on Ethylene Binding by Banana Fruit. Plant Growth Regul. 2004, 43, 109–115. [Google Scholar] [CrossRef]
- Burg, S.P. Postharvest Physiology and Hypobaric Storage of Fresh Produce; CABI: Wallingford, UK, 2004. [Google Scholar]
- Li, P.-H.; Chiang, B.-H. Process optimization and stability of d-limonene-in-water nanoemulsions prepared by ultrasonic emulsification using response surface methodology. Ultrason. Sonochem. 2012, 19, 192–197. [Google Scholar] [CrossRef]
- Nguyen, H.; Campi, E.M.; Jackson, W.R.; Patti, A.F. Effect of oxidative deterioration on flavour and aroma components of lemon oil. Food Chem. 2009, 112, 388–393. [Google Scholar] [CrossRef]
- Soottitantawat, A.; Yoshii, H.; Furuta, T.; Ohkawara, M.; Linko, P. Microencapsulation by Spray Drying: Influence of Emulsion Size on the Retention of Volatile Compounds. J. Food Sci. 2003, 68, 2256–2262. [Google Scholar] [CrossRef]
- Weiss, J.; Gaysinsky, S.; Davidson, M.; McClements, J. Nanostructured Encapsulation Systems: Food Antimicrobials. In Global Issues in Food Science and Technology; Academic Press: Cambridge, MA, USA, 2009; ISBN 9780123741240. [Google Scholar]
- Solans, C.; Izquierdo, P.; Nolla, J.; Azemar, N.; Garcia-Celma, M.J. Nano-Emulsions. Curr. Opin. Colloid Interface Sci. 2005, 10, 102–110. [Google Scholar] [CrossRef]
- McClements, D.J. Edible Nanoemulsions: Fabrication, Properties and Functional Performance. Soft Matter 2011, 7, 2297–2316. [Google Scholar] [CrossRef]
- McClements, D.J.; Rao, J. Food-Grade Nanoemulsions: Formulation, Fabrication, Properties, Performance, Biological Fate and Potential Toxicity. Crit. Rev. Food Sci. Nutr. 2011, 51, 285–330. [Google Scholar] [CrossRef] [PubMed]
- Bhargava, K.; Conti, D.S.; da Rocha, S.R.; Zhang, Y. Application of an oregano oil nanoemulsion to the control of foodborne bacteria on fresh lettuce. Food Microbiol. 2015, 47, 69–73. [Google Scholar] [CrossRef] [PubMed]
- Donsì, F.; Cuomo, A.; Marchese, E.; Ferrari, G. Infusion of essential oils for food stabilization: Unraveling the role of nanoemulsion-based delivery systems on mass transfer and antimicrobial activity. Innov. Food Sci. Emerg. Technol. 2014, 22, 212–220. [Google Scholar] [CrossRef]
- Kim, S.O.; Ha, T.V.A.; Choi, Y.J.; Ko, S. Optimization of Homogenization-Evaporation Process for Lycopene Nanoemulsion Production and Its Beverage Applications. J. Food Sci. 2014, 79, N1604–N1610. [Google Scholar] [CrossRef]
- Hjerpe, L.S. U.S. Patent and Trademark Office. Leg. Ref. Serv. Q. 2003, 22, 53–65. [Google Scholar] [CrossRef]
- Sperandeo, P.; Martorana, A.M.; Polissi, A. Lipopolysaccharide Biogenesis and Transport at the Outer Membrane of Gram-Negative Bacteria. Biochim. Biophys. Acta Mol. Cell Biol. Lipids 2017, 1862, 1451–1460. [Google Scholar] [CrossRef]
- Zhang, Z.; Vriesekoop, F.; Yuan, Q.; Liang, H. Effects of nisin on the antimicrobial activity of d-limonene and its nanoemulsion. Food Chem. 2014, 150, 307–312. [Google Scholar] [CrossRef]
- Zahi, M.R.; Liang, H.; Yuan, Q. Improving the antimicrobial activity of d-limonene using a novel organogel-based nanoemulsion. Food Control 2015, 50, 554–559. [Google Scholar] [CrossRef]
- Shao, X.; Wang, H.; Xu, F.; Cheng, S. Effects and possible mechanisms of tea tree oil vapor treatment on the main disease in postharvest strawberry fruit. Postharvest Biol. Technol. 2013, 77, 94–101. [Google Scholar] [CrossRef]
- Silva, G.M.C.; Silva, W.B.; Medeiros, D.B.; Salvador, A.R.; Cordeiro, M.H.M.; da Silva, N.M.; Santana, D.B.; Mizobutsi, G.P. The chitosan affects severely the carbon metabolism in mango (Mangifera indica L. cv. Palmer) fruit during storage. Food Chem. 2017, 237, 372–378. [Google Scholar] [CrossRef] [PubMed]
- Deng, Z.; Jung, J.; Simonsen, J.; Zhao, Y. Cellulose nanomaterials emulsion coatings for controlling physiological activity, modifying surface morphology, and enhancing storability of postharvest bananas (Musa acuminate). Food Chem. 2017, 232, 359–368. [Google Scholar] [CrossRef]
- Nielsen, S.S. Food Analysis, 4th ed.; Springer: Berlin/Heidelberg, Germany, 2014; ISBN 1441914773. [Google Scholar]
- Turner, D.W.; Fortescue, J.A. Bananas (Musa spp.). In Crop Post-Harvest: Science and Technology: Perishables; Wiley-Blackwell: Hoboken, NJ, USA, 2012; ISBN 9780632057252. [Google Scholar]
- Bico, S.; Raposo, M.; Morais, R.; Morais, A. Combined effects of chemical dip and/or carrageenan coating and/or controlled atmosphere on quality of fresh-cut banana. Food Control 2009, 20, 508–514. [Google Scholar] [CrossRef]
- Dave, R.K.; Rao, T.V.R.; Nandane, A.S. Improvement of post-harvest quality of pear fruit with optimized composite edible coating formulations. J. Food Sci. Technol. 2017, 54, 3917–3927. [Google Scholar] [CrossRef]
- Al-Qurashi, A.D.; Awad, M.A.; Mohamed, S.A.; Elsayed, M.I. Postharvest chitosan, trans -resveratrol and glycine betaine dipping affect quality, antioxidant compounds, free radical scavenging capacity and enzymes activities of ‘Sukkari’ bananas during shelf life. Sci. Hortic. 2017, 219, 173–181. [Google Scholar] [CrossRef]
- Prabha, T.; Bhagyalakshmi, N. Carbohydrate metabolism in ripening banana fruit. Phytochemistry 1998, 48, 915–919. [Google Scholar] [CrossRef]
- Wiley, R.C. Preservation Methods for Minimally Processed Refrigerated Fruits and Vegetables. In Minimally Processed Refrigerated Fruits and Vegetables; Food Engineering Series; Yildiz, F., Wiley, R., Eds.; Springer: Boston, MA, USA, 2017. [Google Scholar]
- JJacxsens, L.; Devlieghere, F.; Debevere, J. Predictive modelling for packaging design: Equilibrium modified atmosphere packages of fresh-cut vegetables subjected to a simulated distribution chain. Int. J. Food Microbiol. 2002, 73, 331–341. [Google Scholar] [CrossRef]
- Payasi, A.; Sanwal, G. Pectate lyase activity during ripening of banana fruit. Phytochemistry 2003, 63, 243–248. [Google Scholar] [CrossRef]
- Brummell, D.A. Cell Wall Disassembly in Ripening Fruit. Funct. Plant Biol. 2006, 33, 103–119. [Google Scholar] [CrossRef] [PubMed]
- Fischer, R.L.; Bennett, A.B. Role of Cell Wall Hydrolases in Fruit Ripening. Annu. Rev. Plant Physiol. Plant Mol. Biol. 1991, 42, 675–703. [Google Scholar] [CrossRef]
- Kojima, K.; Sakurai, N.; Kuraishi, S. Fruit softening in banana: Correlation among stress-relaxation parameters, cell wall components and starch during ripening. Physiol. Plant. 1994, 90, 772–778. [Google Scholar] [CrossRef]
- Oliu, G.O.; Martín-Belloso, O.; Soliva-Fortuny, R. Pulsed Light Treatments for Food Preservation. A Review. Food Bioprocess Technol. 2010, 3, 13–23. [Google Scholar] [CrossRef]
- Li, Y.; Zhang, Z.; Yuan, Q.; Liang, H.; Vriesekoop, F. Process optimization and stability of d-limonene nanoemulsions prepared by catastrophic phase inversion method. J. Food Eng. 2013, 119, 419–424. [Google Scholar] [CrossRef]
- Hou, C.-Y.; Lin, Y.-S.; Wang, Y.T.; Jiang, C.-M.; Wu, M.-C. Effect of storage conditions on methanol content of fruit and vegetable juices. J. Food Compos. Anal. 2008, 21, 410–415. [Google Scholar] [CrossRef]
- Lee, M.; Macmillan, J.D. Mode of action of pectic enzymes. I. Purification and certain properties of tomato pectinesterase. Biochemistry 1968, 7, 4005–4010. [Google Scholar] [CrossRef]

) control, (
) 0%, (
) 0.5%, (
) 1.0%, and (
) 1.5%.
) control, (
) 0%, (
) 0.5%, (
) 1.0%, and (
) 1.5%.
) control, (
) 0%, (
) 0.5%, (
) 1.0%, and (
) 1.5%.
) control, (
) 0%, (
) 0.5%, (
) 1.0%, and (
) 1.5%.
) control, (
) 0%, (
) 0.5%, (
) 1.0%, and (
) 1.5%. Red line indicates the critical limit for human consumption.
) control, (
) 0%, (
) 0.5%, (
) 1.0%, and (
) 1.5%. Red line indicates the critical limit for human consumption.
) control, (
) 0%, (
) 0.5%, (
) 1.0%, and (
) 1.5%.
) control, (
) 0%, (
) 0.5%, (
) 1.0%, and (
) 1.5%.

| Bacterial | The Real Concentration of D-Limonene Adding in the Medium (%) | ||||||
|---|---|---|---|---|---|---|---|
| Control | 0.04 | 0.08 | 0.1 | 0.2 | 0.4 | 0.8 | |
| Log (CFU/mL) | |||||||
| Staphylococcus aureus | 10.03 ± 0.01 a | 9.82 ± 0.04 b | 9.33 ± 0.03 c | 3.54 ± 0.01 d | ND | ND | ND |
| Listeria monocytogenes | 9.73 ± 0.04 a | 9.58 ± 0.01 b | 8.24 ± 0.02 c | 7.82 ± 0.00 d | 4.48 ± 0.06 e | ND | ND |
| Salmonella enterica | 10.14 ± 0.02 a | 10.00 ± 0.02 b | 9.88 ± 0.02 c | 9.24 ± 0.01 d | 8.21 ± 0.03 e | 7.33 ± 0.03 f | ND |
| Escherichia coli | 10.18 ± 0.18 a | 9.40 ± 0.08 b | 8.44 ± 0.08 c | 8.14 ± 0.08 d | 7.86 ± 0.03 e | 7.64 ± 0.05 e | ND |
| Bacterial | The Real Concentration of D-Limonene Adding in the Medium (%) | ||||||
|---|---|---|---|---|---|---|---|
| Control | 0.04 | 0.08 | 0.1 | 0.2 | 0.4 | 0.8 | |
| Log (CFU/mL) | |||||||
| Staphylococcus aureus | 9.22 ± 0.04 a | 9.08 ± 0.07 b | 4.96 ± 0.11 c | 3.59 ± 0.12 d | ND | ND | ND |
| Listeria monocytogenes | 9.37 ± 0.10 a | 9.32 ± 0.03 b | 3.12 ± 0.08 c | 2.39 ± 0.02 d | ND | ND | ND |
| Salmonella enterica | 9.45± 0.05 a | 9.23 ± 0.16 b | ND | ND | ND | ND | ND |
| Escherichia coli | 10.49 ± 0.06 a | 10.24 ± 0.09 b | 7.46 ± 0.16 c | ND | ND | ND | ND |
| MIC/MBC (mg/mL) | ||||
|---|---|---|---|---|
| Bacterial | D-Limonene Solution | D-Limonene Nanoemulsion | ||
| MIC | MBC | MIC | MBC | |
| Staphylococcus aureus | 0.336 | 1.682 | 0.336 | 1.682 |
| Listeria monocytogenes | 0.336 | 3.364 | 0.336 | 1.682 |
| Salmonella enterica | 0.336 | 6.728 | 0.336 | 0.673 |
| Escherichia coli | 0.336 | 6.728 | 0.336 | 0.841 |
| Treatment | Storage Time (Days) | ||||
|---|---|---|---|---|---|
| Day 0 | Day 3 | Day 6 | Day 9 | Day 12 | |
| L* | 58.25 ± 0.83 | ||||
| Control | 67.12 ± 0.61 a | 67.33 ± 0.07 a | 59.81 ± 1.62 b | 49.55 ± 1.17 c | |
| 0% | 56.43 ± 1.64 d | 59.84 ± 2.99 b | 59.91 ± 0.20 b | 52.44 ± 1.16 b | |
| 0.5% | 63.84 ± 1.95 b | 66.02 ± 0.48 a | 59.32 ± 0.63 b | 51.82 ± 0.71 b | |
| 1.0% | 60.93 ± 0.66 c | 62.32 ± 0.96 b | 62.03 ± 0.82 a | 54.32 ± 0.78 a | |
| 1.5% | 53.95 ± 0.52 e | 52.74 ± 0.32 c | 51.13 ± 1.30 c | 42.80 ± 0.28 d | |
| a* | 5.30 ± 0.00 | ||||
| Control | 5.22 ± 0.81 a | 6.50 ± 0.88 a | 7.89 ± 0.11 a | 6.50 ± 0.88 a | |
| 0% | −3.27 ± 1.65 d | −1.00 ± 0.47 c | 1.44 ± 0.67 b | −1.00 ± 0.47 c | |
| 0.5% | 3.47 ± 0.64 a | 7.35 ± 0.54 a | 8.38 ± 0.80 a | 7.34 ± 0.54 a | |
| 1.0% | −6.86 ± 0.35 c | 1.46 ± 1.10 b | 7.88 ± 0.33 a | 1.46 ± 1.10 b | |
| 1.5% | −7.56 ± 1.53 c | −3.38 ± 1.23 d | −2.71 ± 0.50 c | −3.38 ± 1.23 d | |
| b* | 45.74 ± 1.35 | ||||
| Control | 46.73 ± 3.72 ab | 48.29 ± 1.41 c | 45.15 ± 2.35 bc | 38.30 ±0.12 b | |
| 0% | 47.24 ± 0.18 ab | 53.04 ± 0.69 a | 55.45 ± 0.39 a | 46.59 ± 0.97 a | |
| 0.5% | 49.43 ± 1.07 a | 49.98 ± 0.43 b | 46.18 ± 1.81 b | 37.68 ± 1.54 b | |
| 1.0% | 42.66 ± 1.30 c | 47.00 ± 1.00 c | 43.07 ± 1.66 bc | 42.99 ± 2.45 a | |
| 1.5% | 44.47 ± 2.24 c | 38.42 ± 0.66 c | 41.37 ± 3.42 c | 26.18 ± 4.55 c | |
| Control | 0% | 0.5% | 1.0% | 1.5% | |
|---|---|---|---|---|---|
| Day 0 | ![]() | ![]() | ![]() | ![]() | ![]() |
| Day 3 | ![]() | ![]() | ![]() | ![]() | ![]() |
| Day 6 | ![]() | ![]() | ![]() | ![]() | ![]() |
| Day 9 | ![]() | ![]() | ![]() | ![]() | ![]() |
| Day 12 | ![]() | ![]() | ![]() | ![]() | ![]() |
Publisher’s Note: MDPI stays neutral with regard to jurisdictional claims in published maps and institutional affiliations. |
© 2022 by the authors. Licensee MDPI, Basel, Switzerland. This article is an open access article distributed under the terms and conditions of the Creative Commons Attribution (CC BY) license (https://creativecommons.org/licenses/by/4.0/).
Share and Cite
Hou, C.-Y.; Hazeena, S.H.; Hsieh, S.-L.; Li, B.-H.; Chen, M.-H.; Wang, P.-Y.; Zheng, B.-Q.; Liang, Y.-S. Effect of D-Limonene Nanoemulsion Edible Film on Banana (Musa sapientum Linn.) Post-Harvest Preservation. Molecules 2022, 27, 6157. https://doi.org/10.3390/molecules27196157
Hou C-Y, Hazeena SH, Hsieh S-L, Li B-H, Chen M-H, Wang P-Y, Zheng B-Q, Liang Y-S. Effect of D-Limonene Nanoemulsion Edible Film on Banana (Musa sapientum Linn.) Post-Harvest Preservation. Molecules. 2022; 27(19):6157. https://doi.org/10.3390/molecules27196157
Chicago/Turabian StyleHou, Chih-Yao, Sulfath Hakkim Hazeena, Shu-Ling Hsieh, Bao-Hong Li, Min-Hung Chen, Ping-Yu Wang, Bao-Qing Zheng, and Yu-Shen Liang. 2022. "Effect of D-Limonene Nanoemulsion Edible Film on Banana (Musa sapientum Linn.) Post-Harvest Preservation" Molecules 27, no. 19: 6157. https://doi.org/10.3390/molecules27196157
APA StyleHou, C.-Y., Hazeena, S. H., Hsieh, S.-L., Li, B.-H., Chen, M.-H., Wang, P.-Y., Zheng, B.-Q., & Liang, Y.-S. (2022). Effect of D-Limonene Nanoemulsion Edible Film on Banana (Musa sapientum Linn.) Post-Harvest Preservation. Molecules, 27(19), 6157. https://doi.org/10.3390/molecules27196157


























