Identification of Protosappanoside D from Caesalpinia decapetala and Evaluation of Its Pharmacokinetic, Metabolism and Pharmacological Activity
Abstract
1. Introduction
2. Results
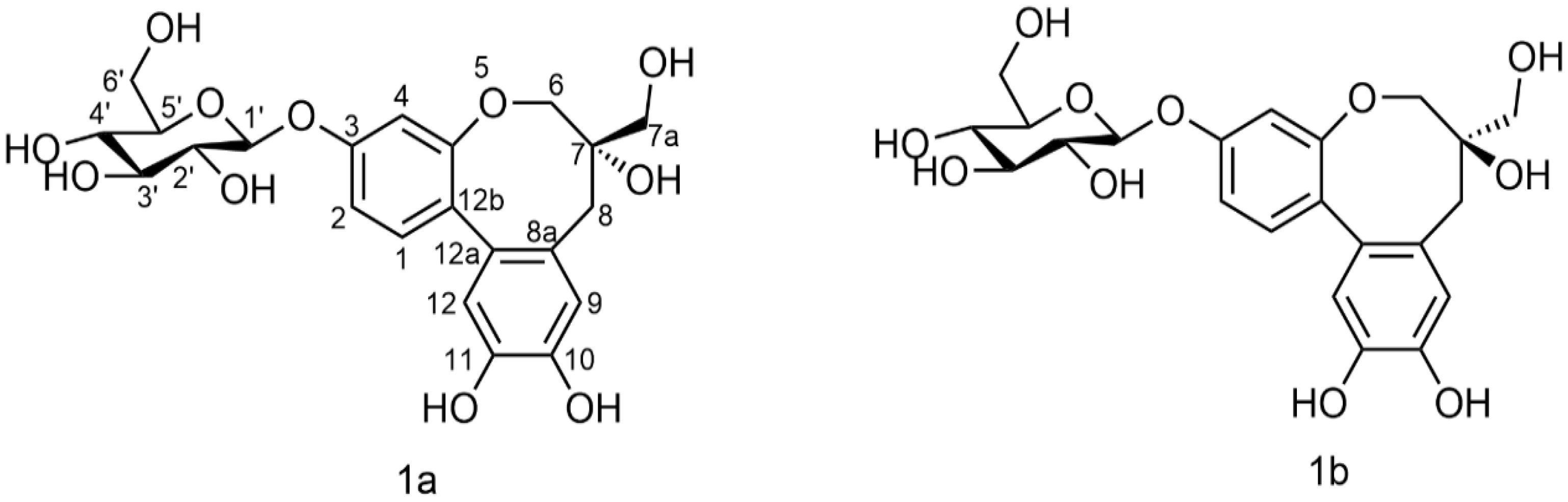
2.1. Structural Qualification of PTD
2.2. In Vitro Pharmacodynamic Experiment
2.2.1. Effects of Tested Drugs on RAW264.7 Cells Viability
2.2.2. Effects of PTD and PTB on the Secretion of IL-6, TNF-α, IL-1β, and NO by RAW264.7 Cells
2.3. Metabolites Identification
2.3.1. Mass Spectrometric Analysis of PTD
2.3.2. Metabolites Identification
2.4. Pharmacokinetic Study
2.4.1. UPLC-MS/MS Method Validation
Specificity
Linearity and Lower Limit of Quantification
Precision and Accuracy
Extraction Recovery and Matrix Effect
Stability
2.4.2. Pharmacokinetic Study
3. Discussion
4. Materials and Methods
4.1. Drug and Reagents
4.2. Extraction and Separation of PTD
4.3. Pharmacodynamic Experiment
4.3.1. Cell Culture and Viability Assessment
4.3.2. Measurement of Cytokines and Nitrite Levels
4.4. Animal Studies
4.5. UHPLC/Q Exactive plus MS Conditions
4.6. UPLC-MS/MS Conditions
4.7. Sample Pretreatment
4.7.1. Metabolite Research
4.7.2. Pharmacokinetic Study
4.7.3. Preparation of Standards and Quality Control (QC) Samples
4.8. Method Validation
4.8.1. Specificity
4.8.2. Linearity and LLOQ
4.8.3. Precision and Accuracy
4.8.4. Extraction Recovery and Matrix Effect
4.8.5. Stability
4.9. Data Analysis
5. Conclusions
Supplementary Materials
Author Contributions
Funding
Institutional Review Board Statement
Informed Consent Statement
Data Availability Statement
Acknowledgments
Conflicts of Interest
Sample Availability Statement
References
- Board, C.M.M.E. Chinese Materia Medica Miao Medicine Volume; Guizhou Science and Technology Press: Guiyang, China, 2005. [Google Scholar]
- Parveen, A.; Akash, M.; Rehman, K.; Mahmood, Q.; Qadir, M. Analgesic, anti-inflammatory and anti-pyretic activities of Caesalpinia decapetala. Bioimpacts 2014, 4, 43–48. [Google Scholar] [PubMed]
- Zhang, L.; Chen, J.; Ke, C.; Zhang, H.; Zhang, S.; Tang, W.; Liu, C.; Liu, G.; Chen, S.; Hu, A.; et al. Caesalpinia decapetala Ethanol Extract of Inhibits Influenza Virus Infection In Vitro and In Vivo. Viruses 2020, 12, 557. [Google Scholar] [CrossRef] [PubMed]
- Nakanishi, T.; Mukai, K.; Yumoto, H.; Hirao, K.; Hosokawa, Y.; Matsuo, T. Anti-inflammatory effect of catechin on cultured human dental pulp cells affected by bacteria-derived factors. Eur. J. Oral Sci. 2010, 118, 145–150. [Google Scholar] [CrossRef]
- Wei, X.-H.; Yang, S.-J.; Liang, N.; Hu, D.-Y.; Jin, L.-H.; Xue, W.; Yang, S. Chemical constituents of Caesalpinia decapetala (Roth) Alston. Molecules 2013, 18, 1325–1336. [Google Scholar] [CrossRef] [PubMed]
- Jiang, Z.; Jin, H.; Sun, S.; Chen, C.; Zhang, J.; Guo, Z.; Liu, X. Effects of gallic acid biofabricated rGO nanosheets combined with radiofrequency radiation for the treatment of renal cell carcinoma. Mater. Sci. Eng. C Mater. Biol. Appl. 2018, 93, 846–852. [Google Scholar] [CrossRef] [PubMed]
- Wang, X.; Zhao, H.; Ma, C.; Lv, L.; Feng, J.; Han, S. Gallic acid attenuates allergic airway inflammation via suppressed interleukin-33 and group 2 innate lymphoid cells in ovalbumin-induced asthma in mice. Int. Forum. Allergy Rhinol. 2018, 8, 1284–1290. [Google Scholar] [CrossRef]
- Jung, E.G.; Han, K.L.; Gu, S. Brazilin isolated from Caesalpinia sappan L. inhibits rheumatoid arthritis activity in a type-II collagen induced arthritis mouse model. BMC Complement Altern. Med. 2015, 15, 124. [Google Scholar] [CrossRef]
- Jung, E.G.; Han, K.I.; Kwon, H.J.; Patnaik, B.B.; Kim, W.J.; Gang, M.H. Anti-inflammatory activity of sappanchalcone isolated from Caesalpinia sappan L. in a collagen-induced arthritis mouse model. Arch. Pharmacal Res. 2015, 38, 973–983. [Google Scholar] [CrossRef]
- Lee, J.K.; Kim, S.Y.; Kim, Y.S.; Lee, W.H.; Hwang, D.H.; Lee, J.Y. Suppression of the TRIF-dependent signaling pathway of Toll-like receptors by luteolin. Biochem. Pharmacol. 2009, 77, 1391–1400. [Google Scholar] [CrossRef]
- Cummins, C.B.; Wang, X.; Nunez Lopez, O.; Graham, G.; Tie, H.Y.; Zhou, J.; Radhakrishnan, R.S. Luteolin-Mediated Inhibition of Hepatic Stellate Cell Activation via Suppression of the STAT3 Pathway. Int. J. Mol. Sci. 2018, 19, 1567. [Google Scholar] [CrossRef]
- Stepan, A.; Walker, D.; Bauman, J.; Price, D.; Baillie, T.; Kalgutkar, A.; Aleo, M. Structural alert/reactive metabolite concept as applied in medicinal chemistry to mitigate the risk of idiosyncratic drug toxicity: A perspective based on the critical examination of trends in the top 200 drugs marketed in the United States. Chem. Res. Toxicol. 2011, 24, 1345–1410. [Google Scholar] [CrossRef]
- Morimoto, S.; Shoyama, H. Purification and characterization of flavone-specific β-glucuronidase from callus cultures of Scutellaria baicalensis georgi. Planta 1995, 195, 535–540. [Google Scholar] [CrossRef]
- Li, K.; Sheu, S. Determination of flavonoids and alkaloids in the scute-coptis herb couple by capillary electrophoresis. Anal. Chim. Acta. 1995, 313, 113–120. [Google Scholar] [CrossRef]
- Akao, T.; Kawabata, K.; Yanagisawa, E.; Ishihara, K.; Mizuhara, Y.; Wakui, Y.; Sakashita, Y.; Kobashi, K. Baicalin, the predominant flavone glucuronide of scutellariae radix, is absorbed from the rat gastrointestinal tract as the aglycone and restored to its original form. J. Pharm. Pharmacol. 2000, 52, 1563–1568. [Google Scholar] [CrossRef] [PubMed]
- Xing, J.; Chen, X.; Sun, Y.; Luan, Y.; Zhong, D. Interaction of baicalin and baicalein with antibiotics in the gastrointestinal tract. J. Pharm. Pharmacol. 2005, 57, 743–750. [Google Scholar] [CrossRef] [PubMed]
- Yang, X.; Ren, L.; Zhang, S.; Zhao, L.; Wang, J. Antitumor Effects of Purified Protosappanin B Extracted From Lignum Sappan. Integr. Cancer Ther. 2016, 15, 87–95. [Google Scholar] [CrossRef]
- Sasaki, Y.; Hosokawa, T.; Nagai, M.; Nagumo, S. In vitro study for inhibition of NO production about constituents of Sappan Lignum. Biol. Pharm. Bull. 2007, 3, 193–196. [Google Scholar] [CrossRef]
- Xiong, K.; Gao, T.; Zhang, T.; Wang, Z.; Han, H. Simultaneous determination of gentiopicroside and its two active metabolites in rat plasma by LC-MS/MS and its application in pharmacokinetic studies. J. Chromatogr. B Analyt. Technol. Biomed. Life Sci. 2017, 1, 1065–1066. [Google Scholar] [CrossRef]
- Koh, H.; Yau, W.; Ong, P.; Hegde, A. Current trends in modern pharmaceutical analysis for drug discovery. Drug Discov. Today 2003, 8, 889–897. [Google Scholar] [CrossRef]
- Liu, D.; Xia, Y.; Bakhtiar, R. Use of a liquid chromatography/ion trap mass spectrometry/triple quadrupole mass spectrometry system for metabolite identification. Rapid Commun. Mass Spectrom. 2002, 16, 1330–1336. [Google Scholar] [CrossRef]
- Lei, Y.; Jiang, L.; Liu, J.; Lu, Y.; Ma, X.; Zheng, L.; Li, Y. New dibenzoxocin derivatives from Caesalpinia decapetala. Zhongguo Zhong Yao Za Zhi 2021, 46, 5310–5313. [Google Scholar] [PubMed]
- Chen, W.; Liang, G.; Zheng, Z.; Wu, Y.; Xu, F.; Liu, B.; Guo, D. UPLC-ESI-Q-TOF/MS Based Metabolic Profiling of Protosappanin B in Rat Plasma, Bile, Feces, Urine and Intestinal Bacteria Samples. Curr. Drug Metab. 2021, 22, 491–499. [Google Scholar] [PubMed]
- Mueller, M.; Weinmann, D.; Toegel, S.; Holzer, W.; Unger, F.; Viernstein, T. Compounds from Caesalpinia sappan with anti-inflammatory properties in macrophages and chondrocytes. Food Funct. 2016, 7, 1671–1679. [Google Scholar] [CrossRef]
- Tang, J.; Diao, P.; Shu, X.; Li, L.; Xiong, L. Quercetin and quercitrin attenuates the inflammatory response and oxidative stress in lps-induced raw264.7 cells: In vitro assessment and a theoretical model. BioMed Res. Int. 2019, 2019, 7039802. [Google Scholar] [CrossRef] [PubMed]
- Basauri, A.; González-Fernández, C.; Fallanza, M.; Bringas, E.; Fernandez-Lopez, R.; Giner, L.; Moncalián, G.; De, L.; Ortiz, I. Biochemical interactions between LPS and LPS-binding molecules. Crit. Rev. Biotechnol. 2020, 40, 292–305. [Google Scholar] [CrossRef]
- Zhang, X.; Liu, S.; Pi, Z.; Liu, Z.; Song, F. Simultaneous quantification method for comparative pharmacokinetics studies of two major metabolites from geniposide and genipin by online mircrodialysis-UPLC-MS/MS. J. Chromatogr. B Analyt. Technol. Biomed. Life Sci. 2017, 15, 1041–1042. [Google Scholar] [CrossRef]
- Ju, Z.; Tang, X.; Liao, Q.; Guan, H.; Yang, L.; Wang, Z. Pharmacokinetic, bioavailability, and metabolism studies of lusianthridin, a dihydrophenanthrene compound, in rats by liquid chromatography/electrospray ionization tandem mass spectrometry. J. Pharm. Biomed. Anal. 2021, 195, 113836. [Google Scholar] [CrossRef]
- Sun, H.; Zheng, L.; Gong, Z.; Li, Y.; Yang, C.; Pan, J.; Wang, Y.; Wang, A.; Li, Y.; Huang, Y. A Validated HPLC-MS/MS Method for Simultaneous Determination of Militarine and Its Three Metabolites in Rat Plasma: Application to a Pharmacokinetic Study. Evid. Based Complement Altern. Med. 2019, 2019, 2371784. [Google Scholar] [CrossRef]
- Wu, C.; Zhang, H.; Wang, C.; Qin, H.; Zhu, M.; Zhang, J. An Integrated Approach for Studying Exposure, Metabolism, and Disposition of Multiple Component Herbal Medicines Using High-Resolution Mass Spectrometry and Multiple Data Processing Tools. Drug Metab. Dispos. 2016, 44, 800–808. [Google Scholar] [CrossRef]
- Zhao, D.; Liu, X.; Tian, Y.; Dong, H.; Feng, S.; Li, J. The pharmacokinetic study of Tanreqing and the interaction with cefixime in rat model of pneumonia by validated UPLC-MS/MS. J. Pharm. Biomed. Anal. 2022, 209, 114484. [Google Scholar] [CrossRef]
- Li, K.; Shen, S.; Deng, X.; Shiu, H.; Siu, W.; Leung, P.; Ko, C.; Cheng, B. Dihydrofisetin exerts its anti-inflammatory effects associated with suppressing ERK/p38 MAPK and Heme Oxygenase-1 activation in lipopolysaccharide-stimulated RAW 264.7 macrophages and carrageenan-induced mice paw edema. Int. Immunopharmacol. 2018, 54, 366–374. [Google Scholar] [CrossRef] [PubMed]
- He, C.; Li, J.; Xu, N.; Wang, R.; Li, Z.; Yang, L.; Wang, Z. Pharmacokinetics, bioavailability, and metabolism of Notoginsenoside Fc in rats by liquid chromatography/electrospray ionization tandem mass spectrometry. J. Pharm. Biomed. Anal. 2015, 109, 150–1577. [Google Scholar] [CrossRef] [PubMed]












| Pos. | δC | δH | HMBC(H→C) |
|---|---|---|---|
| 1 | 132.8/132.1 | 7.10, 7.10 (d, 8.5) | C-2, 3, 4a, 12a |
| 2 | 113.1/112.6 | 6.89, 6.84 (d, 8.5) | C-3, 4, 12b |
| 3 | 159.3/159.3 | ||
| 4 | 110.6/110.0 | 6.84, 6.78 (d, 2.5) | C-3, 4a, 12b |
| 4a | 160.4/159.5 | ||
| 6a | 76.9/76.8 | 3.92, 3.58 (d, 11.8, 12.3) | C-4a, 7, 8 |
| 6b | 76.9/76.8 | 4.42, 4.19 (m) | C-4a, 7, 8 |
| 7 | 73.2/72.9 | ||
| 7-CHa | 68.4/65.8 | 3.56, 3.41 (m) | C-6, 7, 8 |
| 7-CHb | 68.4/65.8 | 3.56, 3.49 (m) | C-6, 7, 8 |
| 8-CHa | 42.6/40.0 | 2.56, 2.52 (d, 13.6) | C-6, 7, 9, 8a, 12a |
| 8-CHb | 42.6/40.0 | 2.72, 2.67 (d, 13.6) | C-6, 7, 9, 8a, 12a |
| 8a | 128.3/127.9 | ||
| 9 | 120.1/119.1 | 6.75, 6.75 (m) | C-8, 8a, 11 |
| 10 | 145.1/145.1 | ||
| 11 | 145.2/145.2 | ||
| 12 13 | 117.9/117.6 | 6.74, 6.69 (s) | C-8a, 10, 12a, 12b |
| 12a | 132.1/131.6 | ||
| 12b | 127.6/127.0 | ||
| 1′ | 102.2/102.2 | 4.96, 4.94 (d, 8.1, 7.6) | C-3 |
| 2′ | 74.9/74.9 | ||
| 3′ | 78.1/78.1 | ||
| 4′ | 71.4/71.4 | ||
| 5′ | 78.0/78.0 | ||
| 6′ | 62.6/62.5 |
| Retention Time (min) | Formula | Calculated (m/z) | Measured (m/z) | Error (ppm) | Identification | |
|---|---|---|---|---|---|---|
| M0 | 4.32 | C22H26O11 | 465.1991 | 465.1399 | 2.1 | Parent |
| M1 | 4.55 | C16H16O6 | 303.0863 | 303.0874 | 3.1 | desugarization |
| M2 | 4.33 | C16H1505 | 288.0992 | 287.0906 | −3.4 | Dealkylation, Dehydration |
| M3 | 4.60 | C16H13O5 | 286.0836 | 285.0748 | −2.5 | Dealkylation, Dehydration, Desaturation |
| M4 | 4.49 | C23H27O12 | 496.1575 | 495.1484 | −2.6 | Desaturation, Oxidation, Methylation |
| Administration Mode | Analytes | Linear Regression Equation | R2 | Linear Range (ng/mL) | LLOQ (ng/mL) |
|---|---|---|---|---|---|
| oral | PTD | Y = 0.0033X − 0.0017 | 0.9992 | 1.002~250.50 | 1.002 |
| PTB | Y = 0.004X + 0.0131 | 0.9981 | 1.004~100.40 | 1.004 | |
| intravenous | PTD | Y = 0.0054X − 0.3194 | 0.9998 | 1.002~30,060 | 1.002 |
| PTB | Y = 0.0061X + 0.0233 | 0.9958 | 1.004~502 | 1.004 |
| Analytes | Spiked Concentration (ng/mL) | Intra-Day | Inter-Day | ||
|---|---|---|---|---|---|
| Precision RSD (%) | Accuracy (%) | Precision RSD (%) | Accuracy (%) | ||
| PTD | 5.01 | 6.69 | 95.41 | 7.48 | 109.38 |
| 250.5 | 12.82 | 89.73 | 8.94 | 87.26 | |
| 15,030 | 7.15 | 97.12 | 3.37 | 100.64 | |
| PTB | 2.51 | 2.78 | 86.06 | 4.02 | 108.76 |
| 20.08 | 2.33 | 100.25 | 6.88 | 94.12 | |
| 251 | 4.37 | 94.13 | 3.48 | 104.09 | |
| Analytes | Spiked Concentration (ng/mL) | Extraction Recovery | Matrix Effect | ||
|---|---|---|---|---|---|
| Mean ± SD (%) | RSD (%) | Mean ± SD (%) | RSD (%) | ||
| PTD | 5.01 | 92.69 ± 6.78 | 7.31 | 95.81 ± 12.10 | 12.62 |
| 250.5 | 103.25 ± 4.90 | 4.74 | 97.20 ± 9.05 | 9.31 | |
| 15,030 | 92.84 ± 11.53 | 12.42 | 88.83 ± 6.04 | 6.80 | |
| PTB | 2.51 | 91.03 ± 11.03 | 12.12 | 96.13 ± 6.11 | 6.35 |
| 20.08 | 87.65 ± 4.24 | 10.18 | 105.08 ± 8.33 | 4.84 | |
| 251 | 97.74 ± 9.16 | 9.37 | 102.43 ± 12.85 | 12.55 | |
| Analytes | Conditions | Nominal Concentration (ng/mL) | Measured Concentration (ng/mL) (Mean ± SD) | RSD (%) |
|---|---|---|---|---|
| PTD | Room temperature for 24 h | 5.01 | 5.61 ± 0.32 | 5.70 |
| 250.5 | 241.97 ± 8.73 | 3.61 | ||
| 15,030 | 15,135.44 ± 1324.59 | 8.75 | ||
| 4 °C for 24 h | 5.01 | 4.96 ± 0.65 | 13.1 | |
| 250.5 | 236.32 ± 13.98 | 5.92 | ||
| 15,030 | 15,122.74 ± 959.18 | 6.34 | ||
| There freeze-thaw cycles | 5.01 | 5.23 ± 0.58 | 11.09 | |
| 250.5 | 260.48 ± 17.36 | 10.82 | ||
| 15,030 | 14,844.73 ± 346.61 | 2.33 | ||
| PTB | Room temperature for 24 h | 2.51 | 2.17 ± 0.13 | 5.99 |
| 20.08 | 21.81 ± 1.46 | 6.69 | ||
| 251 | 244.31 ± 8.62 | 3.53 | ||
| 4 °C for 24 h | 2.51 | 2.32 ± 0.11 | 4.74 | |
| 20.08 | 24.62 ± 1.12 | 4.55 | ||
| 251 | 223.94 ± 15.73 | 7.02 | ||
| There freeze-thaw cycles | 2.51 | 2.68 ± 0.03 | 1.12 | |
| 20.08 | 19.43 ± 1.08 | 5.56 | ||
| 251 | 259.84 ± 23.13 | 8.90 |
| Parameters | Intragastric | Intravenous | ||
|---|---|---|---|---|
| PTD | PTB | PTD | PTB | |
| AUC(0–t) (ng/mL·h) | 382.17 ± 211.15 | 179.33 ± 44.95 | 19,364.32 ± 10,497.34 | 202.20 ± 59.54 |
| AUC(0–∞) (ng/mL·h) | 404.56 ± 224.26 | 204.06 ± 43.91 | 19,733.20 ± 10,377.52 | 229.54 ± 71.87 |
| MRT(0–t) (h) | 3.06 ± 0.63 | 7.41 ± 0.77 | 1.80 ± 0.50 | 6.45 ± 2.15 |
| MRT(0–∞) (h) | 4.15 ± 1.09 | 11.09 ± 2.32 | 2.40 ± 0.83 | 10.46 ± 3.88 |
| t1/2z (h) | 3.47 ± 0.78 | 7.79 ± 1.59 | 3.65 ± 1.26 | 6.78 ± 2.69 |
| Tmax (h) | 0.49 ± 0.15 | 1.42 ± 0.49 | - | - |
| CLz/F (mL/h/kg) | 87.51 ± 45.49 | 141.71 ± 44.73 | 0.56 ± 0.36 | 40.47 ± 15.27 |
| Vz/F (mL/kg) | 415.65 ± 207.32 | 1646.32 ± 831.76 | 3.46 ± 3.36 | 350.38 ± 69.41 |
| Cmax (ng/mL) | 250.45 ± 175.53 | 31.06 ± 10.47 | - | - |
| Analytes | Precursorion (m/z) | Production (m/z) | Cone (V) | Collision (V) | ESI |
|---|---|---|---|---|---|
| Puerarin (IS) | 417.00 | 267.00 | 50 | 30 | + |
| PTD | 465.13 | 303.08 | 35 | 20 | + |
| PTB | 303.30 | 231.10 | 30 | 20 | − |
Publisher’s Note: MDPI stays neutral with regard to jurisdictional claims in published maps and institutional affiliations. |
© 2022 by the authors. Licensee MDPI, Basel, Switzerland. This article is an open access article distributed under the terms and conditions of the Creative Commons Attribution (CC BY) license (https://creativecommons.org/licenses/by/4.0/).
Share and Cite
Li, Y.; Meng, W.; Yuan, L.; Jiang, L.; Zhou, Z.; Chi, M.; Gong, Z.; Ma, X.; Huang, Y.; Zheng, L. Identification of Protosappanoside D from Caesalpinia decapetala and Evaluation of Its Pharmacokinetic, Metabolism and Pharmacological Activity. Molecules 2022, 27, 6090. https://doi.org/10.3390/molecules27186090
Li Y, Meng W, Yuan L, Jiang L, Zhou Z, Chi M, Gong Z, Ma X, Huang Y, Zheng L. Identification of Protosappanoside D from Caesalpinia decapetala and Evaluation of Its Pharmacokinetic, Metabolism and Pharmacological Activity. Molecules. 2022; 27(18):6090. https://doi.org/10.3390/molecules27186090
Chicago/Turabian StyleLi, Yueting, Wensha Meng, Li Yuan, Li Jiang, Zuying Zhou, Mingyan Chi, Zipeng Gong, Xue Ma, Yong Huang, and Lin Zheng. 2022. "Identification of Protosappanoside D from Caesalpinia decapetala and Evaluation of Its Pharmacokinetic, Metabolism and Pharmacological Activity" Molecules 27, no. 18: 6090. https://doi.org/10.3390/molecules27186090
APA StyleLi, Y., Meng, W., Yuan, L., Jiang, L., Zhou, Z., Chi, M., Gong, Z., Ma, X., Huang, Y., & Zheng, L. (2022). Identification of Protosappanoside D from Caesalpinia decapetala and Evaluation of Its Pharmacokinetic, Metabolism and Pharmacological Activity. Molecules, 27(18), 6090. https://doi.org/10.3390/molecules27186090

