Cytotoxic Assessment of 3,3-Dichloro-β-Lactams Prepared through Microwave-Assisted Benzylic C-H Activation from Benzyl-Tethered Trichloroacetamides Catalyzed by RuCl2(PPh3)3
Abstract
:1. Introduction
2. Results and Discussion
2.1. Hemocompatibility Studies
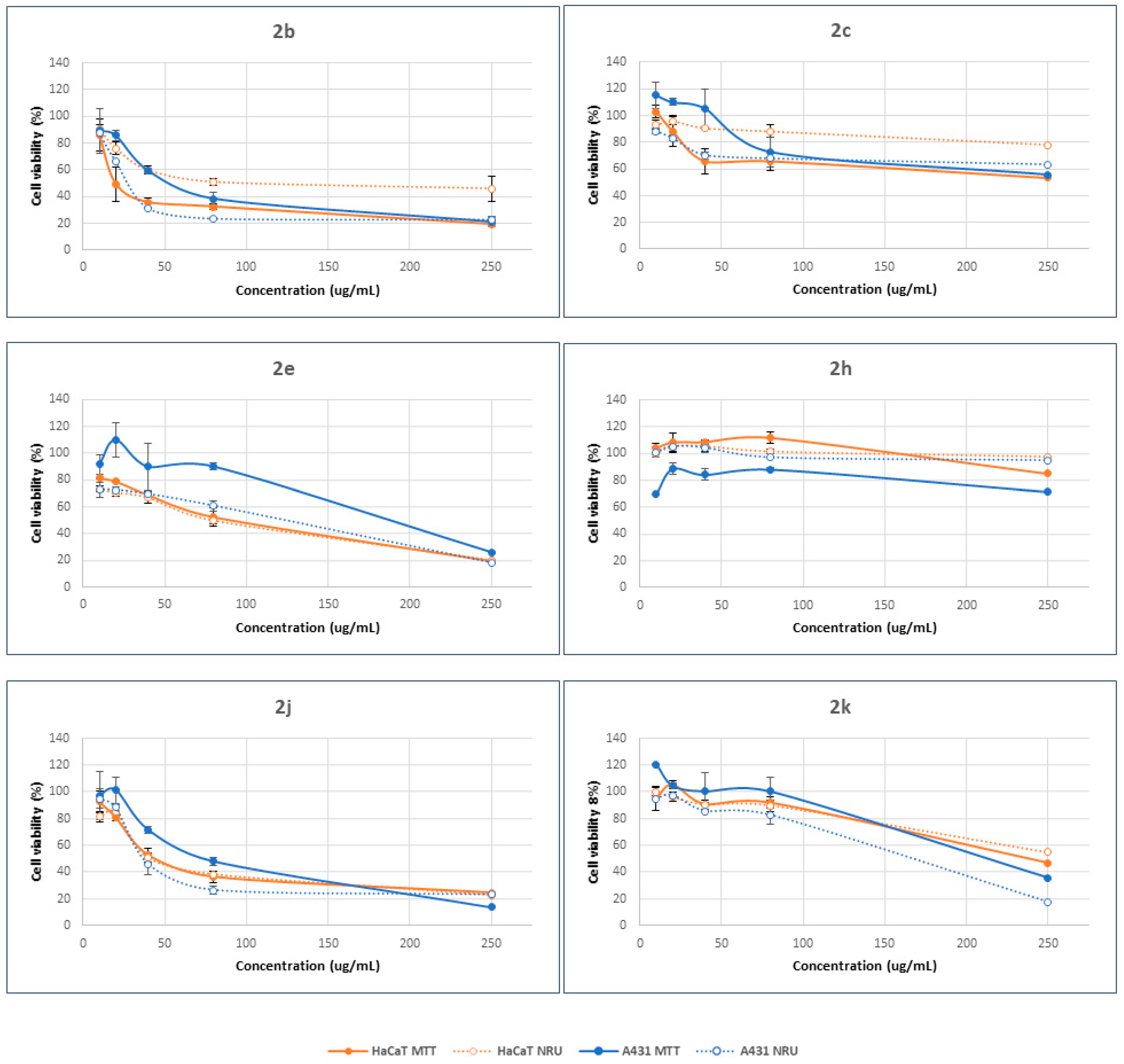
2.2. Cell Viability-Screening Assays
3. Materials and Methods for the Biological Assays
3.1. Materials
3.2. Methods
3.2.1. In Vitro Assay with Human Erythrocytes
Acquisition and Extraction of the Erythrocytes
Hemolysis Assay
3.3. Cell Cultures
3.4. Cell Viability-Screening Assays
3.4.1. NRU Assay
3.4.2. MTT Assay
3.4.3. Selectivity towards Cancer Cells
3.5. Statistical Analyses
4. Conclusions
Supplementary Materials
Author Contributions
Funding
Institutional Review Board Statement
Informed Consent Statement
Data Availability Statement
Conflicts of Interest
References
- Fernandes, R.; Amador, P.; Prudêncio, C. β-lactams: Chemical structure, mode of action and mechanisms of resistance. Rev. Med. Microbiol. 2013, 24, 7–17. [Google Scholar] [CrossRef]
- Gupta, A.; Halve, A.K. β-Lactams: A mini review of their biological activity. Int. J. Pharmaceut. Sci. Res. 2015, 6, 978–987. [Google Scholar]
- O’Boyle, N.M.; Greene, L.M.; Bergin, O.; Fichet, J.B.; McCabe, T.; Lloyd, D.G.; Zisterer, D.M.; Meegan, M.J. Synthesis, evaluation and structural studies of antiproliferative tubulin-targeting azetidin-2-ones. Bioorg. Med. Chem. 2011, 19, 2306–2325. [Google Scholar] [CrossRef]
- Smith, D.M.; Kazi, A.; Smith, L.; Long, T.E.; Heldreth, B.; Turos, E.; Dou, Q.P. A novel β-lactam antibiotic activates tumor cell apoptotic program by inducing DNA damage. Mol. Pharmacol. 2002, 61, 1348–1358. [Google Scholar] [CrossRef]
- Hussain, S.; Jadhav, S.; Rai, M.; Farooqui, M. Synthesis, characterization and biological evaluation of N [3-Chloro-2 (aryl)-4-oxoazitidin-1-y] pyridine-4-carboxamide. Int. J. Drug Des. Discov. 2011, 2, 527–532. [Google Scholar]
- Hosseyni, S.; Jarrahpour, A. Recent advances in β-lactam synthesis. Org. Biomol. Chem. 2018, 16, 6840–6852. [Google Scholar] [CrossRef]
- Pitts, C.R.; Lectka, T. Chemical synthesis of β-lactams: Asymmetric catalysis and other recent advances. Chem. Rev. 2014, 114, 7930–7953. [Google Scholar] [CrossRef]
- Staudinger, H. Zur kenntniss der ketene. Diphenylketen. Justus Liebig’s Ann. Chem. 1907, 356, 51–123. [Google Scholar] [CrossRef]
- Palomo, C.; Aizpurua, J.M.; Ganboa, I.; Oiarbide, M. Asymmetric synthesis of β-lactams through the Staudinger reaction and their use as building blocks of natural and nonnatural products. Curr. Med. Chem. 2004, 11, 1837–1872. [Google Scholar] [CrossRef]
- Khumtaveeporn, K.; Alper, H. Transition metal mediated carbonylative ring expansion of heterocyclic compounds. Acc. Chem. Res. 1995, 28, 414–422. [Google Scholar] [CrossRef]
- Kinugasa, M.; Hashimoto, S. The reactions of copper(I) phenylacetylide with nitrones. J. Chem. Soc. Chem. Commun. 1972, 8, 466–467. [Google Scholar] [CrossRef]
- Ahn, C.; Kenninghton, J.W.; DeShong, P.A. New approach to the synthesis of monocyclic β-lactam derivatives. J. Org. Chem. 1994, 59, 6282–6286. [Google Scholar] [CrossRef]
- Marco-Contelles, J. β-Lactam synthesis by the Kinugasa reaction. Angew. Chem. Int. Ed. 2004, 43, 2198–2200. [Google Scholar] [CrossRef] [PubMed]
- Kumar, Y.; Singh, P.; Bhargava, G. Cu(I) mediated Kinugasa reactions of α,β-unsaturated nitrones: A facile, diastereoselective route to 3-(hydroxy/bromo)methyl-1-aryl-4-(-styryl)azetidin-2-ones. New J. Chem. 2016, 40, 8216–8219. [Google Scholar] [CrossRef]
- Dong, K.; Qiu, L.; Xu, X. Selective synthesis of β-lactams via catalytic metal carbene C-H insertion reactions. Curr. Org. Chem. 2016, 20, 29–40. [Google Scholar] [CrossRef]
- Sandor, A.G.; Diaba, F. Microwave-assisted benzylic C-H activation using ruthenium catalysts. Synthesis of β-lactams. Int. J. Curr. Res. 2019, 11, 6930–6936. [Google Scholar]
- Diaba, F.; Martínez-Laporta, A.; Bonjoch, J. Atom transfer radical cyclization of trichloroacetamides to electron-rich acceptors using Grubbs’ catalysts: Synthesis of the tricyclic framework of FR901483. J. Org. Chem. 2014, 79, 9365–9372. [Google Scholar] [CrossRef]
- Diaba, F.; Montiel, J.A.; Martínez-Laporta, A.; Bonjoch, J. Dearomative radical spirocyclization from N-benzyltrichloroacetamides revisited using a copper(I)-mediated atom transfer reaction leading to 2-azaspiro [4.5]decanes. Tetrahedron Lett. 2013, 54, 2619–2622. [Google Scholar] [CrossRef]
- Pedroni, J.; Boghi, M.; Saget, T.; Cramer, N. Access to β-lactams by enantioselective palladium(0)-catalyzed C(sp3)-H alkylation. Angew. Chem. Int. Ed. 2014, 53, 9064–9067. [Google Scholar] [CrossRef]
- Repetto, G.; Peso, A.; Zurita, J.L. Neutral red uptake assay for the estimation of cell viability/cytotoxicity. Nat. Protoc. 2008, 3, 1125–1131. [Google Scholar] [CrossRef]
- Schurer, N.; Kohne, A.; Schliep, V.; Barlag, K.; Goerz, G. Lipid composition and synthesis of HaCaT cells, an immortalized human keratinocyte line, in comparison with normal human adult keratinocytes. Exp. Dermatol. 1993, 2, 179–185. [Google Scholar] [CrossRef] [PubMed]
- Samarasinghe, V.; Madan, V. Nonmelanoma skin cancer. J. Cutan. Aesthet. Surg. 2012, 5, 3–10. [Google Scholar] [CrossRef] [PubMed]
- Berridge, M.V.; Herst, P.M.; Tan, A.S. Tetrazolium dyes as tools in cell biology: New insight into their cellular reduction. Biotechnol. Annu. Rev. 2005, 11, 127–152. [Google Scholar]
- Dobrovolskaia, M.A.; Clogston, J.D.; Neun, B.W.; Hall, J.B.; Patri, A.K.; McNeil, S.E. Method for analysis of nanoparticle hemolytic properties in vitro. Nano Lett. 2008, 8, 2180–2187. [Google Scholar] [CrossRef] [PubMed]





| Compound | Hemolysis 10 µg/mL | 80 µg/mL |
|---|---|---|
| 2b | 0.01 ± 0.01 | 2.5 ± 0.97 |
| 2c | 0.01 ± 0.01 | 0.01 ± 0.01 |
| 2e | 0.01 ± 0.01 | 0.2 ± 0.23 |
| 2h | 0.05 ± 0.05 | 0.12 ± 0.09 |
| 2j | 0.01 ± 0.01 | 0.02 ± 0.02 |
| 2k | 0.25 ± 0.03 | 0.30 ± 0.21 |
| Compound | IC50 HaCaT (µg/mL) | IC50 A431 (µg/mL) | SI | |||
|---|---|---|---|---|---|---|
| MTT | NRU | MTT | NRU | MTT | NRU | |
| 2b | 19.82 | 48.27 | 46.93 | 29.54 | 0.42 | 1.63 |
| 2c | 250 | >250 | 250 | 250 | 1.0 | >1.0 |
| 2e | 92.61 | 78.82 | 180 | 120.72 | 0.51 | 0.65 |
| 2h | >250 | >250 | 250 | 250 | >1.0 | >1.0 |
| 2j | 42.10 | 40.14 | 76.19 | 37.88 | 0.55 | 1.06 |
| 2k | >250 | >250 | 250 | 220 | >1.0 | >1.13 |
Publisher’s Note: MDPI stays neutral with regard to jurisdictional claims in published maps and institutional affiliations. |
© 2022 by the authors. Licensee MDPI, Basel, Switzerland. This article is an open access article distributed under the terms and conditions of the Creative Commons Attribution (CC BY) license (https://creativecommons.org/licenses/by/4.0/).
Share and Cite
Diaba, F.; Sandor, A.G.; Morán, M.d.C. Cytotoxic Assessment of 3,3-Dichloro-β-Lactams Prepared through Microwave-Assisted Benzylic C-H Activation from Benzyl-Tethered Trichloroacetamides Catalyzed by RuCl2(PPh3)3. Molecules 2022, 27, 5975. https://doi.org/10.3390/molecules27185975
Diaba F, Sandor AG, Morán MdC. Cytotoxic Assessment of 3,3-Dichloro-β-Lactams Prepared through Microwave-Assisted Benzylic C-H Activation from Benzyl-Tethered Trichloroacetamides Catalyzed by RuCl2(PPh3)3. Molecules. 2022; 27(18):5975. https://doi.org/10.3390/molecules27185975
Chicago/Turabian StyleDiaba, Faïza, Alexandra G. Sandor, and María del Carmen Morán. 2022. "Cytotoxic Assessment of 3,3-Dichloro-β-Lactams Prepared through Microwave-Assisted Benzylic C-H Activation from Benzyl-Tethered Trichloroacetamides Catalyzed by RuCl2(PPh3)3" Molecules 27, no. 18: 5975. https://doi.org/10.3390/molecules27185975
APA StyleDiaba, F., Sandor, A. G., & Morán, M. d. C. (2022). Cytotoxic Assessment of 3,3-Dichloro-β-Lactams Prepared through Microwave-Assisted Benzylic C-H Activation from Benzyl-Tethered Trichloroacetamides Catalyzed by RuCl2(PPh3)3. Molecules, 27(18), 5975. https://doi.org/10.3390/molecules27185975

