A Ring Opening–Annulation Reaction of Anthra[1,2-d][1,2,3]triazine-4,7,12(3H)-trione in the Presence of Pyridines as an Efficient Approach to the Construction of Naphtho[2,3-H]pyrido(quinolino)[2,1-b]quinazoline System
Abstract
1. Introduction
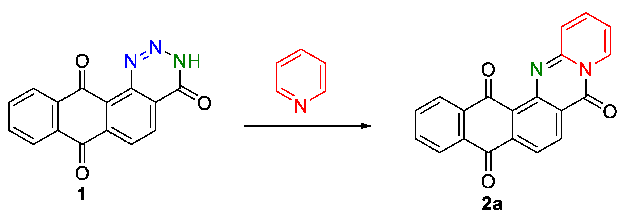
2. Results and Discussion
3. Materials and Methods
General Information
4. Conclusions
Author Contributions
Funding
Institutional Review Board Statement
Informed Consent Statement
Data Availability Statement
Conflicts of Interest
Sample Availability
References
- Bien, H.-S.; Stawitz, J.; Wunderlich, K. Anthraquinone Dyes and Intermediates. In Ullmann’s Encyclopedia of Industrial Chemistry, 6th ed.; Kellersohn, T., Ed.; Wiley-VCH Verlag Gmbh: Weinheim, Germany, 2003; pp. 513–578. [Google Scholar]
- Gouda, M.A.; Berghot, M.A.; Shoeip, A.; Elattar, K.M.; Khalil, A.E.-G.M. Chemistry of 2-aminoanthraquinones. Turk. J. Chem. 2010, 34, 651–709. [Google Scholar] [CrossRef]
- Fouillaud, M.; Caro, Y.; Venkatachalam, M.; Grondin, I.; Dufossé, L. Anthraquinones. In Phenolic Compounds in Food Characterization and Analysis; Nollet, L.M.L., Gutiérrez-Uribe, J.A., Eds.; CRC Press: Boca Raton, FL, USA, 2018; pp. 130–170. [Google Scholar]
- Tikhomirov, A.S.; Shtil, A.A.; Shchekotikhin, A.E. Advances in the discovery of anthraquinone-based anticancer agents. Recent Pat. Anti-Cancer Drug Discov. 2018, 13, 159–183. [Google Scholar] [CrossRef]
- Winkelmann, E.; Raether, W. Chemotherapeutically active anthraquinones. I. Aminoanthraquinones. Arzneimittelforschung 1979, 29, 1504–1509. [Google Scholar] [PubMed]
- Malik, E.M.; Muller, C.E. Anthraquinones as pharmacological tools and drugs. Med. Res. Rev. 2016, 36, 705–748. [Google Scholar] [CrossRef] [PubMed]
- Thomson Reuters Integrity Database. Available online:https://integrity.clarivate.com/integrity/xmlxsl/ (accessed on 14 December 2019).
- Gorelik, M.V.; Puchkova, V.V.; Khan, I.G. Method for Obtaining 4-Substituted 1, 2-Anthraquinimidazolines. USSR Patent 499260, 15 January 1976. [Google Scholar]
- Bergmann, U.; Hoch, H.; Reinhold, K. Process and Alkyl Benzoate Solvents for the Preparation of (Benzoylamino)anthraquinone Compounds. European Patent EP653416, 17 May 1995. [Google Scholar]
- Bulgakova, N.A.; Gornostaev, L.M. Cyclization of 1-Aryl-3-[4-aryl(cyclohexyl)amino-9,10-dioxo-1-anthryl]triazenes to 3-Aryl-5-aryl(cyclohexyl)aminoanthra[1,2-d][1,2,3]triazole-6,11-diones. Russ. J. Org. Chem. 2001, 37, 1351–1352. [Google Scholar] [CrossRef]
- Stepanov, A.A.; Gornostaev, L.M.; Vasilevsky, S.F.; Arnold, E.V.; Mamatyuk, V.I.; Fadeev, D.S.; Gold, B.; Alabugin, I.V. Chameleonic reactivity of vicinal diazonium salt of acetylenyl-9,10-anthraquinones: Synthetic application toward two heterocyclic targets. J. Org. Chem. 2011, 76, 8737–8748. [Google Scholar] [CrossRef]
- Fedenok, L.G.; Barabanov, I.I.; Zolnikova, N.A.; Bashurova, V.S.; Bogdanchikov, G.A. Mechanism and synthesis potentialities of the cyclization of vic-(alkynyl)arenediazonium salts. Chem. Sustain. Dev. 2011, 19, 647–651. [Google Scholar] [CrossRef]
- Fedenok, L.G.; Barabanov, I.I.; Bashurova, V.S.; Bogdanchikov, G.A. Mechanism of the heterocyclization of vic-alkynylanthra- and vic-alkynylnaphthoquinone diazonium salts. Tetrahedron 2004, 60, 2137–2145. [Google Scholar] [CrossRef]
- Zvarych, V.; Stasevych, M.; Novikov, V.; Rusanov, E.; Vovk, M.; Szweda, P.; Grecka, K.; Milewski, S. Anthra[1,2-d][1,2,3]triazine-4,7,12(3H)-triones as a new class of antistaphylococcal agents: Synthesis and biological evaluation. Molecules 2019, 24, 4581. [Google Scholar] [CrossRef] [PubMed]
- Khalid, Z.; Ahmad, H.A.; Munawar, M.A.; Khan, M.; Gul, S. 1,2,3-Benzotriazin-4(3H)-ones: Synthesis, reactions and applications. Heterocycles 2017, 94, 3–54. [Google Scholar] [CrossRef]
- Gurenko, A.O. Dominance of Pirazolo[3,4-d][1,2,3]triazine-4-One in and Products of Their Transformation. Ph.D Thesis, Institute of Bioorganic Chemistry and Naphthochemistry, Kyyv, Ukraine, 2015. [Google Scholar]
- Crabtree, H.E.; Smalley, R.K.; Suschitzky, H. Thermolytic reactions of benzotriazinone and isatoic anhydride. J. Chem. Soc. Sect. C Org Chem. 1968, 2730–2733. [Google Scholar] [CrossRef]
- Smalley, R.K.; Suschitzky, H.; Tanner, E.M. Thermolysis of isatoic anhydride and benzotriazinone. Tetrahedron Lett. 1966, 29, 3465–3469. [Google Scholar] [CrossRef]
- Gescher, A.; Stevens, M.F.G.; Turnbull, C.P. Triazines and related products. Part 18. Decomposition of 1,2,3-benzotriazines and related triazenes with sodium azide in acetic acid: A convenient route to azidoarenes. J. Chem. Soc. Perkin Trans. 1977, 2, 103–106. [Google Scholar] [CrossRef]
- Paterson, T.M.; Smalley, R.K.; Suschitzky, H.; Barker, A.J. 1,2,3-Benzotriazin-4-ones and related systems. Part 6. Thermal and photolytic decomposition of 3-arylideneamino-, 3-imidoyl-, and 3-heteroaryl-1,2,3-benzotriazin-4-ones. J. Chem. Soc. Perkin Trans. 1980, 1, 633–638. [Google Scholar] [CrossRef]
- Barker, A.J.; McC Paterson, T.; Smalley, R.K.; Suschitzky, H. 1,2,3-Benzotriazin-4(3H)-ones and related systems. Part 5. Thermolysis of 3-aryl- and 3-alkenyl-1,2,3-benzotriazin-4(3H)-ones. J. Chem. Soc. Perkin Trans. 1979, 1, 2203–2208. [Google Scholar] [CrossRef]
- Murray, A.W.; Vaughan, K. Thermolysis of 1,2,3-benzotriazin-4(3H)-one. J. Chem. Soc. Sect. C Org. Chem. 1970, 15, 2070–2074. [Google Scholar] [CrossRef]
- Ege, G. 7-Methyl-4-phenyl-8H-1,3,5,6-dithiadiazocin-2-one, an Eight-Membered Heterocycle with Chiral Conformation. Angew. Chem. Int. Ed. 1967, 6, 629–630. [Google Scholar] [CrossRef]
- Burgess, E.M.; Milne, G. N-Phenylbenzoazetinone. Tetrahedron Lett. 1966, 1, 93–96. [Google Scholar] [CrossRef]
- Krawczyk, S.H.; Townsend, L.B. Synthesis of a pyrido[1,2-a]purine nucleoside by a novel ring cleavage-annulation reaction of 3-β-D-ribofuranosylimidazo-[4,5-d]-triazin-4-one. Tetrahedron Lett. 1991, 32, 5693–5696. [Google Scholar] [CrossRef]
- Zvarych, V.I.; Stasevych, M.V.; Lunin, V.V.; Vovk, M.V.; Novikov, V.P. Synthesis of (1H-pyrrol-1-yl)anthracene-9,10-diones. Chem. Heterocycl. Compd. 2016, 52, 421–423. [Google Scholar] [CrossRef]
- Strobel, T.; Schmidt, Y.; Linnenbrink, A.; Luzhetskyy, A.; Luzhetska, M.; Taguchi, T.; Brötz, E.; Paululat, T.; Stasevych, M.; Stanko, O.; et al. Tracking Down Biotransformation to the Genetic Level: Identification of a Highly Flexible Glycosyltransferase from Saccharothrix espanaensis. Appl. Environ. Microbiol. 2013, 79, 5224–5232. [Google Scholar] [CrossRef] [PubMed][Green Version]
- Stasevich, M.V.; Zvarich, V.I.; Novikov, V.P.; Zagorodnya, S.D.; Povnitsa, O.Y.; Chaika, M.A.; Nesterkina, M.V.; Kravchenko, I.A.; Druzhilovskiy, D.S.; Poroikov, V.V. 9,10-Anthraquinone Dithiocarbamates as Potential Pharmaceutical Substances with Pleiotropic Actions: Computerized Prediction of Biological Activity and Experimental Validation. Pharm. Chem. J. 2020, 53, 905–913. [Google Scholar] [CrossRef]
- Stasevych, M.; Zvarych, V.; Musyanovych, R.; Novikov, V.; Vovk, M. Synthesis of N-Benzoyl-N’-(9,10-Dioxo-9,10-Dihydroanthacen-1-yl) Thioureas and Quantum-Chemical Analysis of the Reaction Passing. Chem. Chem. Technol. 2014, 8, 135–140. [Google Scholar] [CrossRef]
- Stasevych, M.V.; Zvarych, V.I.; Novikov, V.P. Study of the Antifungal Action of the Lacquer Based on the GABA Derivative of 2-Chloro-N-(9,10-Dioxo-9,10-Dihydroanthracen-1-yl)Acetamide. Biointerface Res. Appl. Chem. 2021, 11, 8818–8824. [Google Scholar] [CrossRef]
- Stasevych, M.V.; Zvarych, V.I.; Novikov, V.P.; Vovk, M.V. Synthesis and Study of Antimicrobial Activity of 2-Dithiocarbamate-N-(9,10-Dioxo-9,10-Dihydroanthracenyl)Acetamides. Biointerface Res. Appl. Chem. 2021, 11, 7725–7734. [Google Scholar] [CrossRef]
- Stasevych, M.; Zvarych, V.; Lunin, V.; Khomyak, S.; Vovk, M.; Novikov, V. Synthesis of pyrazole and tetrazole derivatives of 9,10-anthraquinonylhydrazones. Chem. Heterocycl. Compd. 2017, 53, 927–929. [Google Scholar] [CrossRef]
- Mosby, W.L.; Berry, W.L. Products of nucleophilic displacement reactions in the anthraquinone series. Tetrahedron 1960, 8, 107–115. [Google Scholar] [CrossRef]
- Hostyn, S.; Van Baelen, G.; Lemière, G.L.; Maes, B.U. Synthesis of α-Carbolines Starting from 2,3-Dichloropyridines and Substituted Anilines. Adv. Synth. Catal. 2008, 350, 2653–2660. [Google Scholar] [CrossRef]
- Li, J.; Li, G. Tetradentate and Octahedral Metal Complexes Containing Naphthyridinocarbazole and Its Analogues. US Patent US20160359125 A1, 8 December 2016. [Google Scholar]
- Cohen, D.; Hewitt, L.; Millar, I.T. Reaction of anthraquinone with some alkylmagnesium halides. Configuration and conformation of 9,10-diethyl- and 9,10-di-n-propyl-anthracene-9,10-diols. J. Chem. Soc. (C) 1969, 17, 2266–2269. [Google Scholar] [CrossRef]
- Konieczny, M.; Harvey, R.G. Reductive methylation of polycyclic aromatic quinones. J. Org. Chem. 1980, 45, 1308–1310. [Google Scholar] [CrossRef]
- Chumbalov, T.K.; Muzychkina, R.A.; Nazarov, V.D. Study of the interaction reaction of anthraquinone with acetylene. Russ. J. Org. Chem. 1970, 6, 1752–1758. [Google Scholar]
- Hanswilli, B.; Von Schwamberger, E. Verfahren zur Herstellung von Anthranol-(9)-bzw. Anthron-(9)-aldehyden-(10). DE 1232567. 19 January 1967. [Google Scholar]
- Hao, S.-H.; Zhang, X.-Y.; Dong, D.-Q.; Wang, Z.-L. Alumina-supported heteropoly acid: An efficient catalyst for the synthesis of azaarene substituted 3-hydroxy-2-oxindole derivatives via C(sp3)-H bond functionalization. Chin. Chem. Lett. 2015, 26, 599–602. [Google Scholar] [CrossRef]
- Vuppalapati, S.V.N.; Lee, Y.R. Iodine-catalyzed efficient synthesis of aza-arene substituted 3-hydroxy-2-oxindole derivatives through sp3 C-H functionalization. Tetrahedron 2012, 68, 8286–8292. [Google Scholar] [CrossRef]
- Labrie, F.; Gauthier, S.; Cloutier, J.; Mailhot, J.; Potvin, S.; Dion, S.; Sancéau, J.-Y. Preparation of 17α-Substituted Steroids as Systemic Antiandrogens and Selective Androgen Receptor Modulators, World Intellectual Property Organization. WO2008124922 A1, 23 October 2008. [Google Scholar]
- Anderson, D.R.; Volkmann, R.A.; Menniti, F.S. Selective Octahydrocyclopenta[c]Pyrroles as Negative Modulators of NR2B and Their Preparation, World Intellectual Property Organization. WO 2015048507 A1, 2 April 2015. [Google Scholar]
- Adam, J.G.; Andrieux, J.; Plat, M. Acid-catalyzed decomposition of tertiary benzocyclobutenic azides. Novel method for synthesis of an indole nucleus by ring expansion. Tetrahedron 1985, 41, 399–407. [Google Scholar] [CrossRef]
- Kumari, K.; Allam, B.K.; Singh, K.N. A simple and sustainable tetrabutylammonium fluoride (TBAF)-catalyzed synthesis of azaarene-substituted 3-hydroxy-2-oxindoles through sp3 C-H functionalization. RSC Adv. 2014, 4, 19789–19793. [Google Scholar] [CrossRef]
- Sheldrick, G. A short history of SHELX. Acta Crystallogr. Sect. A Found. Crystallogr. 2008, 64, 112–122. [Google Scholar] [CrossRef]
- Armarego, W.L.F.; Chai, C. Purification of Laboratory Chemicals, 5th ed.; Elsevier: Oxford, UK, 2003. [Google Scholar]







| Pyridine, Mole Equivalent | Solvent | Air Bubbling | Temperature, oC/Time, h | Yield of 2a According to LC-MS, % |
|---|---|---|---|---|
| 5 | PhCH3 | no | 75–80/6 | no product |
| 5 | PhCH3 | no | 85–90/8 | no product |
| 5 | PhCH3 | no | 95–100/10 | no product |
| 5 | PhCH3 | no | 105–110/6 | 49 |
| 5 | PhCH3 | yes | 75–80/6 | no product |
| 5 | PhCH3 | yes | 85–90/8 | no product |
| 5 | PhCH3 | yes | 95–100/10 | no product |
| 5 | PhCH3 | yes | 105–110/6 | 60 |
| 10 | PhCH3 | yes | 75–80/6 | no product |
| 10 | PhCH3 | yes | 85–90/8 | no product |
| 10 | PhCH3 | yes | 95–100/10 | no product |
| 10 | PhCH3 | yes | 105–110/6 | 71 |
| 5 | DMF | no | 75–80/6 | no product |
| 5 | DMF | no | 85–90/8 | no product |
| 5 | DMF | no | 95–100/10 | no product |
| 5 | DMF | no | 110–115/6 | 45 |
| 5 | DMF | yes | 75–80/6 | no product |
| 5 | DMF | yes | 85–90/8 | no product |
| 5 | DMF | yes | 95–100/10 | no product |
| 5 | DMF | yes | 110–115/6 | 59 |
| 10 | DMF | yes | 75–80/6 | no product |
| 10 | DMF | yes | 85–90/8 | no product |
| 10 | DMF | yes | 95–100/10 | no product |
| 10 | DMF | yes | 110–115/6 | 75 |
| as solvent | Pyridine | no | 75–80/6 | no product |
| as solvent | Pyridine | no | 85–90/8 | no product |
| as solvent | Pyridine | no | 95–100/10 | no product |
| as solvent | Pyridine | no | 110–115/6 | 92 |
| as solvent | Pyridine | yes | 75–80/6 | no product |
| as solvent | Pyridine | yes | 85–90/8 | no product |
| as solvent | Pyridine | yes | 95–100/10 | no product |
| as solvent | Pyridine | yes | 110–115/6 | 100 |
Publisher’s Note: MDPI stays neutral with regard to jurisdictional claims in published maps and institutional affiliations. |
© 2022 by the authors. Licensee MDPI, Basel, Switzerland. This article is an open access article distributed under the terms and conditions of the Creative Commons Attribution (CC BY) license (https://creativecommons.org/licenses/by/4.0/).
Share and Cite
Zvarych, V.; Stasevych, M.; Rusanov, E.; Vovk, M. A Ring Opening–Annulation Reaction of Anthra[1,2-d][1,2,3]triazine-4,7,12(3H)-trione in the Presence of Pyridines as an Efficient Approach to the Construction of Naphtho[2,3-H]pyrido(quinolino)[2,1-b]quinazoline System. Molecules 2022, 27, 5927. https://doi.org/10.3390/molecules27185927
Zvarych V, Stasevych M, Rusanov E, Vovk M. A Ring Opening–Annulation Reaction of Anthra[1,2-d][1,2,3]triazine-4,7,12(3H)-trione in the Presence of Pyridines as an Efficient Approach to the Construction of Naphtho[2,3-H]pyrido(quinolino)[2,1-b]quinazoline System. Molecules. 2022; 27(18):5927. https://doi.org/10.3390/molecules27185927
Chicago/Turabian StyleZvarych, Viktor, Maryna Stasevych, Eduard Rusanov, and Mykhailo Vovk. 2022. "A Ring Opening–Annulation Reaction of Anthra[1,2-d][1,2,3]triazine-4,7,12(3H)-trione in the Presence of Pyridines as an Efficient Approach to the Construction of Naphtho[2,3-H]pyrido(quinolino)[2,1-b]quinazoline System" Molecules 27, no. 18: 5927. https://doi.org/10.3390/molecules27185927
APA StyleZvarych, V., Stasevych, M., Rusanov, E., & Vovk, M. (2022). A Ring Opening–Annulation Reaction of Anthra[1,2-d][1,2,3]triazine-4,7,12(3H)-trione in the Presence of Pyridines as an Efficient Approach to the Construction of Naphtho[2,3-H]pyrido(quinolino)[2,1-b]quinazoline System. Molecules, 27(18), 5927. https://doi.org/10.3390/molecules27185927

