Transcriptomic Analyses Reveal Key Genes Involved in Pigment Biosynthesis Related to Leaf Color Change of Liquidambar formosana Hance
Abstract
:1. Introduction
2. Results
2.1. Dynamic Patterns of Chlorophyll, Carotenoid and Anthocyanin Content
2.2. De Novo Assembly of L. formosana Transcriptome
2.3. Gene Annotation and Classification
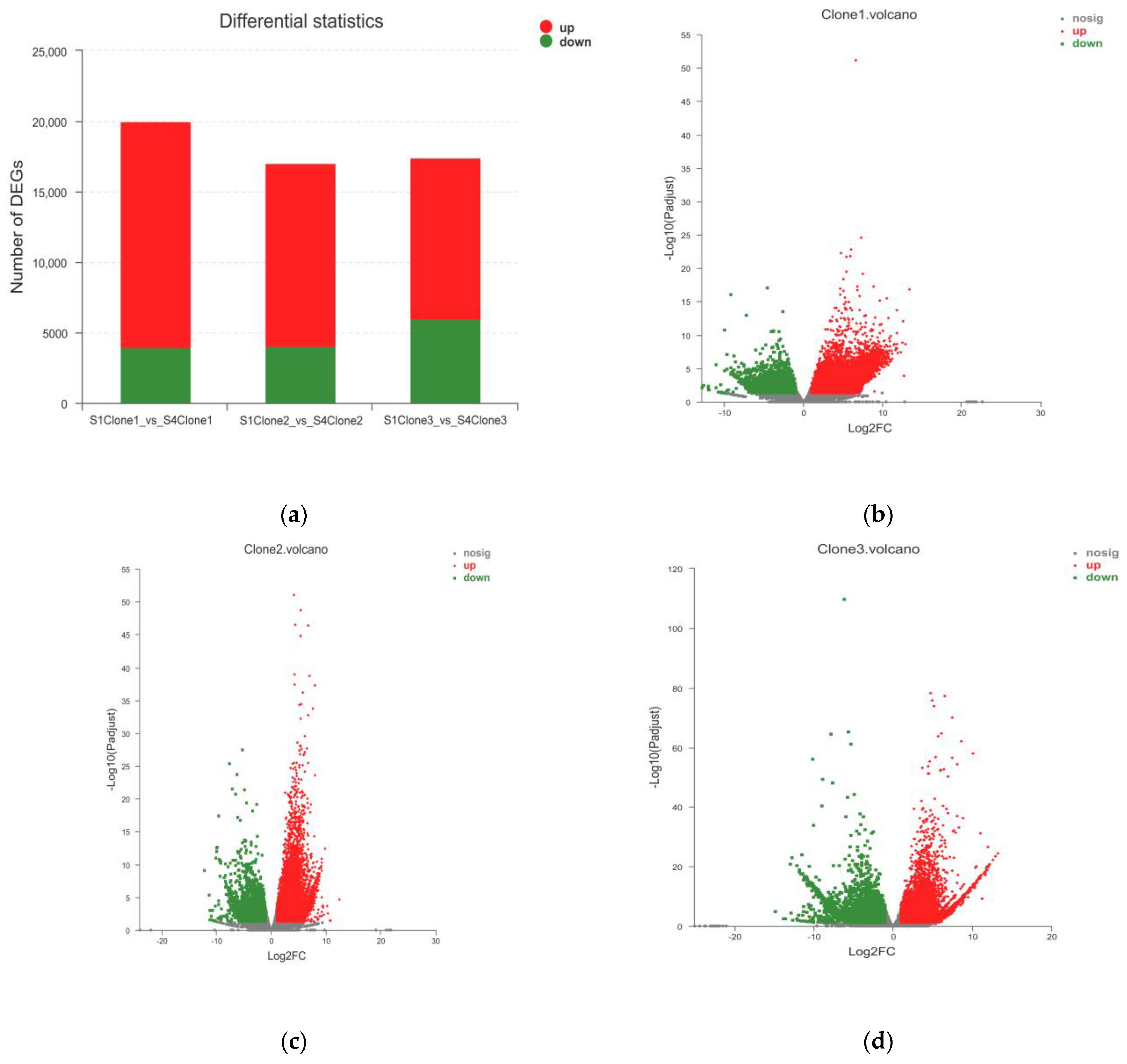
2.4. Analysis of DEGs
2.5. KEGG Pathway Enrichment Analysis of DEGs
2.6. Identification of DEGs Related to Anthocyanin Metabolism
3. Discussion
3.1. Physiological Mechanism of Leaf Color Change of L. formosana
3.2. Genes Involved in the Anthocyanin Biosynthesis Pathway
4. Materials and Methods
4.1. Plant Materials and Growth Conditions
4.2. Analysis of Pigment Content
volume ∗ dilution ratio)/sample fresh weight
4.3. RNA Extraction, cDNA Library Construction and Sequencing
4.4. Unigene Annotation and DEG Analysis
4.5. qRT-PCR Validation
4.6. Statistical Analysis
5. Conclusions
Supplementary Materials
Author Contributions
Funding
Institutional Review Board Statement
Informed Consent Statement
Data Availability Statement
Conflicts of Interest
Sample Availability
References
- Wen, C.H.; Lin, S.S.; Chu, F.H. Transcriptome analysis of a subtropical deciduous tree: Autumn leaf senescence gene expression profile of Formosan gum. Plant Cell Physiol. 2015, 56, 163–174. [Google Scholar]
- Luo, Z.; Guan, H.D.; Zhang, X.P.; Liu, N. Photosynthetic capacity of senescent leaves for a subtropical broadleaf deciduous tree species Liquidambar formosana Hance. Sci. Rep. 2017, 7, 6323. [Google Scholar] [CrossRef]
- Yin, G.P.; Wang, Y.; Xiao, Y.F.; Yang, J.S.; Wang, R.J.; Jiang, Y.; Huang, R.L.; Liu, X.S.; Jiang, Y. Relationships between leaf color changes, pigment levels, enzyme activity, photosynthetic fluorescence characteristics and chloroplast ultrastructure of Liquidambar formosana Hance. J. For. Res. 2022, 1–14. [Google Scholar]
- Lai, J.X.; Lin, F.R.; Huang, P.; Guo, W.Y.; Han, L.B.; Zheng, Y.Q. Seasonal variation of flavonoid metabolites in leaves of Liquidambar formosana ‘Nanlinhong’ trees revealed by UPLC-ESI–MS/MS. Rev. Bras. Bot. 2021, 44, 575–586. [Google Scholar] [CrossRef]
- Wen, C.H.; Chu, F.H. A R2R3-MYB gene LfMYB113 is responsible for autumn leaf coloration in Formosan sweet gum (Liquidambar formosana Hance). Plant Cell Physiol. 2017, 58, 508–521. [Google Scholar]
- Wang, Z.R. Research progress of color-emerging mechanism and photosynthetic characteristics of colored-leaf tree. J. Anhui Agri. 2011, 39, 13495–13497. [Google Scholar]
- Hatano, T.; Kira, R.; Yoshizaki, M.; Okuda, T. Seasonal changes in the tannins of Liquidambar formosana reflecting their biogenesis. Phytochemistry 1986, 25, 2787–2789. [Google Scholar] [CrossRef]
- Panche, A.N.; Diwan, A.D.; Chandra, S.R. Flavonoids: An overview. J. Nutr. Sci. 2016, 5, e47. [Google Scholar] [CrossRef]
- Tanaka, Y.; Ohmiya, A. Seeing is believing: Engineering anthocyanin and carotenoid biosynthetic pathways. Curr. Opin. Biotechnol. 2008, 19, 190–197. [Google Scholar] [CrossRef]
- Shi, M.Z.; Xie, D.Y. Biosynthesis and metabolic engineering of anthocyanins in Arabidopsis thaliana. Recent Pat. Biotechnol. 2014, 8, 47–60. [Google Scholar] [CrossRef]
- Ahmed, N.U.; Park, J.I.; Jung, H.J.; Yang, T.J.; Hur, Y.; Nou, I.S. Characterization of dihydroflavonol 4-reductase (DFR) genes and their association with cold and freezing stress in Brassica rapa. Gene 2014, 550, 46–55. [Google Scholar] [CrossRef]
- Yamazaki, M.; Shibata, M.; Nishiyama, Y.; Springob, K.; Kitayama, M.; Shimada, N.; Aoki, T.; Ayabe, S.; Saito, K. Differential gene expression profiles of red and green forms of Perilla frutescens leading to comprehensive identification of anthocyanin biosynthetic genes. FEBS J. 2008, 275, 3494–3502. [Google Scholar]
- Liu, Y.; Tikunov, Y.; Schouten, R.E.; Marcelis, L.F.; Visser, R.G.; Bovy, A. Anthocyanin biosynthesis and degradation mechanisms in Solanaceous vegetables: A review. Front. Chem. 2018, 6, 52. [Google Scholar] [CrossRef]
- Saito, K.; Yonekura-Sakakibara, K.; Nakabayashi, R.; Higashi, Y.; Yamazaki, M.; Tohge, T.; Fernie, A.R. The flavonoid biosynthetic pathway in Arabidopsis: Structural and genetic diversity. Plant Physiol. Biochem. 2013, 72, 21–34. [Google Scholar] [CrossRef]
- Wang, M.; Chen, L.; Liang, Z.J.; He, X.M.; Liu, W.R.; Jiang, B.; Yan, J.Q.; Sun, P.Y.; Cao, Z.Q.; Peng, Q.W. Metabolome and transcriptome analyses reveal chlorophyll and anthocyanin metabolism pathway associated with cucumber fruit skin color. BMC Plant Biol. 2020, 20, 386. [Google Scholar] [CrossRef]
- Qiao, Y.; Cheng, Q.; Zhang, Y.T.; Yan, W.; Yi, F.Y.; Shi, F.L. Transcriptomic and chemical analyses to identify candidate genes involved in color variation of sainfoin flowers. BMC Plant Biol. 2021, 21, 61. [Google Scholar] [CrossRef]
- Hu, J.Z.; Tian, Q.; Lu, X.N. Relationship between changes of the pigments content and leaf color changing in Liquidambar formosana. J. Northwest Sci-Tech Univ. Agric. For. 2007, 35, 219–223. [Google Scholar]
- Liu, R.; Yuan, Q.Q.; Yuan, X.P.; Zhou, X.H. The relationship with change of pigment content in leaves of different Liquidambar formosana families and change of leaf color. South China For. Sci. 2017, 45, 46–49. [Google Scholar]
- Wu, Q.K.; Cao, Y.Y.; Chen, C.; Gao, Z.Z.; Yu, F.Y.; Guy, R.D. Transcriptome analysis of metabolic pathways associated with oil accumulation in developing seed kernels of Styrax tonkinensis, a woody biodiesel species. BMC Plant Biol. 2020, 20, 121. [Google Scholar] [CrossRef]
- Mortazavi, A.; Williams, B.A.; McCue, K.; Schaeffer, L.; Wold, B. Mapping and quantifying mammalian transcriptomes by RNA-Seq. Nat. Methods 2008, 5, 621–628. [Google Scholar] [CrossRef]
- Yu, X.N.; Zhang, Q.X. Advances in studies on colorization in coloreleaf plants. Acta Hortic. Sin. 2000, 27, 533–538. [Google Scholar]
- Pirie, A.; Mullins, M.G. Changes in Anthocyanin and Phenolics Content of Grapevine Leaf and Fruit Tissues Treated with Sucrose, Nitrate, and Abscisic Acid. Plant Physiol. 1976, 58, 468–472. [Google Scholar] [CrossRef] [PubMed]
- Nie, Q.J.; Shi, B.S.; Meng, Z.; Liu, D.Y.; Lou, L.N. The enzyme activities, pigment and inclusion contents in different leaves color of Cotinus coggygria ‘Royal purple’ in autumn. Bull. Bot Res. 2008, 68, 599–602. [Google Scholar]
- Wang, T.; Li, L.Y.; Cheng, G.H.; Shu, X.C.; Wang, N.; Zhang, F.J.; Zhuang, W.B.; Wang, Z. Physiological and Molecular Analysis Reveals the Differences of Photosynthesis between Colored and Green Leaf Poplars. Int. J. Mol. Sci. 2021, 22, 8982. [Google Scholar] [CrossRef] [PubMed]
- Huang, G.H.; Liao, X.Z.; Han, Q.; Zhou, Z.Z.; Liang, K.N.; Li, G.Y.; Yang, G.; Tembrock, L.; Wang, X.B.; Wu, Z.Q. Integrated Metabolome and Transcriptome Analyses Reveal Dissimilarities in the Anthocyanin Synthesis Pathway Between Different Developmental Leaf Color Transitions in Hopea hainanensis (Dipterocarpaceae). Front. Plant Sci. 2022, 13, 830413. [Google Scholar] [CrossRef]
- Li, Y.Z.; Luo, X.; Wu, C.Y.; Cao, S.Y.; Zhou, Y.F.; Jie, B.; Cao, Y.L.; Meng, H.J.; Wu, G.L. Comparative transcriptome analysis of genes involved in anthocyanin biosynthesis in red and green walnut (Juglans regia L.). Molecules 2017, 23, 25. [Google Scholar] [CrossRef]
- Li, Y.; Gao, Z.R.; Zhang, C.; Li, N.; Liu, C. Research progress on the molecular regulation mechanism of anthocyanin biosynthesis pathway. Chin. J. Ecol. 2015, 34, 2937–2942. [Google Scholar]
- Jiang, C.J.; Yu, Y.B. Research progress of phenylalanine ammonia-lyase (review). J. Anhui Agri. Univ. 2001, 28, 425–430. [Google Scholar]
- Neish, A. Biosynthetic pathways of aromatic compounds. Annu. Rev. Plant Physiol. 1960, 11, 55–80. [Google Scholar] [CrossRef]
- Kataoka, I.; Kubo, Y.; Sugiura, A.; Tomana, T. Changes in L-phenylalanine ammonia-lyase activity and anthocyanin synthesis during berry ripening of three grape cultivars. J. Jpn. Soc. Hortic. Sci. 1983, 52, 273–279. [Google Scholar] [CrossRef]
- Lister, C.E.; Lancaster, J.E.; Walker, J.R. Phenylalanine ammonia-lyase (PAL) activity and its relationship to anthocyanin and flavonoid levels in New Zealand-grown apple cultivars. J. Am. Soc. Hortic. Sci. 1996, 121, 281–285. [Google Scholar] [CrossRef]
- Zhao, Z.F.; Zhao, Y.; Wu, G.F. Studies on relationship between Anthocyanidin and PAL. Acta Hortic. Sin. 1994, 21, 199–200. [Google Scholar]
- Awasthi, P.; Mahajan, V.; Jamwal, V.L.; Kapoor, N.; Rasool, S.; Bedi, Y.S.; Gandhi, S.G. Cloning and expression analysis of chalcone synthase gene from Coleus forskohlii. J. Genet. 2016, 95, 647–657. [Google Scholar] [CrossRef]
- Kreuzaler, F.; Hahlbrock, K. Enzymatic synthesis of aromatic compounds in higher plants: Formation of naringenin (5,7,4′-trihydroxyflavanone) from p-coumaroyl coenzyme A and malonyl coenzyme A. FEBS Lett. 1972, 28, 69–72. [Google Scholar] [CrossRef]
- Katsumoto, Y.; Fukuchi-Mizutani, M.; Fukui, Y.; Brugliera, F.; Holton, T. Engineering of the rose flavonoid biosynthetic pathway successfully generated blue-hued flowers accumulating delphinidin. Plant Cell Physiol 2007, 48, 1589–1600. [Google Scholar] [CrossRef]
- Tanaka, Y.; Sasaki, N.; Ohmiya, A. Biosynthesis of plant pigments: Anthocyanins, betalains and carotenoids. Plant J. 2008, 54, 733–749. [Google Scholar] [CrossRef]
- Koes, R.; Verweij, W.; Quattrocchio, F. Flavonoids: A colorful model for the regulation and evolution of biochemical pathways. Trend Plant Sci. 2005, 10, 236–242. [Google Scholar] [CrossRef]
- Yi, D.B.; Zhang, H.N.; Lai, B.; Liu, L.Q.; Pan, X.L.; Ma, Z.L.; Wang, Y.C.; Xie, J.H.; Shi, S.Y.; Wei, Y.Z. Integrative analysis of the coloring mechanism of red longan pericarp through metabolome and transcriptome analyses. J. Agric. Food Chem. 2020, 69, 1806–1815. [Google Scholar] [CrossRef]
- Tanaka, Y.; Brugliera, F. Flower colour and cytochromes P450. Philos. Trans. R. Soc. B Biol. Sci. 2013, 368, 20120432. [Google Scholar] [CrossRef]
- Nakatsuka, T.; Nishihara, M.; Mishiba, K.; Yamamura, S. Two different mutations are involved in the formation of white-flowered gentian plants. Plant Sci. J. 2005, 169, 949–958. [Google Scholar] [CrossRef]
- Lichtenthaler, H.K.; Wellburn, A.R. Determinations of Total Carotenoids and Chlorophylls A and B of Leaf Extracts in Different Solvents; Portland Press Ltd.: London, UK, 1983. [Google Scholar]
- Hao, Z.D.; Liu, S.Q.; Hu, L.F.; Shi, J.S.; Chen, J.H. Transcriptome analysis and metabolic profiling reveal the key role of carotenoids in the petal coloration of Liriodendron tulipifera. Hortic. Res. 2020, 7, 70. [Google Scholar] [CrossRef] [PubMed]
- Niu, J.; An, J.; Wang, L.; Fang, C.; Ha, D.; Fu, C.; Qiu, L.; Yu, H.; Zhao, H.; Hou, X. Transcriptomic analysis revealed the mechanism of oil dynamic accumulation during developing Siberian apricot (Prunus sibirica L.) seed kernels for the development of woody biodiesel. Biotechnol. Biofuels 2015, 8, 29. [Google Scholar] [CrossRef] [PubMed] [Green Version]
- Grabherr, M.G.; Haas, B.J.; Yassour, M.; Levin, J.Z.; Thompson, D.A.; Amit, I.; Adiconis, X.; Fan, L.; Raychowdhury, R.; Zeng, Q.D. Full-length transcriptome assembly from RNA-Seq data without a reference genome. Nat. Biotechnol. 2011, 29, 644–652. [Google Scholar] [CrossRef] [PubMed]
- Anders, S.; Huber, W. Differential expression analysis for sequence count data. Nat. Preced. 2010, 11, R106. [Google Scholar]
- Lin, Z.X.; An, J.Y.; Wang, J.; Niu, J.; Ma, C.; Wang, L.B.; Yuan, G.S.; Shi, L.L.; Liu, L.L.; Zhang, J.S. Integrated analysis of 454 and Illumina transcriptomic sequencing characterizes carbon flux and energy source for fatty acid synthesis in developing Lindera glauca fruits for woody biodiesel. Biotechnol. Biofuels 2017, 10, 134. [Google Scholar] [CrossRef]
- Livak, K.J.; Schmittgen, T.D. Analysis of relative gene expression data using real-time quantitative PCR and the 2−ΔΔCT method. Methods 2001, 25, 402–408. [Google Scholar] [CrossRef]







| Gene ID | Abbreviation | Up/Down | TPM Value | |||||
|---|---|---|---|---|---|---|---|---|
| S1Clone1 | S1Clone2 | S1Clone3 | S4Clone1 | S4Clone2 | S4Clone3 | |||
| TRINITY_DN11132_c0_g1 | CHS | up | 5501.80 | 411.20 | 420.20 | 11901.80 | 3553.40 | 3352.30 |
| TRINITY_DN4277_c0_g1 | CHI | up | 186.20 | 198.20 | 210.0 | 193.2 | 439.0 | 468.6 |
| TRINITY_DN18660_c0_g2 | F3′H | up | 286.40 | 3634.70 | 4101.80 | 944.1 | 16367.90 | 14578.70 |
| TRINITY_DN11660_c0_g1 | DFR | up | 3245.80 | 3301.50 | 2578.90 | 802.4 | 1000.0 | 1092.40 |
| TRINITY_DN29005_c0_g1 | ANS | up | 27.2 | 19.8 | 22.4 | 487.9 | 868.6 | 782.4 |
| TRINITY_DN17255_c0_g3 | FLS | up | 13.1 | 23.4 | 45.0 | 26.9 | 128.2 | 93.9 |
| Gene ID | Abbreviation | Up/Down | TPM Value | |
|---|---|---|---|---|
| S1Clone2 | S4Clone2 | |||
| TRINITY_DN17802_c0_g4 | PAL | up | 93.3 | 216.5 |
| TRINITY_DN28662_c0_g1 | F3′5′H | up | 1.8 | 94.5 |
| TRINITY_DN3115_c0_g1 | UFGT | up | 168.0 | 468.3 |
Publisher’s Note: MDPI stays neutral with regard to jurisdictional claims in published maps and institutional affiliations. |
© 2022 by the authors. Licensee MDPI, Basel, Switzerland. This article is an open access article distributed under the terms and conditions of the Creative Commons Attribution (CC BY) license (https://creativecommons.org/licenses/by/4.0/).
Share and Cite
Li, Y.; Zhou, Y.; Chen, H.; Chen, C.; Liu, Z.; Han, C.; Wu, Q.; Yu, F. Transcriptomic Analyses Reveal Key Genes Involved in Pigment Biosynthesis Related to Leaf Color Change of Liquidambar formosana Hance. Molecules 2022, 27, 5433. https://doi.org/10.3390/molecules27175433
Li Y, Zhou Y, Chen H, Chen C, Liu Z, Han C, Wu Q, Yu F. Transcriptomic Analyses Reveal Key Genes Involved in Pigment Biosynthesis Related to Leaf Color Change of Liquidambar formosana Hance. Molecules. 2022; 27(17):5433. https://doi.org/10.3390/molecules27175433
Chicago/Turabian StyleLi, Yanjun, Yang Zhou, Hong Chen, Chen Chen, Zemao Liu, Chao Han, Qikui Wu, and Fangyuan Yu. 2022. "Transcriptomic Analyses Reveal Key Genes Involved in Pigment Biosynthesis Related to Leaf Color Change of Liquidambar formosana Hance" Molecules 27, no. 17: 5433. https://doi.org/10.3390/molecules27175433
APA StyleLi, Y., Zhou, Y., Chen, H., Chen, C., Liu, Z., Han, C., Wu, Q., & Yu, F. (2022). Transcriptomic Analyses Reveal Key Genes Involved in Pigment Biosynthesis Related to Leaf Color Change of Liquidambar formosana Hance. Molecules, 27(17), 5433. https://doi.org/10.3390/molecules27175433

