Two New Nonaborates with {B9} Cluster Open-Frameworks and Short Cutoff Edges
Abstract
1. Introduction
2. Experimental Section
2.1. Syntheses
2.1.1. Syntheses of 1
2.1.2. Syntheses of 2
2.2. X-ray Crystallography
2.3. General Procedure
3. Result and Discussion
3.1. Structure of 1
3.2. Structure of 2
3.3. Structure Comparision
- (1)
- [B9O14(OH)4]5− and [B9O18(OH)2]11− FBBs: These two types of FBBs are composed of two different {B5} and {B4} clusters, which produce the 1D chains and 3D framework with different types of guest templates [15,33]. In Ni(en)3·Hen·[B9O13(OH)4]·H2O, the linear alternations of [B9O14(OH)4]5− ([9: (5: 4Δ + 1T) + (4: 2Δ + 2T)]) FBB build the 1D chains (Figure 3a) [33], while in Li2[B4O7][B5O8(OH)2], the [B9O18(OH)2]11− ([9: (5: 2Δ + 3T) + (4: 2Δ + 2T)]) FBB construct the 3D diamond framework (Figure 3b) [15].
- (2)
- (3)
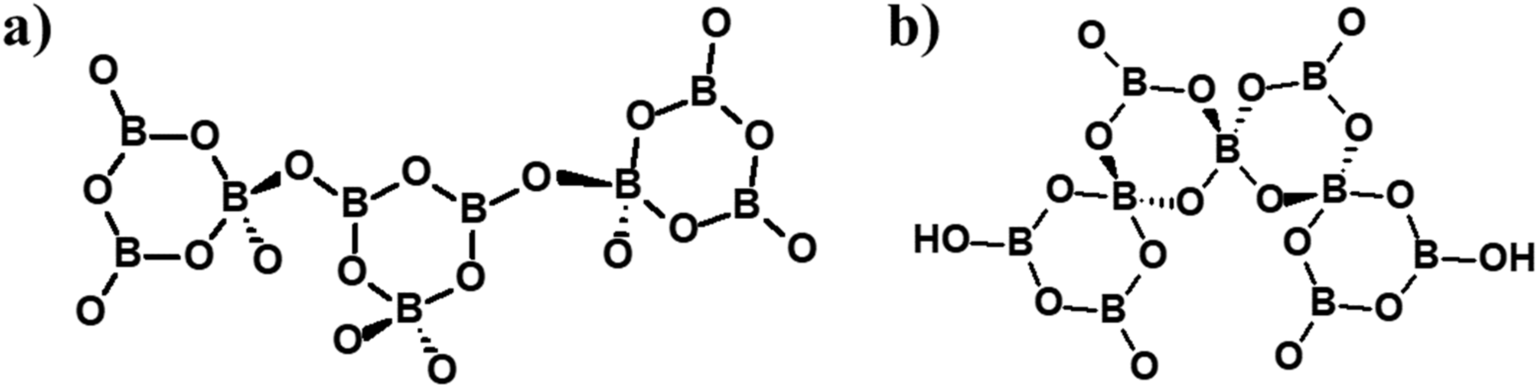
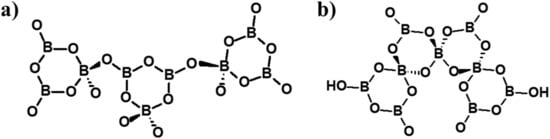
- [B9O12(OH)6]3−, [B9O16(OH)3]8− and [B9O16(OH)4]9− FBBs: There are two different configurations of these nonaborate cluster FBBs, including the three corner-sharing [B3O8]7− clusters-made [B9O19]11− ([9: 3×(3: 2Δ + T)], FBB in 1) and the four BO4-sharing B3O3 rings-made [B9O16(OH)2]7− ([9: 3Δ + 6T)]) and its derived forms (FBB in 2). As described above, [B9O19]11− make up the 3D framework with intercommunicated channel networks. For the [B9O16(OH)2]7− and its derived clusters, only isolated and 1D structures were obtained before. [B9O12(OH)6]3− ([9: 6Δ + 3T]) FBB in [C(NH2)3]3[B9O12(OH)6] is an isolated cluster [36], joined by the abundant H-bond interactions to 3D supramolecular frameworks (Figure 3d). [B9O16(OH)3]8− ([9: 5Δ + 4T]) and [B9O16(OH)4]9− ([9: 4Δ + 5T]) FBBs in Na4[B9O14(OH)3]·0.5H2O and Na5[B9O14(OH)4] features two different 1D belt-like structures [37], respectively, which are originated from configurations of the clusters. In Na4[B9O14(OH)3]·0.5H2O, the Z-shape [B9O16(OH)3]8− interconnects via four terminal O atoms from the four [B3O3] rings, of which the terminal O atoms on the outboard [B3O3] ring is linked with those on the medial rings, making the 1D zigzag belt with 8-MR windows (Figure 3e), while in Na5[B9O14(OH)4], the half-occupied central B atom leads to the C-shape [B9O16(OH)4]9−, which further interconnects through the same linkages with the Z-shape [B9O16(OH)3]8−, constructing the 1D linear belt (Figure 3f). The 2D layer in 2 is the first 2D layer built from the nonaborate clusters.

3.4. Powder XRD Patterns
3.5. IR Spectra
3.6. UV–Vis Absorption Spectra
3.7. Thermal Analysis
4. Conclusions
Supplementary Materials
Author Contributions
Funding
Institutional Review Board Statement
Informed Consent Statement
Data Availability Statement
Conflicts of Interest
References
- Zachariasen, H.W. The Crystal Structure of Potassium Acid Dihydronium Pentaborate KH2(H3O)2B5O10, (Potassium Pentaborate Tetrahydrate). Z. Krist. Cryst. Mater. 1938, 98, 266–274. [Google Scholar] [CrossRef]
- Morimoto, N. The Crystal Structure of Borax. Mineral. J. 1956, 2, 1–18. [Google Scholar] [CrossRef][Green Version]
- Young, H.S. MBO3 calcite-type borates of Al, Ga, Tl, and Rh. J. Solid State Chem. 1973, 6, 502–508. [Google Scholar] [CrossRef]
- Burns, P.C.; Grice, J.D.; Hawthorne, F.C. Borate minerals; I, Polyhedral clusters and fundamental building blocks. Can. Mineral. 1995, 33, 1131–1151. [Google Scholar]
- Becker, P.B. Materials in Nonlinear Optics. Adv. Mater. 1998, 13, 979–992. [Google Scholar] [CrossRef]
- Lin, Z.-E.; Yang, G.-Y. Oxo Boron Clusters and Their Open Frameworks. Eur. J. Inorg. Chem. 2011, 26, 3857–3867. [Google Scholar] [CrossRef]
- Beckett, M.A. Recent advances in crystalline hydrated borates with non-metal or transition-metal complex cations. Coord. Chem. Rev. 2016, 323, 2–14. [Google Scholar] [CrossRef]
- Mutailipu, M.; Poeppelmeier, K.R.; Pan, S.-L. Borates: A Rich Source for Optical Materials. Chem. Rev. 2021, 121, 1130–1202. [Google Scholar] [CrossRef]
- Sun, S.-J.; Wei, Q.; Huang, Y.-S.; Yuan, F.-F.; Lou, F.; Zhong, D.-G.; Zhang, L.-Z.; Lin, Z.-B.; Teng, B. Enhanced growth of Nd3+: MgGdB5O10 laser crystals with intense multi-wavelength emission characteristics. J. Mater. Chem. C 2020, 8, 7104–7112. [Google Scholar] [CrossRef]
- Wang, J.-J.; Yang, G.-Y. A novel supramolecular magnesoborate framework with snowflake-like channels built by unprecedented huge B69 cluster cages. Chem. Commun. 2017, 53, 10398–10401. [Google Scholar] [CrossRef]
- Chen, Y.; Guo, Z.-W.; Li, X.-X.; Zheng, S.-T.; Yang, G.-Y. Multicomponent Cooperative Assembly of Nanoscale Boron-Rich Polyoxotungstates {B30Si6Ni12Ln6W27(OH)26O168}, {B30Si5Ni12Ln7W27(OH)26O166(H2O)}, and {B22Si4Ni12Ln4W36(OH)12O178}. CCS Chem. 2021, 3, 1232–1241. [Google Scholar]
- Chen, C.-A.; Yang, G.-Y. Syntheses, structures and optical properties of two B3O7 cluster-based borates. CrystEngComm 2022, 24, 1203–1210. [Google Scholar] [CrossRef]
- Yang, Y.; Dong, X.-Y.; Pan, S.-L.; Wu, H.-P. The Rubidium Barium Borate Resulting from B7O15 Fundamental Building Block Exhibits DUV Cutoff Edge. Inorg. Chem. 2018, 57, 13380–13385. [Google Scholar] [CrossRef]
- Wei, Q.; He, C.; Sun, L.; An, X.-T.; Zhang, J.; Yang, G.-Y. Na2(H2en)[B5O8(OH)]2[B3O4(OH)]2 and Na3(HCOO)[B5O8(OH)]: Two Borates Co-Templated by Inorganic Cations and Organic Compounds. Eur. J. Inorg. Chem. 2017, 34, 4061–4067. [Google Scholar] [CrossRef]
- Wang, J.-J.; Wei, Q.; Yang, G.-Y. A Novel Twofold Interpenetrating 3D Diamondoid Borate Framework Constructed from B4 and B5 Clusters. ChemistrySelect 2017, 2, 5311–5315. [Google Scholar] [CrossRef]
- Heller, G.; Pickardt, J. On an Icosaborate Ion in Hydrated Potassium and Sodium Copper Polyborates. Z. Naturforsch. Sect. B J. Chem. Sci. 1985, 40, 462–466. [Google Scholar] [CrossRef]
- Wang, J.-J.; Wei, Q.; Yang, B.-F.; Yang, G.-Y. Two New Copper Borates with Mesoscale Cubic Supramolecular Cages Assembled from {Cu4@B20} Clusters. Chem. Eur. J. 2017, 23, 2774–2777. [Google Scholar] [CrossRef]
- Liu, W.-F.; Qiu, Q.-M.; Zhang, M.; Su, Z.-M.; An, Q.-Q.; Lv, H.-J.; Jia, Z.-Y.; Yang, G.-Y. Two new Cu-based borate catalysts with cubic supramolecular cages for efficient catalytic hydrogen evolution. Dalton Trans. 2020, 49, 10156–10161. [Google Scholar] [CrossRef]
- Li, X.-Y.; Yang, G.-Y. LiB9O15·H2dap·H2O: A Cotemplated Acentric Layer-Pillared Borate Built by Mixed Oxoboron Clusters. Inorg. Chem. 2021, 60, 16085–16089. [Google Scholar] [CrossRef]
- Chen, C.-A.; Pan, R.; Li, X.-Y.; Qin, D.; Yang, G.-Y. Four Inorganic–Organic Hybrid Borates: From 2D Layers to 3D Oxoboron Cluster Organic Frameworks. Inorg. Chem. 2021, 60, 18283–18290. [Google Scholar] [CrossRef]
- Altahan, M.A.; Beckett, M.A.; Coles, S.J.; Horton, P.N. Two 1-D Coordination Polymers Containing Zinc(II) Hexaborates: [Zn(en){B6O7(OH)6}]·2H2O (en = 1,2-diaminoethane) and [Zn(pn){B6O7(OH)6}]·1.5H2O (pn = 1,2-diaminopropane). Crystals 2018, 8, 470. [Google Scholar] [CrossRef]
- Chen, C.-A.; Qiu, Q.-M.; Yang, G.-Y. K2Na3[{B6O10(OH)}{B3O4(OH)3}]·H2O: A Layered Borate Built by Mixed Oxoboron Clusters with Nonlinear-Optical Property. Chem. Asian J. 2021, 16, 3244–3248. [Google Scholar] [CrossRef]
- Chen, C.-T.; Wu, B.-C.; Jiang, A.-D.; You, G.-M. A New-Type Ultraviolet SHG Crystal-Beta-BaB2O4. Sci. Sin. Ser. B 1985, 28, 235–243. [Google Scholar]
- Chen, C.-T.; Wu, Y.-C.; Jiang, A.-D.; Wu, B.-C.; You, G.-M.; Li, R.-K.; Lin, S.-J. New nonlinear-optical crystal: LiB3O5. J. Opt. Soc. Am. B 1989, 6, 616–621. [Google Scholar] [CrossRef]
- Mori, I.K.Y.; Nakajima, S.; Sasaki, T.; Nakai, S. New nonlinear optical crystal: Cesium lithium borate. Appl. Phys. Lett. 1995, 67, 1818–1820. [Google Scholar] [CrossRef]
- Wei, Q.; Wang, J.-J.; He, C.; Cheng, J.-W.; Yang, G.-Y. Deep-Ultraviolet Nonlinear Optics in a Borate Framework with 21-Ring Channels. Chem. Eur. J. 2016, 22, 10759–10762. [Google Scholar] [CrossRef]
- Huang, J.-H.; Jin, C.-C.; Xu, P.-L.; Gong, P.-F.; Lin, Z.-S.; Cheng, J.-W.; Yang, G.-Y. Li2CsB7O10(OH)4: A Deep-Ultraviolet Nonlinear-Optical Mixed Alkaline Borate Constructed by Unusual Heptaborate Anions. Inorg. Chem. 2019, 58, 1755–1758. [Google Scholar] [CrossRef]
- Zhang, W.-Y.; Wei, Z.-L.; Yang, Z.-H.; Pan, S.-L. Noncentrosymmetric Fluorooxoborates A10B13O15F19 (A = K and Rb) with Unexpected [B10O12F13]7− Units and Deep-Ultraviolet Cutoff Edges. Inorg. Chem. 2020, 59, 3274–3280. [Google Scholar] [CrossRef]
- Christ, C.L.; Clark, J.R. A Crystal-Chemical Classification of Borate Structures with Emphasis on Hydrated Borates. Phys. Chem. Miner. 1977, 2, 59–87. [Google Scholar] [CrossRef]
- Grice, J.D.; Burns, P.C.; Hawthorne, F.C. Borate Minerals II. A Hierarchy of Structures Based upon the Borate Fundamental Building Block. Can. Mineral. 1999, 37, 731–762. [Google Scholar]
- Sheldrick, G.M. A short history of SHELX. Acta Crystallogr. Sect. A Found. Crystallogr. 2008, 64, 112–122. [Google Scholar] [CrossRef] [PubMed]
- Chen, C.-A.; Pan, R.; Yang, G.-Y. Syntheses and structures of a new 2D layered borate and a novel 3D porous-layered aluminoborate. Dalton Trans. 2020, 49, 3750–3757. [Google Scholar] [CrossRef] [PubMed]
- Deng, J.-X.; Liu, Z.-Q.; Pan, C.-Y.; Liu, Y.; Li, J.; Zhao, F.-H.; Lin, L. Formation Mechanism of a Polyanonic Framework from Layer to Chain Explored by Adjusting Time, Temperature, and pH: Preparation and Characterization of Metal-Complex-Templated 1D Borate and 2D Nickel Borate. Inorg. Chem. 2019, 58, 2012–2019. [Google Scholar] [CrossRef] [PubMed]
- Qiu, Q.-M.; Yang, G.-Y. Two deep-ultraviolet nonlinear optical barium borates framework: Alkali metal enhances the second-harmonic generation response. J. Solid State Chem. 2021, 301, 122303–122309. [Google Scholar] [CrossRef]
- Wu, C.; Jiang, X.-X.; Lin, L.; Dan, W.-Y.; Lin, Z.-S.; Huang, Z.-P.; Humphrey, M.G.; Zhang, C. Strong SHG Responses in a Beryllium-Free Deep-UV-Transparent Hydroxyborate via Covalent Bond Modification. Angew. Chem. Int. Ed. 2021, 60, 27151–27157. [Google Scholar] [CrossRef]
- Schubert, D.M.; Visi, M.Z.; Knobler, C.B. Guanidinium and Imidazolium Borates Containing the First Examples of an Isolated Nonaborate Oxoanion: [B9O12(OH)6]3−. Inorg. Chem. 2000, 39, 2250–2251. [Google Scholar] [CrossRef]
- Chen, J.; Wang, J.-J.; Chen, C.-A.; Yang, G.-Y. Two New Borates Built by Different Types of {B9} Cluster Units. Chem. Res. Chin. Univ. 2022, 38, 744–749. [Google Scholar] [CrossRef]
- Miao, Z.-H.; Yang, Y.; Wei, Z.-L.; Yang, Z.-H.; Pan, S.-L. Effect of anion dimensionality on optical properties: The ∞[B7O10(OH)2] layer in CsB7O10(OH)2 vs. the ∞[B7O12] framework in CsBaB7O12. Dalton Trans. 2020, 49, 1292–1299. [Google Scholar] [CrossRef]




| 1 | 2 | |
|---|---|---|
| Formula | Na2Ba0.5B9O16H2 | Na4Ca1.5B9O18H2 |
| Molecular weight | 469.96 | 539.39 |
| Crystal system | Monoclinic | Monoclinic |
| Space group | P21/c | C2/c |
| a/Å | 8.5705 (5) | 18.2310 (2) |
| b/Å | 8.5174 (4) | 8.7009 (13) |
| c/Å | 17.2249 (7) | 9.0209 (12) |
| α/° | 90 | 90 |
| β/° | 90.101 (4) | 97.299 (11) |
| γ/° | 90 | 90 |
| V/Å3 | 1257.42 (11) | 1419.3 (3) |
| Z | 4 | 4 |
| Dc/g cm−3 | 2.482 | 2.524 |
| μ/mm−1 | 1.793 | 0.858 |
| F (000) | 900 | 1060 |
| Goodness-of-fit on F2 | 1.052 | 1.096 |
| R indices [I > 2σ(I)] 1 | 0.0309 (0.0822) | 0.0529 (0.1576) |
| R indices (all data) | 0.0393 (0.0869) | 0.0725 (0.1761) |
| Largest peak/Deepest hole (e/Å3) | 1.043/−1.059 | 0.617/−1.049 |
Publisher’s Note: MDPI stays neutral with regard to jurisdictional claims in published maps and institutional affiliations. |
© 2022 by the authors. Licensee MDPI, Basel, Switzerland. This article is an open access article distributed under the terms and conditions of the Creative Commons Attribution (CC BY) license (https://creativecommons.org/licenses/by/4.0/).
Share and Cite
Chen, C.-A.; Yang, G.-Y. Two New Nonaborates with {B9} Cluster Open-Frameworks and Short Cutoff Edges. Molecules 2022, 27, 5279. https://doi.org/10.3390/molecules27165279
Chen C-A, Yang G-Y. Two New Nonaborates with {B9} Cluster Open-Frameworks and Short Cutoff Edges. Molecules. 2022; 27(16):5279. https://doi.org/10.3390/molecules27165279
Chicago/Turabian StyleChen, Chong-An, and Guo-Yu Yang. 2022. "Two New Nonaborates with {B9} Cluster Open-Frameworks and Short Cutoff Edges" Molecules 27, no. 16: 5279. https://doi.org/10.3390/molecules27165279
APA StyleChen, C.-A., & Yang, G.-Y. (2022). Two New Nonaborates with {B9} Cluster Open-Frameworks and Short Cutoff Edges. Molecules, 27(16), 5279. https://doi.org/10.3390/molecules27165279
