Next Article in Journal
Light and Potassium Improve the Quality of Dendrobium officinale through Optimizing Transcriptomic and Metabolomic Alteration
Previous Article in Journal
Antiviral and Antibacterial Effect of Honey Enriched with Rubus spp. as a Functional Food with Enhanced Antioxidant Properties
 
 
Font Type:
Arial Georgia Verdana
Font Size:
Aa Aa Aa
Line Spacing:
Column Width:
Background:
Article

Exploration of Spirocyclic Derivatives of Ciprofloxacin as Antibacterial Agents

1
Lomonosov Institute of Fine Chemical Technologies, MIREA—Russian Technological University, 119454 Moscow, Russia
2
Federal Research and Clinical Center of Physico-Chemical Medicine, 1a Malaya Pirogovskaya Street, 119435 Moscow, Russia
3
Pasteur Institute of Epidemiology and Microbiology, 14 Mira Street, 197101 Saint Petersburg, Russia
4
Saint Petersburg State University, 26 Universitetskii Prospect, 198504 Peterhof, Russia
5
Immanuel Kant Baltic Federal University, 236041 Kaliningrad, Russia
*
Author to whom correspondence should be addressed.
Molecules 2022, 27(15), 4864; https://doi.org/10.3390/molecules27154864
Submission received: 8 July 2022 / Revised: 23 July 2022 / Accepted: 26 July 2022 / Published: 29 July 2022

Abstract

The previously reported as well as newly synthesized derivatives of the 1-oxa-9-azaspiro[5.5]undecane were employed in the synthesis of thirty-six derivatives of ciprofloxacin using commercially available 7-chloro-1-cyclopropyl-6-fluoro-4-oxo-1,4-dihydroquinoline-3-carboxylic acid and the literature protocol involving the preparation of boron chelate complex to facilitate nucleophilic aromatic substitution. All new fluoroquinolone derivatives were tested against two gram-positive as well as three gram-negative strains of bacteria. With the activity spectrum of the new derivatives being substantially narrower than that of ciprofloxacin, compounds were distinctly active against two of the five strains: gram-negative Acinetobacter baumannii 987® and gram-positive Bacillus cereus 138®. Towards these two strains, a large group of compounds displayed equal or higher potency than ciprofloxacin.

Graphical Abstract

1. Introduction

Spirocycles represent an emerging privileged structural class for drug design [1]. Not only are spirocyclic motifs omnipresent in the natural product realm [2]; they are also employed, with increasing frequency, in drug candidate development [3]. The latter observation most likely attests to the widespread recognition of the unique structural properties offered by spirocyclic frameworks. These include, though are not limited to, the pronounced three-dimensional character of spirocycles [4], the well-defined spatial projection of peripheral appendages off the spirocyclic scaffold [5], the inherent high degree of saturation (defined as Fsp3 or fraction of sp3-hybridized heavy atoms) [6] and the presence of multiple stereocenters. Certainly, all these aspects do not necessarily facilitate the still daunting task of the finding of a new, biologically active lead molecule acting via a specific biological target. However, if such a molecule is identified around a spirocyclic scaffold or with the use of spirocyclic periphery motifs, optimizing it into potent, selective and overall developable [7] drug candidate is an undertaking less prone to failure due to ligand promiscuity, undesired metabolism and pharmacokinetics or overall unfavorable physicochemical profile [8]. In other words, the use of spirocycles in drug design front-loads many important aspects of drug discovery and development which are traditionally worried about at more advanced stages of the process [9].
In 2016, we developed a facile synthetic entry into spirocyclic building blocks 1 via the sulfuric-acid-promoted Prins cyclization of cyclic ketones with homoallylic alcohol [10]. Besides the general utility of these building blocks for drug discovery, one particular compound, N-Boc-protected spirocyclic piperidine 1a, was synthesized on a multigram scale and was envisioned as a starting material for a larger cluster of diversely substituted spirocyclic piperidines 2 for various medicinal applications (Scheme 1). In particular, many of these spirocyclic building blocks were successfully employed in the design of free fatty acid receptor 1 (GPR40) agonists for the treatment of type 2 diabetes mellitus. The synthesis was based on the conjugation of these building blocks to a fatty-acid-mimicking carboxylic acid warhead [11,12,13]. More recently, we followed a similar strategy in antibacterial area and attached these spirocycles to the pharmacophoric 5-nitrofuroyl moiety, obtaining a series of non-toxic nitrofurans that turned out to be efficacious in vitro against multidrug-resistant Mycobacterium tuberculosis [14]. Inspired by the propensity of spirocycles 2 to deliver the chemotypes of desired biological profiles depending on the nature of the pharmacophoric element, we continued to further exploit the privileged [15] character of this versatile medicinal chemistry toolkit. Employing compounds 2 in the design and synthesis of fluoroquinolone antibacterials such as ciprofloxacin became our next focal point. It is well known that variation of cyclic secondary amine appendages at position 7 of the quinolone ring (alone or in combination with other alterations of the core as well as the periphery) of this potent class of antibiotics has a strong bearing on the antimicrobial profile and has delivered numerous efficacious, broad-spectrum antibiotics [16]. Hence, using the already-amassed arsenal of building blocks 2 as well as several newly prepared derivatives, we aspired to synthesize and evaluate the antimicrobial profile of fluoroquinolones 3 (Figure 1). Herein, we report on the results obtained in the course of realizing this strategy.

2. Results

For the synthesis of the library of novel fluoroquinolone analogs of ciprofloxacin, 36 spirocyclic piperidines 2aaj were selected (Figure 2). The synthesis of the majority of these compounds had been reported previously [11,12,13,14] while seven building blocks (2a, 2d, 2ab, 2af, 2ah, 2ai and 2aj) were synthesized from the earlier reported starting materials 4 [13], 5 [11] and 6 [11] as shown in Scheme 2.
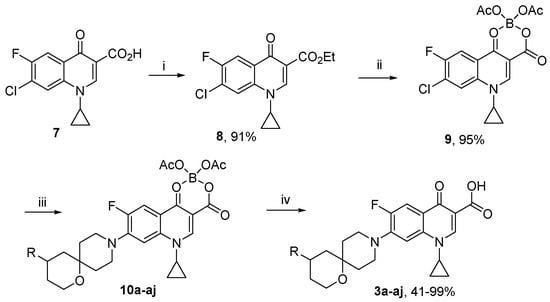
The synthesis of target fluoroquinolones 3aaj commenced with commercially available 7-chloro-1-cyclopropyl-6-fluoro-4-oxo-1,4-dihydroquinoline-3-carboxylic acid (7) which was esterified to give ester 8. The latter was converted to boron chelation complex 9 using the published protocols [17,18,19]. In the latter, the chlorine in position 7 is particularly activated towards the nucleophilic aromatic substitution. The latter was brought about by heating compound 9 with spirocyclic piperidines 2aaj at 60 °C in the presence of triethylamine. The boron chelation complex [20] was removed by exposing intermediates 10aaj to a 2% aqueous sodium hydroxide solution. As a result, fluoroquinolones 3aaj were obtained in yields from moderate to nearly quantitative (Scheme 3).
Having synthesized spirocyclic derivatives of fluoroquinolone ciprofloxacin 3aaj, we proceeded to evaluate their antibacterial profile against two gram-positive (Staphylococcus aureus ATCC 25923 and Bacillus cereus 138®) as well as three gram-negative (Klebsiella pneumoniae 1062®, Acinetobacter baumannii 987® and Pseudomonas aeruginosa 7292/5®) strains of bacteria (® indicates clinical isolate strains from the Pasteur Institute’s own collection of bacterial strains). Ciprofloxacin was used in these assays as a positive control.
As is evident from the data presented in Table 1, the 36 compounds displayed varying degrees of activity against different strains, in contrast to ciprofloxacin which acted as a broad-spectrum antibiotic across the panel of all five strains. Clearly, the new set of fluoroquinolones possesses a narrower spectrum of activity compared to ciprofloxacin. However, the propensity of the newly synthesized set of fluoroquinolones to kill gram-negative Acinetobacter baumannii 987® bacteria is evident. Indeed, eight compounds (3d, 3f, 3jk, 3q, 3r, 3u, 3ae) were equipotent to ciprofloxacin against this strain while fourteen compounds (3b, 3e, 3g, 3l, 3np, 3vw, 3z, 3aaab, 3ad, 3af) had an even lower minimum inhibitory concentration (MIC) than ciprofloxacin. The other bacterium that was significantly affected by the best compounds in the set was gram-positive Bacillus cereus 138®. Out of 36 compounds tested, nine (3fg, 3l, 3n, 3r, 3u, 3acad, 3ag) had the same activity towards this strain as ciprofloxacin. In contrast to the latter, none of the compounds (except for weakly active 3d) displayed activity towards gram-negative Pseudomonas aeruginosa 7292/5®. Additionally, the new spirocyclic derivatives were only weakly active towards gram-positive Staphylococcus aureus ATCC 25923 and gram-negative Klebsiella pneumoniae 1062®.
Overall, the antibacterial activity of the fluoroquinolones studied turned out to be rather sensitive to the nature of the molecular periphery. Indeed, while some of the 2-(azin-2-yl)oxyethyl-substituted compounds (3a, 3c, 3h) were virtually inactive (except for some weak activity against Staphylococcus aureus ATCC 25923), closely related analogs 3il were substantially more active, with 3jl being equipotent or even more potent towards Acinetobacter baumannii 987® compared to ciprofloxacin. For the high potency towards the latter strain, no periphery around the 1-oxa-9-azaspiro[5.5]undecane spirocycles (3e) or small substituents such as ethoxy (3g), amino (3l), methoxy (3r) or hydroxy (3u) appears to suffice. At the same time, rather elaborate periphery groups (3op, 3vw, 3z, 3aa3ab, 3ad, 3af) also resulted in high activity against Acinetobacter baumannii 987®. An interesting observation could be made about the basic character of peripheral R groups in compounds 3. The spectrum of bactericidal activity appears to be broader for protonatable (cf. 3f, 3n, 3ag) or hydrogen-bond-donating (3u) substituents. With respect to broader, ciprofloxacin-like (albeit overall weaker) profiles, 1,2,4-oxadiazoles (3d, 3acad) appear to stand out, with compound 3d being the one that displayed activity against all five strains.

3. Materials and Methods

3.1. Compound Synthesis

NMR spectra were acquired with a 300 MHz Bruker Avance spectrometer (300.13 MHz for 1H and 75.5 MHz for 13C) in CDCl3 or DMSO-d6 and were referenced to residual solvent proton signals (δH = 7.26 and 2.50, respectively) and solvent carbon signals (δC = 77.16 and 39.52, respectively). Multiplicities are abbreviated as follows: s = singlet, d = doublet, t = triplet, q = quartet, m = multiplet, br = broad, dd = doublet of doublets, dt = doublet of triplets, ddd = doublet/doublets of doublets; coupling constants, J, are reported in Hz. Mass spectra were acquired with an HRMS-ESI-qTOF spectrometer Nexera LCMS9030 or MaXis II Bruker Daltonic GmbH (electrospray ionization mode, positive ions detection). Flash column chromatography on silica (Merck, 230–400 mesh) was performed with a Biotage Isolera Prime instrument. TLC was performed on aluminum-backed pre-coated plates (0.25 mm) with silica gel 60 F254 with a suitable solvent system and was visualized using UV fluorescence.

3.1.1. 4-[2-(Pyridin-2-yloxy)ethyl]-1-oxa-9-azaspiro[5.5]undecane Ditrifluoroacetate (2a)

To a 0 °C suspension of NaH (60% dispersion in mineral oil, 0.22 g, 5.6 mmol) in dry DMF (100 mL) a solution of tert-butyl 4-(2-hydroxyethyl)-1-oxa-9-azaspiro[5.5]udecan-9-carboxylate (4, 1.0 g, 3.3 mmol) in DMF (20 mL) was added under argon while stirring. After 30 min of stirring at 0 °C, a solution of 2-chloropyridin (5.0 mmol) in DMF (10 mL) was added. The reaction mixture was allowed to reach room temperature and was stirred at that temperature for 16 h. It was poured into water (200 mL) and the resulting mixture was extracted with ethyl acetate (3 × 200 mL). The combined organic extracts were washed with 5% aqueous citric acid, 5% aqueous NaHCO3 brine and filtered. The filtrate was dried over anhydrous Na2SO4, filtered and concentrated in vacuo. The residue was dissolved in DCM (10 mL), cooled to 0 °C and treated with trifluoroacetic acid (3 mL). After stirring at 0 °C over 6 h, the reaction mixture was evaporated to dryness, triturated with ether (3×), filtered and dried in vacuo. Yield: 0.56 g (1.11 mmol), 34%. 1H-NMR (300 MHz, DMSO-d6) δ 8.50 (br.s, 1H), 8.30 (br.s, 1H), 8.14 (ddd, J = 5.0, 2.0, 0.8 Hz, 1H), 7.69 (ddd, J = 8.4, 7.1, 2.0 Hz, 1H), 6.96 (ddd, J = 7.1, 5.1, 0.9 Hz, 1H), 6.79 (dt, J = 8.4, 0.9 Hz, 1H), 4.30 (t, J = 6.7 Hz, 2H), 3.71–3.64 (m, 1H), 3.50 (td, J = 12.3, 1.9 Hz, 1H), 3.12–3.00 (m, 3H), 2.92–2.78 (m, 1H), 2.37–2.29 (m, 1H), 1.93–1.79 (m, 1H), 1.72–1.54 (m, 6H), 1.42 (ddd, J = 14.9, 12.6, 4.2 Hz, 1H), 1.24–0.99 (m, 2H). 13C-NMR (75 MHz, CDCl3) δ 163.21, 158.35 (q, J = 37.4 Hz), 146.7, 139.3, 116.9, 115.4 (q, J = 290.2 Hz), 110.7, 68.1, 62.9, 60.1, 41.8, 35.6, 35.4, 32.1, 26.6, 25.6. MS m/z 278.4 (M + H+).

3.1.2. 4-[(3-Ethyl-1,2,4-oxadiazol-5-yl)methyl]-1-oxa-9-azaspiro[5.5]undecane Hydrochloride (2d)

9-(tert-Butoxycarbonyl)-1-oxa-9-azaspiro[5.5]undec-4-yl]acetic acid (5, 8.0 g, 25.5 mmol) in THF (70 mL) was treated with N-methylmorpholine (3.09 g, 30.6 mmol) and the mixture was cooled to –30 °C. Isobutyl chloroformate (3.99 g, 29.3 mmol) was added dropwise and the mixture was left to stir at –30 °C for 30 min. N’-Hydroxypropanimidamide (2.18 g, 24.7 mmol) was added at –5 °C and the stirring continued at r. t. overnight. The reaction mixture was filtered and the filtrate was concentrated on a rotary evaporator. The residue was taken up in toluene (50 mL), TBAF (0.6 g) was added and the mixture was brought to reflux with the azeotropic removal of water and heated at reflux for 9 h. Upon cooling to r. t., toluene was removed in vacuo. The residue was dissolved in ethyl acetate and the solution was washed with 10% aqueous K2CO3 (2 × 20 mL). The organic phase was dried over Na2SO4, filtered and concentrated in vacuo. The residue was fractionated on a silica gel column eluted with 25–100% ethyl acetate in petroleum ether. Fractions containing the reaction product (according to TLC analysis) were pooled and concentrated in vacuo. The residue was treated with 4M HCl in 1,4-dioxane (15 mL) at 0 °C and the mixture was stirred for 6 h. The volatiles were removed in vacuo to afford the title compound. Yield: 6.34 g (21 mmol), 85%. m.p. 140–142 °C, 1H-NMR (300 MHz, DMSO-d6) δ 9.14 (br.s, 2H), 3.67 (dd, J = 11.7, 4.4 Hz, 1H), 3.56–3.46 (m, 1H), 3.04–2.97 (m, 3H), 2.84–2.78 (m, 3H), 2.68 (q, J = 7.5 Hz, 2H), 2.39–2.32 (m, 1H), 2.27–2.14 (m, 1H), 1.83–1.71 (m, 1H), 1.56 (d, J = 12.6 Hz, 4H), 1.21 (t, J = 7.5 Hz, 3H), 1.24–1.16 (m, 1H), 1.16–1.06 (m, 1H). 13C-NMR (75 MHz, DMSO-d6) δ 178.0, 171.1, 68.3, 59.8, 41.2, 40.3, 38.8, 35.0, 32.5, 31.5, 28.3, 25.3, 19.0, 11.1. MS m/z 266.4 (M + H+).

3.1.3. N-Benzyl-N-cyclopropyl-1-oxa-9-azaspiro[5.5]undecan-4-amine Hydrochloride (2ab)

Tert-butyl 4-oxo-1-oxa-9-azaspiro[5.5]undecane-9-carboxylate (6, 2.0 g, 7.43 mmol) and cyclopropylamine (0.47 g, 8.15 mmol) in dichloromethane (50 mL) were treated with sodium triacetoxyborohydride (3.94 g, 18.6 mmol) with stirring. The reaction mixture was stirred overnight, poured into aqueous K2CO3 and extracted with dichloromethane (3 × 50 mL). The combined organic extracts were dried over anhydrous Na2SO4, filtered and concentrated in vacuo. The residue was taken up in dichloromethane (80 mL), treated with benzaldehyde (0.79 g, 7.43 mmol) and sodium triacetoxyborohydride (3.94 g, 18.6 mmol) with stirring. The reaction mixture was stirred overnight, poured into aqueous K2CO3 and extracted with dichloromethane (3 × 50 mL). The combined organic extracts were dried over anhydrous Na2SO4, filtered and concentrated in vacuo. The residue was fractionated on a silica gel column eluted with 0 → 10% MeOH in dichloromethane. Fractions containing the product (TLC and LCMS analysis) were pooled and concentrated in vacuo. The residue was treated with 4M HCl in 1,4-dioxane (6 mL) at 0 °C and the mixture was stirred for 6 h. The volatiles were removed on a rotary evaporator to give the title compound. Yield: 1.6 g (5.35 mmol), 72%; m.p. 221–223 °C; 1H-NMR (300 MHz, DMSO-d6) δ 11.22 (br.s, 1H), 9.15 (s, 2H), 7.72–7.62 (m, 2H), 7.48–7.39 (m, 3H), 4.40 (s, 2H), 3.83 (dd, J = 11.6, 4.0 Hz, 1H), 3.63–3.49 (m, 3H), 3.07–2.99 (m, 2H), 2.85–2.57 (m, 2H), 2.38–2.10 (m, 3H), 2.00–1.83 (m, 2H), 1.81–1.66 (m, 2H), 1.63–1.47 (m, 1H), 1.33–1.27 (m, 1H), 0.87–0.73 (m, 2H), 0.63–0.50 (m, 1H). 13C-NMR (75 MHz, DMSO-d6) δ 142.6, 132.0, 128.5, 126.5, 69.6, 62.8, 59.2, 59.2, 58.1, 57.7, 54.9, 54.4, 38.7, 35.8, 35.4, 35.0, 34.1, 33.7, 27.6, 27.2, 25.3, 5.4, 5.1, 4.5, 4.2. MS m/z 302.4 (M + H+).

3.1.4. N-Cyclopropyl-N-1-oxa-9-azaspiro[5.5]undec-4-ylbenzamide Hydrochloride (2af)

Tert-butyl 4-oxo-1-oxa-9-azaspiro[5.5]undecane-9-carboxylate (6, 2.0 g, 7.43 mmol) and cyclopropylamine (0.47 g, 8.15 mmol) in dichloromethane (50 mL) was treated with sodium triacetoxyborohydride (3.94 g, 18.6 mmol) with stirring. The reaction mixture was stirred overnight, poured into aqueous K2CO3 and extracted with dichloromethane (3 × 50 mL). The combined organic extracts were dried over anhydrous Na2SO4, filtered and concentrated in vacuo. The residue was taken up in dichloromethane (80 mL), treated with Et3N (0.98 g, 9.66 mmol) and benzoyl chloride (1.15 g, 8.17 mmol). The reaction mixture was stirred at r. t. for 6 h, washed with water (3 × 20 mL), 5% aqueous HCl (3 × 20 mL) and 5% aqueous K2CO3 (3 × 20 mL). The organic phase was dried over anhydrous Na2SO4, filtered and concentrated in vacuo. The residue was treated with 4M HCl in 1,4-dioxane (6 mL) at 0 °C and the mixture was stirred for 6 h. The volatiles were removed on a rotary evaporator to give the title compound. Yield: 1.5 g (4.27 mmol), 58%. m.p. 194–196 °C, 1H-NMR (300 MHz, DMSO-d6) δ 9.05 (br.s, 1H), 7.48–7.44 (m, 2H), 7.43–7.38 (m, 3H), 4.41–4.31 (m, 1H), 3.79 (dd, J = 11.9, 3.7 Hz, 1H), 3.67–3.57 (m, 1H), 3.09–2.99 (m, 3H), 2.90–2.79 (m, 1H), 2.74–2.66 (m, 1H), 2.41–2.35 (m, 1H), 2.13–1.96 (m, 1H), 1.87–1.76 (m, 4H), 1.70–1.62 (m, 2H), 0.49 (d, J = 7.1 Hz, 2H), 0.40–0.28 (m, 3H). 13C-NMR (75 MHz, DMSO-d6) δ 171.8, 138.2, 129.2, 127.8, 127.1, 69.6, 60.1, 51.0, 38.9, 35.2, 30.3, 28.6, 25.3, 9.7, 9.5. MS m/z 316.4 (M + H+).

3.1.5. 1-Cyclopropyl-3-(1-methylethyl)-1-(1-oxa-9-azaspiro[5.5]undec-4-yl)urea Dihydrochloride (2ah)

Tert-butyl 4-oxo-1-oxa-9-azaspiro[5.5]undecane-9-carboxylate (6, 2.0 g, 7.43 mmol) and cyclopropylamine (0.47 g, 8.15 mmol) in dichloromethane (50 mL) was treated with sodium triacetoxyborohydride (3.94 g, 18.6 mmol) with stirring. The reaction mixture was stirred overnight, poured into aqueous K2CO3 and extracted with dichloromethane (3 × 50 mL). The combined organic extracts were dried over anhydrous Na2SO4, filtered and concentrated in vacuo. The residue was taken up in 1,4-dioxane (80 mL) and treated with isopropyl isocyanate (0.7 g, 8.17 mmol). The reaction mixture was stirred at r. t. for 6 h, and washed with water (3 × 20 mL), 5% aqueous HCl (3 × 20 mL) and 5% aqueous K2CO3 (3 × 20 mL). The organic phase was dried over anhydrous Na2SO4, filtered and concentrated in vacuo. The residue was treated with 4M HCl in 1,4-dioxane (6 mL) at 0 °C and the mixture was stirred for 6 h. The volatiles were removed on a rotary evaporator to give the title compound. Yield: 2.13 g (5.79 mmol), 78%. m.p. 186–188 °C, 1H-NMR (300 MHz, DMSO-d6) δ 9.28–9.03 (m, 2H), 4.23 (br.s, 2H), 4.09–4.03 (m, 1H), 3.76–3.67 (m, 2H), 3.56–3.48 (m, 1H), 2.99 (br.s, 2H), 2.85–2.74 (m, 1H), 2.37–2.30 (m, 1H), 2.29–2.25 (m, 1H), 1.95–1.88 (m, 1H), 1.78–1.71 (m, 1H), 1.63–1.59 (m, 2H), 1.54–1.49 (m, 2H), 1.06 (d, J = 6.5 Hz, 6H), 0.83 (d, J = 5.0 Hz, 2H), 0.55 (d, J = 2.7 Hz, 2H). 13C-NMR (75 MHz, DMSO-d6) δ 158.3, 69.7, 62.3, 60.6, 50.4, 42.0, 40.5, 40.4, 39.1, 35.4, 31.1, 25.6, 25.4, 23.2, 9.2, 9.1. MS m/z 297.4 (M + H+).

3.1.6. 1-Cyclopropyl-3-ethyl-1-(1-oxa-9-azaspiro[5.5]undec-4-yl)urea Dihydrochloride (2ai)

The compound was prepared analogously to compound 2ah using ethyl isocyanate. Yield: 2.32 g (6.54 mmol), 88%. m.p. 197–199 °C 1H-NMR (300 MHz, DMSO-d6) δ 9.22–9.00 (m, 2H), 4.13–4.03 (m, 1H), 3.73–3.67 (m, 1H), 3.57–3.48 (m, 1H), 3.10–2.93 (m, 5H), 2.86–2.73 (m, 1H), 2.37–2.21 (m, 2H), 2.00–1.85 (m, 1H), 1.81–1.69 (m, 2H), 1.63–1.47 (m, 4H), 1.00 (t, J = 7.1 Hz, 3H), 0.85–0.78 (m, 2H), 0.55 (d, J = 2.3 Hz, 2H). 13C-NMR (75 MHz, DMSO-d6) δ 159.1, 69.8, 60.6, 50.5, 40.5, 39.2, 35.5, 35.1, 31.2, 25.6, 16.0, 9.2. MS m/z 283.4 (M + H+).

3.1.7. 1-Cyclopropyl-3-ethyl-1-(1-oxa-9-azaspiro[5.5]undec-4-yl)urea Dihydrochloride (2aj)

The compound was prepared analogously to compound 2af. Yield: 0.85 g (2.94 mmol), 68%. m.p. 178–180 °C, 1H-NMR (300 MHz, DMSO-d6) δ 9.20–9.04 (m, 2H), 4.26–4.15 (m, 1H), 3.72 (dd, J = 11.9, 4.7 Hz, 1H), 3.59–3.50 (m, 1H), 3.07–2.92 (m, 3H), 2.86–2.73 (m, 1H), 2.61–2.54 (m, 1H), 2.36 (dd, J = 14.5, 2.0 Hz, 1H), 2.08 (s, 3H), 2.03–1.92 (m, 1H), 1.83–1.72 (m, 2H), 1.63–1.51 (m, 4H), 0.85–0.79 (m, 2H), 0.76–0.71 (m, 2H). 13C-NMR (75 MHz, DMSO-d6) δ 173.2, 69.8, 60.4, 50.4, 39.8, 39.1, 39.0, 35.4, 30.5, 28.7, 25.4, 23.8, 9.2. MS m/z 254.4 (M + H+).

3.1.8. 7-Chloro-1-cyclopropyl-6-fluoro-4-oxo-1,4-dihydroquinoline-3-carboxylic Acid Ethyl Ester (8)

7-Chloro-1-cyclopropyl-6-fluoro-4-oxo-1,4-dihydroquinoline-3-carboxylic acid (7, 17.8 mmol) was dissolved in DMF (300 mL) and treated with K2CO3 (28.4 mmol). After 30 min of stirring, ethyl bromide (135 mmol) was added and stirring continued for 10 h. DMF was removed in vacuum and the residue was washed with water (2 × 50 mL) and filtered. The residue was air-dried and then dried in vacuo [21]. Yield—5 g (91%), white solid, m.p. 121–123°. 1H-NMR (300 MHz, DMSO-d6) δ 8.47 (s, 1H), 8.28 (d, J = 4.6 Hz, 1H), 7.98 (d, J = 8.6 Hz, 1H), 4.22 (d, J = 6.5 Hz, 2H), 3.67 (s, 1H), 1.28 (s, 5H), 1.12 (s, 2H). MS m/z 311.6 (M + H+).

3.1.9. 8-Chloro-6-cyclopropyl-2,2-diacetoxy-9-fluoro-4-oxo-4,6-dihydro-2H-[1,3,2]-dioxaborinino[5,4-c]-quinolin-1-ium-2-uide (9)

The reaction mixture consisting of H3BO3 (48 mmol), Ac2O (146 mmol) and ZnCl2 (0.4 mmol) was stirred at r. t. for 30 min. 7-Chloro-1-cyclopropyl-6-fluoro-4-oxo-1,4-dihydroquinoline-3-carboxylic acid ethyl ester (8, 5 g) was added and the stirring continued at 60 °C for 2 h. The volatiles were removed in vacuo. The residue was washed with ethyl acetate (50 mL) and water (50 mL) and dried in vacuo. Yield—6.27 g (94.7%), white solid, m.p. 113–115 °C. 1H-NMR (300 MHz, DMSO-d6) δ 9.24–9.22 (m, 1H), 8.87 (d, J = 6.1 Hz, 1H), 8.38 (d, J = 8.6 Hz, 1H), 4.24–4.14 (m, 1H), 1.91 (s, 6H), 1.44 (d, J = 6.5 Hz, 4H). 13C-NMR (75 MHz, DMSO-d6) δ 171.2, 169.1 (d, J = 3.7 Hz), 159.2, 156.2 (d, J = 253.4 Hz), 149.4, 138.8 (d, J = 1.4 Hz), 130.0 (d, J = 20.5 Hz), 122.4, 121.1 (d, J = 8.5 Hz), 110.9 (d, J = 23.8 Hz), 108.4, 38.6, 22.8, 7.9. MS m/z 411.6 (M + H+).

3.1.10. General Procedure for the Preparation of Compounds 3aaj

Compound 9 (0.24 mmol) was dissolved in acetonitrile (10 mL) and treated, with stirring, with spirocyclic amine 2 (0.47 mmol) and triethylamine (0.28 mmol). The stirring continued at 60 °C for 10 h. The volatiles were removed in vacuo. The residue was fractionated on a silica gel column eluted with 0 → 20% methanol in dichloromethane. Fractions containing the product (by TLC analysis) were pooled and concentrated in vacuo. The residues was dissolved in 2% aqueous NaOH and left to stir at r. t. overnight. The reaction mixture was acidified with 5% aqueous citric acid to pH 4–5. The resulting precipitate was filtered off, washed with water and air-dried.
1-Cyclopropyl-6-fluoro-4-oxo-7-(4-(2-(pyridine-2-yloxy)-ethyl)-1-oxa-9-azaspiro[5.5]undec-9-yl)-1,4-dihydroquinoline-3-carboxylic Acid (3a)
Yield—100 mg (44%), white solid, m.p. 170–172 °C. 1H-NMR (300 MHz, CDCl3) δ 15.10 (s, 1H), 8.74 (s, 1H), 8.14 (d, J = 3.6 Hz, 1H), 7.97 (d, J = 13.1 Hz, 1H), 7.61–7.53 (m, 1H), 7.37 (d, J = 7.1 Hz, 1H), 6.93–6.82 (m, 1H), 6.72 (d, J = 8.3 Hz, 1H), 4.35 (t, J = 6.4 Hz, 2H), 3.80 (dd, J = 11.5, 4.6 Hz, 1H), 3.64 (t, J = 11.4 Hz, 1H), 3.55–3.39 (m, 3H), 3.32 (td, J = 11.7, 2.7 Hz, 1H), 3.11 (t, J = 11.3 Hz, 1H), 2.40 (br.d, J = 13.1 Hz, 1H), 2.04–1.93 (m, 1H), 1.92–1.76 (m, 2H), 1.74–1.69 (m, 3H), 1.67–1.52 (m, 2H), 1.42–1.34 (m, 2H), 1.33–1.27 (m, 1H), 1.26–1.16 (m, 3H); 13C-NMR (75 MHz, CDCl3) δ 177.0 (d, J = 2.5 Hz), 167.2, 163.9, 153.7 (d, J = 251.3 Hz), 147.2, 146.9, 146.5 (d, J = 10.3 Hz), 139.2, 138.7, 119.2 (d, J = 7.9 Hz), 116.8, 112.0 (d, J = 23.4 Hz), 111.1, 107.8, 104.9 (d, J = 3,3 Hz), 69.8, 63.1, 60.8, 45.7, 45.7, 45.6, 43.1, 39.2, 36.3, 35.4, 32.9, 29.3, 27.4, 8.3, 8.2; HRMS (ESI) m/z calculated for C29H32FN3O5 [M + H+] 522.2399, found 522.2422.
1-Cyclopropyl-6-fluoro-4-oxo-7-(4-(4-methylbenzyl)-1-oxa-9-azaspiro[5.5]undec-9-yl)-1,4-dihydroquinoline-3-carboxylic Acid (3b)
Yield—47 mg (22%), yellow solid, m.p. 215–217 °C. 1H-NMR (300 MHz, CDCl3) δ 15.05 (s, 1H), 8.71 (s, 1H), 7.93 (d, J = 13.1 Hz, 1H), 7.37 (d, J = 6.7 Hz, 1H), 7.06 (dd, J = 19.7, 7.4 Hz, 4H), 3.82–3.71 (m, 1H), 3.63–3.28 (m, 5H), 3.11 (t, J = 11.6 Hz, 1H), 2.48 (d, J = 6.6 Hz, 2H), 2.40–2.25 (m, 4H), 1.95–1.69 (m, 3H), 1.65–1.50 (m, 3H), 1.42–1.32 (m, 2H), 1.30–1.14 (m, 4H); 13C-NMR (75 MHz, CDCl3) δ 177.1 (d, J = 2.5 Hz), 167.3, 153.8 (d, J = 251.4 Hz), 147.4, 146.5 (d, J = 10.3 Hz), 139.2, 136.7, 135.6, 129.1, 119.4 (d, J = 7.9 Hz), 112.2 (d, J = 23.5 Hz), 108.0, 105.0 (d, J = 2.3 Hz), 69.9, 60.9, 45.9, 45.8, 45.8, 45.7, 43.4, 43.1, 39.2, 35.4, 32.7, 32.5, 29.3, 21.1, 8.4, 8.3; HRMS (ESI) m/z calculated for C30H33FN2O4 [M + H+] 505.2497, found 505.2517.
1-Cyclopropyl-6-fluoro-4-oxo-7-(4-(2-(6-methylpyridin-2-yloxy)-ethyl)-1-oxa-9-azaspiro[5.5]undec-9-yl)-1,4-dihydroquinoline-3-carboxylic Acid (3c)
Yield—60 mg (27%), white solid, m.p. 150–152 °C. 1H-NMR (300 MHz, CDCl3) δ 15.14 (s, 1H), 8.74 (s, 1H), 7.97 (d, J = 13.1 Hz, 1H), 7.46 (t, J = 7.7 Hz, 1H), 7.37 (d, J = 7.2 Hz, 1H), 6.71 (d, J = 7.2 Hz, 1H), 6.51 (d, J = 8.2 Hz, 1H), 4.31 (t, J = 6.3 Hz, 2H), 3.80 (dd, J = 11.7, 4.3 Hz, 1H), 3.64 (t, J = 11.5 Hz, 1H), 3.56–3.38 (m, 3H), 3.37–3.26 (m, 1H), 3.10 (t, J = 11.2 Hz, 1H), 2.43 (s, 3H), 2.41 (br.d, J = 15.7 Hz, 1H), 2.07–1.94 (m, 1H), 1.92–1.81 (m, 1H), 1.77–1.65 (m, 5H), 1.62–1.52 (m, 1H), 1.42–1.34 (m, 2H), 1.33–1.25 (m, 1H), 1.24–1.15 (m, 3H); 13C-NMR (75 MHz, CDCl3) δ 177.1 (d, J = 1.9 Hz), 167.3, 163.4, 156,4, 153.8 (d, J = 251.3 Hz), 147.3, 146.6 (d, J = 10.4 Hz), 139.2, 138.9, 119.3 (d, J = 7.1 Hz), 115.9, 112.1 (d, J = 23.6 Hz), 107.0, 104.9 (d, J = 3.5 Hz), 69.8, 62.9, 60.9, 45.8, 45.7, 45.7, 43.2, 39.3, 36.5, 35.4, 32.7, 29.3, 27.3, 24.3, 8.3, 8.3; HRMS (ESI) m/z calculated for C30H34FN3O5 [M + H+] 536.2555, found 536.2578.
1-Cyclopropyl-7-(4-(3-ethyl(1,2,4)oxadiazol-5-ylmethyl)-1-oxa-9-azaspiro[5.5]undec-9-yl)-6-fluoro-4-oxo-1,4-dihydroquinoline-3-carboxylic Acid (3d)
Yield—125 mg (59%), white solid, m.p. 141–143 °C. 1H-NMR (300 MHz, CDCl3) δ 15.03 (s, 1H), 8.71 (s, 1H), 7.94 (d, J = 13.1 Hz, 1H), 7.42 (d, J = 6.3 Hz, 1H), 3.81 (dd, J = 11.8, 4.4 Hz, 1H), 3.64 (t, J = 11.6 Hz, 1H), 3.55–3.25 (m, 4H), 3.12 (t, J = 11.3 Hz, 1H), 2.84–2.67 (m, 4H), 2.44–2.24 (m, 2H), 1.94–1.81 (m, 1H), 1.78–1.56 (m, 4H), 1.43–1.24 (m, 7H), 1.23–1.13 (m, 2H); 13C-NMR (75 MHz, CDCl3) δ 177.7, 176.8 (d, J = 2.5 Hz), 171.6, 167.0, 153.6 (d, J = 251.4 Hz), 147.2, 146.2 (d, J = 10.3 Hz), 139.1, 119.1 (d, J = 7.9 Hz), 111.8 (d, J = 23.6 Hz), 107.7, 104.9 (d, J = 2.8 Hz), 69.7, 60.3, 45.5, 45.5, 42.4, 39.0, 35.4, 33.7, 32.2, 29.3, 29.1, 19.7, 11.3, 8.2; HRMS (ESI) m/z calculated for C27H31FN4O5 [M + H+] 511.2351, found 511.2369.
1-Cyclopropyl-6-fluoro-7-(1-oxa-9-azaspiro[5.5]undec-9-yl)-4-oxo-1,4-dihydroquinoline-3-carboxylic Acid (3e)
Yield—83 mg (50%), yellow solid, m.p. 190–192 °C. 1H-NMR (300 MHz, CDCl3) δ 15.06 (s, 1H), 8.70 (s, 1H), 7.92 (d, J = 13.2 Hz, 1H), 7.36 (d, J = 7.2 Hz, 1H), 3.69 (t, J = 5.1 Hz, 2H), 3.56–3.39 (m, 3H), 3.22 (t, J = 11.3 Hz, 2H), 2.15–2.03 (m, 2H), 1.76–1.63 (m, 4H), 1.61–1.49 (m, 4H), 1.42–1.31 (m, 2H), 1.23–1.14 (m, 2H); 13C-NMR (75 MHz, CDCl3) δ 177.2 (d, J = 2.7 Hz), 167.2, 153.9 (d, J = 251.3 Hz), 147.3, 146.6 (d, J = 10.4 Hz), 139.3, 119.4 (d, J = 7.9 Hz), 112.2 (d, J = 23.6 Hz), 108.1, 104.9 (d, J = 3.7 Hz), 69.4, 61.1, 45.8, 45.7, 36.2, 35.4, 34.1, 26.2, 18.9, 8.3; HRMS (ESI) m/z calculated for C22H25FN2O4 [M + H+] 401.1871, found 401.1889.
1-Cyclopropyl-6-fluoro-4-oxo-7-(4-(pyridin-4-yloxy)-1-oxa-9-azaspiro[5.5]undec-9-yl)-1,4-dihydroquinoline-3-carboxylic Acid (3f)
Yield—120 mg (59%), beige solid, m.p. 138–140 °C. 1H-NMR (300 MHz, CDCl3) δ 15.09 (s, 1H), 8.71 (s, 1H), 8.42 (d, J = 4.6 Hz, 2H), 7.93 (d, J = 13.0 Hz, 1H), 7.36 (d, J = 7.1 Hz, 1H), 6.81 (d, J = 5.4 Hz, 2H), 4.83–4.69 (m, 1H), 4.04–3.94 (m, 1H), 3.80–3.69 (m, 1H), 3.58–3.40 (m, 3H), 3.33–3.13 (m, 2H), 2.53 (br.s, 1H), 2.20–2.09 (m, 3H), 2.02–1.94 (m, 1H), 1.87–1.75 (m, 3H), 1.43–1.32 (m, 2H), 1.22–1.14 (m, 2H); 13C-NMR (75 MHz, CDCl3) δ 177.1 (d, J = 2.6 Hz), 167.0, 163.8, 153.7 (d, J = 251.3 Hz), 150.5, 147.3, 146.3 (d, J = 10.4 Hz), 139.1, 119.5 (d, J = 7.9 Hz), 112.2 (d, J = 23.6 Hz), 111.1, 108.1, 104.8 (d, J = 3.5 Hz), 70.4, 70.2, 58.1, 45.6, 45.6, 45.5, 45.4, 40.5, 36.2, 35.3, 33.1, 31.1, 8.2; HRMS (ESI) m/z calculated for C27H28FN3O5 [M + H+] 494.2086, found 494.2107.
1-Cyclopropyl-6-fluoro-7-(4-ethoxy-1-oxa-9-azaspiro[5.5]undec-9-yl)-4-oxo-1,4-dihydroquinoline-3-carboxylic Acid (3g)
Yield—160 mg (86%), white solid, m.p. 172–174 °C. 1H-NMR (300 MHz, CDCl3) δ 15.06 (s, 1H), 8.71 (s, 1H), 7.93 (d, J = 13.1 Hz, 1H), 7.38 (d, J = 6.9 Hz, 1H), 3.96–3.83 (m, 1H), 3.73–3.60 (m, 2H), 3.58–3.39 (m, 5H), 3.28 (t, J = 10.7 Hz, 1H), 3.15 (t, J = 11.5 Hz, 1H), 2.18–2.07 (m, 1H), 2.05–1.91 (m, 2H), 1.91–1.79 (m, 2H), 1.78–1.66 (m, 1H), 1.61–1.44 (m, 2H), 1.42–1.33 (m, 2H), 1.26–1.16 (m, 5H); 13C-NMR (75 MHz, CDCl3) δ 177.2 (d, J = 2.5 Hz), 167.2, 153.9 (d, J = 251.4 Hz), 147.4, 146.3 (d, J = 10.1 Hz), 139.2, 119.6 (d, J = 7.9 Hz), 112.3 (d, J = 23.6 Hz), 108.1, 105.2 (d, J = 2.4 Hz), 71.3, 70.7, 63.3, 59.1, 45.9, 45.9, 45.8, 45.8, 42.0, 37.4, 35.4, 32.4, 32.1, 15.7, 8.4; HRMS (ESI) m/z calculated for C24H29FN2O5 [M + H+] 445.2133, found 445.2148.
1-Cyclopropyl-6-fluoro-4-oxo-7-(4-(2-(pyrimidin-2-yloxy)-ethyl)-1-oxa-9-azaspiro[5.5]undec-9-yl)-1,4-dihydroquinoline-3-carboxylic Acid (3i)
Yield—135 mg (62%), white solid, m.p. 182–184 °C. 1H-NMR (300 MHz, CDCl3) δ 15.11 (s, 1H), 8.73 (s, 1H), 8.51 (d, J = 4.7 Hz, 2H), 7.95 (d, J = 13.1 Hz, 1H), 7.36 (d, J = 7.1 Hz, 1H), 6.94 (t, J = 4.7 Hz, 1H), 4.42 (t, J = 6.2 Hz, 2H), 3.80 (dd, J = 11.6, 4.5 Hz, 1H), 3.63 (t, J = 11.5 Hz, 1H), 3.55–3.39 (m, 3H), 3.38–3.26 (m, 1H), 3.11 (t, J = 11.1 Hz, 1H), 2.39 (br.d, J = 13.7 Hz, 1H), 2.04 (dd, J = 11.9, 6.7 Hz, 1H), 1.83 (dd, J = 11.7, 4.0 Hz, 1H), 1.79–1.72 (m, 3H), 1.71–1.62 (m, 2H), 1.61–1.53 (m, 1H), 1.41–1.34 (m, 2H), 1.33–1.25 (m, 1H), 1.26–1.21 (m, 1H), 1.22–1.15 (m, 2H); 13C-NMR (75 MHz, CDCl3) δ 176.4 (d, J = 2.6 Hz), 166.5, 164.5, 158.6, 153.0 (d, J = 251.3 Hz), 146.5, 145.7 (d, J = 10.4 Hz), 138.5, 118.6 (d, J = 7.9 Hz), 114.3, 111.5 (d, J = 23.6 Hz), 107.3, 104.1 (d, J = 3.5 Hz), 69.0, 64.0, 60.0, 45.0, 45.0, 44.9, 42.3, 38.5, 35.4, 34.6, 31.8, 28.6, 26.4, 7.5; HRMS (ESI) m/z calculated for C28H31FN4O5 [M + Na+] 545.2171, found 545.2190.
1-Cyclopropyl-7-(4-(2-(3,6-dimethylpyrazin-2-yloxy)-ethyl)-1-oxa-9-azaspiro[5.5]undec-9-yl) -6-fluoro-4-oxo-1,4-dihydroquinoline-3-carboxylic Acid (3h)
Yield—50 mg (53%), pale brown solid, m.p. 87–89 °C. 1H-NMR (300 MHz, CDCl3) δ 15.10 (s, 1H), 8.71 (s, 1H), 7.93 (d, J = 13.1 Hz, 1H), 7.83 (s, 1H), 7.36 (d, J = 7.2 Hz, 1H), 4.37 (t, J = 6.4 Hz, 2H), 3.81 (dd, J = 11.8, 4.6 Hz, 1H), 3.69–3.60 (m, 1H), 3.55–3.47 (m, 2H), 3.45–3.38 (m, 1H), 3.31 (td, J = 11.6, 2.8 Hz, 1H), 3.16–3.06 (m, 1H), 2.40 (s, 3H), 2.45–2.36 (m, 1H), 2.38 (s, 3H), 2.00–1.94 (m, 1H), 1.84 (dd, J = 11.7, 4.7 Hz, 1H), 1.78–1.73 (m, 2H), 1.73–1.69 (m, 2H), 1.65 (d, J = 8.9 Hz, 1H), 1.61–1.53 (m, 1H), 1.39–1.35 (m, 2H), 1.32–1.22 (m, 2H), 1.20–1.17 (m, 2H); 13C-NMR (75 MHz, CDCl3) δ 177.1 (d, J = 2.7 Hz), 167.3, 157.8, 153.8 (d, J = 251.3 Hz), 147.8, 147.4, 146.6 (d, J = 10.4 Hz), 140.8, 139.2, 134.1, 119.4 (d, J = 7.9 Hz), 112.2 (d, J = 23.6 Hz), 108.0, 104.9 (d, J = 3.4 Hz), 69.8, 63.4, 60.9, 45.8, 45.8, 45.7, 45.7, 43.2, 39.3, 36.2, 35.4, 32.8, 29.3, 27.6, 20.8, 18.8, 8.4, 8.3; HRMS (ESI) m/z calculated for C30H35FN4O5 [M + H+] 551.2664, found 551.2673.
1-Cyclopropyl-6-fluoro-4-oxo-7-(4-(2-(5-trifluoromethylpyridin-2-yloxy)-ethyl)-1-oxa-9-azaspiro[5.5]undec-9-yl)-1,4-dihydroquinoline-3-carboxylic Acid (3j)
Yield—65 mg (29%), white solid, m.p. 95–97 °C. 1H-NMR (300 MHz, CDCl3) δ 15.09 (s, 1H), 8.74 (s, 1H), 8.42 (s, 1H), 7.97 (d, J = 13.2 Hz, 1H), 7.77 (d, J = 8.0 Hz, 1H), 7.37 (d, J = 7.1 Hz, 1H), 6.81 (d, J = 8.7 Hz, 1H), 4.42 (t, J = 6.2 Hz, 2H), 3.87–3.76 (m, 1H), 3.64 (t, J = 11.7 Hz, 1H), 3.56–3.40 (m, 3H), 3.32 (t, J = 10.9 Hz, 1H), 3.11 (t, J = 11.6 Hz, 1H), 2.40 (br.d, J = 14.2 Hz, 1H), 2.00–1.91 (m, 1H), 1.89–1.81 (m, 1H), 1.77–1.69 (m, 4H), 1.66–1.62 (m, 1H), 1.61–1.53 (m, 1H), 1.42–1.30 (m, 3H), 1.26–1.15 (m, 3H); 13C-NMR (75 MHz, CDCl3) δ 177.2 (d, J = 2.6 Hz), 167.3, 165.9 (q, J = 0.8 Hz), 153.9 (d, J = 251.3 Hz), 147.4, 146.6 (d, J = 10.4 Hz), 145.1 (q, J = 4.4 Hz), 139.3, 135.8 (q, J = 6.0, 2.9 Hz), 124.1 (q, J = 542.2, 271.1 Hz), 120.1 (q, J = 65.1, 32.0 Hz), 119.5 (d, J = 7.9 Hz), 112.3 (d, J = 23.6 Hz), 111.4, 108.1, 105.0 (d, J = 3.5 Hz), 69.8, 64.1, 60.8, 45.9, 45.8, 45.7, 45.7, 43.2, 39.3, 36.2, 35.4, 32.8, 29.4, 27.4, 8.4, 8.3; HRMS (ESI) m/z calculated for C30H31FN4O5 [M + H+] 547.2351, found 547.2039.
1-Cyclopropyl-7-(4-(2-(2-cyclopropyl-6,7-dihydro-5H-cyclopentapyrimidin-4-yloxy)-ethyl)-1-oxa-9-azaspiro[5.5]undec-9-yl)-6-fluoro-4-oxo-1,4-dihydroquinoline-3-carboxylic Acid (3k)
Yield—97 mg (39%), white solid, m.p. 97–99 °C. 1H-NMR (300 MHz, CDCl3) δ 15.13 (s, 1H), 8.74 (s, 1H), 7.97 (d, J = 13.1 Hz, 1H), 7.37 (d, J = 7.1 Hz, 1H), 4.39 (t, J = 6.2 Hz, 2H), 3.81 (dd, J = 11.4, 3.9 Hz, 1H), 3.64 (t, J = 11.7 Hz, 1H), 3.57–3.38 (m, 3H), 3.31 (t, J = 10.6 Hz, 1H), 3.09 (t, J = 11.5 Hz, 1H), 2.90 (t, J = 7.6 Hz, 2H), 2.76 (t, J = 7.3 Hz, 2H), 2.40 (br.d, J = 13.3 Hz, 1H), 2.16–2.04 (m, 3H), 1.93–1.82 (m, 2H), 1.76–1.54 (m, 6H), 1.37 (br.d, J = 5.8 Hz, 2H), 1.33–1.23 (m, 2H), 1.23–1.17 (m, 2H), 1.11–1.03 (m, 2H), 0.98 (br.d, J = 7.6 Hz, 2H); 13C-NMR (75 MHz, CDCl3) δ 176.9 (d, J = 2.3 Hz), 174.4, 170.6, 167.1, 165.6, 153.7 (d, J = 251.4 Hz), 147.2, 146.4 (d, J = 10.4 Hz), 139.2, 119.1 (d, J = 7.6 Hz), 116.3, 111.9 (d, J = 23.8 Hz), 107.8, 104.8 (d, J = 2.9 Hz), 69.7, 63.0, 60.8, 45.7, 45.6, 45.6, 43.1, 39.2, 36.1, 35.4, 34.1, 32.8, 29.3, 27.5, 26.4, 21.9, 17.8, 10.0, 8.2; HRMS (ESI) m/z calculated for C34H39FN4O5 [M + H+] 603.2977, found 603.3007.
1-Cyclopropyl-6-fluoro-7-(4-(2-(3-methylpyrazin-2-yloxy)-ethyl)-1-oxa-9-azaspiro[5.5]undec-9-yl)-4-oxo-1,4-dihydroquinoline-3-carboxylic Acid (3l)
Yield—55 mg (25%), white solid, m.p. 86–88 °C. 1H-NMR (300 MHz, CDCl3) δ 15.08 (s, 1H), 8.72 (s, 1H), 8.01–7.87 (m, 3H), 7.36 (d, J = 7.2 Hz, 1H), 4.38 (t, J = 6.6 Hz, 2H), 3.81 (dd, J = 11.8, 4.4 Hz, 1H), 3.65 (t, J = 11.3 Hz, 1H), 3.56–3.47 (m, 2H), 3.41 (br.s, 1H), 3.32 (td, J = 11.7, 2.9 Hz, 1H), 3.18–3.05 (m, 1H), 2.46 (s, 3H), 2.50–2.35 (m, 1H), 1.98–1.81 (m, 2H), 1.77–1.66 (m, 5H), 1.63–1.55 (m, 1H), 1.41–1.35 (m, 2H), 1.35–1.29 (m, 1H), 1.28–1.23 (m, 1H), 1.21–1.16 (m, 2H); 13C-NMR (75 MHz, CDCl3) δ 177.1 (d, J = 2.6 Hz), 167.2, 158.5, 153.7 (d, J = 251.3 Hz), 147.3, 146.5 (d, J = 10.4 Hz), 144.8, 139.1, 138.1, 135.5, 119.4 (d, J = 7.9 Hz), 112.2 (d, J = 23.6 Hz), 108.0, 104.8 (d, J = 3.5 Hz), 69.7, 63.6, 60.7, 45.7, 45.7, 45.6, 45.6, 43.0, 39.2, 36.0, 35.3, 32.7, 29.2, 27.6, 19.4, 8.3, 8.2; HRMS (ESI) m/z calculated for C29H33FN4O5 [M + H+] 537.2508, found 537.2531.
7-(4-tert-Butoxycarbonylamino-1-oxa-9-azaspiro[5.5]undec-9-yl)-1-cyclopropyl-6-fluoro-4-oxo-1,4-dihydroquinoline-3-carboxylic Acid (3m)
Yield—110 mg (51%), white solid, m.p. 246–248 °C. 1H-NMR (300 MHz, CDCl3) δ 15.01 (s, 1H), 8.73 (s, 1H), 7.97 (d, J = 13.1 Hz, 1H), 7.42 (d, J = 6.9 Hz, 1H), 4.38 (br.s, 1H), 3.93–3.77 (m, 2H), 3.68 (t, J = 11.6 Hz, 1H), 3.56–3.41 (m, 3H), 3.40–3.28 (m, 1H), 3.15 (t, J = 11.2 Hz, 1H), 2.34 (br.d, J = 13.8 Hz, 1H), 2.01–1.86 (m, 3H), 1.80–1.69 (m, 2H), 1.44 (s, 9H), 1.43–1.35 (m, 3H), 1.26–1.16 (m, 3H); 13C-NMR (75 MHz, CDCl3) δ 177.1 (d, J = 2.6 Hz), 167.2, 155.2, 153.8 (d, J = 251.4 Hz), 147.4, 146.3 (d, J = 10.2 Hz), 139.2, 119.5 (d, J = 7.8 Hz), 112.2 (d, J = 23.6 Hz), 108.0, 105.1 (d, J = 2.5 Hz), 79.7, 60.1, 45.8, 45.7, 45.6, 45.6, 43.6, 43.1, 39.0, 35.4, 33.5, 29.5, 28.5, 8.3; HRMS (ESI) m/z calculated for C27H34FN3O6 [M + H+] 516.2504, found 516.2486.
7-(4-Amino-1-oxa-9-azaspiro[5.5]undec-9-yl)-1-cyclopropyl-6-fluoro-4-oxo-1,4-dihydroquinoline-3-carboxylic Acid (3n)
Yield—60 mg (35%), brown solid, m.p. 131–133 °C. 1H-NMR (300 MHz, D2O) δ 8.53 (s, 1H), 7.32 (br.s, 1H), 7.15 (d, J = 6.3 Hz, 1H), 4.00 (br.s, 1H), 3.97–3.87 (m, 1H), 3.82 (br.s, 1H), 3.70–3.36 (m, 3H), 3.33–3.09 (m, 2H), 2.51–2.35 (m, 1H), 2.25–2.11 (m, 2H), 2.00 (br.s, 1H), 1.92–1.73 (m, 3H), 1.70–1.60 (m, 1H), 1.46 (br.s, 2H), 1.15 (br.s, 2H); 13C-NMR (75 MHz, D2O) δ 175.8, 169.4, 153.6 (d, J = 251.4 Hz), 148.1, 146.2 (d, J = 7.5 Hz), 139.3, 117.6 (d, J = 3.5 Hz), 110.6 (d, J = 24.3 Hz), 106.1, 105.9, 72.1, 59.6, 45.8, 45.8, 45.7, 45.7, 44.8, 39.6, 38.3, 36.6, 30.5, 29.1, 8.0; HRMS (ESI) m/z calculated for C22H26FN3O4 [M + H+] 416.1980, found 416.1996.
7-(4-(Benzyloxycarbonylaminomethyl)-1-oxa-9-azaspiro[5.5]undec-9-yl)-1-cyclopropyl-6-fluoro-4-oxo-1,4-dihydroquinoline-3-carboxylic Acid (3o)
Yield—220 mg (93%), white solid, m.p. 102–104 °C. 1H-NMR (300 MHz, CDCl3) δ 15.09 (s, 1H), 8.73 (s, 1H), 7.96 (d, J = 13.1 Hz, 1H), 7.42–7.31 (m, 6H), 5.10 (s, 2H), 4.92 (br.s, 1H), 3.81 (dd, J = 11.6, 4.3 Hz, 1H), 3.61 (t, J = 11.9 Hz, 1H), 3.56–3.39 (m, 3H), 3.37–3.26 (m, 1H), 3.17–3.02 (m, 3H), 2.34 (br.d, J = 13.2 Hz, 1H), 1.93 (d, J = 13.8 Hz, 1H), 1.84 (dd, J = 11.5, 3.9 Hz, 1H), 1.71 (d, J = 14.6 Hz, 2H), 1.61 (d, J = 13.8 Hz, 2H), 1.42–1.33 (m, 2H), 1.28–1.10 (m, 4H); 13C-NMR (75 MHz, CDCl3) δ 176.9 (d, J = 2.6 Hz), 167.1, 156.6, 153.6 (d, J = 251.3 Hz), 147.2, 146.3 (d, J = 10.3 Hz), 139.1, 136.5, 128.5, 128.1, 128.0, 119.1 (d, J = 7.9 Hz), 111.9 (d, J = 23.6 Hz), 107.8, 104.8 (d, J = 3.4 Hz), 69.6, 66.7, 60.4, 47.1, 45.6, 45.6, 45.6, 40.2, 39.1, 35.3, 31.2, 30.2, 29.2, 8.2; HRMS (ESI) m/z calculated for C31H34FN3O6 [M + H+] 564.2504, found 564.2488.
1-Cyclopropyl-6-fluoro-7-(4-(3-fluorobenzyloxy)-1-oxa-9-azaspiro[5.5]undec-9-yl)-4-oxo-1,4-dihydroquinoline-3-carboxylic Acid (3p)
Yield—58 mg (27%), brown solid, m.p. 78–80 °C. 1H-NMR (300 MHz, CDCl3) δ 15.01 (s, 1H), 8.73 (s, 1H), 7.97 (d, J = 13.1 Hz, 1H), 7.44 (d, J = 7.0 Hz, 1H), 7.35–7.27 (m, 1H), 7.13–7.03 (m, 2H), 7.03–6.92 (m, 1H), 4.56 (s, 2H), 3.93 (dt, J = 11.9, 4.5 Hz, 1H), 3.85–3.72 (m, 1H), 3.68–3.58 (m, 1H), 3.56–3.40 (m, 3H), 3.36–3.25 (m, 1H), 3.25–3.13 (m, 1H), 2.09 (br.d, J = 12.9 Hz, 2H), 2.03–1.95 (m, 1H), 1.95–1.90 (m, 1H), 1.90–1.86 (m, 1H), 1.85–1.74 (m, 1H), 1.72–1.64 (m, 1H), 1.64–1.57 (m, 1H), 1.42–1.34 (m, 2H), 1.24–1.15 (m, 2H); 13C-NMR (75 MHz, CDCl3) δ 177.1 (d, J = 2.6 Hz), 167.1, 163.1 (d, J = 245.9 Hz), 153.8 (d, J = 251.4 Hz), 147.4, 146.3 (d, J = 10.2 Hz), 141.4 (d, J = 7.1 Hz), 139.2, 130.1 (d, J = 8.2 Hz), 122.8 (d, J = 2.9 Hz), 119.6 (d, J = 7.9 Hz), 114.5 (d, J = 19.8 Hz), 114.2 (d, J = 20.3 Hz), 112.3 (d, J = 23.6 Hz), 108.1, 105.2 (d, J = 2.9 Hz), 71.6, 70.6, 69.3, 69.3, 58.9, 45.9, 45.9, 45.8, 45.7, 41.8, 37.1, 35.4, 32.5, 32.1, 8.3; HRMS (ESI) m/z calculated for C29H30F2N2O5 [M + H+] 525.2196, found 525.2212.
1-Cyclopropyl-6-fluoro-4-oxo-7-(4-(pyridin-2-yloxy)-1-oxa-9-azaspiro[5.5]undec-9-yl)-1,4-dihydroquinoline-3-carboxylic Acid (3q)
Yield—110 mg (54%), white solid, m.p. 118–120 °C. 1H-NMR (300 MHz, CDCl3) δ 15.12 (s, 1H), 8.73 (s, 1H), 8.12 (d, J = 3.7 Hz, 1H), 7.95 (d, J = 13.1 Hz, 1H), 7.64–7.49 (m, 1H), 7.37 (d, J = 7.1 Hz, 1H), 6.94–6.79 (m, 1H), 6.70 (d, J = 8.3 Hz, 1H), 5.48–5.35 (m, 1H), 4.05–3.89 (m, 1H), 3.83–3.72 (m, 1H), 3.56–3.39 (m, 3H), 3.34–3.14 (m, 2H), 2.24 (d, J = 12.9 Hz, 1H), 2.15–1.99 (m, 3H), 1.91–1.76 (m, 3H), 1.73–1.68 (m, 1H), 1.43–1.32 (m, 2H), 1.25–1.14 (m, 2H); 13C-NMR (75 MHz, CDCl3) δ 177.0 (d, J = 2.6 Hz), 167.1, 162.9, 153.7 (d, J = 251.3 Hz), 147.2, 146.9, 146.4 (d, J = 10.3 Hz), 139.2, 138.8, 119.2 (d, J = 7.9 Hz), 116.8, 112.0 (d, J = 23.6 Hz), 111.7, 107.8, 104.9 (d, J = 3.4 Hz), 70.8, 67.5, 58.9, 45.8, 45.7, 45.6, 45.5, 41.2, 37.1, 35.4, 32.4, 31.9, 8.3; HRMS (ESI) calculated for C27H28FN3O5 [M + H+] 494.2086, found 494.2108.
1-Cyclopropyl-6-fluoro-7-(4-methoxy-1-oxa-9-azaspiro[5.5]undec-9-yl)-4-oxo-1,4-dihydroquinoline-3-carboxylic Acid (3r)
Yield—84 mg (47%), white solid, m.p. 182–184 °C. 1H-NMR (300 MHz, CDCl3) δ 15.01 (s, 1H), 8.71 (s, 1H), 7.94 (d, J = 13.1 Hz, 1H), 7.41 (d, J = 6.7 Hz, 1H), 3.95–3.85 (m, 1H), 3.67–3.60 (m, 1H), 3.57–3.39 (m, 4H), 3.35 (s, 3H), 3.33–3.24 (m, 1H), 3.18 (t, J = 11.4 Hz, 1H), 2.14–1.93 (m, 3H), 1.91–1.81 (m, 2H), 1.75 (t, J = 11.7 Hz, 1H), 1.61–1.45 (m, 2H), 1.43–1.32 (m, 2H), 1.19 (br.s, 2H); 13C-NMR (75 MHz, CDCl3) δ 177.2 (d, J = 2.6 Hz), 167.2, 153.9 (d, J = 251.5 Hz), 147.5, 146.1 (d, J = 10.8 Hz), 139.2, 119.8 (d, J = 5.4 Hz), 112.4 (d, J = 23.5 Hz), 108.1, 105.4 (d, J = 2.1 Hz), 73.1, 70.6, 59.0, 55.7, 46.0, 45.9, 45.8, 41.4, 37.1, 35.5, 32.2, 31.8, 8.4; HRMS (ESI) m/z calculated for C23H27FN2O5 [M + H+] 431.1977, found 431.1995.
1-Cyclopropyl-6-fluoro-4-oxo-7-(4-(pyrazin-2-yloxy)-1-oxa-9-azaspiro[5.5]undec-9-yl)-1,4-dihydroquinoline-3-carboxylic Acid (3s)
Yield—170 mg (83%), white solid, m.p. 128–130 °C. 1H-NMR (300 MHz, CDCl3) δ 15.08 (s, 1H), 8.72 (s, 1H), 8.18 (s, 1H), 8.11 (d, J = 2.4 Hz, 1H), 8.05 (br.s, 1H), 7.94 (d, J = 13.1 Hz, 1H), 7.37 (d, J = 6.8 Hz, 1H), 5.50–5.31 (m, 1H), 4.03–3.89 (m, 1H), 3.78 (t, J = 9.9 Hz, 1H), 3.58–3.41 (m, 3H), 3.29 (t, J = 11.1 Hz, 1H), 3.18 (t, J = 11.4 Hz, 1H), 2.24 (br.d, J = 14.7 Hz, 1H), 2.17–2.06 (m, 2H), 2.03 (br.s, 1H), 1.91–1.77 (m, 3H), 1.76–1.66 (m, 1H), 1.38 (br.d, J = 5.2 Hz, 2H), 1.19 (br.s, 2H); 13C-NMR (75 MHz, CDCl3) δ 176.8 (d, J = 0.8 Hz), 167.0, 159.4, 153.6 (d, J = 251.5 Hz), 147.2, 146.2 (d, J = 10.4 Hz), 140.5, 139.1, 136.6, 136.3, 119.1 (d, J = 7.9 Hz), 111.9 (d, J = 23.4 Hz), 107.9, 104.9 (d, J = 1.9 Hz), 70.8, 68.7, 58.7, 45.6, 45.5, 41.0, 37.1, 35.3, 32.2, 31.6, 8.2; HRMS (ESI) m/z calculated for C26H27FN4O5 [M + Na+] 517.1858, found 517.1881.
1-Cyclopropyl-6-fluoro-7-(4-methyl-1-oxa-9-azaspiro[5.5]undec-9-yl)-4-oxo-1,4-dihydroquinoline-3-carboxylic Acid (3t)
Yield—113 mg (66%), yellow solid, m.p. 131–133 °C. 1H-NMR (300 MHz, CDCl3) δ 15.09 (s, 1H), 8.72 (s, 1H), 7.95 (d, J = 13.1 Hz, 1H), 7.36 (d, J = 7.1 Hz, 1H), 3.77 (dd, J = 12.1, 4.7 Hz, 1H), 3.61 (t, J = 12.2 Hz, 1H), 3.55–3.37 (m, 3H), 3.36–3.25 (m, 1H), 3.10 (t, J = 11.1 Hz, 1H), 2.37 (br.d, J = 13.9 Hz, 1H), 1.91–1.64 (m, 4H), 1.64–1.48 (m, 3H), 1.42–1.31 (m, 2H), 1.26–1.15 (m, 3H), 0.93 (d, J = 6.4 Hz, 3H); 13C-NMR (75 MHz, CDCl3) δ 176.8 (d, J = 2.0 Hz), 167.0, 153.6 (d, J = 251.2 Hz), 147.1, 146.4 (d, J = 10.3 Hz), 139.1, 119.0 (d, J = 8.0 Hz), 111.8 (d, J = 23.7 Hz), 107.8, 104.8 (d, J = 3.2 Hz), 69.7, 60.9, 45.7, 45.7, 45.6, 44.9, 39.2, 35.3, 34.7, 29.3, 25.1, 22.5, 8.2, 8.1; HRMS (ESI) m/z calculated for C23H27FN2O4 [M + Na+] 437.1847, found 437.1861.
1-Cyclopropyl-6-fluoro-7-(4-hydroxy-1-oxa-9-azaspiro[5.5]undec-9-yl)-4-oxo-1,4-dihydroquinoline-3-carboxylic Acid (3u)
Yield—143 mg (83%), yellow solid, m.p. 250–252 °C. 1H-NMR (300 MHz, D2O) δ 8.43 (s, 1H), 7.68 (d, J = 13.6 Hz, 1H), 7.32 (d, J = 7.3 Hz, 1H), 4.08–3.93 (m, 1H), 3.86–3.75 (m, 1H), 3.62 (t, J = 11.5 Hz, 1H), 3.49–3.35 (m, 1H), 3.24–2.99 (m, 3H), 2.86 (t, J = 10.8 Hz, 1H), 2.06 (br.d, J = 14.2 Hz, 1H), 1.98–1.86 (m, 2H), 1.75 (br.s, 2H), 1.66–1.54 (m, 1H), 1.53–1.39 (m, 1H), 1.36–1.24 (m, 3H), 1.01 (br.s, 2H); 13C-NMR (75 MHz, D2O) δ 173.8 (d, J = 2.0 Hz), 170.8, 151.6 (d, J = 247.2 Hz), 145.5, 142.9 (d, J = 10.9 Hz), 136.9, 120.3 (d, J = 7.2 Hz), 115.1, 109.9 (d, J = 23.0 Hz), 104.6 (d, J = 1.9 Hz), 70.7, 62.1, 57.8, 44.4, 41.9, 36.1, 33.2, 32.8, 28.4, 6.0; HRMS (ESI) m/z calculated for C22H25FN2O5 [M + Na+] 439.1640, found 439.1652.
1-Cyclopropyl-6-fluoro-4-oxo-7-(4-(4-trifluoromethylbenzyloxy)-1-oxa-9-azaspiro[5.5]undec-9-yl)-1,4-dihydroquinoline-3-carboxylic Acid (3v)
Yield—62 mg (26%), white solid, m.p. 86–88 °C. 1H-NMR (300 MHz, CDCl3) δ 15.00 (s, 1H), 8.74 (s, 1H), 7.99 (d, J = 13.1 Hz, 1H), 7.61 (d, J = 8.0 Hz, 2H), 7.46 (d, J = 7.8 Hz, 3H), 4.63 (s, 2H), 3.99–3.89 (m, 1H), 3.86–3.75 (m, 1H), 3.70–3.59 (m, 1H), 3.56–3.40 (m, 3H), 3.32 (t, J = 11.2 Hz, 1H), 3.20 (t, J = 11.4 Hz, 1H), 2.13–1.90 (m, 5H), 1.79–1.55 (m, 3H), 1.39 (d, J = 5.5 Hz, 2H), 1.20 (s, 2H); 13C-NMR (75 MHz, CDCl3) δ 177.2 (d, J = 2.2 Hz), 167.3, 153.9 (d, J = 251.5 Hz), 147.5, 146.2 (d, J = 6.0 Hz), 142.7, 139.2, 129.9 (q, J = 65.1, 32.7 Hz), 127.5, 125.5 (q, J = 3.7 Hz), 124.2 (q, J = 272.0 Hz), 119.8 (d, J = 5.5 Hz), 112.4 (d, J = 23.5 Hz), 108.2, 105.3 (d, J = 1.5 Hz), 71.8, 70.6, 69.3, 58.9, 45.9, 45.8, 41.8, 37.1, 35.5, 32.4, 32.1, 8.4; HRMS (ESI) m/z calculated for C30H30F4N2O5 [M + Na+] 597.1983, found 597.2006.
1-Cyclopropyl-6-fluoro-7-(4-(4-fluorobenzyl)-1-oxa-9-azaspiro[5.5]undec-9-yl)-4-oxo-1,4-dihydroquinoline-3-carboxylic Acid (3w)
Yield—93 mg (44%), white solid, m.p. 87–89 °C. 1H-NMR (300 MHz, CDCl3) δ 15.05 (s, 1H), 8.74 (s, 1H), 7.96 (d, J = 12.9 Hz, 1H), 7.42 (br.s, 1H), 7.14–6.93 (m, 4H), 3.88–3.73 (m, 1H), 3.62–3.29 (m, 5H), 3.20–3.05 (m, 1H), 2.58–2.45 (m, 2H), 2.41–2.28 (m, 1H), 1.97–1.82 (m, 2H), 1.77–1.68 (m, 1H), 1.62–1.48 (m, 3H), 1.43–1.32 (m, 2H), 1.29–1.13 (m, 4H); 13C-NMR (75 MHz, CDCl3) δ 177.2 (d, J = 2.4 Hz), 167.2, 161.6 (d, J = 243.9 Hz), 153.9 (d, J = 251.5 Hz), 147.4, 146.3 (d, J = 11.3 Hz), 139.3, 135.5 (d, J = 3.2 Hz), 130.5 (d, J = 7.7 Hz), 119.7 (d, J = 7.8 Hz), 115.2 (d, J = 21.1 Hz), 112.4 (d, J = 23.7 Hz), 108.2, 105.2 (d, J = 1.7 Hz), 69.8, 60.9, 46.1, 46.0, 45.9, 45.9, 43.0, 43.0, 39.3, 35.5, 32.6, 29.4, 8.4, 8.4; HRMS (ESI) m/z calculated for C29H30F2N2O4 [M + Na+] 531.2066, found 531.2084.
1-Cyclopropyl-6-fluoro-7-(4-(4-fluorobenzyloxy)-1-oxa-9-azaspiro[5.5]undec-9-yl)-4-oxo-1,4-dihydroquinoline-3-carboxylic Acid (3x)
Yield—88 mg (38%), white solid, m.p. 89–91 °C. 1H-NMR (300 MHz, CDCl3) δ 15.04 (s, 1H), 8.74 (s, 1H), 7.98 (d, J = 13.1 Hz, 1H), 7.42 (d, J = 6.1 Hz, 1H), 7.31 (dd, J = 8.3, 5.5 Hz, 2H), 7.03 (t, J = 8.6 Hz, 2H), 4.52 (s, 2H), 3.98–3.87 (m, 1H), 3.84–3.71 (m, 1H), 3.68–3.57 (m, 1H), 3.55–3.38 (m, 3H), 3.36–3.24 (m, 1H), 3.17 (t, J = 11.7 Hz, 1H), 2.13–2.02 (m, 2H), 1.99–1.82 (m, 3H), 1.80–1.72 (m, 1H), 1.71–1.63 (m, 1H), 1.60–1.53 (m, 2H), 1.43–1.34 (m, 2H), 1.20 (br.s, 2H); 13C-NMR (75 MHz, CDCl3) δ 177.2 (d, J = 2.5 Hz), 167.2, 162.4 (d, J = 245.6 Hz), 153.9 (d, J = 251.5 Hz), 147.5, 146.1 (d, J = 6.5 Hz), 139.2, 134.3 (d, J = 3.1 Hz), 129.3 (d, J = 8.1 Hz), 119.9 (d, J = 6.9 Hz), 115.4 (d, J = 21.4 Hz), 112.5 (d, J = 23.4 Hz), 108.2, 105.5 (d, J = 2.6 Hz), 71.3, 70.6, 69.4, 59.0, 45.9, 45.9, 41.8, 37.1, 35.5, 32.3, 32.2, 8.4; HRMS (ESI) m/z calculated for C32H34FN3O5 [M + Na+] 547.2020, found 547.2018.
1-Cyclopropyl-7-(4-cyclopropylmethoxy-1-oxa-9-azaspiro[5.5]undec-9-yl)-6-fluoro-4-oxo-1,4-dihydroquinoline-3-carboxylic Acid (3y)
Yield—86 mg (44%), yellow solid, m.p. 86–88 °C. 1H-NMR (300 MHz, CDCl3) δ 15.05 (s, 1H), 8.72 (s, 1H), 7.94 (d, J = 13.1 Hz, 1H), 7.40 (d, J = 7.0 Hz, 1H), 3.89 (dt, J = 11.9, 4.2 Hz, 1H), 3.71–3.64 (m, 1H), 3.63–3.55 (m, 1H), 3.54–3.40 (m, 3H), 3.34–3.23 (m, 3H), 3.21–3.10 (m, 1H), 2.13 (d, J = 13.8 Hz, 1H), 2.05–1.93 (m, 2H), 1.91–1.83 (m, 2H), 1.77–1.67 (m, 1H), 1.64–1.53 (m, 1H), 1.53–1.45 (m, 1H), 1.42–1.34 (m, 2H), 1.22–1.15 (m, 2H), 1.12–0.97 (m, 1H), 0.66–0.48 (m, 2H), 0.29–0.14 (m, 2H); 13C-NMR (75 MHz, CDCl3) δ 176.8, (d, J = 2.4 Hz), 166.9, 153.6 (d, J = 251.4 Hz), 147.1, 146.2 (d, J = 10.3 Hz), 139.1, 119.0 (d, J = 7.9 Hz), 111.7 (d, J = 23.7 Hz), 107.7, 104.9 (d, J = 3.2 Hz), 72.6, 71.1, 70.6, 59.0, 45.7, 45.6, 45.5, 45.5, 41.8, 37.4, 35.4, 32.3, 31.9, 10.9, 8.1, 3.0; HRMS (ESI) m/z calculated for C26H31FN2O5 [M + H+] 471.2290, found 471.2310.
1-Cyclopropyl-6-fluoro-4-oxo-7-(4-(3-pyridin-3-yl(1,2,4)oxadiazol-5-ylmethyl)-1-oxa-9-azaspiro[5.5]undec-9-yl)-1,4-dihydroquinoline-3-carboxylic Acid (3z)
Yield—180 mg (77%), beige solid, m.p. 238–240 °C. 1H-NMR (300 MHz, CDCl3) δ 15.07 (s, 1H), 9.34–9.23 (m, 1H), 8.73 (dd, J = 4.9, 1.7 Hz, 1H), 8.70 (s, 1H), 8.33 (dt, J = 8.0, 1.9 Hz, 1H), 7.92 (d, J = 13.1 Hz, 1H), 7.43 (ddd, J = 8.0, 4.9, 0.7 Hz, 1H), 7.35 (d, J = 7.2 Hz, 1H), 3.84 (dd, J = 11.9, 4.3 Hz, 1H), 3.74–3.62 (m, 1H), 3.56–3.38 (m, 3H), 3.31 (td, J = 11.6, 2.9 Hz, 1H), 3.18–3.05 (m, 1H), 2.91 (d, J = 7.0 Hz, 2H), 2.42 (br.d, J = 13.6 Hz, 2H), 1.94–1.57 (m, 5H), 1.52–1.31 (m, 4H), 1.22–1.14 (m, 2H); 13C-NMR (75 MHz, CDCl3) δ 178.7, 176.7 (d, J = 2.4 Hz), 166.8, 166.3, 153.5 (d, J = 249.7 Hz), 151.9, 148.4, 147.0, 146.1 (d, J = 10.3 Hz), 139.1, 134.6, 123.6, 123.1, 118.9 (d, J = 7.8 Hz), 111.7 (d, J = 23.6 Hz), 107.7, 104.8 (d, J = 3.3 Hz), 69.8, 60.3, 45.5, 45.5, 42.3, 39.0, 35.3, 33.6, 32.3, 29.3, 29.2, 8.1; HRMS (ESI) m/z calculated for C30H30FN5O5 [M + H+] 560.2304, found 560.2323.
7-(4-((N-Benzyl-N-methylcarbamoyl)methyl)-1-oxa-9-azaspiro[5.5]undec-9-yl)-1-cyclopropyl-6-fluoro-4-oxo-1,4-dihydroquinoline-3-carboxylic Acid (3aa)
Yield—143 mg (61%), white solid, m.p. 97–99 °C. 1H-NMR (300 MHz, CDCl3) δ 15.07 (s, 1H), 8.73 (s, 1H), 7.97 (d, J = 13.2 Hz, 1H), 7.40–7.20 (m, 5H), 7.18–7.11 (m, 1H), 4.66–4.52 (m, 2H), 3.81–3.63 (m, 2H), 3.56–3.39 (m, 3H), 3.38–3.26 (m, 1H), 3.21–3.09 (m, 1H), 2.98–2.91 (2s, 3H), 2.47–2.35 (m, 2H), 2.32–2.22 (m, 2H), 1.87–1.62 (m, 6H), 1.37 (br.d, J = 5.4 Hz, 2H), 1.24–1.14 (m, 3H); 13C-NMR (75 MHz, CDCl3) δ 176.8, 171.8, 171.4, (d, J = 1.7 Hz), 153.6 (d, J = 251.8 Hz), 147.3, 146.2 (d, J = 4.7 Hz), 138.1, 137.4, 136.6, 129.0, 128.6, 128.0, 127.7, 127.4, 126.2, 119.2 (d, J = 2.7 Hz), 111.9 (d, J = 24.6 Hz), 104.7 (d, J = 2.7 Hz), 69.9, 69.9, 60.8, 60.7, 53.3, 50.8, 45.7, 45.7, 42.8, 42.7, 40.4, 40.1, 39.2, 35.3, 34.9, 34.1, 32.9, 32.8, 29.3, 27.5, 27.5, 8.2; HRMS (ESI) m/z calculated for C32H36FN3O5 [M + H+] 562.2712, found 562.2697.
7-(4-((N-Benzyl-N-cyclopropyl)amino)-1-oxa-9-azaspiro[5.5]undec-9-yl)-1-cyclopropyl-6-fluoro-4-oxo-1,4-dihydroquinoline-3-carboxylic Acid (3ab)
Yield—66 mg (29%), brown solid, m.p. 241–243 °C. 1H-NMR (300 MHz, DMSO-d6) δ 15.25 (s, 1H), 8.64 (s, 1H), 7.87 (dd, J = 13.3, 3.0 Hz, 1H), 7.78–7.62 (m, 2H), 7.57 (t, J = 7.2 Hz, 1H), 7.46 (d, J = 1.8 Hz, 3H), 4.42 (br.s, 2H), 3.83 (br.s, 2H), 3.70–3.55 (m, 2H), 3.52–3.43 (m, 2H), 3.36–3.20 (m, 2H), 3.12–2.96 (m, 1H), 2.76–2.53 (m, 1H), 2.30–2.12 (m, 2H), 2.01–1.90 (m, 1H), 1.90–1.83 (m, 1H), 1.82–1.67 (m, 2H), 1.66–1.42 (m, 1H), 1.31 (br.s, 3H), 1.19 (br.s, 2H), 0.96–0.76 (m, 2H), 0.74–0.57 (m, 1H); 13C-NMR (75 MHz, DMSO-d6) δ 176.8 (d, J = 2.7 Hz), 166.3, 153.5 (d, J = 249.1 Hz), 148.3, 145.8 (d, J = 10.2 Hz), 139.8, 132.4, 132.2, 129.8, 129.0, 118.9 (d, J = 7.8 Hz), 111.4 (d, J = 23.4 Hz), 107.4, 106.7 (d, J = 3.5 Hz), 71.2, 59.5, 55.9, 55.3. 45.8, 45.8, 45.7, 45.7, 45.6, 36.3, 29.1, 8.1, 8.0; HRMS (ESI) m/z calculated for C32H36FN3O4 [M + H+] 546.2763, found 546.2771.
1-Cyclopropyl-7-(4-(3-cyclopropyl[1,2,4]oxadiazol-5-ylmethyl)-1-oxa-9-azaspiro[5.5]undec-9-yl)-6-fluoro-4-oxo-1,4-dihydroquinoline-3-carboxylic Acid (3ac)
Yield—102 mg (47%), white solid, m.p. 106–108 °C. 1H-NMR (300 MHz, CDCl3) δ 15.07 (s, 1H), 8.73 (s, 1H), 7.96 (d, J = 13.1 Hz, 1H), 7.36 (d, J = 6.2 Hz, 1H), 3.81 (dd, J = 11.5, 3.9 Hz, 1H), 3.64 (t, J = 11.8 Hz, 1H), 3.57–3.38 (m, 3H), 3.31 (t, J = 10.6 Hz, 1H), 3.10 (t, J = 11.1 Hz, 1H), 2.74 (d, J = 6.7 Hz, 2H), 2.43–2.20 (m, 2H), 2.11–2.03 (m, 1H), 1.90–1.80 (m, 1H), 1.77–1.58 (m, 4H), 1.41–1.17 (m, 6H), 1.08–0.96 (m, 4H); 13C-NMR (75 MHz, CDCl3) δ 175.5, 175.0 (d, J = 2.6 Hz), 170.4, 165.1, 151.7 (d, J = 251.3 Hz), 145.3, 144.4 (d, J = 10.4 Hz), 137.1, 117.4 (d, J = 8.0 Hz), 110.1 (d, J = 23.6 Hz), 105.9, 102.8 (d, J = 3.4 Hz), 67.7, 58.3, 43.6, 43.5, 43.5, 40.4, 37.0, 33.3, 31.7, 30.2, 27.3, 27.1, 6.2, 6.2, 5.8, 4.8; HRMS (ESI) m/z calculated for C28H31FN4O5 [M + Na+] 545.2171, found 545.2187.
1-Cyclopropyl-6-fluoro-7-(4-(3-(2-methoxyethyl)[1,2,4]oxadiazol-5-ylmethyl)-1-oxa-9-azaspiro[5.5]undec-9-yl)-4-oxo-1,4-dihydroquinoline-3-carboxylic Acid (3ad)
Yield—138 mg (61%), brown solid, m.p. 101–103 °C. 1H-NMR (300 MHz, CDCl3) δ 15.03 (s, 1H), 8.70 (s, 1H), 7.93 (d, J = 13.1 Hz, 1H), 7.39 (d, J = 6.5 Hz, 1H), 3.80–3.73 (m, 2H), 3.70–3.58 (m, 1H), 3.55–3.44 (m, 2H), 3.43–3.30 (m, 4H), 3.12 (t, J = 11.5 Hz, 1H), 2.99 (t, J = 6.3 Hz, 2H), 2.79 (d, J = 6.7 Hz, 2H), 2.44–2.24 (m, 2H), 2.15–1.79 (m, 3H), 1.77–1.54 (m, 4H), 1.40–1.15 (m, 6H); 13C-NMR (75 MHz, CDCl3) δ 178.0, 177.1 (d, J = 2.5 Hz), 168.4, 167.2, 153.8 (d, J = 251.4 Hz), 147.4, 146.2 (d, J = 10.2 Hz), 139.2, 119.6 (d, J = 7.8 Hz), 112.3 (d, J = 23.6 Hz), 108.1, 105.2 (d, J = 2.0 Hz), 69.8, 69.2, 60.5, 58.8, 45.8, 45.8, 45.7, 42.6, 39.1, 35.4, 33.8, 32.4, 29.4, 29.3, 26.9, 8.4; HRMS (ESI) m/z calculated for C28H33FN4O6 [M + H+] 541.2457, found 541.2472.
1-Cyclopropyl-6-fluoro-4-oxo-7-(4-(4-phenylpiperazin-1-yl)-1-oxa-9-azaspiro[5.5]undec-9-yl)-1,4-dihydroquinoline-3-carboxylic Acid (3ae)
Yield—170 mg (73%), pale brown solid, m.p. 117–119 °C. 1H-NMR (300 MHz, DMSO-d6) δ 15.23 (s, 1H), 8.64 (s, 1H), 7.86 (d, J = 12.8 Hz, 1H), 7.56 (d, J = 5.2 Hz, 1H), 7.21 (br.s, 2H), 6.93 (d, J = 7.2 Hz, 2H), 6.77 (br.s, 1H), 3.87–3.75 (m, 2H), 3.69–3.55 (m, 2H), 3.47–3.39 (m, 3H), 3.33–3.27 (m, 2H), 3.19–3.11 (m, 4H), 2.80–2.67 (m, 4H), 2.35–2.24 (m, 1H), 1.91–1.76 (m, 3H), 1.71–1.57 (m, 2H), 1.36–1.27 (m, 3H), 1.23–1.15 (m, 2H); 13C-NMR (75 MHz, DMSO-d6) δ 176.4 (d, J = 2.4 Hz), 166.1, 153.1 (d, J = 249.5 Hz), 150.7, 148.0, 145.6 (d, J = 10.2 Hz), 139.3, 129.0, 119.2, 118.3 (d, J = 7.0 Hz), 115.5, 110.9 (d, J = 22.8 Hz), 106.7, 106.4 (d, J = 4.0 Hz), 76.8, 71.8, 70.4, 59.4, 56.3, 48.4, 47.9, 45.5, 45.4, 45.3, 43.7, 38.0, 35.9, 29.1, 28.2, 7.6; HRMS (ESI) m/z calculated for C32H37FN4O4 [M + H+] 561.2872, found 561.2859.
7-(4-((N-Benzoyl-N-cyclopropyl)amino)-1-oxa-9-azaspiro[5.5]undec-9-yl)-1-cyclopropyl-6-fluoro-4-oxo-1,4-dihydroquinoline-3-carboxylic Acid (3af)
Yield—188 mg (81%), white solid, m.p. 136–138 °C. 1H-NMR (300 MHz, CDCl3) δ 15.09 (s, 1H), 8.75 (s, 1H), 7.98 (d, J = 13.0 Hz, 1H), 7.52–7.43 (m, 3H), 7.42–7.35 (m, 3H), 4.66 (t, J = 9.7 Hz, 1H), 3.93 (dd, J = 11.1, 3.6 Hz, 1H), 3.77 (t, J = 11.8 Hz, 1H), 3.57–3.32 (m, 4H), 3.19 (t, J = 10.9 Hz, 1H), 2.58 (br.s, 1H), 2.47 (br.d, J = 13.2 Hz, 1H), 2.06–1.76 (m, 7H), 1.39 (br.s, 2H), 1.25–1.16 (m, 2H), 0.68–0.55 (m, 2H), 0.46 (s, 2H); 13C-NMR (75 MHz, CDCl3) δ 177.2 (d, J = 2.4 Hz), 173.2, 167.2, 153.8 (d, J = 251.7 Hz), 147.5, 145.9 (d, J = 8.6 Hz), 139.2, 137.9, 129.7, 128.1, 127.4, 119.9 (d, J = 7.2 Hz), 112.5 (d, J = 23.5 Hz), 108.2, 105.5, 71.2, 60.9, 51.4, 46.1, 46.0, 45.9, 45.9, 40.7, 39.4, 35.5, 31.3, 29.2, 28.7, 10.1, 10.1, 8.4; HRMS (ESI) m/z calculated for C32H34FN3O5 [M + H+] 560.2555, found 560.2567.
1-Cyclopropyl-6-fluoro-7-(4-morpholin-4-yl-1-oxa-9-azaspiro[5.5]undec-9-yl)-4-oxo-1,4-dihydroquinoline-3-carboxylic Acid (3ag)
Yield—91 mg (45%), yellow solid, m.p. 187–189 °C. 1H-NMR (300 MHz, CDCl3) δ 14.97 (s, 1H), 8.72 (s, 1H), 7.96 (d, J = 13.2 Hz, 1H), 7.36 (d, J = 7.2 Hz, 1H), 3.94–3.84 (m, 1H), 3.78–3.69 (m, 4H), 3.68–3.58 (m, 1H), 3.54–3.39 (m, 3H), 3.39–3.28 (m, 1H), 3.19–3.06 (m, 1H), 2.70–2.52 (m, 5H), 2.32 (br.d, J = 14.0 Hz, 1H), 1.95–1.75 (m, 4H), 1.70–1.50 (m, 2H), 1.47–1.33 (m, 3H), 1.23–1.15 (m, 2H); 13C-NMR (75 MHz, CDCl3) δ 177.0 (d, J = 2.7 Hz), 166.8, 153.7 (d, J = 251.1 Hz), 147.1, 146.3 (d, J = 10.4 Hz), 139.2, 119.3 (d, J = 7.9 Hz), 112.1 (d, J = 23.7 Hz), 108.1, 104.7 (d, J = 3.6 Hz), 70.5, 67.1, 60.2, 56.9, 49.6, 45.7, 45.7, 45.6, 45.6, 39.2, 39.1, 35.2, 30.0, 28.9, 8.1, 8.1; HRMS (ESI) m/z calculated for C26H32FN3O5 [M + H+] 486.2399, found 486.2420.
1-Cyclopropyl-7-(4-(1-cyclopropyl-3-isopropylureido)-1-oxa-9-azaspiro[5.5]undec-9-yl)-6-fluoro-4-oxo-1,4-dihydroquinoline-3-carboxylic Acid (3ah)
Yield—79 mg (35%), white solid, m.p. 130–132 °C. 1H-NMR (300 MHz, CDCl3) δ 15.11 (s, 1H), 8.74 (s, 1H), 7.97 (d, J = 13.1 Hz, 1H), 7.35 (d, J = 7.1 Hz, 1H), 5.17 (d, J = 7.6 Hz, 1H), 4.48 (tt, J = 12.1, 3.3 Hz, 1H), 4.02–3.91 (m, 1H), 3.86 (dd, J = 12.3, 5.0 Hz, 1H), 3.71 (t, J = 11.4 Hz, 1H), 3.56–3.49 (m, 1H), 3.49–3.39 (m, 2H), 3.38–3.27 (m, 1H), 3.14 (t, J = 10.9 Hz, 1H), 2.43 (br.d, J = 14.2 Hz, 1H), 2.33–2.24 (m, 1H), 2.13–1.96 (m, 1H), 1.86–1.68 (m, 7H), 1.38 (d, J = 7.0 Hz, 2H), 1.17 (d, J = 6.5 Hz, 7H), 0.91–0.83 (m, 2H), 0.82–0.73 (m, 2H); 13C-NMR (75 MHz, CDCl3) δ 176.9 (d, J = 2.5 Hz), 167.1, 158.6, 153.6 (d, J = 251.4 Hz), 147.2, 146.3 (d, J = 10.3 Hz), 139.1, 119.1 (d, J = 7.9 Hz), 111.9 (d, J = 23.5 Hz), 107.8, 104.8 (d, J = 3.4 Hz), 71.2, 60.9, 50.2, 45.7, 45.6, 45.6, 45.5, 42.4, 41.2, 39.3, 35.3, 31.6, 29.2, 24.7, 23.5, 23.5, 8.8, 8.2; HRMS (ESI) m/z calculated for C29H37FN4O5 [M + Na+] 563.2640, found 563.2665.
1-Cyclopropyl-7-(4-(1-cyclopropyl-3-ethylureido)-1-oxa-9-azaspiro[5.5]undec-9-yl)-6-fluoro-4-oxo-1,4-dihydroquinoline-3-carboxylic Acid (3ai)
Yield—180 mg (82%), white solid, m.p. 151–153 °C. 1H-NMR (300 MHz, CDCl3) δ 15.14 (s, 1H), 8.71 (s, 1H), 7.92 (d, J = 13.1 Hz, 1H), 7.35 (d, J = 7.2 Hz, 1H), 5.32 (t, J = 5.4 Hz, 1H), 4.47 (tt, J = 12.3, 3.5 Hz, 1H), 3.85 (dd, J = 11.8, 4.1 Hz, 1H), 3.77–3.64 (m, 1H), 3.56–3.48 (m, 1H), 3.48–3.37 (m, 2H), 3.37–3.21 (m, 3H), 3.19–3.06 (m, 1H), 2.42 (br.d, J = 14.1 Hz, 1H), 2.35–2.24 (m, 1H), 1.99–1.91 (m, 2H), 1.83–1.75 (m, 2H), 1.75–1.65 (m, 3H), 1.44–1.32 (m, 2H), 1.21–1.16 (m, 2H), 1.14 (t, J = 7.2 Hz, 3H), 0.91–0.83 (m, 2H), 0.82–0.73 (m, 2H); 13C-NMR (75 MHz, CDCl3) δ 177.2 (d, J = 2.7 Hz), 167.4, 159.4, 153.8 (d, J = 251.3 Hz), 147.4, 146.5 (d, J = 10.4 Hz), 139.3, 119.5 (d, J = 7.9 Hz), 112.3 (d, J = 23.5 Hz), 108.1, 104.9 (d, J = 3.6 Hz), 71.4, 61.1, 50.5, 45.9, 45.8, 45.7, 45.7, 41.3, 39.5, 35.6, 35.4, 31.7, 29.3, 25.0, 15.7, 8.8, 8.3; HRMS (ESI) m/z calculated for C28H35FN4O5 [M + Na+] 549.2484, found 549.2502.
7-(4-(N-Acetyl-N-cyclopropylamino)-1-oxa-9-azaspiro[5.5]undec-9-yl)-1-cyclopropyl-6-fluoro-4-oxo-1,4-dihydroquinoline-3-carboxylic Acid (3aj)
Yield—80 mg (39%), beige solid, m.p. 120–122 °C. 1H-NMR (300 MHz, CDCl3) δ 15.07 (s, 1H), 8.74 (s, 1H), 7.96 (d, J = 13.1 Hz, 1H), 7.44 (d, J = 6.8 Hz, 1H), 4.55 (t, J = 11.9 Hz, 1H), 3.88 (dd, J = 11.7, 4.5 Hz, 1H), 3.73 (t, J = 11.8 Hz, 1H), 3.59–3.33 (m, 4H), 3.18 (t, J = 11.1 Hz, 1H), 2.58–2.41 (m, 2H), 2.23 (s, 3H), 2.16–2.03 (m, 1H), 1.97–1.85 (m, 2H), 1.84–1.67 (m, 4H), 1.41 (d, J = 6.6 Hz, 2H), 1.26–1.16 (m, 2H), 1.01–0.90 (m, 2H), 0.89–0.79 (m, 2H); 13C-NMR (75 MHz, CDCl3) δ 177.2 (d, J = 2.7 Hz), 174.1, 167.1, 153.9 (d, J = 251.4 Hz), 147.5, 146.0 (d, J = 10.5 Hz), 139.3, 119.9 (d, J = 8.0 Hz), 112.5 (d, J = 23.6 Hz), 108.3, 105.3 (d, J = 2.3 Hz), 71.2, 61.0, 50.7, 46.1, 46.0, 46.0, 45.9, 40.7, 39.4, 35.5, 31.3, 29.3, 28.3, 23.8, 9.5, 9.4, 8.4; HRMS (ESI) m/z calculated for C27H32FN3O5 [M + Na+] 520.2218, found 520.2237.

3.2. Bacterial Susceptibility Testing

Testing was performed for the following microorganisms: Staphylococcus aureus (ATCC 25923), Klebsiella pneumoniae (1062®), Acinetobacter baumannii (987®), Pseudomonas aeruginosa (7292/5®) and Bacillus cereus (138®) for compounds 3a–aj as well as ciprofloxacin (positive control) using the conventional Kirby–Bauer disk diffusion test [22] under the Standard Operating Procedure of The European Committee on Antimicrobial Susceptibility Testing (EUCAST) [23]. Disks containing 5 mg of ciprofloxacin were used. Solutions of compounds 1as, 2as and 4 in dimethyl sulfoxide (1 mg/10 mL) were prepared and diluted to a volume of 1 mL with deionized water. The resulting solution’s aliquots (5 mL) were added to a Petri dish containing Mueller–Hinton agar inoculated with a bacterial suspension (McFarland OD ¼ 0.5). After the drying of the compound solution, the Petri dish was incubated at 37 °C for 18 h. By measuring the bacterial growth inhibition zone diameter around the disc with ciprofloxacin or the compounds’ dried solution circular spot, the susceptibility to a drug was assessed. Additionally, minimum inhibitory concentrations (MIC, µg/mL) were determined using serial broth dilutions [24].

4. Conclusions

In summary, we explored the possibility of using spirocyclic piperidines (amenable to the Prins cyclization of protected 4-piperidone and homoallylic alcohol in aqueous mineral acid and subsequent functional group interconversions) in the design of ciprofloxacin analogs. Using the literature-established procedure of activating the halogen-substituted fluoroquinolone core by boron complexation, 36 new ciprofloxacin analogs were synthesized and tested against two gram-positive and three gram-negative bacterial strains. The activity profile of the new spirocyclic compounds displayed significant sensitivity to the peripheral groups in the 1-oxa-9-azaspiro[5.5]undecane moiety. Overall, the new set of derivatives was distinctly active against two of the five strains: gram-negative Acinetobacter baumannii 987® and gram-positive Bacillus cereus 138®. Towards these two strains, a large group of compounds displayed equal or higher potency than ciprofloxacin. These findings substantially expand the utility of spirocyclic motifs in medicinal chemistry design and further attest to the privileged character of spirocycles.

Author Contributions

Conceptualization, M.K.; methodology, E.R., A.L. and M.K.; investigation, M.C. and T.V.; data curation, A.L. and L.K.; writing—original draft preparation, M.K.; writing—review and editing, O.B.; supervision, A.L.; funding acquisition, M.K. All authors have read and agreed to the published version of the manuscript.

Funding

We gratefully acknowledge financial support from the Russian Foundation for Basic Research (grant # 21–53-12001).

Institutional Review Board Statement

Not applicable.

Informed Consent Statement

Not applicable.

Data Availability Statement

Data available from the corresponding authors upon reasonable request.

Acknowledgments

We are grateful to the Research Centre for Magnetic Resonance and the Centre for Chemical Analysis and Materials Research of Saint Petersburg State University Research Park for the analytical data.

Conflicts of Interest

The authors declare no conflict of interest. The funders had no role in the design of the study; in the collection, analyses, or interpretation of data; in the writing of the manuscript, or in the decision to publish the results.

Sample Availability

Samples of the compounds are available from the authors upon reasonable request.

References

  1. Zheng, Y.; Tice, C.M.; Singh, S.B. The use of spirocyclic scaffolds in drug discovery. Bioorg. Med. Chem. Lett. 2014, 24, 3673–3682. [Google Scholar] [CrossRef] [PubMed]
  2. Chupakhin, E.; Babich, O.; Prosekov, A.; Asyakina, L.; Krasavin, M. Spirocyclic motifs in natural products. Molecules 2019, 24, 4165. [Google Scholar] [CrossRef] [PubMed]
  3. Hiesinger, K.; Dar’in, D.; Proschak, E.; Krasavin, M.J. Spirocyclic scaffolds in medicinal chemistry. Med. Chem. 2021, 64, 150–193. [Google Scholar] [CrossRef] [PubMed]
  4. Zheng, Y.-J.; Tice, C.M. The utilization of spirocyclic scaffolds in novel drug discovery. Expert Opin. Drug Discov. 2016, 11, 831–834. [Google Scholar] [CrossRef] [PubMed]
  5. Tajabadi, F.M.; Campitelli, M.R.; Quinn, R.J. Scaffold flatness: Reversing the trend. Springer Sci. Rev. 2013, 1, 141–151. [Google Scholar] [CrossRef]
  6. Wei, W.; Cherukupalli, S.; Jing, L.; Liu, X.; Zhan, P. Fsp3: A new parameter for drug-likeness. Drug Discov. Today 2020, 25, 1839–1845. [Google Scholar] [CrossRef]
  7. Saxena, V.; Panicucci, R.; Joshi, Y.; Garad, S.J. Developability assessment in pharmaceutical industry: An integrated group approach for selecting developable candidates. Pharm. Sci. 2009, 98, 1962–1979. [Google Scholar] [CrossRef]
  8. Hefti, F.F. Requirements for a lead compound to become a clinical candidate. BMC Neurosci. 2008, 9 (Suppl. 3), S7. [Google Scholar] [CrossRef]
  9. Camp, D.; Campitelli, M.; Carroll, A.R.; Davis, R.A.; Quinn, R.J. Front-Loading Natural-Product-Screening Libraries for log P: Background, Development, and Implementation. Chem. Biodivers. 2013, 10, 524–537. [Google Scholar] [CrossRef]
  10. Lukin, A.; Bagnyukova, D.; Kalinchenkova, N.; Zhurilo, N.; Krasavin, M. Spirocyclic amino alcohol building blocks prepared via a Prins-type cyclization in aqueous sulfuric acid. Tetrahedron Lett. 2016, 57, 3311–3314. [Google Scholar] [CrossRef]
  11. Krasavin, M.; Lukin, A.; Bagnyukova, D.; Zhurilo, N.; Zahanich, I.; Zozulya, I.; Ihalainen, J.; Forsberg, M.M.; Lehtonen, M.; Rautio, J.; et al. Free fatty acid receptor 1 (GPR40) agonists containing spirocyclic periphery inspired by LY2881835. Bioorg. Med. Chem. 2016, 24, 5481–5494. [Google Scholar] [CrossRef]
  12. Krasavin, M.; Lukin, A.; Bagnyukova, D.; Zhurilo, N.; Zahanich, I.; Zozulya, S.J. Novel FFA1 (GPR40) agonists containing spirocyclic periphery: Polar azine periphery as a driver of potency. Enzyme Inhib. Med. Chem. 2017, 32, 29–36. [Google Scholar] [CrossRef][Green Version]
  13. Krasavin, M.; Lukin, A.; Bagnyukova, D.; Zhurilo, N.; Golovanov, A.; Zozulya, S.; Zahanich, I.; Daniel Moore, D.; Tikhonova, I.G. Polar aromatic periphery increases agonist potency of spirocyclic free fatty acid receptor (GPR40) agonists inspired by LY2881835. Eur. J. Med. Chem. 2017, 127, 357–368. [Google Scholar] [CrossRef]
  14. Krasavin, M.; Lukin, A.; Vedekhina, T.; Manicheva, O.; Dogonadze, M.; Vinogradova, T.; Zabolotnykh, N.; Rogacheva, E.; Kraeva, L.; Sharoyko, V.; et al. Attachment of a 5-nitrofuroyl moiety to spirocyclic piperidines produces non-toxic nitrofurans that are efficacious in vitro against multidrug-resistant Mycobacterium tuberculosis. Eur. J. Med. Chem. 2019, 166, 125–135. [Google Scholar] [CrossRef]
  15. Welsch, M.E.; Snyder, S.A.; Stockwell, B.R. Zum Wirkungsbereich der chemischen Synthese: Aufbau einer Minipipeline in einem akademischen Labor. Curr. Opin. Chem. Biol. 2010, 14, 6168–6193. [Google Scholar] [CrossRef]
  16. Pham, T.D.M.; Ziora, Z.M.; Blaskovich, M.A.T. Quinolone antibiotics. Med. Chem. Commun. 2019, 10, 1719–1739. [Google Scholar] [CrossRef]
  17. Zhang, Y.-B.; Feng, L.-S.; You, X.-F.; Guo, Q.; Guo, H.-Y.; Liu, M.-L. Synthesis and In Vitro Antibacterial Activity of 7-(3-Alkoxyimino-4-methyl-4-methylaminopiperidin-1-yl)-fluoroquinolone Derivatives. Arch. Pharm. Chem. Life Sci. 2010, 343, 143–151. [Google Scholar] [CrossRef]
  18. Huang, X.; Bao, Y.; Zhu, S.; Zhang, X.; Lan, S.; Wang, T. Synthesis and biological evaluation of levofloxacin core-based derivatives with potent antibacterial activity against resistant Gram-positive pathogens. Bioorg. Med. Chem. Lett. 2015, 25, 3928–3932. [Google Scholar] [CrossRef]
  19. Huang, X.-G.; Chen, K.-N. An Efficient and Scalable Synthesis of Quinolone 006. Chem. Pharm. Bull. 2019, 67, 481–486. [Google Scholar] [CrossRef]
  20. Turel, I.; Leban, I.; Bukovec, P.; Barbo, M. Boron Complex of a Member of the Quinolone Family. Acta Crystallogr. C 1997, 53, 942–943. [Google Scholar] [CrossRef]
  21. Verderosa, A.D.; Dhouib, R.; Fairfull-Smith, K.E.; Totsika, M. Profluorescent fluoroquinolone-nitroxides for investigating antibiotic–bacterial interactions. Antibiotics 2019, 8, 19. [Google Scholar] [CrossRef]
  22. Bauer, A.W.; Kirby, W.M.; Sherris, J.C.; Turck, M. Antibiotic susceptibility testing by a standardized single disk method. Am. J. Clin. Pathol. 1966, 45, 493–496. [Google Scholar] [CrossRef]
  23. SOP 9.2 Procedure for Establishing Zone Diameter Breakpoints and Quality Control Criteria. EUCAST SOP 9.2. 2020. Available online: https://www.eucast.org/fileadmin/src/media/PDFs/EUCAST_files/EUCAST_SOPs/2020/EUCAST_SOP_9.2_Disk_diffusion_breakpoints_and_QC_ranges_final.pdf (accessed on 2 July 2022).
  24. Wiegand, I.; Hilpert, K.; Hancock, R.E. Agar and broth dilution methods to determine the minimal inhibitory concentration (MIC) of antimicrobial substances. Nat. Protoc. 2008, 3, 163–175. [Google Scholar] [CrossRef]
Scheme 1. Synthesis of spirocyclic building blocks 1 via the Prins cyclization and subsequent diversification of spirocyclic piperidine 1a.
Scheme 1. Synthesis of spirocyclic building blocks 1 via the Prins cyclization and subsequent diversification of spirocyclic piperidine 1a.
Molecules 27 04864 sch001
Figure 1. Structures of exemplary approved fluoroquinolone antibacterials as well as fluoroquinolone chemotype 3 explored in this work.
Figure 1. Structures of exemplary approved fluoroquinolone antibacterials as well as fluoroquinolone chemotype 3 explored in this work.
Molecules 27 04864 g001
Figure 2. Spirocyclic piperidines 2aaj employed in this study [11,12,13,14].
Figure 2. Spirocyclic piperidines 2aaj employed in this study [11,12,13,14].
Molecules 27 04864 g002
Scheme 2. Synthesis of novel spirocyclic piperidines 2a, 2d, 2ab, 2af, 2ah, 2ai and 2aj. Reagents and conditions: i. NaH, DMF, 2-chloropyridine, 0 °C → r. t., 16 h; ii. TFA, DCM, 0 °C, 6 h; iii. iBuOCOCl, N-methylmorpholine, THF, −30 → −5 °C; iv. EtC(=NOH)NH2; v. 4M HCl, 1,4-dioxane, 0 °C → r. t., 6 h; vi. cyclopropylNH2, NaBH(OAc)3, DCM, r. t., 18 h; vii. PhCHO, NaBH(OAc)3, DCM, r. t., 18 h; viii. PhCOCl, Et3N, DCM, r. t., 6 h; ix. iPrNCO, 1,4-dioxane, r. t., 6 h; x. EtNCO, 1,4-dioxane, r. t., 6 h; xi. AcCl, Et3N, DCM, r. t., 6 h.
Scheme 2. Synthesis of novel spirocyclic piperidines 2a, 2d, 2ab, 2af, 2ah, 2ai and 2aj. Reagents and conditions: i. NaH, DMF, 2-chloropyridine, 0 °C → r. t., 16 h; ii. TFA, DCM, 0 °C, 6 h; iii. iBuOCOCl, N-methylmorpholine, THF, −30 → −5 °C; iv. EtC(=NOH)NH2; v. 4M HCl, 1,4-dioxane, 0 °C → r. t., 6 h; vi. cyclopropylNH2, NaBH(OAc)3, DCM, r. t., 18 h; vii. PhCHO, NaBH(OAc)3, DCM, r. t., 18 h; viii. PhCOCl, Et3N, DCM, r. t., 6 h; ix. iPrNCO, 1,4-dioxane, r. t., 6 h; x. EtNCO, 1,4-dioxane, r. t., 6 h; xi. AcCl, Et3N, DCM, r. t., 6 h.
Molecules 27 04864 sch002
Scheme 3. Synthesis of target spirocyclic-periphery fluoroquinolones 3aaj. Reagents and conditions: i. K2CO3, EtBr, DMF, r. t., 10 h; ii. H3BO3, Ac2O, ZnCl2, r. t. 60 °C; iii. 2aaj, Et3N, MeCN, 10 h, 60 °C; iv. 2% aq. NaOH.
Scheme 3. Synthesis of target spirocyclic-periphery fluoroquinolones 3aaj. Reagents and conditions: i. K2CO3, EtBr, DMF, r. t., 10 h; ii. H3BO3, Ac2O, ZnCl2, r. t. 60 °C; iii. 2aaj, Et3N, MeCN, 10 h, 60 °C; iv. 2% aq. NaOH.
Molecules 27 04864 sch003
Table 1. Antibacterial activity (MIC, mg/mL) of compounds 3aaj against five bacterial strains in comparison with ciprofloxacin (-: no activity; +: active but MIC is higher than that of ciprofloxacin; ++: MIC same as that of ciprofloxacin; +++: MIC lower than that of ciprofloxacin; NT: not tested).
Table 1. Antibacterial activity (MIC, mg/mL) of compounds 3aaj against five bacterial strains in comparison with ciprofloxacin (-: no activity; +: active but MIC is higher than that of ciprofloxacin; ++: MIC same as that of ciprofloxacin; +++: MIC lower than that of ciprofloxacin; NT: not tested).
CompoundYield, %Staphylococcus Aureus
ATCC 25923
Klebsiella pneumoniae 1062®Acinetobacter baumannii 987®Pseudomonas aeruginosa 7292/5®Bacillus cereus 138®
3a44----NT
3b22+++++ a-+
3c27+---NT
3d59++++ b++
3e50+-+++ a-NT
3f59++++ b-++ b
3g86+++++ a-NT
3h22+---NT
3i63+++-NT
3j29++++ b-NT
3k39+-++ b-NT
3l25+-+++ a-++ b
3m51+---NT
3n35+++++ a-++ b
3o93+-+++ a-NT
3p27+-+++ a-NT
3q54+-++ b-NT
3r47+-++ b+++ b
3s83++--NT
3t66+-+-NT
3u83++++ b-++ b
3v26+-+++ a-NT
3w44--+++ a-NT
3x38+-+-NT
3y44++--NT
3z77+-+++ a-NT
3aa61+-+++ a-NT
3ab29+-+++ a-NT
3ac47+++-++ b
3ad61+++++ a-++ b
3ae73+-++ b-NT
3af81+-+++ a-NT
3ag45+++-++ b
3ah35+---NT
3ai80+---NT
3aj39++--NT
Ciprofloxacin (MIC)0.3 μg/mL0.3 μg/mL0.3 μg/mL0.15 μg/mL0.3 μg/mL
a MIC = 0.15 μg/mL; b MIC = 0.3 μg/mL.
Publisher’s Note: MDPI stays neutral with regard to jurisdictional claims in published maps and institutional affiliations.

Share and Cite

MDPI and ACS Style

Lukin, A.; Chudinov, M.; Vedekhina, T.; Rogacheva, E.; Kraeva, L.; Bakulina, O.; Krasavin, M. Exploration of Spirocyclic Derivatives of Ciprofloxacin as Antibacterial Agents. Molecules 2022, 27, 4864. https://doi.org/10.3390/molecules27154864

AMA Style

Lukin A, Chudinov M, Vedekhina T, Rogacheva E, Kraeva L, Bakulina O, Krasavin M. Exploration of Spirocyclic Derivatives of Ciprofloxacin as Antibacterial Agents. Molecules. 2022; 27(15):4864. https://doi.org/10.3390/molecules27154864

Chicago/Turabian Style

Lukin, Alexei, Mikhail Chudinov, Tatiana Vedekhina, Elizaveta Rogacheva, Lyudmila Kraeva, Olga Bakulina, and Mikhail Krasavin. 2022. "Exploration of Spirocyclic Derivatives of Ciprofloxacin as Antibacterial Agents" Molecules 27, no. 15: 4864. https://doi.org/10.3390/molecules27154864

APA Style

Lukin, A., Chudinov, M., Vedekhina, T., Rogacheva, E., Kraeva, L., Bakulina, O., & Krasavin, M. (2022). Exploration of Spirocyclic Derivatives of Ciprofloxacin as Antibacterial Agents. Molecules, 27(15), 4864. https://doi.org/10.3390/molecules27154864

Article Metrics

Back to TopTop