Flower-like Highly Open-Structured Binder-Free Zn-Co-Oxide Nanosheet for High-Performance Supercapacitor Electrodes
Abstract
:1. Introduction
2. Materials and Methods
2.1. Zn-Co-Oxide Synthesis on Nickel Foam
2.2. Fabrication of Electrode
2.3. Characterization of Material
2.4. Electrochemical Tests Measurements
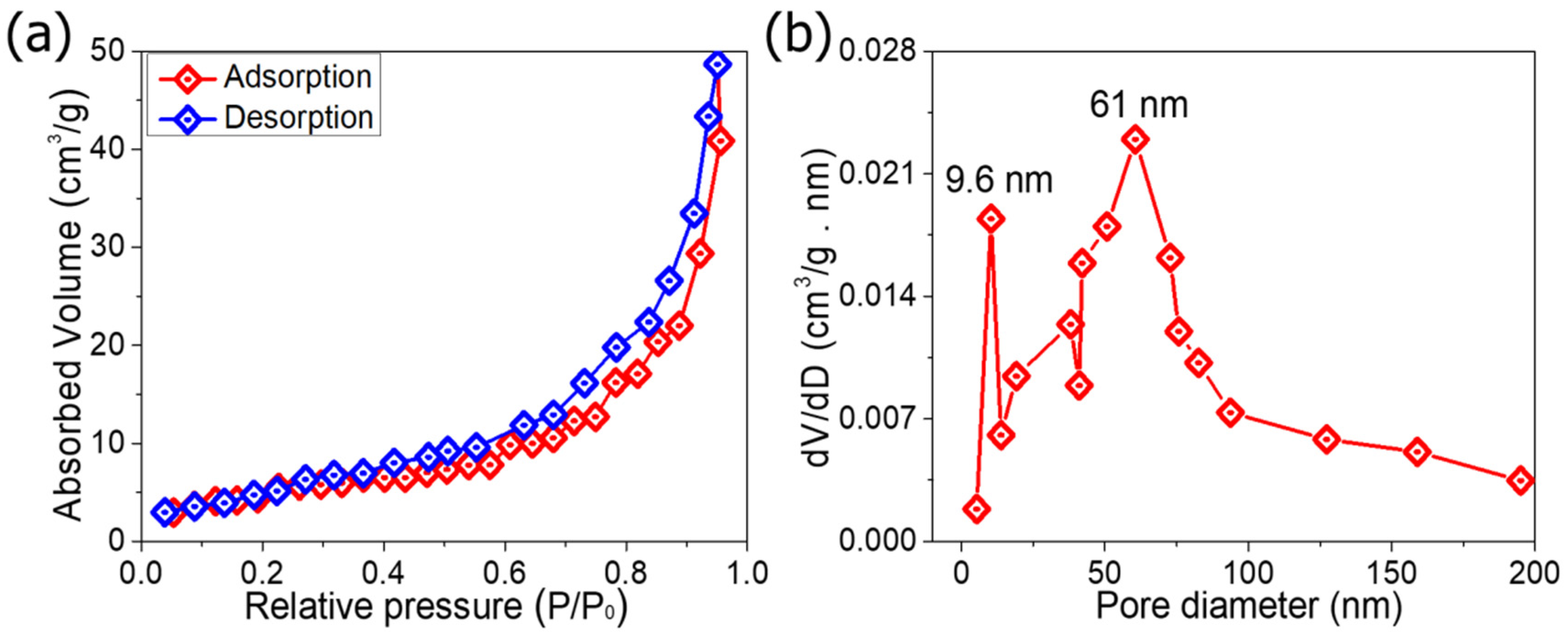
3. Results
4. Conclusions
Author Contributions
Funding
Data Availability Statement
Acknowledgments
Conflicts of Interest
References
- Kalair, A.; Abas, N.; Saleem, M.S.; Kalair, A.R.; Khan, N. Role of energy storage systems in energy transition from fossil fuels to renewables. Energy Storage 2021, 3, e135. [Google Scholar] [CrossRef] [Green Version]
- Barik, R.; Ingole, P.P. Challenges and prospects of metal sulfide materials for supercapacitors. Curr. Opin. Electrochem. 2020, 21, 327–334. [Google Scholar] [CrossRef]
- Dai, S.; Liu, Z.; Zhao, B.; Zeng, J.; Hu, H.; Zhang, Q.; Chen, D.; Qu, C.; Dang, D.; Liu, M. A high-performance supercapacitor electrode based on N-doped porous graphene. J. Power Sources 2018, 387, 43–48. [Google Scholar] [CrossRef] [Green Version]
- Javed, M.S.; Shaheen, N.; Hussain, S.; Li, J.; Shah, S.S.A.; Abbas, Y.; Ahmad, M.A.; Raza, R.; Mai, W. An ultra-high energy density flexible asymmetric supercapacitor based on hierarchical fabric decorated with 2D bimetallic oxide nanosheets and MOF-derived porous carbon polyhedra. J. Mater. Chem. A 2019, 7, 946–957. [Google Scholar] [CrossRef]
- Li, S.; Yu, C.; Yang, J.; Zhao, C.; Zhang, M.; Huang, H.; Liu, Z.; Guo, W.; Qiu, J. A superhydrophilic “nanoglue” for stabilizing metal hydroxides onto carbon materials for high-energy and ultralong-life asymmetric supercapacitors. Energy Environ. Sci. 2017, 10, 1958–1965. [Google Scholar] [CrossRef]
- Sun, S.; Zhai, T.; Liang, C.; Savilov, S.V.; Xia, H. Boosted crystalline/amorphous Fe2O3-δ core/shell heterostructure for flexible solid-state pseudocapacitors in large scale. Nano Energy 2018, 45, 390–397. [Google Scholar] [CrossRef]
- Javed, M.S.; Najam, T.; Sajjad, M.; Shah, S.S.A.; Hussain, I.; Idrees, M.; Imran, M.; Assiri, M.A.; Siyal, S.H. Design and Fabrication of Highly Porous 2D Bimetallic Sulfide ZnS/FeS Composite Nanosheets as an Advanced Negative Electrode Material for Supercapacitors. Energy Fuels 2021, 35, 15185–15191. [Google Scholar] [CrossRef]
- Zhao, Y.; He, X.; Chen, R.; Liu, Q.; Liu, J.; Yu, J.; Li, J.; Zhang, H.; Dong, H.; Zhang, M. A flexible all-solid-state asymmetric supercapacitors based on hierarchical carbon cloth@ CoMoO4@ NiCo layered double hydroxide core-shell heterostructures. Chem. Eng. J. 2018, 352, 29–38. [Google Scholar] [CrossRef]
- Xiao, J.; Wan, L.; Yang, S.; Xiao, F.; Wang, S. Design hierarchical electrodes with highly conductive NiCo2S4 nanotube arrays grown on carbon fiber paper for high-performance pseudocapacitors. Nano Lett. 2014, 14, 831–838. [Google Scholar] [CrossRef]
- Ling, T.; Da, P.; Zheng, X.; Ge, B.; Hu, Z.; Wu, M.; Du, X.-W.; Hu, W.-B.; Jaroniec, M.; Qiao, S.-Z. Atomic-level structure engineering of metal oxides for high-rate oxygen intercalation pseudocapacitance. Sci. Adv. 2018, 4, eaau6261. [Google Scholar] [CrossRef] [Green Version]
- Xu, J.; Sun, Y.; Lu, M.; Wang, L.; Zhang, J.; Tao, E.; Qian, J.; Liu, X. Fabrication of the porous MnCo2O4 nanorod arrays on Ni foam as an advanced electrode for asymmetric supercapacitors. Acta Mater. 2018, 152, 162–174. [Google Scholar] [CrossRef]
- Das, A.K.; Kim, N.H.; Lee, S.H.; Sohn, Y.; Lee, J.H. Facile synthesis of CuCo2O4 composite octahedrons for high performance supercapacitor application. Compos. Part B Eng. 2018, 150, 269–276. [Google Scholar] [CrossRef]
- He, X.; Li, R.; Liu, J.; Liu, Q.; Song, D.; Wang, J. Hierarchical FeCo2O4@ NiCo layered double hydroxide core/shell nanowires for high performance flexible all-solid-state asymmetric supercapacitors. Chem. Eng. J. 2018, 334, 1573–1583. [Google Scholar] [CrossRef]
- Li, Q.; Zhang, Q.; Zhou, Z.; Gong, W.; Liu, C.; Feng, Y.; Hong, G.; Yao, Y. Boosting Zn-ion storage capability of self-standing Zn-doped Co3O4 nanowire array as advanced cathodes for high-performance wearable aqueous rechargeable Co//Zn batteries. Nano Res. 2021, 14, 91–99. [Google Scholar] [CrossRef]
- Javed, M.S.; Imran, M.; Assiri, M.A.; Hussain, I.; Hussain, S.; Siyal, S.H.; Saleem, M.; Shah, S.S.A.J.M.L. One-step synthesis of carbon incorporated 3D MnO2 nanorods as a highly efficient electrode material for pseudocapacitors. Mater. Lett. 2021, 295, 129838. [Google Scholar] [CrossRef]
- Wu, Y.; Cao, C.J.S.C.M. The way to improve the energy density of supercapacitors: Progress and perspective. Sci. China Mater. 2018, 61, 1517–1526. [Google Scholar] [CrossRef] [Green Version]
- Javed, M.S.; Raza, R.; Ahsan, Z.; Rafique, M.S.; Shahzadi, S.; Shaukat, S.; Shaheen, N.; Khalid, M.S.; Chengou, H.; Zhu, B. Electrochemical studies of perovskite cathode material for direct natural gas fuel cell. Int. J. Hydrog. Energy 2016, 41, 3072–3078. [Google Scholar] [CrossRef]
- Abbas, Y.; Yun, S.; Javed, M.S.; Chen, J.; Tahir, M.F.; Wang, Z.; Yang, C.; Arshad, A.; Hussain, S. Anchoring 2D NiMoO4 nano-plates on flexible carbon cloth as a binder-free electrode for efficient energy storage devices. Ceram. Int. 2020, 46, 4470–4476. [Google Scholar] [CrossRef]
- Saravanakumar, B.; Ko, T.H.; Kim, B.-S. Rational design of binder-free ZnCo2O4 and Fe2O3 decorated porous 3D Ni as high-performance electrodes for asymmetric supercapacitor. Ceram. Int. 2018, 44, 10635–10645. [Google Scholar] [CrossRef]
- Fu, W.; Li, X.; Zhao, C.; Liu, Y.; Zhang, P.; Zhou, J.; Pan, X.; Xie, E. Facile hydrothermal synthesis of flowerlike ZnCo2O4 microspheres as binder-free electrodes for supercapacitors. Mater. Lett. 2015, 149, 1–4. [Google Scholar] [CrossRef]
- Kamble, G.; Kashale, A.; Dhanayat, S.; Kolekar, S.; Ghule, A. Binder-free synthesis of high-quality nanocrystalline ZnCo2O4 thin film electrodes for supercapacitor application. Bull. Mater. Sci. 2019, 42, 272. [Google Scholar] [CrossRef] [Green Version]
- Younis, A.; Chu, D.; Li, S. Ethanol-directed morphological evolution of hierarchical CeOx architectures as advanced electrochemical capacitors. J. Mater. Chem. A 2015, 3, 13970–13977. [Google Scholar] [CrossRef]
- Zhang, D.; Zhang, Y.; Li, X.; Luo, Y.; Huang, H.; Chu, P.K.J.J.o.M.C.A. Self-assembly of mesoporous ZnCo2O4 nanomaterials: Density functional theory calculation and flexible all-solid-state energy storage. J. Mater. Chem. A 2016, 4, 568–577. [Google Scholar] [CrossRef]
- Wei, Q.; Wang, Q.; Li, Q.; An, Q.; Zhao, Y.; Peng, Z.; Jiang, Y.; Tan, S.; Yan, M.; Mai, L.J.N.E. Pseudocapacitive layered iron vanadate nanosheets cathode for ultrahigh-rate lithium ion storage. Nano Energy 2018, 47, 294–300. [Google Scholar] [CrossRef]
- Liu, B.; Liu, B.; Wang, Q.; Wang, X.; Xiang, Q.; Chen, D.; Shen, G. New energy storage option: Toward ZnCo2O4 nanorods/nickel foam architectures for high-performance supercapacitors. ACS Appl. Mater. Interfaces 2013, 5, 10011–10017. [Google Scholar] [CrossRef]
- Xu, Z.; Younis, A.; Xu, H.; Li, S.; Chu, D. Improved super-capacitive performance of carbon foam supported CeOx nanoflowers by selective doping and UV irradiation. RSC Adv. 2014, 4, 35067–35071. [Google Scholar] [CrossRef]
- Xu, Z.; Younis, A.; Chu, D.; Ao, Z.; Xu, H.; Li, S. Electrodeposition of Mesoporous Co3O4 Nanosheets on Carbon Foam for High Performance Supercapacitors. J. Nanomater. 2014, 2014, 902730. [Google Scholar] [CrossRef] [Green Version]
- Siyal, S.H.; Javed, M.S.; Ahmad, A.; Sajjad, M.; Batool, S.; Khan, A.J.; Akram, S.; Alothman, A.A.; Alshgari, R.A.; Najam, T. Free-standing 3D Co3O4@NF micro-flowers composed of porous ultra-long nanowires as an advanced cathode material for supercapacitor. Curr. Appl. Phys. 2021, 31, 221–227. [Google Scholar] [CrossRef]
- Abbas, Q.; Javed, M.S.; Ahmad, A.; Siyal, S.H.; Asim, I.; Luque, R.; Albaqami, M.D.; Tighezza, A.M.J.C. ZnO nano-flowers assembled on carbon fiber textile for high-performance supercapacitor’s electrode. Coatings 2021, 11, 1337. [Google Scholar] [CrossRef]
- Chen, H.; Jiang, J.; Zhao, Y.; Zhang, L.; Guo, D.; Xia, D. One-pot synthesis of porous nickel cobalt sulphides: Tuning the composition for superior pseudocapacitance. J. Mater. Chem. A 2015, 3, 428–437. [Google Scholar] [CrossRef]
- Xiao, X.; Wang, G.; Zhang, M.; Wang, Z.; Zhao, R.; Wang, Y. Electrochemical performance of mesoporous ZnCo2O4 nanosheets as an electrode material for supercapacitor. Ionics 2018, 24, 2435–2443. [Google Scholar] [CrossRef]
- Yu, H.; Zhao, H.; Wu, Y.; Chen, B.; Sun, J. Electrospun ZnCo2O4/C composite nanofibers with superior electrochemical performance for supercapacitor. J. Phys. Chem. Solids 2020, 140, 109385. [Google Scholar] [CrossRef]
- Moon, I.K.; Yoon, S.; Oh, J. Three-dimensional hierarchically mesoporous ZnCo2O4 nanowires grown on graphene/sponge foam for high-performance, flexible, all-solid-state supercapacitors. Chem.–A Eur. J. 2017, 23, 597–604. [Google Scholar] [CrossRef] [PubMed]
- Chen, H.; Wang, J.; Han, X.; Liao, F.; Zhang, Y.; Gao, L.; Xu, C. Facile synthesis of mesoporous ZnCo2O4 hierarchical microspheres and their excellent supercapacitor performance. Ceram. Int. 2019, 45, 8577–8584. [Google Scholar] [CrossRef]
- Rajesh, J.A.; Min, B.-K.; Kim, J.-H.; Kang, S.-H.; Kim, H.; Ahn, K.-S. Facile hydrothermal synthesis and electrochemical supercapacitor performance of hierarchical coral-like ZnCo2O4 nanowires. J. Electroanal. Chem. 2017, 785, 48–57. [Google Scholar] [CrossRef]
- Liu, B.; Zhang, J.; Wang, X.; Chen, G.; Chen, D.; Zhou, C.; Shen, G. Hierarchical three-dimensional ZnCo2O4 nanowire arrays/carbon cloth anodes for a novel class of high-performance flexible lithium-ion batteries. Nano Lett. 2012, 12, 3005–3011. [Google Scholar] [CrossRef]
- Bai, W.; Tong, H.; Gao, Z.; Yue, S.; Xing, S.; Dong, S.; Shen, L.; He, J.; Zhang, X.; Liang, Y. Preparation of ZnCo2O4 nanoflowers on a 3D carbon nanotube/nitrogen-doped graphene film and its electrochemical capacitance. J. Mater. Chem. A 2015, 3, 21891–21898. [Google Scholar] [CrossRef]
- Zhou, G.; Zhu, J.; Chen, Y.; Mei, L.; Duan, X.; Zhang, G.; Chen, L.; Wang, T.; Lu, B.J.E.A. Simple method for the preparation of highly porous ZnCo2O4 nanotubes with enhanced electrochemical property for supercapacitor. Electrochim. Acta 2014, 123, 450–455. [Google Scholar] [CrossRef]







| Serial No. | Electrode/Materials | Capacitance (F·g−1) | Current Density (A·g−1) | No. of Cycles (n) | Retention (%) | References |
|---|---|---|---|---|---|---|
| 1 | ZnCoO@NF | 1132 | 2 | 7000 | 99 | This work |
| 2 | ZnCo2O4 | 865.35 | 1.0 | 1000 | 73 | [31] |
| 3 | ZnCo2O4/C composite | 90.1 | 8.0 | 1000 | 96 | [32] |
| 4 | ZnCo2O4 NWs/rGO | 1116.6 | 2 | 5000 | 93.4 | [33] |
| 5 | ZnCo2O4-microsphere | 689 | 1.0 | 5000 | 98 | [34] |
| 6 | ZnCo2O4 nanowires | 694 | 2.0 | 2000 | 85 | [35] |
| 7 | ZnCo2O4 nanoflowers | 770 | 10 | 3000 | 89 | [36] |
| 8 | ZnCo2O4 microspheres | 647 | 1.0 | 3000 | 96 | [23] |
| 9 | Flower-like ZnCo2O4 | 689 | 1.0 | 1500 | 97 | [37] |
| 10 | ZnCo2O4 nanoparticles | 710 | 1.0 | 3000 | 84 | [38] |
Publisher’s Note: MDPI stays neutral with regard to jurisdictional claims in published maps and institutional affiliations. |
© 2022 by the authors. Licensee MDPI, Basel, Switzerland. This article is an open access article distributed under the terms and conditions of the Creative Commons Attribution (CC BY) license (https://creativecommons.org/licenses/by/4.0/).
Share and Cite
Abbas, Q.; Siyal, S.H.; Mateen, A.; Bajaber, M.A.; Ahmad, A.; Javed, M.S.; Martin, P.; Joly, N.; Bocchetta, P. Flower-like Highly Open-Structured Binder-Free Zn-Co-Oxide Nanosheet for High-Performance Supercapacitor Electrodes. Molecules 2022, 27, 4850. https://doi.org/10.3390/molecules27154850
Abbas Q, Siyal SH, Mateen A, Bajaber MA, Ahmad A, Javed MS, Martin P, Joly N, Bocchetta P. Flower-like Highly Open-Structured Binder-Free Zn-Co-Oxide Nanosheet for High-Performance Supercapacitor Electrodes. Molecules. 2022; 27(15):4850. https://doi.org/10.3390/molecules27154850
Chicago/Turabian StyleAbbas, Qasim, Sajid Hussain Siyal, Abdul Mateen, Majed A. Bajaber, Awais Ahmad, Muhammad Sufyan Javed, Patrick Martin, Nicolas Joly, and Patrizia Bocchetta. 2022. "Flower-like Highly Open-Structured Binder-Free Zn-Co-Oxide Nanosheet for High-Performance Supercapacitor Electrodes" Molecules 27, no. 15: 4850. https://doi.org/10.3390/molecules27154850
APA StyleAbbas, Q., Siyal, S. H., Mateen, A., Bajaber, M. A., Ahmad, A., Javed, M. S., Martin, P., Joly, N., & Bocchetta, P. (2022). Flower-like Highly Open-Structured Binder-Free Zn-Co-Oxide Nanosheet for High-Performance Supercapacitor Electrodes. Molecules, 27(15), 4850. https://doi.org/10.3390/molecules27154850

