Synthesis, Crystal Structure, Quantum Chemical Analysis, Electrochemical Behavior, and Antibacterial and Photocatalytic Activity of Co Complex with Pyridoxal-(S-Methyl)-isothiosemicarbazone Ligand
Abstract
:1. Introduction
2. Results
2.1. Crystal Structure
2.2. IR spectra of Complexes
2.3. Hirshfeld Surface Analysis
2.4. Structure Optimization
2.5. Stabilization Interactions and NBO Analysis
2.6. Photocatalytic Activity
2.7. Antibacterial Activity
2.8. Minimum Inhibition Concentration (MIC)
2.9. Measurement of Reactive Oxygen Species
2.10. Cyclic Voltammetry of [Co(PLITSC-H)2]BrNO3 •CH3OH
2.11. CV of Compound 1 under CO2
2.12. Magnetic Moment Measurements and Molar Conductivity of Complexes
3. Materials and Methods
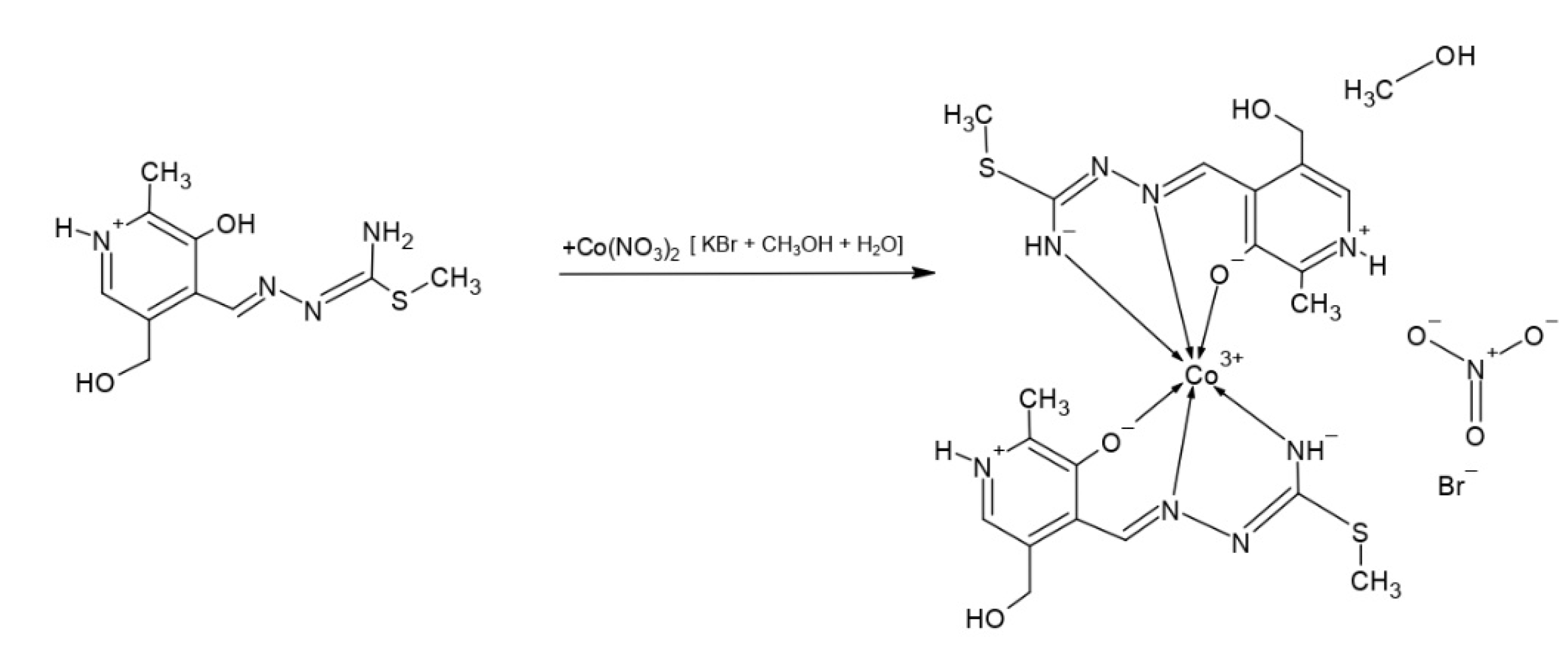
3.1. Synthesis of [Co(PLITSC-H)2]BrNO3·CH3OH (1)
3.2. IR Spectroscopy, Magnetic Susceptibility, Molar Conductivity, and Elemental Analysis
3.3. X-ray Analysis
3.4. Photocatalytic Activity
3.5. Antibacterial Activity
3.6. Minimum Inhibition Concentration (MIC)
3.7. Determination of ROS
3.8. Cyclic Voltammetry
3.9. Theoretical Calculations
4. Conclusions
Supplementary Materials
Author Contributions
Funding
Institutional Review Board Statement
Informed Consent Statement
Data Availability Statement
Acknowledgments
Conflicts of Interest
Sample Availability
References
- Lobana, T.S.; Sharma, R.; Bawa, G.; Khanna, S. Bonding and structure trends of thiosemicarbazone derivatives of metals—An overview. Coord. Chem. Rev. 2009, 253, 977–1055. [Google Scholar] [CrossRef]
- Casas, J.S.; Castao, M.V.; Cifuentes, M.C.; Sánchez, A.; Sordo, J. Synthesis and structures of acetylferrocene thiosemicarbazones and their dimethylthallium(III) complexes, which have four- or five-membered chelate rings. Polyhedron 2002, 21, 1651–1660. [Google Scholar] [CrossRef]
- Lobana, T.S.; Butcher, R.J. Metal—Thiosemicarbazone interactions. Synthesis of an iodo-bridged dinuclear [diiodobis ( pyrrole-2-carbaldehydethiosemicarbazone) dicopper (I)] complex. Transit. Met. Chem. 2004, 2004, 291–295. [Google Scholar]
- Lobana, T.S.; Bawa, G.; Butcher, R.J.; Liaw, B.J.; Liu, C.W. Thiosemicarbazonates of ruthenium(II): Crystal structures of [bis(diphenylphosphino)butane][bis(pyridine-2-carbaldehydethiosemicarbazonato)] ruthenium(II) and [bis(triphenylphosphine)][bis(benzaldehydethiosemicarbazonato)] ruthenium(II). Polyhedron 2006, 25, 2897–2903. [Google Scholar] [CrossRef]
- Lobana, T.S.; Kumari, P.; Zeller, M.; Butcher, R.J. The influence of the substituents at N1 nitrogen on geometry of nickel(II) complexes with heterocyclic thiosemicarbazones. Inorg. Chem. Commun. 2008, 11, 972–974. [Google Scholar] [CrossRef]
- Pal, I.; Basuli, F.; Mak, T.C.W.; Bhattacharya, S. Synthesis, structure, and properties of a novel heterooctametallic complex containing a cyclic Ru4Ni4 core. Angew. Chemie-Int. Ed. 2001, 40, 2923–2925. [Google Scholar] [CrossRef]
- Lhuachan, S.; Siripaisarnpipat, S.; Chaichit, N. Synthesis, spectra and crystal structure of two copper(I) complexes of acetonethiosemicarbazone. Eur. J. Inorg. Chem. 2003, 2003, 263–267. [Google Scholar] [CrossRef]
- Gómez-Saiz, P.; García-Tojal, J.; Maestro, M.A.; Mahía, J.; Arnaiz, F.J.; Lezama, L.; Rojo, T. New 1,3,4-oxadiazolecopper(II) derivatives obtained from thiosemicarbazone complexes. Eur. J. Inorg. Chem. 2003, 2, 2639–2650. [Google Scholar] [CrossRef]
- Rodić, M.V.; Radanović, M.M.; Vojinović-Ješić, L.S.; Belošević, S.K.; Jaćimović, Ž.K.; Leovac, V.M. Synthesis and crystal structure of copper(II) complexes with pyridoxal S-methylisothiosemicarbazone bearing a new coordination mode. J. Serbian Chem. Soc. 2019, 84, 467–476. [Google Scholar] [CrossRef] [Green Version]
- Leovac, V.M.; Jevtović, V.S.; Bogdanovic, G.A. Transition metal complexes with thio-semicarbazide-based ligands. XLIV1. Aqua(3-hydroxy-5-hydroxymethyl-2-methylpyridine-4-carboxaldehyde 3-methylisothiosemicarbazone-κ3O, N1, N4)nitratocopper(II) nitrate. Acta Crystallogr. Sect. C Cryst. Struct. Commun. 2002, 58, m514–m516. [Google Scholar] [CrossRef] [Green Version]
- Leovac, V.M.; Jevtović, V.S.; Jovanović, L.S.; Bogdanović, G.A. Metal complexes with schiff-base ligands—Pyridoxal and semicarbazide-based derivatives. J. Serbian Chem. Soc. 2005, 70, 393–422. [Google Scholar] [CrossRef]
- Jevtovic, V. Synthesis, Characterization and X-ray Crystal Structure of the Dimer Complex[Cu (PLITSC-2H) (NH3)]2·2H2O. Am. J. Med. Sci. 2013, 3, 148–152. [Google Scholar] [CrossRef]
- Jevtovic, V. Synthesis and Structural Analysis of a Cu (II) Complex Incorporating Pyridoxal-S-Methylisothiosemicarbazone (PLITSC) Ligand. Am. J. Chem. 2014, 4, 47–50. [Google Scholar] [CrossRef]
- Altamimi, A.S.; Al-zahrani, S.A.; Jevtovic, V. Synthesis, Structure Analysis and Antibacterial Activity of Zn (II) and Co (III) Complexes. Am. J. Chem. 2021, 11, 43–48. [Google Scholar] [CrossRef]
- West, D.X.; Liberta, A.E.; Padhye, S.B.; Chikate, R.C.; Sonawane, P.B.; Kumbhar, A.S.; Yerande, R.G. Thiosemicarbazone complexes of copper(II): Structural and biological studies. Coord. Chem. Rev. 1993, 123, 49–71. [Google Scholar] [CrossRef]
- Al-Zahrani, S.; Jevtovic, V.; Alenezi, K.; El, M.; Haque, A.; Vidovic, D. Electrocatalytic hydrogen evolution upon reduction of pyridoxal semicarbazone and thiosemicarbazone-based Cu(II) complexes. J. Serbian Chem. Soc. 2022, 87, 345–354. [Google Scholar] [CrossRef]
- Ohui, K.; Afanasenko, E.; Bacher, F.; Ting, R.L.X.; Zafar, A.; Blanco-Cabra, N.; Torrents, E.; Dömötör, O.; May, N.V.; Darvasiova, D.; et al. New Water-Soluble Copper(II) Complexes with Morpholine-Thiosemicarbazone Hybrids: Insights into the Anticancer and Antibacterial Mode of Action. J. Med. Chem. 2019, 62, 512–530. [Google Scholar] [CrossRef] [Green Version]
- Singh, N.K.; Kumbhar, A.A.; Pokharel, Y.R.; Yadav, P.N. Anticancer potency of copper(II) complexes of thiosemicarbazones. J. Inorg. Biochem. 2020, 210, 111134. [Google Scholar] [CrossRef]
- Jaćimović, Ž.K.; Leovac, V.M.; Giester, G.; Tomić, Z.D.; Szécsényi, K.M. Structural and thermal characterization of Fe(III) and Fe(II) complexes with tridentate ONO pyridoxal semicarbazone. J. Therm. Anal. Calorim. 2007, 90, 549–555. [Google Scholar] [CrossRef]
- Jevtovic, V.; Cvetkovic, D.; Vidovic, D. Synthesis, X-ray characterization and antimicrobial activity of iron(II) and cobalt(III) complexes with the schiff base derived from pyridoxal and semicarbazide or S-methylisothiosemicarbazide. J. Iran. Chem. Soc. 2011, 8, 727–733. [Google Scholar] [CrossRef]
- Leovac, V.M.; Divjaković, V.; Joksović, M.D.; Jovanović, L.S.; Vojinović-Ješić, L.S.; Češljević, V.I.; Mlinar, M. Transition metal complexes with thiosemicarbazide-based ligands. Part 57. Synthesis, spectral and structural characterization of dioxovanadium(V) and dioxomolybdenum(VI) complexes with pyridoxal S-methylisothiosemicarbazone. J. Serbian Chem. Soc. 2010, 75, 1063–1074. [Google Scholar] [CrossRef]
- Jevtovic, V.; Vidovic, D. Synthesis, characterization and X-ray crystal structure of the tri aqua (3-Hydroxy-5-Hydroxymethyl-2-Methylpyridine-4-Carboxaldehyde-3-Methylisotiosemicarbazone: k3, O3, N7, N10) Ni(II) nitrate. J. Chem. Crystallogr. 2010, 40, 794–798. [Google Scholar] [CrossRef]
- Poladian, Q.; Şahin, O.; Karakurt, T.; İlhan-Ceylan, B.; Kurt, Y. A new zinc(II) complex with N2O2-tetradentate schiff-base derived from pyridoxal-S-methylthiosemicarbazone: Synthesis, characterization, crystal structure, DFT, molecular docking and antioxidant activity studies. Polyhedron 2021, 201, 115164. [Google Scholar] [CrossRef]
- İlhan-Ceylan, B. Oxovanadium(Iv) template derived from benzophenone s-allyl thiosemicarbazone: Synthesis, crystal structure, antioxidant activity and electrochemistry. J. Turkish Chem. Soc. Sect. A Chem. 2021, 8, 593–608. [Google Scholar] [CrossRef]
- Danac, R.; Pui, A.; Corja, I.; Amarandi, R.M.; Ciobanu, C.I.; Apostu, M.O.; Palamarciuc, O. New M(II) (M=Mn, Co, Ni, Cu, Zn, Pd) coordinative compounds with 2-formylpyridine S-methyl-isothiosemicarbazide. J. Mol. Struct. 2020, 1207, 127747. [Google Scholar] [CrossRef]
- Graur, V.; Usataia, I.; Bourosh, P.; Kravtsov, V.; Garbuz, O.; Hureau, C.; Gulea, A. Synthesis, characterization, and biological activity of novel 3d metal coordination compounds with 2-acetylpyridine N4-allyl-S-methylisothiosemicarbazone. Appl. Organomet. Chem. 2021, 35, e6172. [Google Scholar] [CrossRef]
- Graur, V.; Chumakov, Y.; Garbuz, O.; Hureau, C.; Tsapkov, V.; Gulea, A. Synthesis, Structure, and Biologic Activity of Some Copper, Nickel, Cobalt, and Zinc Complexes with 2-Formylpyridine N4-Allylthiosemicarbazone. Bioinorg. Chem. Appl. 2022, 2022, 2705332. [Google Scholar] [CrossRef]
- Manikandan, R.; Anitha, P.; Prakash, G.; Vijayan, P.; Viswanathamurthi, P. Synthesis, spectral characterization and crystal structure of Ni(II) pyridoxal thiosemicarbazone complexes and their recyclable catalytic application in the nitroaldol (Henry) reaction in ionic liquid media. Polyhedron 2014, 81, 619–627. [Google Scholar] [CrossRef]
- Manikandan, R.; Anitha, P.; Viswanathamurthi, P.; Malecki, J.G. Palladium(II) pyridoxal thiosemicarbazone complexes as efficient and recyclable catalyst for the synthesis of propargylamines by a three-component coupling reactions in ionic liquids. Polyhedron 2016, 119, 300–306. [Google Scholar] [CrossRef]
- Manikandan, R.; Anitha, P.; Prakash, G.; Vijayan, P.; Viswanathamurthi, P.; Butcher, R.J.; Malecki, J.G. Ruthenium(II) carbonyl complexes containing pyridoxal thiosemicarbazone and trans-bis(triphenylphosphine/arsine): Synthesis, structure and their recyclable catalysis of nitriles to amides and synthesis of imidazolines. J. Mol. Catal. A Chem. 2015, 398, 312–324. [Google Scholar] [CrossRef]
- Pisk, J.; Prugovečki, B.; Matković-Čalogović, D.; Poli, R.; Agustin, D.; Vrdoljak, V. Charged dioxomolybdenum(VI) complexes with pyridoxal thiosemicarbazone ligands as molybdenum (V) precursors in oxygen atom transfer process and epoxidation (pre)catalysts. Polyhedron 2012, 33, 441–449. [Google Scholar] [CrossRef]
- Jevtovic, V.; Alenezi, K.M.; El Moll, H.; Haque, A.; Humaidi, J.; Al-Zahrani, S.A.; Vidovic, D. Pydridoxal (Thio) Semicarbazone Ligands And Their Fe(Iii) Complexes As Potential Electrocatalysts For Hydrogen Evolution Raction. Int. J. Electrochem. Sci. 2021, 16, 210731. [Google Scholar] [CrossRef]
- Jevtovic, V.; Alenezi, K.M.; El Moll, H.; Haque, A.; Al-Zahrani, S.A.; Humaidi, J.; Vidovic, D. Hydrogen Evolution Reaction Performance of Co(II) and Co(III) Complexes Based on pyridoxal (thio)semicarbazones. J. Chem. Soc. Pakistan 2021, 43, 673–681. [Google Scholar] [CrossRef]
- Osman, U.M.; Silvarajoo, S.; Kamarudin, K.H.; Tahir, M.I.M.; Kwong, H.C. Ni(II) complex containing a thiosemicarbazone ligand: Synthesis, spectroscopy, single-crystal X-ray crystallographic and conductivity studies. J. Mol. Struct. 2021, 1223, 128994. [Google Scholar] [CrossRef]
- Devi, J.; Yadav, M.; Jindal, D.K.; Kumar, D.; Poornachandra, Y. Synthesis, spectroscopic characterization, biological screening and in vitro cytotoxic studies of 4-methyl-3-thiosemicarbazone derived Schiff bases and their Co (II), Ni (II), Cu (II) and Zn (II) complexes. Appl. Organomet. Chem. 2019, 33, e5154. [Google Scholar] [CrossRef]
- El-Shazly, R.M.; Al-Hazmi, G.A.A.; Ghazy, S.E.; El-Shahawi, M.S.; El-Asmy, A.A. Spectroscopic, thermal and electrochemical studies on some nickel(II) thiosemicarbazone complexes. Spectrochim. Acta-Part A Mol. Biomol. Spectrosc. 2005, 61, 243–252. [Google Scholar] [CrossRef]
- Jevtovic, V. Cu, Fe, Ni and V Complexes with Pyridoxal Semicarbazones, Synthesis, Physical and Chemical Properties, Structural Analyses and Biological Activities; Lambert Academic Publishing: Heisenberg, Germany, 2010. [Google Scholar]
- Basri, R.; Khalid, M.; Shafiq, Z.; Tahir, M.S.; Khan, M.U.; Tahir, M.N.; Naseer, M.M.; Braga, A.A.C. Exploration of chromone-based thiosemicarbazone derivatives: SC-XRD/DFT, spectral (IR, UV−Vis) characterization, and quantum chemical analysis. ACS Omega 2020, 5, 30176–30188. [Google Scholar] [CrossRef]
- Nakamoto, K. Infrared and Ramon Spectra of Inorganic and Coordination Compounds; Wiley Interscience: New York, NY, USA, 1997. [Google Scholar]
- Shobana, D.; Sudha, S.; Ramarajan, D.; Ristivojević, N.; Rakić, A.; Dimić, D. Structural, spectroscopic (IR, Raman, and NMR), quantum chemical, and molecular docking analysis of (E)-2-(2,5-dimethoxybenzylidene)hydrazinecarbothioamide and its dimers. J. Mol. Struct. 2022, 1247, 131277. [Google Scholar] [CrossRef]
- Shobana, D.; Sudha, S.; Ramarajan, D.; Dimić, D. Synthesis, crystal structure, spectral characterization and Hirshfeld surface analysis of (E)-N′-(3-ethoxy-4-hydroxybenzylidene)-4-fluorobenzohydrazide single-crystal—A novel NLO active material. J. Mol. Struct. 2022, 1250, 131856. [Google Scholar] [CrossRef]
- Gunzler, H.G.; Bock, H. IR Spectroscopies; Chemie: Wcinheim, Germany, 1975. [Google Scholar]
- Ferrari, M.B.; Fava, G.G.; Tarasconi, P. Thiosemicarbazones as Co-ordinating Agents. Part 3t Synthesis, Spectroscopic Characterization, and X-ray Structure of Methyl Pyruvate Thiosemicarbazone Hemihydrate, Chloro(ethy1 pyruvate thiosemicarbazonato)copper(II) (Green Form), and Chloro(pyruvic) ac. J. Chem Soc. Dalt. TRANS 1989, 1–6. [Google Scholar]
- Khanye, S.D.; Smith, G.S.; Lategan, C.; Smith, P.J.; Gut, J.; Rosenthal, P.J.; Chibale, K. Synthesis and in vitro evaluation of gold(I) thiosemicarbazone complexes for antimalarial activity. J. Inorg. Biochem. 2010, 104, 1079–1083. [Google Scholar] [CrossRef] [PubMed]
- Dimić, D.S.; Marković, Z.S.; Saso, L.; Avdović, E.H.; Đorović, J.R.; Petrović, I.P.; Danijela, D.S.; Stevanović, M.J.; Potočňák, I.; Samoľová, E.; et al. Synthesis and characterization of 3-(1-((3,4-dihydroxyphenethyl)amino)ethylidene)-chroman-2,4-dione as potentional anti-tumor agent. Oxid. Med. Cell. Longev. 2019, 2019, 2069250. [Google Scholar] [CrossRef] [PubMed] [Green Version]
- Dimić, D.; Milenković, D.; Marković, Z.; Marković, J.D. Structural and spectral analysis of 3-metoxytyramine, an important metabolite of dopamine. J. Mol. Struct. 2017, 1134, 226–236. [Google Scholar] [CrossRef]
- Chatterjee, S.; Kumar, A.; Basu, S.; Dutta, S. Application of Response Surface Methodology for Methylene Blue dye removal from aqueous solution using low cost adsorbent. Chem. Eng. J. 2012, 181–182, 289–299. [Google Scholar] [CrossRef]
- Garg, V.K.; Amita, M.; Kumar, R.; Gupta, R. Basic dye (methylene blue) removal from simulated wastewater by adsorption using Indian Rosewood sawdust: A timber industry waste. Dy. Pigment. 2004, 63, 243–250. [Google Scholar] [CrossRef]
- Pavan, F.A.; Mazzocato, A.C.; Gushikem, Y. Removal of methylene blue dye from aqueous solutions by adsorption using yellow passion fruit peel as adsorbent. Bioresour. Technol. 2008, 99, 3162–3165. [Google Scholar] [CrossRef] [PubMed]
- Warang, T.; Patel, N.; Santini, A.; Bazzanella, N.; Kale, A.; Miotello, A. Pulsed laser deposition of CO3O4 nanoparticles assembled coating: Role of substrate temperature to tailor disordered to crystalline phase and related photocatalytic activity in degradation of methylene blue. Appl. Catal. A Gen. 2012, 423–424, 21–27. [Google Scholar] [CrossRef]
- Uddin, M.T.; Islam, M.A.; Mahmud, S.; Rukanuzzaman, M. Adsorptive removal of methylene blue by tea waste. J. Hazard. Mater. 2009, 164, 53–60. [Google Scholar] [CrossRef]
- Mowry, S.; Ogren, P.J. Kinetics of Methylene Blue Reduction by Ascorbic Acid. J. Chem. Educ. 1999, 76, 970–974. [Google Scholar] [CrossRef]
- Pande, S.; Ghosh, S.K.; Nath, S.; Praharaj, S.; Jana, S.; Panigrahi, S.; Basu, S.; Pal, T. Reduction of methylene blue by thiocyanate: Kinetic and thermodynamic aspects. J. Colloid Interface Sci. 2006, 299, 421–427. [Google Scholar] [CrossRef]
- Wu, C.H.; Chern, J.M. Kinetics of photocatalytic decomposition of methylene blue. Ind. Eng. Chem. Res. 2006, 45, 6450–6457. [Google Scholar] [CrossRef]
- Shams, S.; Ahmad, W.; Memon, A.H.; Shams, S.; Wei, Y.; Yuan, Q.; Liang, H. Cu/H3BTC MOF as a potential antibacterial therapeutic agent against: Staphylococcus aureus and Escherichia coli. N. J. Chem. 2020, 44, 17671–17678. [Google Scholar] [CrossRef]
- Bhardwaj, N.; Pandey, S.K.; Mehta, J.; Bhardwaj, S.K.; Kim, K.H.; Deep, A. Bioactive nano-metal-organic frameworks as antimicrobials against Gram-positive and Gram-negative bacteria. Toxicol. Res. 2018, 7, 931–941. [Google Scholar] [CrossRef] [PubMed] [Green Version]
- Kizilcikli, I.; Kurt, Y.D.; Akkurt, B.; Genel, A.Y.; Birteksöz, S.; Ötük, G.; Ülküseven, B. Antimicrobial activity of a series of thiosemicarbazones and their Zn II and PdII complexes. Folia Microbiol. 2007, 52, 15–25. [Google Scholar] [CrossRef]
- Akbari, A.; Ghateazadeh, H.; Takjoo, R.; Sadeghi-Nejad, B.; Mehrvar, M.; Mague, J.T. Synthesis & crystal structures of four new biochemical active Ni(II) complexes of thiosemicarbazone and isothiosemicarbazone-based ligands: In vitro antimicrobial study. J. Mol. Struct. 2019, 1181, 287–294. [Google Scholar] [CrossRef]
- Qi, J.; Wang, X.; Liu, T.; Kandawa-Schulz, M.; Wang, Y.; Zheng, X. Synthesis, antiproliferative activity and mechanism of copper(II)-thiosemicarbazone complexes as potential anticancer and antimicrobial agents. J. Coord. Chem. 2020, 73, 1208–1221. [Google Scholar] [CrossRef]
- Alam, N.; Tahir, K.; Nazir, S.; Khan, A.U.; Albalawi, K.; Refat, M.S.; Almarhoon, Z.M.; Jevtovic, V.; Al-Shehri, H.S.; Aldawsari, A.M. Effect of light-dark conditions on inhibition of Gram positive and gram negative bacteria and dye decomposition in the presence of photocatalyst Co/ZnO nanocomposite synthesized by ammonia evaporation method. Photodiagnosis Photodyn. Ther. 2022, 38, 102853. [Google Scholar] [CrossRef]
- Ramalingam, B.; Parandhaman, T.; Das, S.K. Antibacterial Effects of Biosynthesized Silver Nanoparticles on Surface Ultrastructure and Nanomechanical Properties of Gram-Negative Bacteria viz. Escherichia coli and Pseudomonas aeruginosa. ACS Appl. Mater. Interfaces 2016, 8, 4963–4976. [Google Scholar] [CrossRef] [PubMed]
- Mabbott, G.A. An introduction to cyclic voltammetry. J. Chem. Educ. 1983, 60, 697–702. [Google Scholar] [CrossRef]
- Khan, A.U.; Khan, Q.U.; Tahir, K.; Ullah, S.; Arooj, A.; Li, B.; Rehman, K.U.; Nazir, S.; Khan, M.U.; Ullah, I. A Tagetes minuta based eco-benign synthesis of multifunctional Au/MgO nanocomposite with enhanced photocatalytic, antibacterial and DPPH scavenging activities. Mater. Sci. Eng. C 2021, 126, 112146. [Google Scholar] [CrossRef] [PubMed]
- Khan, A.U.; Arooj, A.; Tahir, K.; Ibrahim, M.M.; Jevtovic, V.; AL-Abdulkarim, H.A.; Saleh, E.A.M.; Al-Shehri, H.S.; Amin, M.A.; Li, B. Facile fabrication of novel Ag2S-ZnO/GO nanocomposite with its enhanced photocatalytic and biological applications. J. Mol. Struct. 2022, 1251, 131991. [Google Scholar] [CrossRef]
- Khan, A.U.; Nazir, S.; El-Keblawy, A.; Tahir, K.; Abdel-Hafez, S.H.; AL-Abdulkarim, H.A.; Jevtovic, V.; Ibrahim, M.M.; Al-Shehri, H.S.; Hegab, K.H. Uncaria rhynchophylla mediated Ag/NiO nanocomposites: A new insight for the evaluation of cytotoxicity, antibacterial and photocatalytic applications. Photodiagn. Photodyn. Ther. 2022, 37, 102681. [Google Scholar] [CrossRef] [PubMed]
- Frisch, M.J.; Trucks, G.W.; Schlegel, H.B.; Scuseria, G.E.; Robb, M.A.; Cheeseman, J.R.; Scalmani, G.; Barone, V.; Mennucci, B.; Petersson, G.A.; et al. Gaussian; Gaussian, Inc.: Wallingford, CT, USA, 2009. [Google Scholar]
- Reed, A.E.; Weinstock, R.B.; Weinhold, F. Natural population analysis. J. Chem. Phys. 1985, 83, 735–746. [Google Scholar] [CrossRef]
- Turner, M.J.; McKinnon, J.J.; Wolff, S.K.; Grimwood, D.J.; Spackman, P.R.; Jayatilaka, D.; Spackman, M.A. CrystalExplorer; University of Western Australia: Perth, Australia, 2017. [Google Scholar]
- Spackman, M.A.; Byrom, P.G. A novel definition of a molecule in a crystal. Chem. Phys. Lett. 1997, 267, 215–220. [Google Scholar] [CrossRef]











| Empirical Formula | C21 H30 Br0.55 Co N8.45 O6.35 S2 |
| Formula weight | 669.43 |
| Temperature | 123 K |
| Wavelength | 0.71073 |
| Crystal System | monoclinic |
| Space group | P-1 |
| Volume | 1386.27 (5) |
| Unit cell dimension | a = 8.7000 (2); b = 10.8488 (2); c = 15.9018 (3); |
| Z | Alpha = 74.505 (1); Beta = 82.126 (1); Gamma = 73.881 (1) |
| The Bonds Length [Å] | Angles [°] |
|---|---|
| Co1-O2 1.911 (2) | O2-Co1-O3 87.50 (6) |
| Co1-O3 1.879 (1) | O2-Co1-N2 95.56 (7) |
| Co1-N2 1.877 (1) | O2-Co1-N7 88.64 (7) |
| Co1-N7 1.882 (2) | O2-Co1-N4 177.58 (7) |
| Co1-N4 1.885 (2) | O2-Co1-N5 92.97 (7) |
| Co1-N5 1.887 (2) | O3-Co1-N2 88.31 (7) |
| Microorganisms | Concentration (mg mL−1) | Zone of Inhibition (mm) | |||
|---|---|---|---|---|---|
| Compound 1 | Compound 2 | Streptomycin | Negative Control | ||
| S. aureus | 0.25 | 7.0 ± 0.2 | 0.3 ± 0.2 | 15 ± 0.3 | Zero inhibition |
| 0.5 | 11.0 ± 0.3 | 0.8 ± 0.3 | |||
| 1 | 14.0 ± 0.3 | 2.6 ± 0.3 | |||
| 2 | 17.0 ± 0.4 | 4.8 ± 0.4 | |||
| E. coli | 0.25 | 5.0 ± 0.1 | 0.2 ± 0.1 | 13 ± 0.2 | Zero inhibition |
| 0.5 | 8.0 ± 0.2 | 0.9 ± 0.3 | |||
| 1 | 11.0 ± 0.4 | 1.9 ± 0.3 | |||
| 2 | 14.0 ± 0.4 | 3.4 ± 0.4 | |||
| Bacteria | Tested Sample (μg mL−1) | ||||||
|---|---|---|---|---|---|---|---|
| 60 | 50 | 40 | 30 | 20 | Compound 2 | Chloramphenicol | |
| S. aureus | − | − | − | − | − | >1000 | 5 |
| E. coli | − | − | − | − | + | >1000 | 5 |
| P. aeruginosa | − | − | − | − | + | >1000 | 50 |
Publisher’s Note: MDPI stays neutral with regard to jurisdictional claims in published maps and institutional affiliations. |
© 2022 by the authors. Licensee MDPI, Basel, Switzerland. This article is an open access article distributed under the terms and conditions of the Creative Commons Attribution (CC BY) license (https://creativecommons.org/licenses/by/4.0/).
Share and Cite
Jevtović, V.; Hamoud, H.; Al-Zahrani, S.; Alenezi, K.; Latif, S.; Alanazi, T.; Abdulaziz, F.; Dimić, D. Synthesis, Crystal Structure, Quantum Chemical Analysis, Electrochemical Behavior, and Antibacterial and Photocatalytic Activity of Co Complex with Pyridoxal-(S-Methyl)-isothiosemicarbazone Ligand. Molecules 2022, 27, 4809. https://doi.org/10.3390/molecules27154809
Jevtović V, Hamoud H, Al-Zahrani S, Alenezi K, Latif S, Alanazi T, Abdulaziz F, Dimić D. Synthesis, Crystal Structure, Quantum Chemical Analysis, Electrochemical Behavior, and Antibacterial and Photocatalytic Activity of Co Complex with Pyridoxal-(S-Methyl)-isothiosemicarbazone Ligand. Molecules. 2022; 27(15):4809. https://doi.org/10.3390/molecules27154809
Chicago/Turabian StyleJevtović, Violeta, Haneen Hamoud, Salma Al-Zahrani, Khalaf Alenezi, Salman Latif, Tahani Alanazi, Fahad Abdulaziz, and Dušan Dimić. 2022. "Synthesis, Crystal Structure, Quantum Chemical Analysis, Electrochemical Behavior, and Antibacterial and Photocatalytic Activity of Co Complex with Pyridoxal-(S-Methyl)-isothiosemicarbazone Ligand" Molecules 27, no. 15: 4809. https://doi.org/10.3390/molecules27154809
APA StyleJevtović, V., Hamoud, H., Al-Zahrani, S., Alenezi, K., Latif, S., Alanazi, T., Abdulaziz, F., & Dimić, D. (2022). Synthesis, Crystal Structure, Quantum Chemical Analysis, Electrochemical Behavior, and Antibacterial and Photocatalytic Activity of Co Complex with Pyridoxal-(S-Methyl)-isothiosemicarbazone Ligand. Molecules, 27(15), 4809. https://doi.org/10.3390/molecules27154809

