Phenolic Compounds’ Occurrence in Opuntia Species and Their Role in the Inflammatory Process: A Review
Abstract
1. Introduction
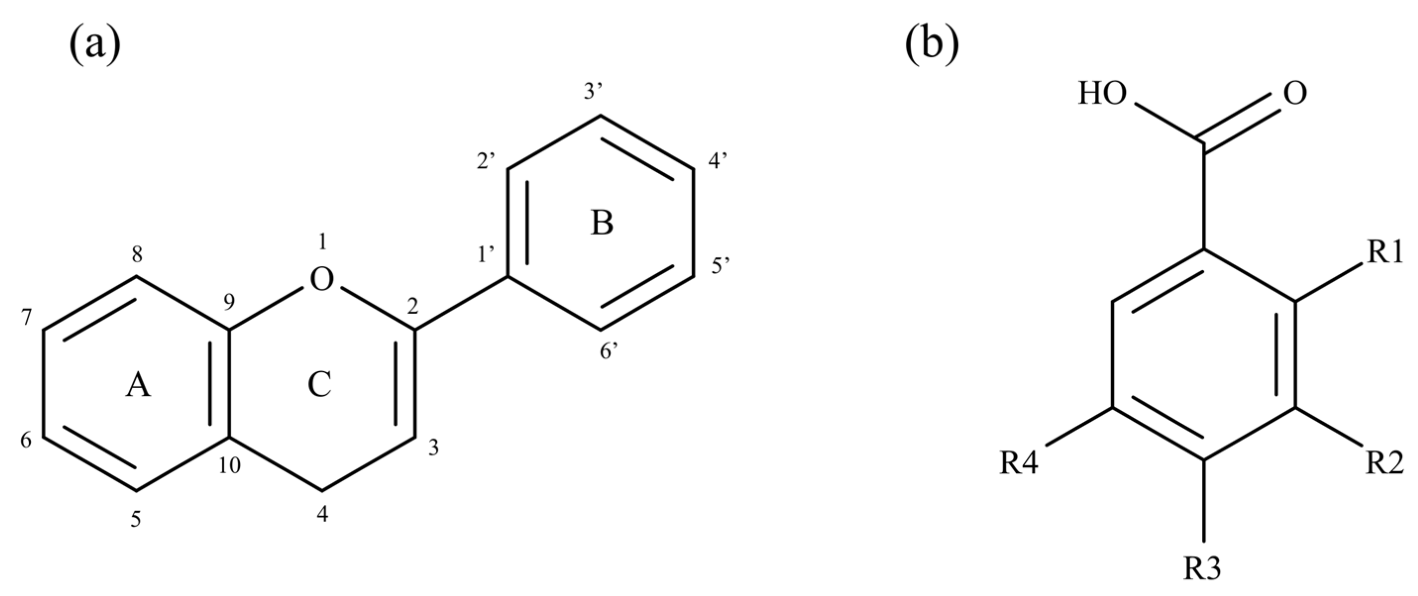
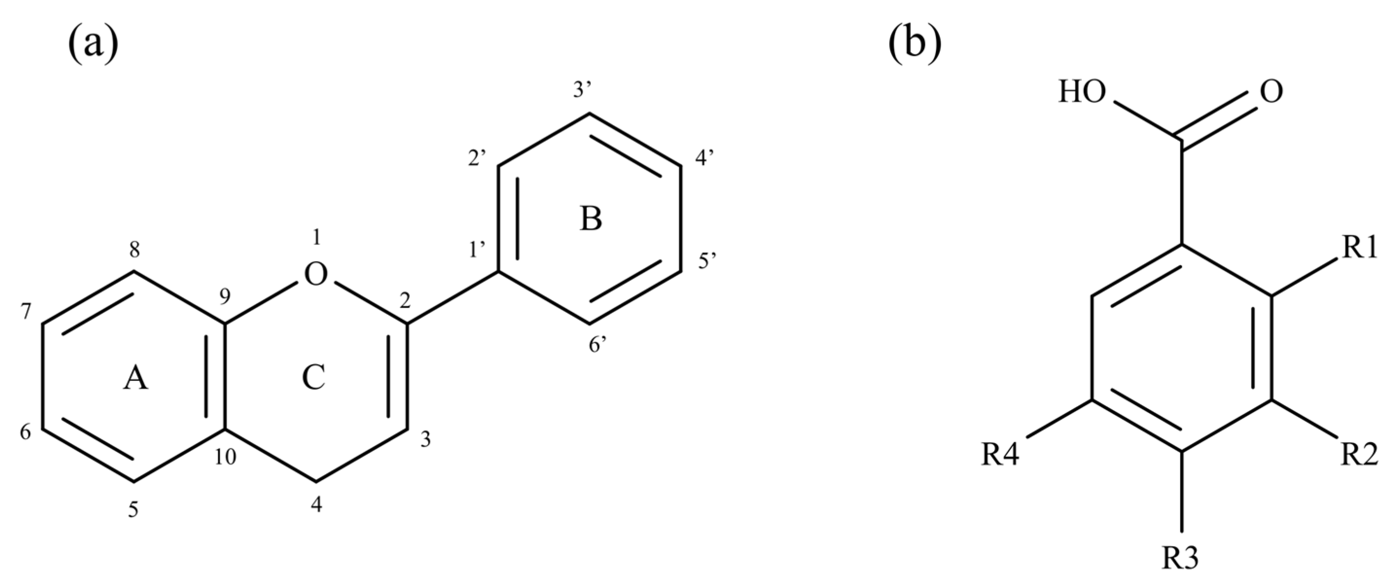
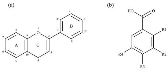
2. Phenolic Compounds
2.1. General Overview
2.2. Phenolic Compounds’ Occurrence in Opuntia sp.
3. Opuntia sp. in Inflammation
3.1. Modulation of Inflammatory Mediators and Enzymes
3.2. Anti-Inflammatory Activity In Vivo
4. Conclusions
Author Contributions
Funding
Institutional Review Board Statement
Informed Consent Statement
Data Availability Statement
Acknowledgments
Conflicts of Interest
References
- Sáenz, C. Opuntias as a natural resource. In Agro-Industrial Utilization of Cactus Pear; Sáenz, C., Berger, H., Rodríguez-Félix, A., Galletti, L., García, J.C., Sepúlveda, E., Varnero, M.T., García de Cortázar, V., García, R.C., Arias, E., et al., Eds.; Rural Infrastructure and Agro-Industries Division: Rome, Italy, 2013; pp. 17–21. [Google Scholar]
- El-Mostafa, K.; El-Kharrassi, Y.; Badreddine, A.; Andreoletti, P.; Vamecq, J.; El-Kebbaj, M.S.; Latruffe, N.; Lizard, G.; Nasser, B.; Cherkaoui-Malki, M. Nopal Cactus (Opuntia ficus-indica) as a Source of Bioactive Compounds for Nutrition, Health and Disease. Molecules 2014, 19, 14879–14901. [Google Scholar] [CrossRef] [PubMed]
- Labra, M.; Grassi, F.; Bardini, M.; Imazio, S.; Guiggi, A.; Citterio, S.; Banfi, E.; Sgorbati, S. Genetic Relationships in Opuntia Mill. Genus (Cactaceae) Detected by Molecular Marker. Plant Sci. 2003, 165, 1129–1136. [Google Scholar] [CrossRef]
- Hahm, S.-W.; Park, J.; Oh, S.-Y.; Lee, C.-W.; Park, K.-Y.; Kim, H.; Son, Y.-S. Anticancer Properties of Extracts from Opuntia humifusa against Human Cervical Carcinoma Cells. J. Med. Food 2015, 18, 31–44. [Google Scholar] [CrossRef] [PubMed]
- Callen, E.O. Analysis of the Tehuacan coprolites. In The Prehistory of the Tehuacan Valley; Byers, D.S., Ed.; University of Texas Press: London, UK, 1967; Volume 1, pp. 261–289. [Google Scholar]
- Santos-Díaz, M.S.; Balch, E.P.M.; Ramírez-Malagón, R.; Nuñez-Palenius, H.G.; Ochoa-Alejo, N. Mexican threatened cacti: Current status and strategies for their conservation. In Species Diversity and Extinction; Nova Science Publishers: Hauppauge, NY, USA, 2011; pp. 1–59. [Google Scholar]
- Kamble, S.M.; Debaje, P.P.; Ranveer, R.C.; Sahoo, A. Nutritional Importance of Cactus: A Review. Trends Biosci. 2017, 10, 7668–7677. [Google Scholar]
- Ochoa, M.J.; Barbera, G. History and economic and agro-ecological importance. In Crop Ecology, Cultivation and Uses of Cactus Pear; Inglese, P., Mondragon, C., Nefzaoui, A., Sáenz, C., Eds.; Food and Agriculture Organization of the United Nations (FAO): Rome, Italy, 2017; pp. 1–11. [Google Scholar]
- Ganopoulos, I.; Kalivas, A.; Kavroulakis, N.; Xanthopoulou, A.; Mastrogianni, A.; Koubouris, G.; Madesis, P. Genetic Diversity of Barbary Fig (Opuntia ficus-indica) Collection in Greece with ISSR Molecular Markers. Plant Gene 2015, 2, 29–33. [Google Scholar] [CrossRef]
- Zeghbib, W.; Boudjouan, F.; Bachir-bey, M. Optimization of Phenolic Compounds Recovery and Antioxidant Activity Evaluation from Opuntia ficus indica Using Response Surface Methodology. J. Food Meas. Charact. 2022, 16, 1354–1366. [Google Scholar] [CrossRef]
- Gurrieri, S.; Miceli, L.; Lanza, C.M.; Tomaselli, F.; Bonomo, R.P.; Rizzarelli, E. Chemical Characterization of Sicilian Prickly Pear (Opuntia ficus indica) and Perspectives for the Storage of Its Juice. J. Agric. Food Chem. 2000, 48, 5424–5431. [Google Scholar] [CrossRef]
- Benayad, Z.; Martinez-Villaluenga, C.; Frias, J.; Gomez-Cordoves, C.; Es-Safi, N.E. Phenolic Composition, Antioxidant and Anti-Inflammatory Activities of Extracts from Moroccan Opuntia ficus-indica Flowers Obtained by Different Extraction Methods. Ind. Crops Prod. 2014, 62, 412–420. [Google Scholar] [CrossRef]
- Kaur, M.; Kaur, A.; Sharma, R. Pharmacological Actions of Opuntia ficus indica: A Review. J. App. Pharm. Sci. 2012, 2, 15–18. [Google Scholar] [CrossRef]
- Leem, K.-H.; Kim, M.-G.; Hahm, Y.-T.; Kim, H.K. Hypoglycemic Effect of Opuntia Ficus-Indica Var. Saboten Is Due to Enhanced Peripheral Glucose Uptake through Activation of AMPK/P38 MAPK Pathway. Nutrients 2016, 8, 800. [Google Scholar] [CrossRef]
- Hernández-Urbiola, M.I.; Pérez-Torrero, E.; Rodríguez-García, M.E. Chemical Analysis of Nutritional Content of Prickly Pads (Opuntia ficus indica) at Varied Ages in an Organic Harvest. Int. J. Environ. Res. Public Health 2011, 8, 1287–1295. [Google Scholar] [CrossRef] [PubMed]
- Slimen, I.B.; Mabrouk, M.; Hanène, C.; Najar, T.; Abderrabba, M. LC-MS Analysis of Phenolic Acids, Flavonoids and Betanin from Spineless Opuntia ficus-indica Fruits. Cell Biol. 2017, 5, 17–28. [Google Scholar] [CrossRef]
- Zenteno-Ramírez, G.; Juárez-Flores, B.I.; Aguirre-Rivera, J.R.; Monreal-Montes, M.; García, J.M.; Serratosa, M.P.; Santos, M.Á.V.; Pérez, M.D.O.; Rendón-Huerta, J.A. Juices of Prickly Pear Fruits (Opuntia spp.) As Functional Foods. Ital. J. Food Sci. 2018, 30, 614–627. [Google Scholar] [CrossRef]
- Ćavar Zeljković, S.; Šišková, J.; Komzáková, K.; de Diego, N.; Kaffková, K.; Tarkowski, P. Phenolic Compounds and Biological Activity of Selected Mentha Species. Plants 2021, 10, 550. [Google Scholar] [CrossRef]
- Yeddes, N.; Chérif, J.K.; Guyot, S.; Sotin, H.; Ayadi, M.T. Comparative Study of Antioxidant Power, Polyphenols, Flavonoids and Betacyanins of the Peel and Pulp of Three Tunisian Opuntia Forms. Antioxidants 2013, 2, 37–51. [Google Scholar] [CrossRef] [PubMed]
- Pérez-Loredo, M.G.; García-Ochoa, F.; Barragán-Huerta, B.E. Comparative Analysis of Betalain Content in Stenocereus Stellatus Fruits and Other Cactus Fruits Using Principal Component Analysis. Int. J. Food Prop. 2016, 19, 326–338. [Google Scholar] [CrossRef]
- Murevanhema, Y.Y.; Jideani, V.A.; Oguntibeju, O.O. Review on potential of seeds and value-added products of bambara groundnut (Vigna Subterranea): Antioxidant, anti-inflammatory, and anti-oxidative stress. In Bioactive Compounds of Medicinal Plants; Goyal, M.R., Ayeleso, A.O., Eds.; Apple Academic Press: New York, NY, USA, 2018; pp. 102–141. ISBN 978-1-315-14747-5. [Google Scholar]
- De Santiago, E.; Gill, C.I.R.; Carafa, I.; Tuohy, K.M.; de Peña, M.-P.; Cid, C. Digestion and Colonic Fermentation of Raw and Cooked Opuntia ficus-indica Cladodes Impacts Bioaccessibility and Bioactivity. J. Agric. Food Chem. 2019, 67, 2490–2499. [Google Scholar] [CrossRef]
- Osuna-Martínez, L.; Reyes Esparza, J.; Rodríguez-Fragoso, L. Cactus (Opuntia ficus-indica): A Review on Its Antioxidants Properties and Potential Pharmacological Use in Chronic Diseases. Stud. Nat. Prod. Chem. 2014, 2, 153–160. [Google Scholar] [CrossRef]
- Santos-Sánchez, N.F.; Salas-Coronado, R.; Villanueva-Cañongo, C.; Hernández-Carlos, B. Antioxidant compounds and their antioxidant mechanism. In Antioxidants; Shalaby, E., Ed.; IntechOpen: London, UK, 2019; ISBN 978-1-78923-920-1. [Google Scholar]
- Shan, S.; Huang, X.; Shah, M.H.; Abbasi, A.M. Evaluation of Polyphenolics Content and Antioxidant Activity in Edible Wild Fruits. Biomed. Res. Int. 2019, 2019, e1381989. [Google Scholar] [CrossRef]
- Biswas, S.K. Does the Interdependence between Oxidative Stress and Inflammation Explain the Antioxidant Paradox? Oxid. Med. Cell Longev. 2016, 2016, 5698931. [Google Scholar] [CrossRef]
- Chatterjee, S. Chapter two—Oxidative stress, inflammation, and disease. In Oxidative Stress and Biomaterials; Dziubla, T., Butterfield, D.A., Eds.; Academic Press: Cambridge, MA, USA, 2016; pp. 35–58. ISBN 978-0-12-803269-5. [Google Scholar]
- Maroon, J.C.; Bost, J.W.; Maroon, A. Natural Anti-Inflammatory Agents for Pain Relief. Surg. Neurol. Int. 2010, 1, 80. [Google Scholar] [CrossRef] [PubMed]
- Crozier, A.; Jaganath, I.B.; Clifford, M.N. Phenols, polyphenols and tannins: An overview. In Plant Secondary Metabolites; Crozier, A., Clifford, M.N., Ashihara, H., Eds.; John Wiley & Sons, Ltd.: Hoboken, NJ, USA, 2006; pp. 1–24. ISBN 978-0-470-98855-8. [Google Scholar]
- De la Rosa, L.A.; Alvarez-Parrilla, E.; Shahidi, F. Phenolic Compounds and Antioxidant Activity of Kernels and Shells of Mexican Pecan (Carya Illinoinensis). J. Agric. Food Chem. 2011, 59, 152–162. [Google Scholar] [CrossRef] [PubMed]
- Chu, K.O.; Chan, S.-O.; Pang, C.P.; Wang, C.C. Pro-Oxidative and Antioxidative Controls and Signaling Modification of Polyphenolic Phytochemicals: Contribution to Health Promotion and Disease Prevention? J. Agric. Food Chem. 2014, 62, 4026–4038. [Google Scholar] [CrossRef] [PubMed]
- Soto-Vaca, A.; Gutierrez, A.; Losso, J.N.; Xu, Z.; Finley, J.W. Evolution of Phenolic Compounds from Color and Flavor Problems to Health Benefits. J. Agric. Food Chem. 2012, 60, 6658–6677. [Google Scholar] [CrossRef]
- Pabón-Baquero, L.C.; Otálvaro-Álvarez, Á.M.; Fernández, M.R.R.; Chaparro-González, M.P. Plant extracts as antioxidant additives for food industry. In Antioxidants in Foods and Its Applications; Shalaby, E., Azzam, G.M., Eds.; IntechOpen: London, UK, 2018; pp. 87–116. ISBN 978-1-78923-379-7. [Google Scholar]
- Ali Redha, A. Review on Extraction of Phenolic Compounds from Natural Sources Using Green Deep Eutectic Solvents. J. Agric. Food Chem. 2021, 69, 878–912. [Google Scholar] [CrossRef]
- Wang, Z.; Li, S.; Ge, S.; Lin, S. Review of Distribution, Extraction Methods, and Health Benefits of Bound Phenolics in Food Plants. J. Agric. Food Chem. 2020, 68, 3330–3343. [Google Scholar] [CrossRef]
- Haminiuk, C.W.I.; Plata-Oviedo, M.S.V.; de Mattos, G.; Carpes, S.T.; Branco, I.G. Extraction and Quantification of Phenolic Acids and Flavonols from Eugenia Pyriformis Using Different Solvents. J. Food Sci. Technol. 2014, 51, 2862–2866. [Google Scholar] [CrossRef]
- Alara, O.R.; Abdurahman, N.H.; Ukaegbu, C.I. Extraction of Phenolic Compounds: A Review. Curr. Res. Nutr. Food Sci. 2021, 4, 200–214. [Google Scholar] [CrossRef]
- Ammar, I.; Ennouri, M.; Bouaziz, M.; Ben Amira, A.; Attia, H. Phenolic Profiles, Phytchemicals and Mineral Content of Decoction and Infusion of Opuntia ficus-indica Flowers. Plant Foods Hum. Nutr. 2015, 70, 388–394. [Google Scholar] [CrossRef]
- Ben Lataief, S.; Zourgui, M.-N.; Rahmani, R.; Najjaa, H.; Gharsallah, N.; Zourgui, L. Chemical Composition, Antioxidant, Antimicrobial and Cytotoxic Activities of Bioactive Compounds Extracted from Opuntia dillenii Cladodes. J. Food Meas. Charact. 2021, 15, 782–794. [Google Scholar] [CrossRef]
- Melgar, B.; Dias, M.I.; Barros, L.; Ferreira, I.C.F.R.; Rodriguez-Lopez, A.D.; Garcia-Castello, E.M. Ultrasound and Microwave Assisted Extraction of Opuntia Fruit Peels Biocompounds: Optimization and Comparison Using RSM-CCD. Molecules 2019, 24, 3618. [Google Scholar] [CrossRef] [PubMed]
- Missaoui, M.; D’Antuono, I.; D’Imperio, M.; Linsalata, V.; Boukhchina, S.; Logrieco, A.F.; Cardinali, A. Characterization of Micronutrients, Bioaccessibility and Antioxidant Activity of Prickly Pear Cladodes as Functional Ingredient. Molecules 2020, 25, 2176. [Google Scholar] [CrossRef] [PubMed]
- Tounsi, M.S.; Ouerghemmi, I.; Ksouri, R.; Wannes, W.A.; Hammrouni, I.; Marzouk, B. HPLC-Determination of Phenolic Composition and Antioxidant Capacity of Cactus Prickly Pears Seeds. Asian J. Chem. 2011, 23, 1006–1010. [Google Scholar]
- Koubaa, M.; Mhemdi, H.; Barba, F.J.; Angelotti, A.; Bouaziz, F.; Chaabouni, S.E.; Vorobiev, E. Seed Oil Extraction from Red Prickly Pear Using Hexane and Supercritical CO2: Assessment of Phenolic Compound Composition, Antioxidant and Antibacterial Activities. J. Sci. Food Agric. 2017, 97, 613–620. [Google Scholar] [CrossRef]
- López-Palacios, C.; Peña-Valdivia, C.B. Screening of Secondary Metabolites in Cladodes to Further Decode the Domestication Process in the Genus Opuntia (Cactaceae). Planta 2020, 251, 74. [Google Scholar] [CrossRef]
- Kıvrak, Ş.; Kıvrak, İ.; Karababa, E. Analytical Evaluation of Phenolic Compounds and Minerals of Opuntia robusta J.C. Wendl. and Opuntia ficus-barbarica A. Berger. Int. J. Food Prop. 2018, 21, 229–241. [Google Scholar] [CrossRef]
- Amrane-Abider, M.; Nerin, C.; Canellas, E.; Benkerrou, F.; Louaileche, H. Modeling and Optimization of Phenolic Compounds Extraction from Prickly Pear (Opuntia ficus-indica) Seeds via Ultrasound-Assisted Technique. Ann. Univ. Dunarea Jos Galati. Fascicle VI Food Technol. 2018, 42, 109–121. [Google Scholar]
- Rocchetti, G.; Pellizzoni, M.; Montesano, D.; Lucini, L. Italian Opuntia ficus-indica Cladodes as Rich Source of Bioactive Compounds with Health-Promoting Properties. Foods 2018, 7, 24. [Google Scholar] [CrossRef]
- Aruwa, C.E.; Amoo, S.; Kudanga, T. Phenolic Compound Profile and Biological Activities of Southern African Opuntia ficus-indica Fruit Pulp and Peels. LWT 2019, 111, 337–344. [Google Scholar] [CrossRef]
- Ortega-Hernández, E.; Nair, V.; Welti-Chanes, J.; Cisneros-Zevallos, L.; Jacobo-Velázquez, D.A. Wounding and UVB Light Synergistically Induce the Biosynthesis of Phenolic Compounds and Ascorbic Acid in Red Prickly Pears (Opuntia ficus-indica Cv. Rojo Vigor). Int. J. Mol. Sci. 2019, 20, 5327. [Google Scholar] [CrossRef]
- Astello-García, M.G.; Cervantes, I.; Nair, V.; del Santos-Díaz, M.S.; Reyes-Agüero, A.; Guéraud, F.; Negre-Salvayre, A.; Rossignol, M.; Cisneros-Zevallos, L.; Barba de la Rosa, A.P. Chemical Composition and Phenolic Compounds Profile of Cladodes from Opuntia spp. Cultivars with Different Domestication Gradient. J. Food Compos. Anal. 2015, 43, 119–130. [Google Scholar] [CrossRef]
- Mata, A.; Ferreira, J.P.; Semedo, C.; Serra, T.; Duarte, C.M.M.; Bronze, M.R. Contribution to the Characterization of Opuntia spp. Juices by LC-DAD-ESI-MS/MS. Food Chem. 2016, 210, 558–565. [Google Scholar] [CrossRef] [PubMed]
- Lanuzza, F.; Occhiuto, F.; Monforte, M.T.; Tripodo, M.M.; D’Angelo, V.; Galati, E.M. Antioxidant Phytochemicals of Opuntia ficus-indica (L.) Mill. Cladodes with Potential Anti-Spasmodic Activity. Pharmacogn. Mag. 2017, 13, S424–S429. [Google Scholar] [CrossRef] [PubMed]
- Melgar, B.; Dias, M.I.; Ciric, A.; Sokovic, M.; Garcia-Castello, E.M.; Rodriguez-Lopez, A.D.; Barros, L.; Ferreira, I. By-Product Recovery of Opuntia spp. Peels: Betalainic and Phenolic Profiles and Bioactive Properties. Ind. Crops Prod. 2017, 107, 353–359. [Google Scholar] [CrossRef]
- Ouerghemmi, I.; Harbeoui, H.; Aidi Wannes, W.; Bettaieb Rebey, I.; Hammami, M.; Marzouk, B.; Saidani Tounsi, M. Phytochemical Composition and Antioxidant Activity of Tunisian Cactus Pear (Opuntia ficus indica L.) Flower. J. Food Biochem. 2017, 41, 1–10. [Google Scholar] [CrossRef]
- De Santiago, E.; Pereira-Caro, G.; Moreno-Rojas, J.M.; Cid, C.; de Peña, M.-P. Digestibility of (Poly)phenols and Antioxidant Activity in Raw and Cooked Cactus Cladodes (Opuntia ficus-indica). J. Agric. Food Chem. 2018, 66, 5832–5844. [Google Scholar] [CrossRef]
- Mena, P.; Tassotti, M.; Andreu, L.; Nuncio-Jáuregui, N.; Legua, P.; del Rio, D.; Hernández, F. Phytochemical Characterization of Different Prickly Pear (Opuntia ficus-indica (L.) Mill.) Cultivars and Botanical Parts: UHPLC-ESI-MSn Metabolomics Profiles and Their Chemometric Analysis. Food Res. Int. 2018, 108, 301–308. [Google Scholar] [CrossRef]
- García-Cayuela, T.; Gómez-Maqueo, A.; Guajardo-Flores, D.; Welti-Chanes, J.; Cano, M.P. Characterization and Quantification of Individual Betalain and Phenolic Compounds in Mexican and Spanish Prickly Pear (Opuntia ficus-indica L. Mill) Tissues: A Comparative Study. J. Food Compos. Anal. 2019, 76, 1–13. [Google Scholar] [CrossRef]
- Kolniak-Ostek, J.; Kita, A.; Miedzianka, J.; Andreu-Coll, L.; Legua, P.; Hernandez, F. Characterization of Bioactive Compounds of Opuntia ficus-indica (L.) Mill. Seeds from Spanish Cultivars. Molecules 2020, 25, 5734. [Google Scholar] [CrossRef]
- Chahdoura, H.; Barreira, J.C.M.; Barros, L.; Santos-Buelga, C.; Ferreira, I.C.F.R.; Achour, L. Phytochemical Characterization and Antioxidant Activity of Opuntia microdasys (Lehm.) Pfeiff Flowers in Different Stages of Maturity. J. Funct. Foods. 2014, 9, 27–37. [Google Scholar] [CrossRef]
- Chahdoura, H.; Barreira, J.C.M.; Barros, L.; Santos-Buelga, C.; Ferreira, I.C.F.R.; Achour, L. Seeds of Opuntia spp. as a Novel High Potential by-Product: Phytochemical Characterization and Antioxidant Activity. Ind Crops Prod. 2015, 65, 383–389. [Google Scholar] [CrossRef]
- Anwar, M.M.; Sallam, E.M. Utilization of Prickly Pear Peels to Improve Quality of Pan Bread. Arab. J. Nucl. Sci. Appl. 2016, 49, 151–163. [Google Scholar]
- Cruz-Bravo, R.K.; Guzmán-Maldonado, S.H.; Araiza-Herrera, H.A.; Zegbe, J.A. Storage Alters Physicochemical Characteristics, Bioactive Compounds and Antioxidant Capacity of Cactus Pear Fruit. Postharvest Biol. Technol. 2019, 150, 105–111. [Google Scholar] [CrossRef]
- Gómez-López, I.; Lobo-Rodrigo, G.; Portillo, M.P.; Cano, M.P. Characterization, Stability, and Bioaccessibility of Betalain and Phenolic Compounds from Opuntia stricta var dillenii Fruits and Products of Their Industrialization. Foods 2021, 10, 1593. [Google Scholar] [CrossRef]
- Chougui, N.; Tamendjari, A.; Hamidj, W.; Hallal, S.; Barras, A.; Richard, T.; Larbat, R. Oil Composition and Characterisation of Phenolic Compounds of Opuntia ficus-indica Seeds. Food Chem. 2013, 139, 796–803. [Google Scholar] [CrossRef]
- Ammar, I.; Ben Salem, M.; Harrabi, B.; Mzid, M.; Bardaa, S.; Sahnoun, Z.; Attia, H.; Ennouri, M. Anti-Inflammatory Activity and Phenolic Composition of Prickly Pear (Opuntia ficus-indica) Flowers. Ind. Crops Prod. 2018, 112, 313–319. [Google Scholar] [CrossRef]
- Geronikaki, A.A.; Gavalas, A.M. Antioxidants and Inflammatory Disease: Synthetic and Natural Antioxidants with Anti-Inflammatory Activity. Comb. Chem. High Throughput Screen 2006, 9, 425–442. [Google Scholar] [CrossRef]
- Linus, L.O.; Hanson, C.; Alolga, R.N.; Zhou, W.; Qi, L. Targeting the Key Factors of Inflammation in Cancer: Plant Intervention. Int. J. Clin. Exp. Med. 2017, 10, 15834–15865. [Google Scholar]
- Yahfoufi, N.; Alsadi, N.; Jambi, M.; Matar, C. The Immunomodulatory and Anti-Inflammatory Role of Polyphenols. Nutrients 2018, 10, 1618. [Google Scholar] [CrossRef]
- Jones, S.L.; Blikslager, A. The Future of Anti-inflammatory Therapy. Vet. Clin. N. Am. 2001, 17, 245–262. [Google Scholar]
- Joseph, S.V.; Edirisinghe, I.; Burton-Freeman, B.M. Berries: Anti-Inflammatory Effects in Humans. J. Agric. Food Chem. 2014, 62, 3886–3903. [Google Scholar] [CrossRef] [PubMed]
- Lawrence, T. The Nuclear Factor NF-κB Pathway in Inflammation. Cold Spring Harb. Perspect. Biol. 2009, 1, a001651. [Google Scholar] [CrossRef] [PubMed]
- Hoesel, B.; Schmid, J.A. The Complexity of NF-κB Signaling in Inflammation and Cancer. Mol. Cancer 2013, 12, 86. [Google Scholar] [CrossRef] [PubMed]
- Liu, T.; Zhang, L.; Joo, D.; Sun, S.-C. NF-κB Signaling in Inflammation. Signal Transduct. Target Ther. 2017, 2, 17023. [Google Scholar] [CrossRef] [PubMed]
- Li, C.; Chen, R.; Jiang, C.; Chen, L.; Cheng, Z. Correlation of LOX-5 and COX-2 Expression with Inflammatory Pathology and Clinical Features of Adenomyosis. Mol. Med. Rep. 2019, 19, 727–733. [Google Scholar] [CrossRef]
- Wang, B.; Wu, L.; Chen, J.; Dong, L.; Chen, C.; Wen, Z.; Hu, J.; Fleming, I.; Wang, D.W. Metabolism Pathways of Arachidonic Acids: Mechanisms and Potential Therapeutic Targets. Sig. Transduct. Target Ther. 2021, 6, 1–30. [Google Scholar] [CrossRef]
- Cuzzo, B.; Lappin, S.L. Physiology, leukotrienes. In StatPearls; StatPearls Publishing: Treasure Island, FL, USA, 2022. [Google Scholar]
- Ahmed, M.S.; El Tanbouly, N.D.; Islam, W.T.; Sleem, A.A.; El Senousy, A.S. Antiinflammatory Flavonoids from Opuntia dillenii (Ker-Gawl) Haw. Flowers Growing in Egypt. Phytother. Res. 2005, 19, 807–809. [Google Scholar] [CrossRef]
- Cho, J.Y.; Park, S.C.; Kim, T.W.; Kim, K.S.; Song, J.-C.; Kim, S.K.; Lee, H.M.; Sung, H.J.; Park, H.J.; Song, Y.B.; et al. Radical Scavenging and Anti-Inflammatory Activity of Extracts from Opuntia humifusa Raf. J. Pharm. Pharmacol. 2006, 58, 113–119. [Google Scholar] [CrossRef]
- Chauhan, S.P.; Sheth, N.R.; Suhagia, B.N. Analgesic and Anti-Inflammatory Action of Opuntia elatior Mill Fruits. J. Ayurveda Integr. Med. 2015, 6, 75–81. [Google Scholar] [CrossRef][Green Version]
- Benattia, F.K.; Arrar, Z.; Khabbal, Y. Evaluation of the Anti-Inflammatory Activity of the Seeds Extracts of Prickly Pear (Opuntia ficus-indica L.). Der Pharma Chem. 2017, 9, 14–17. [Google Scholar]
- Izuegbuna, O.; Otunola, G.; Bradley, G. Chemical Composition, Antioxidant, Anti-Inflammatory, and Cytotoxic Activities of Opuntia stricta Cladodes. PLoS ONE 2019, 14, e0209682. [Google Scholar] [CrossRef] [PubMed]
- Matias, A.; Nunes, S.L.; Poejo, J.; Mecha, E.; Serra, A.T.; Madeira, P.J.A.; Bronze, M.R.; Duarte, C.M.M. Antioxidant and Anti-Inflammatory Activity of a Flavonoid-Rich Concentrate Recovered from Opuntia ficus-indica Juice. Food Funct. 2014, 5, 3269–3280. [Google Scholar] [CrossRef] [PubMed]
- Antunes-Ricardo, M.; Gutiérrez-Uribe, J.A.; López-Pacheco, F.; Alvarez, M.M.; Serna-Saldívar, S.O. In Vivo Anti-Inflammatory Effects of Isorhamnetin Glycosides Isolated from Opuntia ficus-indica (L.) Mill Cladodes. Ind. Crops Prod. 2015, 76, 803–808. [Google Scholar] [CrossRef]
- Gómez-Maqueo, A.; García-Cayuela, T.; Fernández-López, R.; Welti-Chanes, J.; Cano, M.P. Inhibitory Potential of Prickly Pears and Their Isolated Bioactives against Digestive Enzymes Linked to Type 2 Diabetes and Inflammatory Response. J. Sci. Food Agric. 2019, 99, 6380–6391. [Google Scholar] [CrossRef]
- Sharma, J.N.; Al-Omran, A.; Parvathy, S.S. Role of Nitric Oxide in Inflammatory Diseases. Inflammopharmacology 2007, 15, 252–259. [Google Scholar] [CrossRef] [PubMed]
- McCook, J.P.; Dorogi, P.L.; Vasily, D.B.; Cefalo, D.R. In Vitro Inhibition of Hyaluronidase by Sodium Copper Chlorophyllin Complex and Chlorophyllin Analogs. Clin. Cosmet. Investig. Dermatol. 2015, 8, 443. [Google Scholar] [CrossRef] [PubMed]
- Bralley, E.; Greenspan, P.; Hargrove, J.L.; Hartle, D.K. Inhibition of Hyaluronidase Activity by Vitis rotundifolia. (Muscadine) Berry Seeds and Skins. Pharm. Biol. 2007, 45, 667–673. [Google Scholar] [CrossRef]
- González-Peña, D.; Colina-Coca, C.; Char, C.D.; Cano, M.P.; de Ancos, B.; Sánchez-Moreno, C. Hyaluronidase Inhibiting Activity and Radical Scavenging Potential of Flavonols in Processed Onion. J. Agric. Food Chem. 2013, 61, 4862–4872. [Google Scholar] [CrossRef]
- Gómez-Maqueo, A.; García-Cayuela, T.; Welti-Chanes, J.; Cano, M.P. Enhancement of Anti-Inflammatory and Antioxidant Activities of Prickly Pear Fruits by High Hydrostatic Pressure: A Chemical and Microstructural Approach. Innov. Food Sci. Emerg. Technol. 2019, 54, 132–142. [Google Scholar] [CrossRef]
- Chaalal, M.; Gavilán, E.; Louaileche, H.; Ruano, D.; Parrado, J.; Castaño, A. Anti-Inflammatory Activity of Phenolic Extracts from Different Parts of Prickly Pear on Lipopolysaccharide-Stimulated N13 Microglial Cells. Int. J. Phytomed. 2016, 7, 411–419. [Google Scholar]
- Yeo, J.Y.; Hwang, K.W.; Park, S.-Y. Anti-Inflammatory Effect of Neo-Lignan Isoamericanin A via Suppression of NF-κB in Liposaccharide-Stimulated RAW 264.7 Cells. Trop. J. Pharm. Res. 2020, 19, 1857–1862. [Google Scholar] [CrossRef]
- Filannino, P.; Cavoski, I.; Thlien, N.; Vincentini, O.; Angelis, M.D.; Silano, M.; Gobbetti, M.; Cagno, R.D. Lactic Acid Fermentation of Cactus Cladodes (Opuntia ficus-indica L.) Generates Flavonoid Derivatives with Antioxidant and Anti-Inflammatory Properties. PLoS ONE 2016, 11, e0152575. [Google Scholar] [CrossRef]




| Phenolic Compounds | Plant Tissue | Concentration (µg/g) | Opuntia Species | References |
|---|---|---|---|---|
| Flavonoids | ||||
| Flavones | ||||
| Apigenin | Seeds Cladodes Flowers | NS 0.19–0.65 NS | O. stricta O. ficus-indica O. hyptiacantha O. streptacantha O. megacantha O. albicarpa | [38,42,43,44] |
| Luteolin | Pulp Peel | NS NS | O. ficus-barbarica O. robusta | [45] |
| Flavonols | ||||
| Myricetin | Seeds Pulp Peel Cladodes | 198.19–428.14 NS NS 8.52 | O. ficus-indica O. ficus-barbarica O. robusta | [45,46,47] |
| Rutin | Seeds Pulp Peel Cladodes | 8.00–100.00 9.70–12.50 65.70–103.40 2.11–4.95 | O. ficus-indica O. ficus-barbarica O. hyptiacantha O. streptacantha O. megacantha O. albicarpa | [42,44,45,48,49] |
| Quercetin and derivates | Seeds Pulp Peel Cladodes Flowers | 4.37–18.77 84.20–599.20 715.70–1316.20 8.97–75.13 NS | O. ficus-indica O. ficus-barbarica O. robusta O. engelmannii O. streptacantha O. hyptiacantha O. megacantha O. albicarpa | [12,38,42,44,45,47,49,50,51,52,53,54,55,56,57,58] |
| Kaempferol and derivates | Pulp Peel Cladodes Flowers | 207.10–529.10 52.90–675.50 72.97–241.68 321.00–708.00 | O. ficus-indica O. engelmannii O. streptacantha O. hyptiacantha O. megacantha O. albicarpa O. microdasys | [38,47,48,49,50,52,53,54,55,57,59] |
| Isorhamnetin and derivates | Seeds Pulp Peel Cladodes Flowers | 67.14–288.58 29.30–58.40 1484.70–2213.70 1250.00–4140.00 NS | O. ficus-indica O. microdasys O. stricta O. streptacantha O. hyptiacantha O. megacantha O. albicarpa | [12,19,38,44,46,47,48,50,51,52,53,54,55,56,57,59,60] |
| Flavanones | ||||
| Naringenin | Pulp Peel | 210.00 20.00–180.00 | O. ficus-indica O. ficus-barbarica O. robusta | [45,56] |
| Flavanols | ||||
| Catechin | Seeds Pulp Peel Cladodes Flowers | NS 14.44–27.89 NS 180.00 NS | O. stricta O. ficus-indica O. megacantha O. streptacantha O. robusta | [17,38,43,49,52,54,61] |
| Epicatechin | Seeds Pulp Peel | NS 19.16–90.81 NS | O. ficus-indica O. albicarpa O. megacantha O. streptacantha O. robusta | [17,42,61] |
| Gallocatechin | Seeds Pulp Peel | NS 116.60–178.20 120.40–334.70 | O. stricta O. ficus-indica | [43,49] |
| Epigallocatechin | Seeds | NS | O. stricta O. ficus-indica | [42,43] |
| Anthocyanidins | ||||
| Pelargonidin | Seeds Cladodes | NS 187.97 | O. stricta O. ficus-indica | [43,47] |
| Cyanidin | Seeds Cladodes | NS 1058.57 | O. stricta O. ficus-indica | [43,47] |
| Delphinidin | Cladodes | 2.81 | O. ficus-indica | [47] |
| Petunidin | Cladodes | 186.55 | O. ficus-indica | [47] |
| Malvidin | Cladodes | 4.31 | O. ficus-indica | [47] |
| Phenolic Acids | ||||
| Gallic acid and derivates | Seeds Pulp Peel Cladodes Flowers | NS 32.60–81.20 NS 20.53–38.96 NS | O. ficus-indica O. stricta O. ficus-barbarica O. robusta O. albicarpa O. megacantha O. streptacantha O. hyptiacantha | [17,42,43,44,45,49,54,61,62,63] |
| Ferulic acid and derivates | Seeds Pulp Peel Cladodes Flowers | 96.33–1366.24 80.00 150.00–390.00 130.00–370.00 291.00–786.00 | O. ficus-indica O. stricta O. ficus-barbarica O. microdasys O. hyptiacantha O. streptacantha O. megacantha O. albicarpa | [12,43,44,45,46,48,49,51,52,55,56,59,61,64] |
| Caffeic acid and derivates | Seeds Pulp Peels Cladodes Flowers | NS NS NS NS 255.00–469.00 | O. ficus-indica O. ficus-barbarica O. robusta O. microdasys O. hyptiacantha O. streptacantha O. megacantha O. albicarpa | [12,38,42,44,45,48,49,51,54,59,61] |
| Sinapic acid | Seeds Pulp Peel Cladodes | NS 100.00–4100.00 820.00–2350.00 40.00–750.00 | O. stricta O. ficus-indica | [43,49,56] |
| p-Coumaric acid | Seeds Pulp Peel Cladodes Flowers | NS NS NS 20.91 65.00–178.00 | O. ficus-indica O. ficus-barbarica O. robusta O. microdasys O. hyptiacantha O. streptacantha O. megacantha O. albicarpa | [42,44,45,48,49,52,59] |
| Hydroxycinnamic acid | Cladodes | 8.45–1248.24 | O. ficus-indica O. hyptiacantha O. streptacantha O. megacantha O. albicarpa | [44,47] |
| Chlorogenic acid | Seeds Cladodes | 885.31–1148.41 5.00–26.49 | O. ficus-indica O. streptacantha O. hyptiacantha O. megacantha O. albicarpa | [42,44,46,50,52] |
| Ellagic acid | Seeds Pulp Peel | 73.74–74.38 25.00–73.20 NS | O. ficus-indica O. megacantha O. streptacantha O. robusta O. ficus-indica | [17,46,61] |
| Vanillic acid | Seeds Pulp Peel Cladodes Flowers | NS NS NS 0.11–24.30 NS | O. stricta O. ficus-barbarica O. robusta O. ficus-indica O. hyptiacantha O. streptacantha O. megacantha O. albicarpa | [43,44,45,49,54,61] |
| Syringic acid | Seeds Pulp Peel Cladodes Flowers | NS 13.60–66.50 NS 2.34–13.99 NS | O. ficus-indica O. robusta O. albicarpa O. megacantha O. streptacantha O. hyptiacantha O. stricta | [12,17,42,43,44,45,54,61] |
| Protocatechuic acid | Seeds Pulp Peel | 4.57–22.36 NS NS | O. ficus-indica O. ficus-barbarica O. robusta O. stricta | [45,46,49,58,61,62,63] |
| Hydroxybenzoic acid | Pulp Peel Cladodes | 200.90–816.80 964.00–1718.20 114.01 | O. ficus-indica O. hyptiacantha O. streptacantha O. megacantha O. albicarpa | [44,47,49,57,62] |
| Piscidic acid | Seeds Pulp Peel Cladodes | NS NS NS NS | O. ficus-indica O. stricta | [48,51,53,55,57,58,63] |
| Eucomic acid | Seeds Pulp Peel Cladodes | NS NS NS NS | O. ficus-indica O. streptacantha O. hyptiacantha O. megacantha O. albicarpa O. stricta | [48,50,51,53,55,58,63] |
| Gentisic acid | Pulp Peel | NS NS | O. ficus-barbarica O. robusta | [45] |
| Rosmarinic acid | Peel Flowers | NS NS | O. ficus-indica | [49,54] |
| Catechol | Seeds Pulp Peel | NS NS NS | O. stricta O. ficus-barbarica O. robusta O. ficus-indica | [43,45,61] |
| Other Phenolics | ||||
| Phloretin Psoralen Pinoresinol | Seeds | NS | O. stricta | [43] |
| Species (Tissue) | Compounds | Dose | Model | Mechanism of Action | Ref. | |
|---|---|---|---|---|---|---|
| In Vitro Studies |
Opuntia ficus-indica (seeds, pulp, fruits) | Phenolic compounds from crude extracts | 10 mg/mL |
LPS-stimulated murine N13 microglial cells |
| [90] |
|
Opuntia humifusa (cladodes) |
Phenolic compound from crude extracts |
0.05/0.1 mg/mL |
LPS-stimulated Macrophages’ RAW 264.7 |
| [78] | |
|
Opuntia humifusa (seeds) | Isoamericanin A |
1.0–4.0 µg/mL |
LPS-stimulated Macrophages’ RAW 264.7 |
| [91] | |
|
Opuntia ficus-indica (cladodes) | Crude extract | 10 mg/mL |
Human intestinal Caco-2/TC7 cells |
| [92] | |
|
Opuntia ficus-indica (fruits) |
Polyphenols from crude extract | 0.05 mg/mL |
Human colon carcinoma Caco-2 cells |
| [82] | |
| In Vivo Studies |
Opuntia dillenii (stems, flowers, fruits) | Kaempferol 3-O-α-arabinoside Isorhamnetin-3-O-β-d-glucopyranoside Isorhamnetin-3-O-β-d-rutinoside |
50 mg/kg BW |
Carrageenan-induced paw edema in Albino rats |
| [77] |
|
Opuntia ficus-indica (flowers) | Phenolic compounds from crude extract |
400 mg/kg BW |
Carrageenan-induced paw edema in Wistar rats |
| [65] | |
|
Opuntia ficus-indica (cladodes) |
Isorhamnetin-3-O- glucosyl-rhamnoside Isorhamnetin-3-O- glucosyl-rhamnosyl-rhamnoside |
5 mg/kg BW |
Carrageenan-induced air-pouch inflammation in Wistar rats |
| [83] |
Publisher’s Note: MDPI stays neutral with regard to jurisdictional claims in published maps and institutional affiliations. |
© 2022 by the authors. Licensee MDPI, Basel, Switzerland. This article is an open access article distributed under the terms and conditions of the Creative Commons Attribution (CC BY) license (https://creativecommons.org/licenses/by/4.0/).
Share and Cite
Zeghbib, W.; Boudjouan, F.; Vasconcelos, V.; Lopes, G. Phenolic Compounds’ Occurrence in Opuntia Species and Their Role in the Inflammatory Process: A Review. Molecules 2022, 27, 4763. https://doi.org/10.3390/molecules27154763
Zeghbib W, Boudjouan F, Vasconcelos V, Lopes G. Phenolic Compounds’ Occurrence in Opuntia Species and Their Role in the Inflammatory Process: A Review. Molecules. 2022; 27(15):4763. https://doi.org/10.3390/molecules27154763
Chicago/Turabian StyleZeghbib, Walid, Fares Boudjouan, Vitor Vasconcelos, and Graciliana Lopes. 2022. "Phenolic Compounds’ Occurrence in Opuntia Species and Their Role in the Inflammatory Process: A Review" Molecules 27, no. 15: 4763. https://doi.org/10.3390/molecules27154763
APA StyleZeghbib, W., Boudjouan, F., Vasconcelos, V., & Lopes, G. (2022). Phenolic Compounds’ Occurrence in Opuntia Species and Their Role in the Inflammatory Process: A Review. Molecules, 27(15), 4763. https://doi.org/10.3390/molecules27154763

