UHPLC-Q-Orbitrap-MS-Based Metabolomics Reveals Chemical Variations of Two Types of Rhizomes of Polygonatum sibiricum
Abstract
:1. Introduction
2. Results and Discussion
2.1. Method Validation
2.2. Metabolite Identification
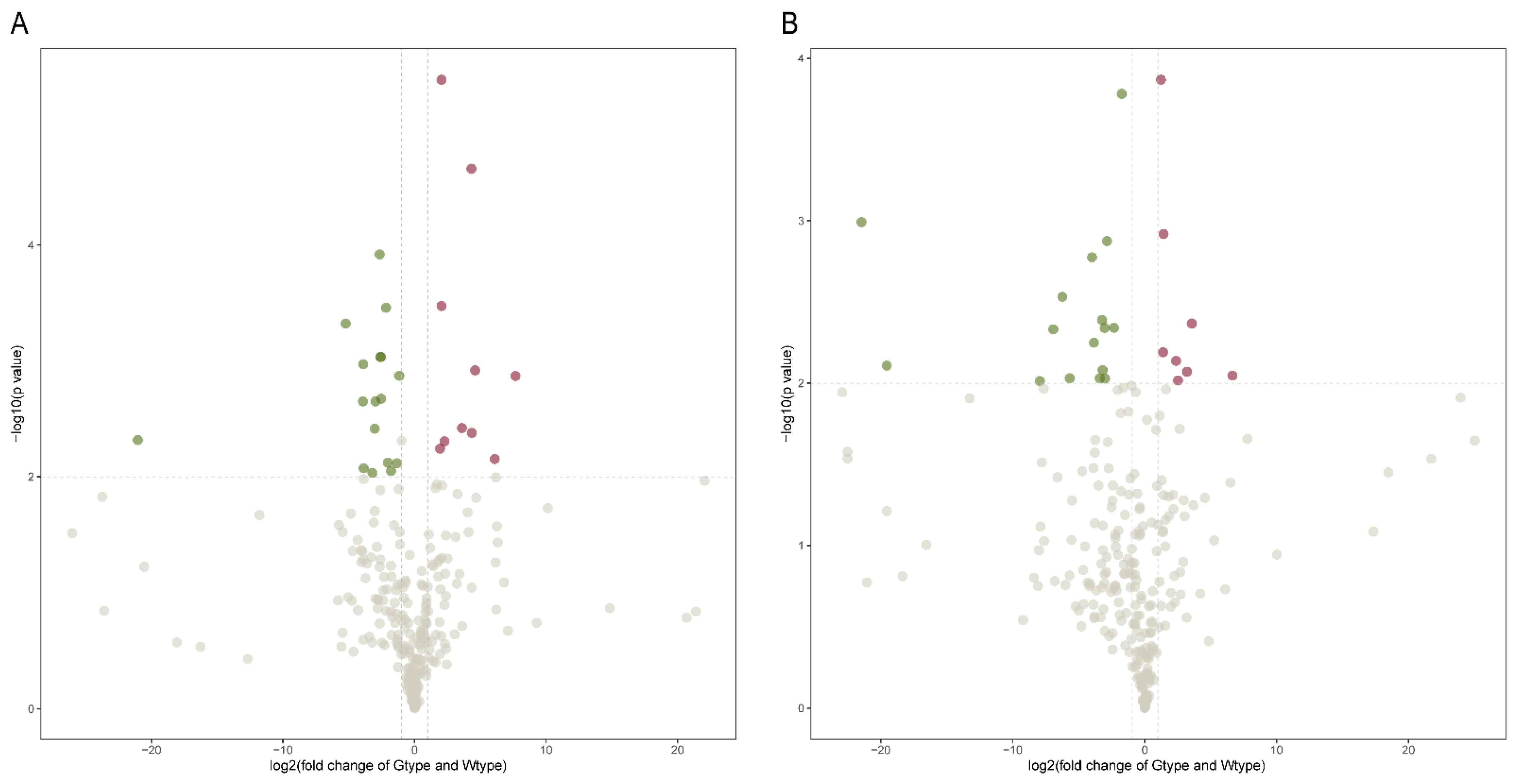
2.3. Metabolite Profiles Comparison and Differentiating Metabolites Analysis
2.4. Comparison of the Differentiating Phenolic Compounds, Terpenoids, and Alkaloids
3. Materials and Methods
3.1. Chemicals
3.2. Sample Preparation and Extraction
3.3. UHPLC-Q-Orbitrap-MS Analysis
3.4. Data Processing
4. Conclusions
Supplementary Materials
Author Contributions
Funding
Institutional Review Board Statement
Informed Consent Statement
Data Availability Statement
Conflicts of Interest
Sample Availability
References
- Wujisguleng, W.; Liu, Y.; Long, C. Ethnobotanical review of food uses of Polygonatum (Convallariaceae) in China. Acta Soc. Bot. Pol. 2012, 81, 239–244. [Google Scholar] [CrossRef] [Green Version]
- Chen, J.; Zhu, J.Z.; Li, X.G.; He, A.G.; Xia, S.T.; Zhong, J. Botrytis cinerea causing gray mold of Polygonatum sibiricum (Huang Jing) in China. Crop Prot. 2021, 140, 105424. [Google Scholar] [CrossRef]
- Zhao, X.; Li, J. Chemical constituents of the genus Polygonatum and their role in medicinal treatment. Nat. Prod. Commun. 2015, 10, 683–688. [Google Scholar] [CrossRef] [PubMed] [Green Version]
- Debnath, T.; Park, S.R.; Jo, J.E.; Lim, B.O. Antioxidant and anti-inflammatory activity of Polygonatum sibiricum rhizome extracts. Asian Pac. J. Trop. Dis. 2013, 3, 308–313. [Google Scholar] [CrossRef]
- Li, Y.-L. Isolation and identification of endophytic fungi from Polygonatum sibiricum in Mountain Tai and study on their antimicrobial activity. Chin. Tradit. Herb. Drugs 2013, 24, 1490–1494. [Google Scholar]
- Zhao, H.; Wang, Q.-L.; Hou, S.-B.; Chen, G. Chemical constituents from the rhizomes of Polygonatum sibiricum Red. and anti-inflammatory activity in RAW264. 7 macrophage cells. Nat. Prod. Res. 2019, 33, 2359–2362. [Google Scholar] [CrossRef]
- Yang, J.-X.; Wu, S.; Huang, X.-L.; Hu, X.-Q.; Zhang, Y. Hypolipidemic activity and antiatherosclerotic effect of polysaccharide of Polygonatum sibiricum in rabbit model and related cellular mechanisms. Evid.-Based Complementary Altern. Med. 2015, 2015, 391065. [Google Scholar]
- Chai, Y.; Luo, J.; Bao, Y. Effects of Polygonatum sibiricum saponin on hyperglycemia, gut microbiota composition and metabolic profiles in type 2 diabetes mice. Biomed. Pharmacother. 2021, 143, 112155. [Google Scholar] [CrossRef]
- Luo, J.; Chai, Y.; Zhao, M.; Guo, Q.; Bao, Y. Hypoglycemic effects and modulation of gut microbiota of diabetic mice by saponin from Polygonatum sibiricum. Food Funct. 2020, 11, 4327–4338. [Google Scholar] [CrossRef]
- Long, T.; Liu, Z.; Shang, J.; Zhou, X.; Yu, S.; Tian, H.; Bao, Y. Polygonatum sibiricum polysaccharides play anti-cancer effect through TLR4-MAPK/NF-κB signaling pathways. Int. J. Biol. Macromol. 2018, 111, 813–821. [Google Scholar] [CrossRef]
- Hou, Y.; Jiang, J.-G. Origin and concept of medicine food homology and its application in modern functional foods. Food Funct. 2013, 4, 1727–1741. [Google Scholar] [CrossRef] [PubMed]
- Zhao, H.; Hou, D.; Sun, T.; Lin, W. Quantitative Determination of Total Flavonoids from Polygonatum sibiricum by Spectrophotometry. Proc. IOP Conf. Ser. Mater. Sci. Eng. 2019, 677, 022126. [Google Scholar]
- Hu, C.-Y.; Xu, D.-P.; Wu, Y.-M.; Ou, S.-Y. Triterpenoid saponins from the rhizome of Polygonatum sibiricum. J. Asian Nat. Prod. Res. 2010, 12, 801–808. [Google Scholar] [CrossRef] [PubMed]
- Tang, C.; Yu, Y.-M.; Qi, Q.-L.; Wu, X.-D.; Wang, J.; Tang, S.-A. Steroidal saponins from the rhizome of Polygonatum sibiricum. J. Asian Nat. Prod. Res. 2019, 21, 197–206. [Google Scholar] [CrossRef]
- Sun, L.-R.; Li, X.; Wang, S.-X. Two new alkaloids from the rhizome of Polygonatum sibiricum. J. Asian Nat. Prod. Res. 2005, 7, 127–130. [Google Scholar] [CrossRef]
- Chen, Z.-Y.; Liu, Y.; Zhang, Y.-Q.; Huang, J.-H.; Shao, J.-H.; Zhu, J.-Z.; Zhao, C.-C. A New Phenolic Glycoside from Polygonatum sibiricum and its α-Glucosidase Inhibitory Activity. Chem. Nat. Compd. 2021, 57, 50–52. [Google Scholar] [CrossRef]
- Cui, X.; Wang, S.; Cao, H.; Guo, H.; Li, Y.; Xu, F.; Zheng, M.; Xi, X.; Han, C. A review: The bioactivities and pharmacological applications of Polygonatum sibiricum polysaccharides. Molecules 2018, 23, 1170. [Google Scholar] [CrossRef] [Green Version]
- Liu, Z.; Bruins, M.E.; de Bruijn, W.J.; Vincken, J.-P. A comparison of the phenolic composition of old and young tea leaves reveals a decrease in flavanols and phenolic acids and an increase in flavonols upon tea leaf maturation. J. Food Compos. Anal. 2020, 86, 103385. [Google Scholar] [CrossRef]
- Wang, H.; Zhang, C.; Zuo, T.; Li, W.; Jia, L.; Wang, X.; Qian, Y.; Guo, D.; Yang, W. In-depth profiling, characterization, and comparison of the ginsenosides among three different parts (the root, stem leaf, and flower bud) of Panax quinquefolius L. by ultra-high performance liquid chromatography/quadrupole-Orbitrap mass spectrometry. Anal. Bioanal. Chem. 2019, 411, 7817–7829. [Google Scholar] [CrossRef]
- Zhang, C.; Xin, X.; Zhang, J.; Zhu, S.; Niu, E.; Zhou, Z.; Liu, D. Comparative evaluation of the phytochemical profiles and antioxidant potentials of olive leaves from 32 cultivars grown in China. Molecules 2022, 27, 1292. [Google Scholar] [CrossRef]
- Pinto, T.; Aires, A.; Cosme, F.; Bacelar, E.; Morais, M.C.; Oliveira, I.; Ferreira-Cardoso, J.; Anjos, R.; Vilela, A.; Gonçalves, B. Bioactive (Poly) phenols, volatile compounds from vegetables, medicinal and aromatic plants. Foods 2021, 10, 106. [Google Scholar] [CrossRef]
- Ganbaatar, C.; Gruner, M.; Mishig, D.; Duger, R.; Schmidt, A.W.; Knölker, H.-J. Flavonoid glycosides from the aerial parts of Polygonatum odoratum (Mill.) Druce growing in Mongolia. Open Nat. Prod. J. 2015, 8, 1–7. [Google Scholar] [CrossRef] [Green Version]
- Jin, J.-M.; Zhang, Y.-J.; Li, H.-Z.; Yang, C.-R. Cytotoxic steroidal saponins from Polygonatum z anlanscianense. J. Nat. Prod. 2004, 67, 1992–1995. [Google Scholar] [CrossRef]
- Zhang, J.; Ma, B.-P.; Kang, L.-P.; Yu, H.-S.; Yang, Y.; Yan, X.-Z.; Dong, F.-T. Furostanol saponins from the fresh rhizomes of Polygonatum kingianum. Chem. Pharm. Bull. 2006, 54, 931–935. [Google Scholar] [CrossRef] [PubMed] [Green Version]
- Wu, W.-N.; Beal, J.L.; Doskotch, R.W. Alkaloids of Thalictrum. XXXIII. Isolation and characterization of alkaloids from the root of Thalictrum alpinum. J. Nat. Prod. 1980, 43, 372–381. [Google Scholar] [CrossRef]
- Li, C.-L.; Tan, L.-H.; Wang, Y.-F.; Luo, C.-D.; Chen, H.-B.; Lu, Q.; Li, Y.-C.; Yang, X.-B.; Chen, J.-N.; Liu, Y.-H. Comparison of anti-inflammatory effects of berberine, and its natural oxidative and reduced derivatives from Rhizoma Coptidis in vitro and in vivo. Phytomedicine 2019, 52, 272–283. [Google Scholar] [CrossRef]
- Anwar, M.A.; Tabassam, S.; Gulfraz, M.; Sheeraz Ahmad, M.; Raja, G.K.; Arshad, M. Isolation of oxyberberine and β-sitosterol from Berberis lycium Royle root bark extract and in vitro cytotoxicity against liver and lung cancer cell lines. Evid.-Based Complementary Altern. Med. 2020, 2020, 2596082. [Google Scholar] [CrossRef]
- He, T.; Emori, W.; Zhang, R.-H.; Okafor, P.C.; Yang, M.; Cheng, C.-R. Detailed characterization of Phellodendron chinense Schneid and its application in the corrosion inhibition of carbon steel in acidic media. Bioelectrochemistry 2019, 130, 107332. [Google Scholar] [CrossRef]
- Dou, Y.; Huang, R.; Li, Q.; Liu, Y.; Li, Y.; Chen, H.; Ai, G.; Xie, J.; Zeng, H.; Chen, J. Oxyberberine, an absorbed metabolite of berberine, possess superior hypoglycemic effect via regulating the PI3K/Akt and Nrf2 signaling pathways. Biomed. Pharmacother. 2021, 137, 111312. [Google Scholar] [CrossRef]
- Chi, J.-F.; Chu, S.-H.; Lee, C.-S.; Su, M.-J. Effects of 8-oxoberberine on sodium current in rat ventricular and human atrial myocytes. Can. J. Cardiol. 1997, 13, 1103–1110. [Google Scholar]
- Ding, C.; Li, Y.; Sun, Y.; Wu, Y.; Wang, F.; Liu, C.; Zhang, H.; Jiang, Y.; Zhang, D.; Song, X. Sinomenium acutum: A Comprehensive Review of its Botany, Phytochemistry, Pharmacology and Clinical Application. Am. J. Chin. Med. 2022, 1–35. [Google Scholar] [CrossRef] [PubMed]
- Liu, L.; Li, J.; He, Y. Multifunctional epiberberine mediates multi-therapeutic effects. Fitoterapia 2020, 147, 104771. [Google Scholar] [CrossRef] [PubMed]
- Hung, T.M.; Na, M.; Dat, N.T.; Ngoc, T.M.; Youn, U.; Kim, H.J.; Min, B.-S.; Lee, J.; Bae, K. Cholinesterase inhibitory and anti-amnesic activity of alkaloids from Corydalis turtschaninovii. J. Ethnopharmacol. 2008, 119, 74–80. [Google Scholar] [CrossRef]
- Jung, H.A.; Min, B.-S.; Yokozawa, T.; Lee, J.-H.; Kim, Y.S.; Choi, J.S. Anti-Alzheimer and antioxidant activities of Coptidis Rhizoma alkaloids. Biol. Pharm. Bull. 2009, 32, 1433–1438. [Google Scholar] [CrossRef] [PubMed] [Green Version]
- Van, H.T.; Thang, T.D.; Luu, T.N.; Doan, V.D. An overview of the chemical composition and biological activities of essential oils from Alpinia genus (Zingiberaceae). RSC Adv. 2021, 11, 37767–37783. [Google Scholar] [CrossRef]
- Singh, M.; Kamal, Y.; Khan, M.; Parveen, R.; Ansari, S.; Ahmad, S. Matrix solid-phase dispersion extraction and quantification of alpinetin in amomum seed using validated HPLC and HPTLC methods. Indian J. Pharm. Sci. 2015, 77, 49. [Google Scholar] [PubMed]
- Cao, X.-D.; Ding, Z.-S.; Jiang, F.-S.; Ding, X.-H.; Chen, J.-Z.; Chen, S.-H.; Lv, G.-Y. Antitumor constituents from the leaves of Carya cathayensis. Nat. Prod. Res. 2012, 26, 2089–2094. [Google Scholar] [PubMed]
- Seimandi, G.; Álvarez, N.; Stegmayer, M.I.; Fernández, L.; Ruiz, V.; Favaro, M.A.; Derita, M. An Update on Phytochemicals and Pharmacological Activities of the Genus Persicaria and Polygonum. Molecules 2021, 26, 5956. [Google Scholar] [CrossRef]
- Zhao, G.; Tong, Y.; Luan, F.; Zhu, W.; Zhan, C.; Qin, T.; An, W.; Zeng, N. Alpinetin: A review of its pharmacology and pharmacokinetics. Front. Pharmacol. 2022, 13, 814370. [Google Scholar] [CrossRef]
- Martins, R.C.; Latorre, L.R.; Sartorelli, P.c.; Kato, M.J. Phenylpropanoids and tetrahydrofuran lignans from Piper solmsianum. Phytochemistry 2000, 55, 843–846. [Google Scholar] [CrossRef]
- Carvalho, A.A.; Galdino, P.M.; Nascimento, M.V.; Kato, M.J.; Valadares, M.C.; Cunha, L.C.; Costa, E.A. Antinociceptive and antiinflammatory activities of grandisin extracted from Virola surinamensis. Phytother. Res. Int. J. Devoted Pharmacol. Toxicol. Eval. Nat. Prod. Deriv. 2010, 24, 113–118. [Google Scholar]
- Tanaka, T.; Kohno, H.; Tsukio, Y.; Honjo, S.; Tanino, M.; Miyake, M.; Wada, K. Citrus limonoids obacunone and limonin inhibit azoxymethane-induced colon carcinogenesis in rats. Biofactors 2000, 13, 213–218. [Google Scholar] [CrossRef] [PubMed]
- Kang, D.G.; Choi, D.H.; Lee, J.K.; Lee, Y.J.; Moon, M.K.; Yang, S.N.; Kwon, T.O.; Kwon, J.W.; Kim, J.S.; Lee, H.S. Endothelial NO/cGMP-dependent vascular relaxation of cornuside isolated from the fruit of Cornus officinalis. Planta Med. 2007, 73, 1436–1440. [Google Scholar] [CrossRef] [PubMed]








Publisher’s Note: MDPI stays neutral with regard to jurisdictional claims in published maps and institutional affiliations. |
© 2022 by the authors. Licensee MDPI, Basel, Switzerland. This article is an open access article distributed under the terms and conditions of the Creative Commons Attribution (CC BY) license (https://creativecommons.org/licenses/by/4.0/).
Share and Cite
Luo, G.; Lin, J.; Cheng, W.; Liu, Z.; Yu, T.; Yang, B. UHPLC-Q-Orbitrap-MS-Based Metabolomics Reveals Chemical Variations of Two Types of Rhizomes of Polygonatum sibiricum. Molecules 2022, 27, 4685. https://doi.org/10.3390/molecules27154685
Luo G, Lin J, Cheng W, Liu Z, Yu T, Yang B. UHPLC-Q-Orbitrap-MS-Based Metabolomics Reveals Chemical Variations of Two Types of Rhizomes of Polygonatum sibiricum. Molecules. 2022; 27(15):4685. https://doi.org/10.3390/molecules27154685
Chicago/Turabian StyleLuo, Gelian, Junhan Lin, Weiqing Cheng, Zhibin Liu, Tingting Yu, and Bin Yang. 2022. "UHPLC-Q-Orbitrap-MS-Based Metabolomics Reveals Chemical Variations of Two Types of Rhizomes of Polygonatum sibiricum" Molecules 27, no. 15: 4685. https://doi.org/10.3390/molecules27154685
APA StyleLuo, G., Lin, J., Cheng, W., Liu, Z., Yu, T., & Yang, B. (2022). UHPLC-Q-Orbitrap-MS-Based Metabolomics Reveals Chemical Variations of Two Types of Rhizomes of Polygonatum sibiricum. Molecules, 27(15), 4685. https://doi.org/10.3390/molecules27154685
