Tropaeolin OO as a Chemical Sensor for a Trace Amount of Pd(II) Ions Determination
Abstract
1. Introduction
2. Results and Discussion
2.1. Experimental Conditions
2.2. Spectra of Reagents
2.3. Metalorganic Complex Formation between Pd(II) and TR (at Different pH)
2.4. The Process of Pd(II) Ions Determination
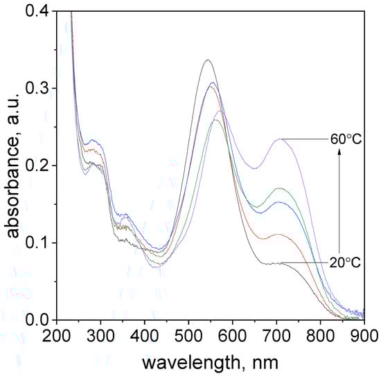
2.4.1. The Influence of Temperature
2.4.2. The Influence of Chloride Ions on the Process of Pd(II) Ions Determination
2.4.3. The Influence of Chlorate Ions on the Process of Pd(II) Ions Determination
2.4.4. The Influence of the Presence of Other Cations on the Process of Pd(II) Ions Determination
2.4.5. Applying the Proposed Method in the Practice for Spectrophotometric Determination of Pd(II) Ions
3. Materials and Methods
3.1. Chemicals
3.2. Methods of Analysis
3.3. Density Functional Theory (DFT) Calculation
4. Conclusions
Supplementary Materials
Author Contributions
Funding
Institutional Review Board Statement
Informed Consent Statement
Data Availability Statement
Conflicts of Interest
References
- Li, H.; Fan, J.; Peng, X. Colourimetric and fluorescent probes for the optical detection of palladium ions. Chem. Soc. Rev. 2013, 42, 7943–7962. [Google Scholar] [CrossRef] [PubMed]
- Bojdi, M.K.; Behbahani, M.; Sahragard, A.; Amin, B.G.; Fakhari, A.; Bagheri, A. A palladium imprinted polymer for highly selective and sensitive electrochemical determination of ultra-trace of palladium ions. Electrochim. Acta 2014, 149, 108–116. [Google Scholar] [CrossRef]
- Shaheen, H.A.; Marwani, H.M.; Soliman, E.M. Soliman Selective solid phase extraction and determination of trace Pd(II) using multi-walled carbon nanotubes modified with 8-aminoquinoline. J. Mol. Liq. 2017, 232, 139–146. [Google Scholar] [CrossRef]
- Afzali, D.; Jamshidi, R.; Ghaseminezhad, S.; Afzali, Z. Preconcentration procedure trace amounts of palla-dium using modified multiwalled carbon nanotubes sorbent prior to flame atomic absorption spectrometry: 1st Nano Update. Arab. J. Chem. 2021, 5, 461–466. [Google Scholar] [CrossRef]
- Shaw, M.J.; Haddad, P.R. The determination of trace metal pollutants in environmental matrices using ion chromatography. Environ. Int. 2004, 30, 403–431. [Google Scholar] [CrossRef]
- Lewen, N.; Schenkenberger, M.; Larkin, T.; Conder, S.; Brittain, H.G. The determination of palladium in fosinopril sodium (monopril) by ICP-MS. J. Pharm. Biomed. Anal. 1995, 13, 879–883. [Google Scholar] [CrossRef]
- Motelica-Heino, M.; Rauch, S.; Morrison, G.; Donard, O. Determination of palladium, platinum and rhodium concentrations in urban road sediments by laser ablation-ICP-MS. Anal. Chim. Acta 2001, 436, 233–244. [Google Scholar] [CrossRef]
- He, M.; Huang, L.; Zhao, B.; Chen, B.; Hu, B. Advanced functional materials in solid phase extraction for ICP-MS determination of trace elements and their species—A review. Anal. Chim. Acta 2017, 973, 1–24. [Google Scholar] [CrossRef]
- Su, Z.-X.; Pu, Q.-S.; Luo, X.-Y.; Chang, X.-J.; Zhan, G.-Y.; Ren, F.-Z. Application of a macroporous resin containing imidazoline groups to preconcentration and separation of gold, platinum and palladium prior to ICP-AES determination. Talanta 1995, 42, 1127–1133. [Google Scholar] [CrossRef]
- Gong, B.; Wang, Y. ICP-AES determination of traces of noble metal ions pre-concentrated and separated on a new polyacry-lacylaminothiourea chelating fiber. Anal. Bioanal. Chem. 2002, 372, 597–600. [Google Scholar] [CrossRef]
- Torgov, V.G.; Korda, T.M.; Demidova, M.G.; Gus’kova, E.A.; Bukhbinder, G.L. ICP AES determi-nation of platinum group elements and gold in collective extract and strip product solution in analysis of geological samples. J. Anal. At. Spectrom. 2009, 24, 1551–1557. [Google Scholar] [CrossRef]
- Chakrapani, G.; Mahanta, P.L.; Murty, D.S.R.; Gomathy, B. Preconcentration of traces of gold, silver and palladium on activated carbon and its determination in geological samples by flame AAS after wet ashing. Talanta 2001, 53, 1139–1147. [Google Scholar] [CrossRef]
- Zimmermann, S.; Messerschmidt, J.; von Bohlen, A.; Sures, B. Determination of Pt, Pd and Rh in biological samples by electrothermal atomic absorption spectrometry as compared with adsorptive cathodic stripping voltammetry and total-reflection X-ray fluorescence analysis. Anal. Chim. Acta 2003, 498, 93–104. [Google Scholar] [CrossRef]
- Van Meel, K.; Smekens, A.; Behets, M.; Kazandjian, P.; Van Grieken, R. Determination of Platinum, Palladium, and Rhodium in Automotive Catalysts Using High-Energy Secondary Target X-ray Fluorescence Spectrometry. Anal. Chem. 2007, 79, 6383–6389. [Google Scholar] [CrossRef] [PubMed]
- Marguí, E.; Van Meel, K.; Van Grieken, R.; Buendía, A.; Fontàs, C.; Hidalgo, M.; Queralt, I. Method for the Determination of Pd-Catalyst Residues in Active Pharmaceutical Ingredients by Means of High-Energy Polarized-Beam Energy Dispersive X-Ray Fluorescence. Anal. Chem. 2009, 81, 1404–1410. [Google Scholar] [CrossRef]
- Nakajima, J.; Ohno, M.; Chikama, K.; Seki, T.; Oguma, K. Determination of traces of palladium in stream sediment and auto catalyst by FI-ICP-OES using on-line separation and preconcentration with QuadraSil TA. Talanta 2009, 79, 1050–1054. [Google Scholar] [CrossRef]
- Sivrikaya, S.; Altundag, H.; Zengin, M.; Imamoglu, M. Separation, Preconcentration, and Recovery of Pd(II) Ions using Newly Modified Silica Gel with Bis(3-Aminopropyl)Amine. Sep. Sci. Technol. 2011, 46, 2032–2040. [Google Scholar] [CrossRef]
- Gholivand, M.B.; Nozari, N. Extraction and spectrophotometric determination of trace amount of Pd(II) with 2,2′-dithiodianiline. Talanta 2000, 52, 1055–1060. [Google Scholar] [CrossRef]
- Parmar, A.; Sharma, S. Derivative UV-vis absorption spectra as an invigorated spectrophotometric method for spectral resolution and quantitative analysis: Theoretical aspects and analytical applications: A review. TrAC Trends Anal. Chem. 2015, 77, 44–53. [Google Scholar] [CrossRef]
- Luty-Błocho, M.; Podborska, A.; Musielak, B.; Hessel, V. The specialized twin-solution method for selective Pd(II) ions determination and methyl orange removal. J. Mol. Liq. 2021, 340, 116884. [Google Scholar] [CrossRef]
- Al-Adilee, K.J.; Abedalrazaq, K.A.; Al-Hamdiny, Z.M. Synthesis and Spectroscopic Properties of Some Transition Metal Complexes with New Azo-Dyes Derived from Thiazole and Imidazole. Asian J. Chem. 2013, 25, 10475–10481. [Google Scholar] [CrossRef]
- Al-Hamdani, A.; Hasan, Z. Spectroscopic Studies and Thermal Analysis of New Azo Dyes Ligands and their Complexes with some Transition of Metal Ions. Baghdad Sci. J. 2016, 13, 511–523. [Google Scholar] [CrossRef]
- Gup, R.; Giziroglu, E.; Kırkan, B. Synthesis and spectroscopic properties of new azo-dyes and azo-metal complexes derived from barbituric acid and aminoquinoline. Dye. Pigment. 2007, 73, 40–46. [Google Scholar] [CrossRef]
- Al-Adilee, K.; Kyhoiesh, H.A. Preparation and identification of some metal complexes with new heterocyclic azo dye ligand 2-[2−-(1-Hydroxy-4-Chloro phenyl) azo]- imidazole and their spectral and thermal studies. J. Mol. Struct. 2017, 1137, 160–178. [Google Scholar] [CrossRef]
- Turan, N.; Buldurun, K.; Adiguzel, R.; Aras, A.; Turkan, F.; Bursal, E. Investigation of spectroscopic, thermal, and biological properties of FeII, CoII, ZnII, and RuII complexes derived from azo dye ligand. J. Mol. Struct. 2021, 1244, 130989. [Google Scholar] [CrossRef]
- Marczenko, Z. Spektrofotometryczne Oznaczanie Pierwiastków, 3rd ed.; Państwowe Wydawnictwo Naukowe: Warszawa, Poland, 1979; pp. 19–20; 65–68. [Google Scholar]
- Vasic, V.; Savic, J.; Vukelic, N. Sorption-spectrophotometric method for the determination of Pd(II) in aqueous solutions. J. Serb. Chem. Soc. 2004, 69, 309–317. [Google Scholar] [CrossRef]
- Murray, P.; Koch, K.R.; van Eldik, R. Mechanism of tetrachloroplatinate(ii) oxidation by hydrogen peroxide in hydrochloric acid solution. Dalton Trans. 2013, 43, 6308–6314. [Google Scholar] [CrossRef][Green Version]
- Morzyk-Ociepa, B.; Szmigiel, K.; Turowska-Tyrk, I.; Malik-Gajewska, M.; Banach, J.; Wietrzyk, J. New mono- and dinuclear complexes of 7-azaindole-3-carboxaldehyde with palladium(II): Crystal structure, IR and Raman spectra, DFT calculations and in vitro antiproliferative activity. Polyhedron 2018, 153, 88–98. [Google Scholar] [CrossRef]
- Kaya, Y.; Icsel, C.; Yilmaz, V.T.; Buyukgungor, O. Palladium(II) and platinum(II) complexes of a new imineoxime ligand—Structural, spectroscopic and DFT/time-dependent (TD) DFT studies. J. Org. Chem. 2014, 752, 83–90. [Google Scholar] [CrossRef]
- el-Krim Sandeli, A.; Khiri-Meribout, N.; Benzerka, S.; Boulebd, H.; Gürbüz, N.; Özdemir, N.; Özdemir, İ. Synthesis, structures, DFT calculations, and catalytic application in the direct arylation of five-membered heteroarenes with aryl bromides of novel palladium-N-heterocyclic carbene PEPPSI-type complexes. New J. Chem. 2021, 45, 17878–17892. [Google Scholar] [CrossRef]
- Frisch, M.E.; Trucks, G.W.; Schlegel, H.B.; Scuseria, G.E.; Robb, M.A.; Cheeseman, J.R.; Scalmani, G.; Barone, V.P.G.A.; Petersson, G.A.; Nakatsuji, H.J.R.A.; et al. Gaussian 16, Revision C.01; Gaussian, Inc.: Wallingford, UK, 2019. [Google Scholar]
- Dunning, T.H.; Hay, P.J. Gaussian Basis Sets for Molecular Calculations. In Methods of Electronic Structure Theory; Schaefer, H.F., Ed.; Springer: Boston, MA, USA, 1977; pp. 1–27. [Google Scholar]










| pH (Solvent) | ε1 (λ1) | ε2 (λ2) |
|---|---|---|
| M−1·cm−1 | M−1·cm−1 | |
| 4–5 (H2O) | 11,458 ± 130 (272 nm) | 22,350 ± 59 (445 nm) |
| 2.09 (B-R) | 6506 ± 54 (207 nm) | 12,616 ± 53 (460 nm) |
| 2.87 (B-R) | 7491 ± 200 (270 nm) | 14,793 ± 129 (445 nm) |
| 4.10 (B-R) | 7652 ± 184 (270 nm) | 15,272 ± 123 (445 nm) |
| 5.02 (B-R) | 7369 ± 181 (270 nm) | 15,341 ± 114 (445 nm) |
| 6.09 (B-R) | 7981 ± 36 (270 nm) | 15,850 ± 72 (445 nm) |
Publisher’s Note: MDPI stays neutral with regard to jurisdictional claims in published maps and institutional affiliations. |
© 2022 by the authors. Licensee MDPI, Basel, Switzerland. This article is an open access article distributed under the terms and conditions of the Creative Commons Attribution (CC BY) license (https://creativecommons.org/licenses/by/4.0/).
Share and Cite
Pach, A.; Podborska, A.; Csapo, E.; Luty-Błocho, M. Tropaeolin OO as a Chemical Sensor for a Trace Amount of Pd(II) Ions Determination. Molecules 2022, 27, 4511. https://doi.org/10.3390/molecules27144511
Pach A, Podborska A, Csapo E, Luty-Błocho M. Tropaeolin OO as a Chemical Sensor for a Trace Amount of Pd(II) Ions Determination. Molecules. 2022; 27(14):4511. https://doi.org/10.3390/molecules27144511
Chicago/Turabian StylePach, Adrianna, Agnieszka Podborska, Edit Csapo, and Magdalena Luty-Błocho. 2022. "Tropaeolin OO as a Chemical Sensor for a Trace Amount of Pd(II) Ions Determination" Molecules 27, no. 14: 4511. https://doi.org/10.3390/molecules27144511
APA StylePach, A., Podborska, A., Csapo, E., & Luty-Błocho, M. (2022). Tropaeolin OO as a Chemical Sensor for a Trace Amount of Pd(II) Ions Determination. Molecules, 27(14), 4511. https://doi.org/10.3390/molecules27144511

