Density Functional Theory-Based Studies Predict Carbon Nanotubes as Effective Mycolactone Inhibitors
Abstract
:1. Introduction
2. Materials and Methods
Computational Details
3. Results and Discussion
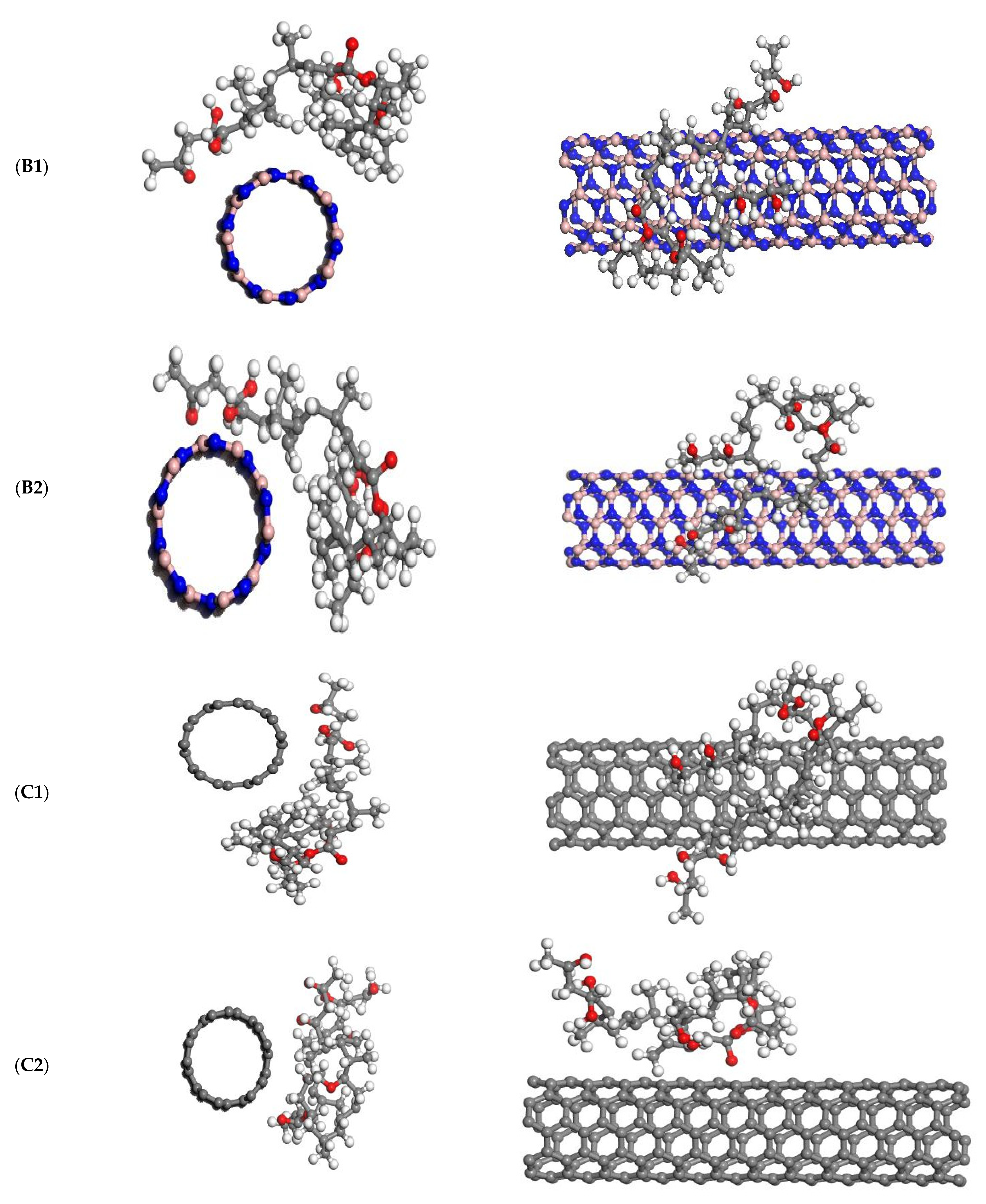
3.1. Molecular Geometry and Adsorption Energy
3.2. Frontier Orbitals Analysis
3.3. Chemical Reactivity Analysis
3.4. Significance, Limitations, and Suggestions for Future Work
4. Conclusions
Supplementary Materials
Author Contributions
Funding
Institutional Review Board Statement
Informed Consent Statement
Data Availability Statement
Acknowledgments
Conflicts of Interest
References
- Kishi, Y. Chemistry of mycolactones, the causative toxins of Buruli ulcer. Proc. Natl. Acad. Sci. USA 2011, 108, 6703–6708. [Google Scholar] [CrossRef] [PubMed] [Green Version]
- Demangel, C.; High, S. Sec61 blockade by mycolactone: A central mechanism in Buruli ulcer disease. Biol. Cell 2018, 110, 237–248. [Google Scholar] [CrossRef] [PubMed] [Green Version]
- Kwofie, S.K.; Dankwa, B.; Odame, E.A.; Agamah, F.E.; Doe, L.P.A.; Teye, J.; Agyapong, O.; Miller, W.; Mosi, L.; Wilson, M.D. In Silico Screening of Isocitrate Lyase for Novel Anti-Buruli Ulcer Natural Products Originating from Africa. Molecules 2018, 23, 1550. [Google Scholar] [CrossRef] [PubMed] [Green Version]
- Guenin-Macé, L.; Ruf, M.-T.; Pluschke, G.; Demangel, C. Buruli ulcer: Mycobacterium ulcerans disease. Buruli Ulcer Mycobacterium Ulcerans Dis. 2019, 117–134. [Google Scholar] [CrossRef] [Green Version]
- Shannon, C.B. Buruli Ulcer: Background, Pathophysiology, Epidemiology. 2021. Available online: https://emedicine.medscape.com/article/1104891-overview (accessed on 31 March 2021).
- Kwofie, S.K.; Dankwa, B.; Enninful, K.S.; Adobor, C.; Broni, E.; Ntiamoah, A.; Wilson, M.D. Molecular Docking and Dynamics Simulation Studies Predict Munc18b as a Target of Mycolactone: A Plausible Mechanism for Granule Exocytosis Impairment in Buruli Ulcer Pathogenesis. Toxins 2019, 11, 181. [Google Scholar] [CrossRef] [Green Version]
- Aydin, F.; Sun, R.; Swanson, J.M.J. Mycolactone toxin membrane permeation: Atomistic versus Coarse-Grained MARTINI Simulations. Biophys. J. 2019, 117, 87–98. [Google Scholar] [CrossRef]
- Reynaert, M.-L.; Dupoiron, D.; Yeramian, E.; Marsollier, L.; Brodin, P. Could Mycolactone Inspire New Potent Analgesics? Perspectives and Pitfalls. Toxins 2019, 11, 516. [Google Scholar] [CrossRef] [Green Version]
- Dangy, J.-P.; Scherr, N.; Gersbach, P.; Hug, M.N.; Bieri, R.; Bomio, C.; Li, J.; Huber, S.; Altmann, K.-H.; Pluschke, G. Antibody-Mediated Neutralization of the Exotoxin Mycolactone, the Main Virulence Factor Produced by Mycobacterium ulcerans. PLoS Negl. Trop. Dis. 2016, 10, e0004808. [Google Scholar] [CrossRef] [Green Version]
- Abrahamson, J.; Wiles, P.G.; Rhoades, B.L. Structure of carbon fibres found on carbon arc anodes. Carbon 1999, 37, 1873–1874. [Google Scholar] [CrossRef]
- Meyyappan, M.; Delzeit, L.; Cassell, A.; Hash, D. Carbon nanotube growth by PECVD: A review. Plasma Sources Sci. Technol. 2003, 12, 205–216. [Google Scholar] [CrossRef]
- Saito, R.; Dresselhaus, G.; Dresselhaus, M.S. Physical Properties of Carbon Nanotubes; London and Imperial College Press: London, UK, 1998. [Google Scholar]
- Terrones, M. Science and technology of the twenty-first century: Synthesis, properties, and applications of carbon nanotubes. Annu. Rev. Mater. Res. 2003, 33, 419–501. [Google Scholar] [CrossRef]
- Nel, A.E.; Mädler, L.; Velegol, D.; Xia, T.; Hoek, E.M.V.; Somasundaran, P.; Klaessig, F.; Castranova, V.; Thompson, M. Un derstanding Biophysicochemical Interactions at the Nano–Bio Interface. Nat. Mater. 2009, 8, 543–557. [Google Scholar] [CrossRef] [PubMed]
- Negri, V.; Pacheco, J.; Daniel, T. Carbon Nanotubes in Biomedicine; Springer International Publishing: Cham, Switzerland, 2020. [Google Scholar]
- Liu, Z.; Tabakman, S.; Welsher, K.; Dai, H. Carbon nanotubes in biology and medicine: In vitro and in vivo detection, imaging and drug delivery. Nano Res. 2009, 2, 85–120. [Google Scholar] [PubMed] [Green Version]
- Bianco, A.; Hoebeke, J.; Kostarelos, K.; Prato, M.; Partidos, C.D. Carbon Nanotubes: On the Road to Deliver. Curr. Drug Deliv. 2005, 2, 253–259. [Google Scholar] [CrossRef]
- Li, Y.; Li, Z.; Aydin, F.; Quan, J.; Chen, X.; Yao, Y.-C.; Zhan, C.; Chen, Y.; Pham, T.A.; Noy, A. Water-ion permselectivity of narrow-diameter carbon nanotubes. Sci. Adv. 2020, 6, eaba9966. [Google Scholar] [CrossRef]
- Nafiu, S.; Apalangya, V.A.; Yaya, A.; Sabi, E.B. Boron Nitride Nanotubes for Curcumin Delivery as an Anticancer Drug: A DFT Investigation. Appl. Sci. 2022, 12, 879. [Google Scholar] [CrossRef]
- Gao, Z.; Zhi, C.; Bando, Y.; Golberg, D.; Serizawa, T. Functionalization of boron nitride nanotubes for applications in nanobiomedicine. In Boron Nitride Nanotubes in Nanomedicine; William Andrew Publishing: Norwich, NY, USA, 2016; pp. 17–40. [Google Scholar]
- Khalili, N.P.; Moradi, R.; Kavehpour, P.; Islamzada, F. Boron nitride nanotube clusters and their hybrid nanofibers with polycaprolacton: Thermo-pH sensitive drug delivery functional materials. Eur. Polym. J. 2020, 127, 109585. [Google Scholar] [CrossRef]
- Yang, C.-K. Exploring the interaction between the boron nitride nanotube and biological molecules. Comput. Phys. Commun. 2011, 182, 39–42. [Google Scholar] [CrossRef]
- Li, X.; Zhi, C.; Hanagata, N.; Yamaguchi, M.; Bando, Y.; Golberg, D. Boron nitride nanotubes functionalized with mesoporous silica for intracellular delivery of chemotherapy drugs. Chem. Commun. 2013, 49, 7337–7339. [Google Scholar] [CrossRef]
- Naranjo, L.; Ferrara, F.; Blanchard, N.; Demangel, C.; D’Angelo, S.; Erasmus, M.F.; Teixeira, A.A.; Bradbury, A.R. Recombinant Antibodies against Mycolactone. Toxins 2019, 11, 346. [Google Scholar] [CrossRef] [Green Version]
- Hosseinzadeh, B.; Beni, A.S.; Eskandari, R.; Karami, M.; Khorram, M. Interaction of propylthiouracil, an anti-thyroid drug with boron nitride nanotube: A DFT study. Adsorption 2020, 26, 1385–1396. [Google Scholar] [CrossRef]
- Hanwell, M.; Curtis, D.; Lonie, D.; Vandermeersch, T.; Zurek, E.; Hutchison, G. Avogadro: An advanced semantic chemical editor, visualization, and analysis platform. J. Cheminformatics 2012, 4, 17. [Google Scholar] [CrossRef] [PubMed] [Green Version]
- Giannozzi, P.; Baroni, S.; Bonini, N.; Calandra, M.; Car, R.; Cavazzoni, C.; Ceresoli, D.; Chiarotti, G.L.; Cococcioni, M.; Dabo, I.; et al. QUANTUM ESPRESSO: A modular and open-source software project for quantum simulations of materials. J. Phys. Condens. Matter 2009, 21, 395502. [Google Scholar] [CrossRef] [PubMed]
- Beheshtian, J.; Peyghan, A.A.; Noei, M. Sensing behavior of Al and Si doped BC3 graphenes to formaldehyde. Sens. Actuators B Chem. 2013, 181, 829–834. [Google Scholar] [CrossRef]
- Moellmann, J.; Grimme, S. DFT-D3 Study of Some Molecular Crystals. J. Phys. Chem. C 2014, 118, 7615–7621. [Google Scholar] [CrossRef]
- Liu, C.; Zhang, D.; Gao, M.; Liu, S. DFT studies on second-order nonlinear optical properties of a series of axially substituted bis(salicylaldiminato) zinc(II) Schiff-base complexes. Chem. Res. Chin. Univ. 2015, 31, 597–602. [Google Scholar] [CrossRef]
- Becke, A.D. Density-functional thermochemistry. III. The role of exact exchange. J. Chem. Phys. 1993, 98, 5648–5652. [Google Scholar] [CrossRef] [Green Version]
- Buckingham, A.D.; Fowler, P.W.; Hutson, J.M. Theoretical studies of van der Waals molecules and intermolecular forces. Chem. Rev. 1988, 88, 963–988. [Google Scholar] [CrossRef]
- Elstner, M.; Hobza, P.; Frauenheim, T.; Suhai, S.; Kaxiras, E. Hydrogen bonding and stacking interactions of nucleic acid base pairs: A density-functional-theory based treatment. J. Chem. Phys. 2001, 114, 5149–5155. [Google Scholar] [CrossRef]
- Miriyala, V.M.; Řezáč, J. Description of non-covalent interactions in SCC-DFTB methods. J. Comput. Chem. 2017, 38, 688–697. [Google Scholar] [CrossRef]
- Mukhopadhyay, S.; Scheicher, R.H.; Pandey, R.; Karna, S.P. Sensitivity of boron nitride nanotubes toward biomolecules of different polarities. J. Phys. Chem. Lett. 2011, 2, 2442–2447. [Google Scholar] [CrossRef]
- Wang, C.; Li, S.; Zhang, R.; Lin, Z. Adsorption and properties of aromatic amino acids on single-walled carbon nanotubes. Nanoscale 2011, 4, 1146–1153. [Google Scholar] [CrossRef] [PubMed]
- Rubio, A.; Corkill, J.L.; Cohen, M.L. Theory of graphitic boron nitride nanotubes. Phys. Rev. B 1994, 49, 5081–5084. [Google Scholar] [CrossRef] [PubMed] [Green Version]
- Hamada, N.; Sawada, S.-I.; Oshiyama, A. New one-dimensional conductors: Graphitic microtubules. Phys. Rev. Lett. 1992, 68, 1579–1581. [Google Scholar] [CrossRef] [PubMed]
- Ziegler, T. The 1994 alcan award lecture density functional theory as a practical tool in studies of organometallic energetics and kinetics. Beating the heavy metal blues with DFT. Can. J. Chem. 1995, 73, 743–761. [Google Scholar] [CrossRef]
- Rosa, A.; Ehlers, A.W.; Baerends, E.J.; Snijders, J.G.; Te Velde, G. Basis set effects in density functional calculations on the metal-ligand and metal-metal bonds of Cr(CO)5-CO and (CO)5 Mn-Mn (CO)5. J. Phys. Chem. 1996, 100, 5690–5696. [Google Scholar] [CrossRef]
- Reimers, J.R.; Cai, Z.L.; Bilić, A.; Hush, N.S. The appropriateness of density-functional theory for the calculation of molecular electronics properties. Ann. N. Y. Acad. Sci. 2003, 1006, 235–251. [Google Scholar] [CrossRef]
- Meier, R.J. Are current DFT methods sufficiently reliable for real-world molecular systems? Faraday Discuss. 2002, 124, 405–412. [Google Scholar] [CrossRef]
- Pedrosa, V.A.; Paliwal, S.; Balasubramanian, S.; Nepal, D.; Davis, V.; Wild, J.; Ramanculov, E.; Simonian, A. Enhanced stability of enzyme organophosphate hydrolase interfaced on the carbon nanotubes. Colloids Surf. B Biointerfaces 2010, 77, 69–74. [Google Scholar] [CrossRef]





| Systems | Eads | R | HOMO | LUMO | Egap | µ | η | ω |
|---|---|---|---|---|---|---|---|---|
| B1 | −43.90 | 2.36 | −5.01 | −4.31 | 0.70 | −4.66 | 0.35 | 31.02 |
| B2 | −36.40 | 2.48 | −5.06 | −4.23 | 0.83 | −4.65 | 0.42 | 25.74 |
| BNNT | - | - | −6.54 | −2.10 | 4.44 | −4.32 | 2.22 | 4.20 |
| C1 | −105.20 | 2.38 | −3.86 | −3.56 | 0.30 | −3.70 | 0.16 | 44.10 |
| C2 | −96.77 | 2.74 | −3.86 | −3.55 | 0.31 | −3.71 | 0.15 | 44.57 |
| CNT | - | - | −3.83 | −3.52 | 0.31 | −3.67 | 0.16 | 42.94 |
Publisher’s Note: MDPI stays neutral with regard to jurisdictional claims in published maps and institutional affiliations. |
© 2022 by the authors. Licensee MDPI, Basel, Switzerland. This article is an open access article distributed under the terms and conditions of the Creative Commons Attribution (CC BY) license (https://creativecommons.org/licenses/by/4.0/).
Share and Cite
Suleiman, N.; Yaya, A.; Wilson, M.D.; Aryee, S.; Kwofie, S.K. Density Functional Theory-Based Studies Predict Carbon Nanotubes as Effective Mycolactone Inhibitors. Molecules 2022, 27, 4440. https://doi.org/10.3390/molecules27144440
Suleiman N, Yaya A, Wilson MD, Aryee S, Kwofie SK. Density Functional Theory-Based Studies Predict Carbon Nanotubes as Effective Mycolactone Inhibitors. Molecules. 2022; 27(14):4440. https://doi.org/10.3390/molecules27144440
Chicago/Turabian StyleSuleiman, Nafiu, Abu Yaya, Michael D. Wilson, Solomon Aryee, and Samuel K. Kwofie. 2022. "Density Functional Theory-Based Studies Predict Carbon Nanotubes as Effective Mycolactone Inhibitors" Molecules 27, no. 14: 4440. https://doi.org/10.3390/molecules27144440
APA StyleSuleiman, N., Yaya, A., Wilson, M. D., Aryee, S., & Kwofie, S. K. (2022). Density Functional Theory-Based Studies Predict Carbon Nanotubes as Effective Mycolactone Inhibitors. Molecules, 27(14), 4440. https://doi.org/10.3390/molecules27144440

