Synergistic Effect of Bioactive Monoterpenes against the Mosquito, Culex pipiens (Diptera: Culicidae)
Abstract
:1. Introduction
2. Materials and Methods
2.1. Materials
2.2. Preparation of the Binary Mixture
2.3. Mosquitoes
2.4. Fumigant Toxicity
2.5. Statistical Treatment
3. Results
3.1. Acute Toxicity of the Tested Binary Combinations
3.2. The Mixture Design Treatment
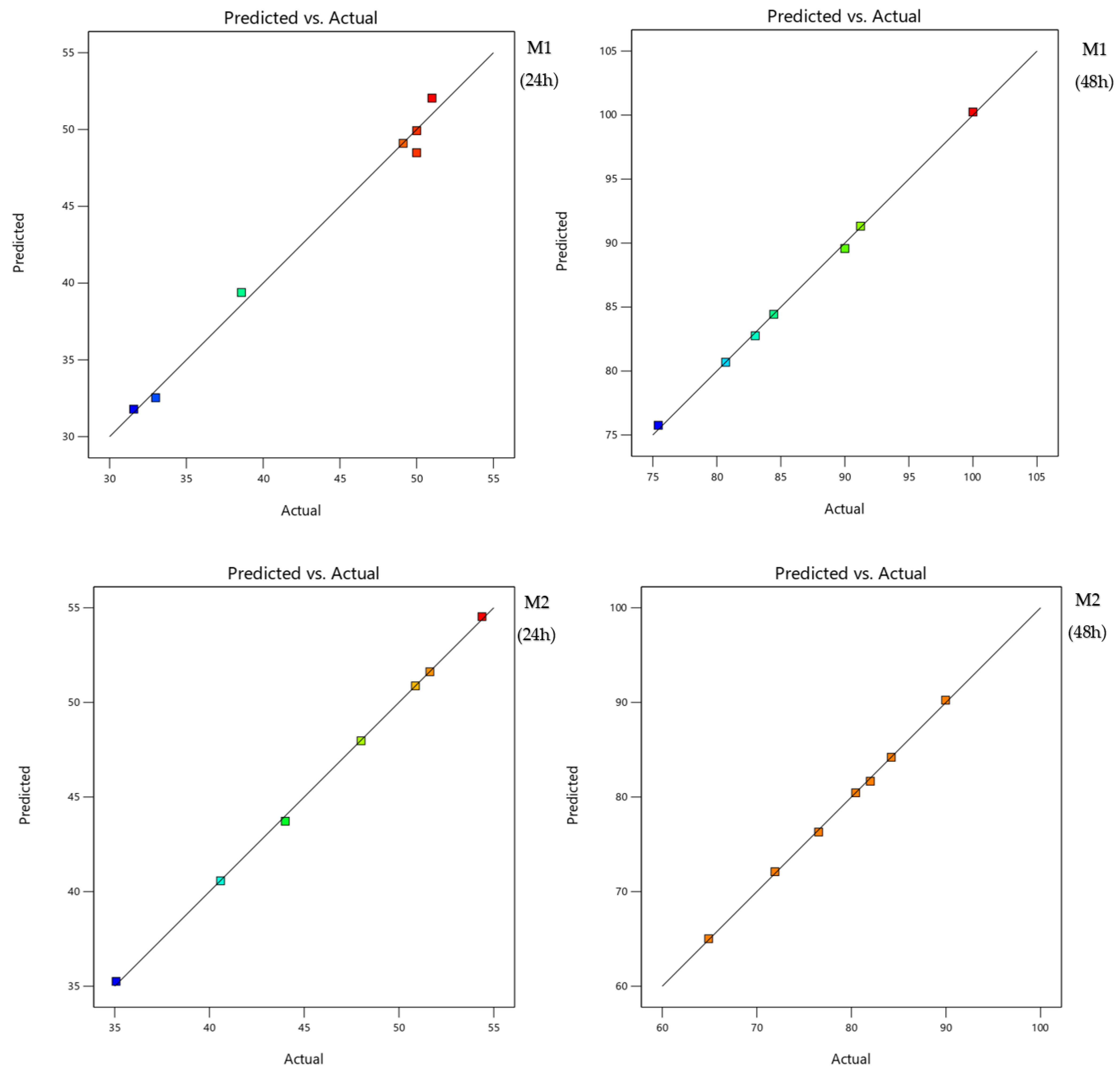
3.2.1. Statistical Validation of the Selected Model
3.2.2. Compound Effects
- -
- For Mixture 1 at 24 h:Y1 = 49.10 X1 + 49.93 X2 − 40.51 X1X2 + ε
- -
- For Mixture 1 at 48 h:Y2 = 80.69 X1 + 84.44 X2 − 27.22 X1X2 + ε
- -
- For Mixture 2 at 24 h:Y3 = 51.62 X1 + 50.87 X2 + 13.14 X1X2 + ε
- -
- For Mixture 2 at 48 h:Y4 = 84.20 X1 + 80.45 X2 + 31.67 X1X2 + ε
3.2.3. The Maximum Response Zones (Isoresponses)
3.2.4. Desirability Function
4. Discussion
5. Conclusions
Author Contributions
Funding
Institutional Review Board Statement
Informed Consent Statement
Data Availability Statement
Acknowledgments
Conflicts of Interest
References
- Benelli, G.; Pavela, R.; Iannarelli, R.; Petrelli, R.; Cappellacci, L.; Cianfaglione, K.; Afshar, F.H.; Nicoletti, M.; Canale, A.; Maggi, F. Synergized mixtures of Apiaceae essential oils and related plant-borne compounds: Larvicidal effectiveness on the filariasisvector Culex quinquefasciatus Say. Ind. Crops Prod. 2017, 96, 186–195. [Google Scholar] [CrossRef]
- Dantas-Torres, F.; Otranto, D. Best Practices for Preventing Vector-Borne Diseases in Dogs and Humans. Trends Parasitol. 2015, 32, 43–55. [Google Scholar] [CrossRef] [PubMed]
- Benelli, G. Research in mosquito control: Current challenges for a brighter future. Parasitol. Res. 2015, 114, 2801–2805. [Google Scholar] [CrossRef] [PubMed]
- Benelli, G.; Mehlhorn, H. Declining malaria, rising of dengue and Zika virus: Insights for mosquito vector control. Parasitol. Res. 2016, 115, 1747–1754. [Google Scholar] [CrossRef] [Green Version]
- Benelli, G.; Duggan, M.F. Management of arthropod vector data—Social and ecological dynamics facing the One Health perspective. Acta Trop. 2018, 182, 80–91. [Google Scholar] [CrossRef]
- Benelli, G.; Romano, D. Mosquito vectors of Zika virus. Èntomol. Gen. 2017, 36, 309–318. [Google Scholar] [CrossRef]
- Mayer, S.V.; Tesh, R.B.; Vasilakis, N. The emergence of arthropod-borne viral diseases: A global prospective on dengue, chikungunya and zika fevers. Acta Trop. 2016, 166, 155–163. [Google Scholar] [CrossRef]
- Shaukat, M.A.; Ali, S.; Saddiq, B.; Hassan, M.W.; Ahmad, A.; Kamran, M. Effective Mechanisms to Control Mosquito Borne Diseases: A Review. Am. J. Clin. Neurol. Neurosurg. 2019, 4, 21–30. [Google Scholar]
- Toussaint, J.F.; Kerkhofs, P.; De Clercq, K. Influence des changements climatiques globaux sur la progression des arboviroses. Ann. Med. Vet. 2006, 150, 56–63. [Google Scholar]
- WHO. West Nile Virus, Geneva, Switzerland. 2017. Available online: https://www.who.int/news-room/fact-sheets/detail/west-nile-virus (accessed on 15 June 2022).
- Figuerola, J.; Baouab, R.E.; Soriguer, R.; Fassi-Fihri, O.; Llorente, F.; Jímenez-Clavero, M.A. West Nile Virus Antibodies in Wild Birds, Morocco, 2008. Emerg. Infect. Dis. 2009, 15, 1651–1653. [Google Scholar] [CrossRef] [Green Version]
- Calistri, P.; Giovannini, A.; Hubalek, Z.; Ionescu, A.; Monaco, F.; Savini, G. Epidemiology of West Nile in Europe and in the Mediterranean Basin. Open Virol. J. 2010, 4, 29–37. [Google Scholar] [CrossRef] [PubMed] [Green Version]
- European Centre for Disease Prevention and Control (ECDPC). Consultation on Mosquito-Borne Disease Transmission Risk in Europe. 2010. pp. 1–9. Available online: https://www.ecdc.europa.eu/sites/default/files/media/en/publications/Publications/1102_MER_Consultation_on_%20mosquito-borne_diseases.pdf (accessed on 25 April 2022).
- WHO; GMP. Test procedures for insecticide resistance monitoring in malaria vector mosquitoes: Second edition. World Health Organ. Tech. Rep. Ser. 2016, 22, 1–54. [Google Scholar]
- Huang, Y.-J.S.; Higgs, S.; Van Landingham, D.L. Biological Control Strategies for Mosquito Vectors of Arboviruses. Insects 2017, 8, 21. [Google Scholar] [CrossRef]
- Abdelgaleil, S.A.M.; Al-Nagar, N.M.A.; Abou-Taleb, H.K.; Shawir, M.S. Effect of monoterpenes, phenylpropenes and sesquiterpenes on development, fecundity and fertility of Spodoptera littoralis (Boisduval). Int. J. Trop. Insect Sci. 2021, 42, 245–253. [Google Scholar] [CrossRef]
- Pavela, R.; Maggi, F.; Iannarelli, R.; Benelli, G. Plant extracts for developing mosquito larvicides: From laboratory to the field, with insights on the modes of action. Acta Trop. 2019, 193, 236–271. [Google Scholar] [CrossRef] [PubMed]
- Choi, W.-S.; Park, B.-S.; Lee, Y.-H.; Jang, D.Y.; Yoon, H.Y.; Lee, S.-E. Fumigant toxicities of essential oils and monoterpenes against Lycoriella mali adults. Crop Prot. 2006, 25, 398–401. [Google Scholar] [CrossRef]
- Kim, N.J.; Byun, S.G.; Cho, J.E.; Chung, K.; Ahn, Y.J. Larvicidal activity of Kaempferia galangal rhizome phenylpropanoids towards three mosquito species. Pest Manag. Sci. 2008, 64, 857–862. [Google Scholar]
- Michaelakis, A.; Papachristos, D.; Kimbaris, A.; Koliopoulos, G.; Giatropoulos, A.; Polissiou, M.G. Citrus essential oils and four enantiomeric pinenes against Culex pipiens (Diptera: Culicidae). Parasitol. Res. 2009, 105, 769–773. [Google Scholar] [CrossRef]
- Ben Ayed, R.; Moreau, F.; Ben Hlima, H.; Rebai, A.; Ercisli, S.; Kadoo, N.; Hanana, M.; Assouguem, A.; Ullah, R.; Ali, E.A. SNP discovery and structural insights into OeFAD2 unravelling high oleic/linoleic ratio in olive oil. Comput. Struct. Biotechnol. J. 2022, 20, 1229–1243. [Google Scholar] [CrossRef]
- Youssefi, M.R.; Tabari, M.A.; Esfandiari, A.; Kazemi, S.; Moghadamnia, A.A.; Sut, S.; Dall’Acqua, S.; Benelli, G.; Maggi, F. Efficacy of Two Monoterpenoids, Carvacrol and Thymol, and Their Combinations against Eggs and Larvae of the West Nile Vector Culex pipiens. Molecules 2019, 24, 1867. [Google Scholar] [CrossRef] [Green Version]
- Ramzi, A.; El Ouali Lalami, A.; Ez zoubi, Y.; Assouguem, A.; Almeer, R.; Najda, A.; Ullah, R.; Ercisli, S.; Farah, A. Insecticidal Effect of Wild-Grown Mentha pulegium and Rosmarinus officinalis Essential Oils and Their Main Monoterpenes against Culex pipiens (Diptera: Culicidae). Plants 2022, 11, 1193. [Google Scholar] [CrossRef] [PubMed]
- Himmi, O.; Dakki, M.; Trari, B.; El Agbani, M.A. The Culicidae of Morocco: Identification keys with biological and ecological data (work of the Scientific Institute). Zool. Ser. 1995, 44, 1–51. [Google Scholar]
- Brunhes, J.; Rhaim, A.; Geoffroy, B.; Hervy, J.P. Mosquitoes of the Mediterranean Africa: Software Identification and Education; CD-ROM (Didactiques), IRDIRD editions; IRD & IPT: Paris, France, 2000.
- Zahran, H.E.-D.M.; Abou-Taleb, H.K.; Abdelgaleil, S.A. Adulticidal, larvicidal and biochemical properties of essential oils against Culex pipiens L. J. Asia-Pac. Èntomol. 2017, 20, 133–139. [Google Scholar] [CrossRef]
- Badawy, M.E.I.; Taktak, N.E.M.; El-Aswad, A.F. Chemical composition of the essential oils isolated from peel of three citrus species and their mosquitocidal activity against Culex pipiens. Nat. Prod. Res. 2017, 32, 2829–2834. [Google Scholar] [CrossRef] [PubMed]
- Pavela, R. Acute toxicity and synergistic and antagonistic effects of the aromatic compounds of some essential oils against Culex quinquefasciatus Say larvae. Parasitol. Res. 2015, 114, 3835–3853. [Google Scholar] [CrossRef]
- Papachristos, D.P.; Stamopoulos, K.I.; Menkissoglu-Spiroudi, U. The relationship between the chemichal composition of three essential oils and their insecticidal activity against Acanthoscelides obtectus Say. Pest Manag. Sci. 2004, 60, 514. [Google Scholar] [CrossRef] [PubMed]
- El-Akhal, F.; Ramzi, A.; Farah, A.; Ez Zoubi, Y.; Benboubker, M.; Taghzouti, K.; El Ouali Lalami, A. Chemical Composition and Larvicidal Activity of Lavandula angustifolia Subsp. angustifolia and Lavandula dentata spp. dentata Essential Oils against Culex pipiens Larvae, Vector of West Nile Virus. Psyche A J. Entomol. 2021, 2021, 8872139. [Google Scholar] [CrossRef]
- Ez zoubi, Y.; El Ouali Lalami, A.; Bousta, D.; Polissiou, M.; Daferera, D.; Lachkar, M.; El Khanchoufi, A.; Farah, A. Chemical composition, antioxidant and antimicrobial activities of the essential oil and its fractions of Lavandula stoechas L. from Morocco. Int. J. Curr. Pharm. Rev. Res. 2017, 8, 60–67. [Google Scholar]
- Bouyahya, A.; Et-Touys, A.; Bakri, Y.; Talbaui, A.; Fellah, H.; Abrini, J.; Dakka, N. Chemical composition of Mentha pulegium and Rosmarinus officinalis essential oils and their antileishmanial, antibacterial and antioxidant activities. Microb. Pathog. 2017, 111, 41–49. [Google Scholar] [CrossRef]
- Ma, W.-B.; Feng, J.-T.; Jiang, Z.-L.; Wu, H.; Ma, Z.-Q.; Zhang, X. Fumigant activity of eleven essential oil compounds and their selected binary mixtures against Culex pipiens pallens (Diptera: Culicidae). Parasitol. Res. 2014, 113, 3631–3637. [Google Scholar] [CrossRef]
- Badawy, M.E.I.; Taktak, N.E.M.; Awad, O.M.; Elfiki, S.A.; El-Ela, N.E.A. Preparation of Ecofriendly Formulations Containing Biologically Active Monoterpenes with Their Fumigant and Residual Toxicities against Adults of Culex pipiens. J. Trop. Med. 2016, 2016, 8540830. [Google Scholar] [CrossRef] [PubMed] [Green Version]
- Fujiwara, G.M.; Annies, V.; de Oliveira, C.F.; Lara, R.A.; Gabriel, M.M.; Betim, F.C.; Nadal, J.M.; Farago, P.V.; Dias, J.F.; Miguel, O.G.; et al. Evaluation of larvicidal activity and ecotoxicity of linalool, methyl cinnamate and methyl cinnamate/linalool in combination against Aedes aegypti. Ecotoxicol. Environ. Saf. 2017, 139, 238–244. [Google Scholar] [CrossRef] [PubMed]
- Masoumi, F.; Youssefi, M.R.; Tabari, M.A. Combination of carvacrol and thymol against the poultry red mite (Dermanyssus gallinae). Parasitol. Res. 2016, 115, 4239–4243. [Google Scholar] [CrossRef] [PubMed]
- Coelho, L.; de Paula, L.G.F.; das Grac¸as Alecrim Alves, S.; Sampaio, A.L.N.; Bezerra, G.P.; Vilela, F.M.P.; da Silva Matos, R.; Zeringota, V.; Borges, L.M.F.; Monteiro, C. Combination of thymol and eugenol for the control of Rhipicephalus sanguineus sensu lato: Evaluation of synergism on immature stages and formulation development. Vet. Parasitol. 2019, 277, 108989. [Google Scholar] [CrossRef] [PubMed]
- Sarma, R.; Adhikari, K.; Mahanta, S.; Khanikor, B. Combinations of plant essential oil Based terpene Compounds as Larvicidal and Adulticidal Agent against Aedes aegypti (Diptera: Culicidae). Sci. Rep. 2019, 9, 9471. [Google Scholar] [CrossRef] [Green Version]
- Isman, M.B.; Miresmailli, S.; Machial, C. Commercial opportunities for pesticides based on plant essential oils in agriculture, industry and consumer products. Phytochem. Rev. 2010, 10, 197–204. [Google Scholar] [CrossRef]
- Ryan, M.F.; Byrne, O. Plant-insect coevolution and inhibition of acetylcholinesterase. J. Chem. Ecol. 1988, 14, 1965–1975. [Google Scholar] [CrossRef]
- Enan, E. Insecticidal activity of essential oils: Octopaminergic sites of action. Comp. Biochem. Physiol. Part C Toxicol. Pharmacol. 2001, 130, 325–337. [Google Scholar] [CrossRef]
- Burčul, F.; Blažević, I.; Radan, M.; Politeo, O. Terpenes, Phenylpropanoids, Sulfur and Other Essential Oil Constituents as Inhibitors of Cholinesterases. Curr. Med. Chem. 2020, 27, 4297–4343. [Google Scholar] [CrossRef]
- Lee, B.-H.; Choi, W.-S.; Lee, S.-E.; Park, B.-S. Fumigant toxicity of essential oils and their constituent compounds towards the rice weevil, Sitophilus oryzae (L.). Crop Prot. 2001, 20, 317–320. [Google Scholar] [CrossRef]
- Zhelev, I.; Petkova, Z.; Kostova, I.; Damyanova, S.; Stoyanova, A.; Dimitrova-Dyulgerova, I.; Antova, G.; Ercisli, S.; Assouguem, A.; Kara, M.; et al. Chemical Composition and Antimicrobial Activity of Essential Oil of Fruits from Vitex agnus-castus L., Growing in Two Regions in Bulgaria. Plants 2022, 11, 896. [Google Scholar] [CrossRef] [PubMed]
- Govindarajan, M.; Rajeswary, M.; Bhattacharyya, A.; Benelli, G. Eugenol, α-pinene and β-caryophyllene from Plectranthus barbatus essential oil as eco-friendly larvicides against malaria, dengue and Japanese encephalitis mosquito vectors. Parasitol. Res. 2016, 115, 807–815. [Google Scholar] [CrossRef] [PubMed]
- Rose, R. Pesticides and Public Health: Integrated Methods of Mosquito Management. Emerg. Infect. Dis. 2001, 7, 17–23. [Google Scholar] [CrossRef] [PubMed] [Green Version]
- Agusto, F.B.; Bewick, S.; Parshad, R.D. Mosquito management in the face of natural selection. Math. Biosci. 2012, 239, 154–168. [Google Scholar] [CrossRef]
- Yakob, L.; Funk, S.; Camacho, A.; Brady, O.; Edmunds, W.J. Aedes aegypti Control through Modernized, Integrated Vector Management. PLoS Curr. 2017, 9, 1–11. [Google Scholar] [CrossRef] [Green Version]
- AMCA. Best Practices for Integrated Mosquito Management; American Mosquito Control Association: Sacramento, CA, USA, 2021. [Google Scholar]
- Tmimi, F.-Z.; Faraj, C.; Bkhache, M.; Mounaji, K.; Failloux, A.-B.; Sarih, M. Insecticide resistance and target site mutations (G119S ace-1 and L1014F kdr) of Culex pipiens in Morocco. Parasites Vectors 2018, 11, 51. [Google Scholar] [CrossRef]
- Aboulfadl, S.; Mellouki, F.; Aouinty, B.; Faraj, C. Susceptibility status of Culex pipiens larvae (Diptera: Culicidae) to the main insecticides used in larval control in the regions of Rabat and Casablanca in Morocco. Int. J. Pest Manag. 2020, 1–7. [Google Scholar] [CrossRef]





| Compound | LC50 a (µL/L Air) (95% Confidence Intervals) | Slope b | Intercept c | R2 | p-Value d |
|---|---|---|---|---|---|
| 1,8-Cineole | 5395.65 (5282.45–5486.55) | 0.362 ± 0.01 | 3.649 ± 0.03 | 0.98 | 0.000 |
| α-Pinene | 1294.64 (1230–1345.14) | 0.642 ± 0.06 | 3.002 ± 0.16 | 0.92 | 0.000 |
| Carvone | 1713.36 (1703.33–1723.36) | 0.774 ± 0.04 | 2.497 ± 0.12 | 0.96 | 0.000 |
| R (+)-Pulegone | 5395.58 (5295.58–5494.68) | 0.515 ± 0.01 | 3.078 ± 0.02 | 0.99 | 0.000 |
| Mixture | Components | |
|---|---|---|
| A | B | |
| 1 | 0 | 1 |
| 2 | 0.75 | 0.25 |
| 3 | 0.25 | 0.75 |
| 4 | 0.33 | 0.67 |
| 5 | 1 | 0 |
| 6 | 0.67 | 0.33 |
| 7 | 0.5 | 0.5 |
| Binary Mixture (A + B) (LC50 + LC50) | Mortality % ± SE a | |||||
|---|---|---|---|---|---|---|
| 1,8-Cineole + α-Pinene | Carvone + R (+)-Pulegone | Deltamethrin | ||||
| (24 h) | (48 h) | (24 h) | (48 h) | (24 h) | (48 h) | |
| 1 | 50.01 ± 1.18 | 84.45 ± 0.11 | 50.87 ± 0.81 | 80.45 ± 0.10 | 19.29 ± 0.01 | 34.05 ± 1.01 |
| 2 | 31.57 ± 0.18 | 91.22 ± 0.11 | 35.08 ± 0.60 | 71.92 ± 0.70 | ||
| 3 | 51.00 ± 0.86 | 100.00 ± 0.70 | 40.59 ± 0.41 | 64.91 ± 0.75 | ||
| 4 | 50.00 ± 0.84 | 90.00 ± 0.70 | 48.00 ± 0.63 | 76.54 ± 0.67 | ||
| 5 | 49.12 ± 1.01 | 80.69 ± 0.10 | 51.63 ± 0.85 | 84.21 ± 0.11 | ||
| 6 | 33.00 ± 0.16 | 83.00 ± 0.10 | 44.00 ± 0.71 | 82.00 ± 0.10 | ||
| 7 | 38.59 ± 0.47 | 75.43 ± 0.51 | 54.35 ± 0.75 | 89.96 ± 0.14 | ||
| Source of Variance | Mixture | Exposure Time (h) | SS | DF | MS | F-Value | p-Value |
|---|---|---|---|---|---|---|---|
| Model | M1 | 24 | 444.65 | 3 | 148.22 | 103.76 | 0.001 |
| 48 | 389.04 | 4 | 97.26 | 466.30 | 0.002 | ||
| M2 | 24 | 281.09 | 4 | 70.27 | 1062.82 | 0.000 | |
| 48 | 411.49 | 4 | 102.87 | 703.49 | 0.001 | ||
| Residual | M1 | 24 | 4.29 | 3 | 1.43 | ||
| 48 | 0.417 | 2 | 0.20 | ||||
| M2 | 24 | 0.1322 | 2 | 0.0661 | |||
| 48 | 0.2925 | 2 | 0.1462 | ||||
| Total | M1 | 24 | 468.94 | 6 | |||
| 48 | 389.46 | 6 | |||||
| M2 | 24 | 281.22 | 6 | ||||
| 48 | 411.78 | 6 | |||||
| R2 | M1 | 24 | 0.99 | ||||
| 48 | 0.99 | ||||||
| M2 | 24 | 0.99 | |||||
| 48 | 0.99 | ||||||
| Time (h) | Coefficient | Estimation ± SE | t-Student | p-Value | |
|---|---|---|---|---|---|
| 1,8-cineole | 24 | b1 | 49.10 ± 1.20 | 41.42 | <0.0001 * |
| 48 | b1 | 80.69 ± 0.45 | 42.59 | <0.001 * | |
| α-pinene | 24 | b2 | 49.93 ± 1.20 | 42.11 | <0.0001 * |
| 48 | b2 | 84.44 ± 0.45 | 40.94 | <0.001 * | |
| 1,8-cineole + α-pinene | 24 | b12 | −40.51 ± 4.58 | −18.85 | 0.0030 * |
| 48 | b12 | −27.22 ± 2.01 | −13.53 | 0.0050 * | |
| Carvone | 24 | b1 | 51.62 ± 0.26 | −59.07 | <0.0001 * |
| 48 | b1 | 84.20 ± 0.38 | −49.53 | <0.0001 * | |
| R (+)-pulegone | 24 | b2 | 50.87 ± 0.26 | 48.11 | <0.0001 * |
| 48 | b2 | 80.45 ± 0.38 | 52.53 | <0.0001 * | |
| Carvone+ R (+)-pulegone | 24 | b12 | 13.14 ± 1.13 | 11.60 | 0.0070 * |
| 48 | b12 | 31.67 ± 1.68 | 18.80 | 0.0030 * |
Publisher’s Note: MDPI stays neutral with regard to jurisdictional claims in published maps and institutional affiliations. |
© 2022 by the authors. Licensee MDPI, Basel, Switzerland. This article is an open access article distributed under the terms and conditions of the Creative Commons Attribution (CC BY) license (https://creativecommons.org/licenses/by/4.0/).
Share and Cite
Ramzi, A.; El Ouali Lalami, A.; Annemer, S.; Ez zoubi, Y.; Assouguem, A.; Almutairi, M.H.; Kamel, M.; Peluso, I.; Ercisli, S.; Farah, A. Synergistic Effect of Bioactive Monoterpenes against the Mosquito, Culex pipiens (Diptera: Culicidae). Molecules 2022, 27, 4182. https://doi.org/10.3390/molecules27134182
Ramzi A, El Ouali Lalami A, Annemer S, Ez zoubi Y, Assouguem A, Almutairi MH, Kamel M, Peluso I, Ercisli S, Farah A. Synergistic Effect of Bioactive Monoterpenes against the Mosquito, Culex pipiens (Diptera: Culicidae). Molecules. 2022; 27(13):4182. https://doi.org/10.3390/molecules27134182
Chicago/Turabian StyleRamzi, Amal, Abdelhakim El Ouali Lalami, Saoussan Annemer, Yassine Ez zoubi, Amine Assouguem, Mikhlid H. Almutairi, Mohamed Kamel, Ilaria Peluso, Sezai Ercisli, and Abdellah Farah. 2022. "Synergistic Effect of Bioactive Monoterpenes against the Mosquito, Culex pipiens (Diptera: Culicidae)" Molecules 27, no. 13: 4182. https://doi.org/10.3390/molecules27134182
APA StyleRamzi, A., El Ouali Lalami, A., Annemer, S., Ez zoubi, Y., Assouguem, A., Almutairi, M. H., Kamel, M., Peluso, I., Ercisli, S., & Farah, A. (2022). Synergistic Effect of Bioactive Monoterpenes against the Mosquito, Culex pipiens (Diptera: Culicidae). Molecules, 27(13), 4182. https://doi.org/10.3390/molecules27134182

