New Flavonoid Derivatives from Melodorum fruticosum and Their α-Glucosidase Inhibitory and Cytotoxic Activities
Abstract
:1. Introduction
2. Results and Discussion
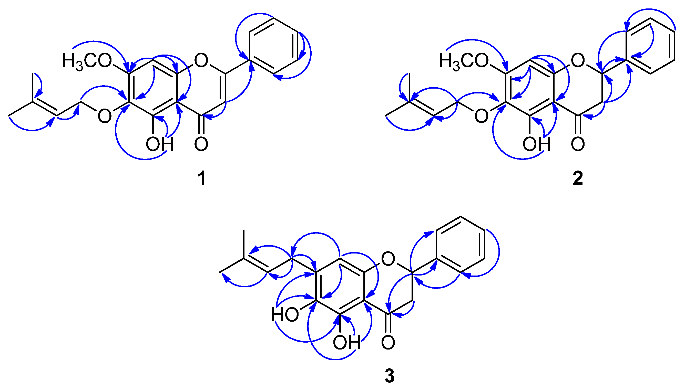
2.1. Structural Elucidation of the Isolates
2.2. α-Glucosidase Inhibitory Activity
2.3. Cytotoxic Activity against Human Cancer Cell Lines
3. Materials and Methods
3.1. General Experimental Procedures
3.2. Plant Material
3.3. Extraction and Isolation
3.4. α-Glucosidase Inhibitory Assay
3.5. Cytotoxicity Assay
4. Conclusions
Supplementary Materials
Author Contributions
Funding
Institutional Review Board Statement
Informed Consent Statement
Data Availability Statement
Conflicts of Interest
Sample Availability
References
- Engels, N.S.; Waltenberger, B.; Schwaiger, S.; Huynh, L.; Tran, H.; Stuppner, H. Melodamide A from Melodorum fruticosum —Quantification Using HPLC and One-Step-Isolation by Centrifugal Partition Chromatography. J. Sep. Sci. 2019, 42, 3165–3172. [Google Scholar] [CrossRef] [PubMed] [Green Version]
- Hongnak, S.; Jongaramruong, J.; Khumkratok, S.; Siriphong, P.; Tip-pyang, S. Chemical Constituents and Derivatization of Melodorinol from the Roots of Melodorum fruticosum. Nat. Prod. Commun. 2015, 10, 633–636. [Google Scholar] [CrossRef] [PubMed] [Green Version]
- Tuchinda, P.; Udchachon, J.; Reutrakul, V.; Santisuk, T.; Taylor, W.C.; Farnsworth, N.R.; Pezzuto, J.M.; Kinghorn, A.D. Bioactive Butenolides from Melodorum fruticosum. Phytochemistry 1991, 30, 2685–2689. [Google Scholar] [CrossRef]
- Jung, J.H.; Pummangura, S.; Chaichantipyuth, C.; Patarapanich, C.; Fanwick, P.E.; Chang, C.-J.; McLaughlin, J.L. New Bioactive Heptenes from Melodorum fruticosum (Annonaceae). Tetrahedron 1990, 46, 5043–5054. [Google Scholar] [CrossRef]
- Chan, H.-H.; Hwang, T.-L.; Thang, T.D.; Leu, Y.-L.; Kuo, P.-C.; Nguyet, B.T.M.; Wu, T.-S. Isolation and Synthesis of Melodamide A, a New Anti-Inflammatory Phenolic Amide from the Leaves of Melodorum fruticosum. Planta Med. 2013, 79, 288–294. [Google Scholar] [CrossRef] [Green Version]
- Chaichantipyuth, C.; Tiyaworanan, S.; Mekaroonreung, S.; Ngamrojnavanich, N.; Roengsumran, S.; Puthong, S.; Petsom, A.; Ishikawa, T. Oxidized Heptenes from Flowers of Melodorum fruticosum. Phytochemistry 2001, 58, 1311–1315. [Google Scholar] [CrossRef]
- Pripdeevech, P. Analysis of Odor Constituents of Melodorum fruticosum Flowers by Solid-Phase Microextraction-Gas Chromatography-Mass Spectrometry. Chem. Nat. Compd. 2011, 47, 292–294. [Google Scholar] [CrossRef]
- Tanapichatsakul, C.; Monggoot, S.; Gentekaki, E.; Pripdeevech, P. Antibacterial and Antioxidant Metabolites of Diaporthe Spp. Isolated from Flowers of Melodorum fruticosum. Curr. Microbiol. 2018, 75, 476–483. [Google Scholar] [CrossRef]
- Engels, N.S.; Waltenberger, B.; Michalak, B.; Huynh, L.; Tran, H.; Kiss, A.K.; Stuppner, H. Inhibition of Pro-Inflammatory Functions of Human Neutrophils by Constituents of Melodorum fruticosum Leaves. Chem. Biodivers. 2018, 15, e1800269. [Google Scholar] [CrossRef] [Green Version]
- Huber-Cantonati, P.; Mähr, T.; Schwitzer, F.; Kretzer, C.; Koeberle, A.; Mayr, F.; Engels, N.; Waltenberger, B.; Stuppner, H.; Werz, O. Benzylated Dihydrochalcone MF-15 as a Potent Multitarget Inhibitor of Cancer Cell Growth. Planta Med. 2021, 87, PC9-18. [Google Scholar]
- Sukcharoen, O.; Sirirote, P.; Thanaboripat, D. Potential of Melodorum fruticosum Lour. Essential Oil against Aflatoxigenic aspergillus Strains. Int. Food Res. J. 2018, 25, 534–539. [Google Scholar]
- Panche, A.N.; Diwan, A.D.; Chandra, S.R. Flavonoids: An Overview. J. Nutr. Sci. 2016, 5, 1–15. [Google Scholar] [CrossRef] [PubMed] [Green Version]
- Proença, C.; Freitas, M.; Ribeiro, D.; Oliveira, E.F.; Sousa, J.L.; Tome, S.M.; Ramos, M.J.; Silva, A.M.; Fernandes, P.A.; Fernandes, E. α-Glucosidase Inhibition by Flavonoids: An in Vitro and in Silico Structure–Activity Relationship Study. J. Enzyme Inhib. Med. Chem. 2017, 32, 1216–1228. [Google Scholar] [CrossRef] [PubMed] [Green Version]
- Adekenov, S.M.; Baisarov, G.M. Chemical Modification of Pinostrobin and Tectochrysin. Chem. Nat. Compd. 2021, 57, 280–284. [Google Scholar] [CrossRef]
- Mouffok, S.; Haba, H.; Lavaud, C.; Long, C.; Benkhaled, M. Chemical Constituents of Centaurea omphalotricha Coss. & Durieu Ex Batt. & Trab. Rec. Nat. Prod. 2012, 6, 292–295. [Google Scholar]
- Shang, X.-F.; Xiao, L.; Su, J.-T.; Wei, S.-Y.; Wang, Y.-S.; Yang, J.-H. Chemical Constituents of Litsea euosma. Chem. Nat. Compd. 2019, 55, 1138–1140. [Google Scholar] [CrossRef]
- Nyokat, N.; Yen, K.H.; Hamzah, A.S.; Lim, I.F.; Saaidin, A.S. Isolation and Synthesis of Pinocembrin and Pinostrobin from Artocarpus odoratissimus. Malaysian J. Anal. Sci. 2017, 21, 1156–1161. [Google Scholar]
- Markham, K.R. Techniques of Flavonoid Identification; Academic Press: Cambridge, MA, USA, 1982. [Google Scholar]
- Wu, J.-Y.; Chung, K.-T.; Liu, Y.-W.; Lu, F.-J.; Tsai, R.-S.; Chen, C.-H.; Chen, C.-H. Synthesis and Biological Evaluation of Novel C (6) Modified Baicalein Derivatives as Antioxidative Agents. J. Agric. Food Chem. 2008, 56, 2838–2845. [Google Scholar] [CrossRef]
- Jayaprakasam, B.; Damu, A.G.; Gunasekar, D.; Blond, A.; Bodo, B. Dihydroechioidinin, a Flavanone from Andrographis echioides. Phytochemistry 1999, 52, 935–937. [Google Scholar] [CrossRef]
- Chokchaisiri, R.; Suaisom, C.; Sriphota, S.; Chindaduang, A.; Chuprajob, T.; Suksamrarn, A. Bioactive Flavonoids of the Flowers of Butea monosperma. Chem. Pharm. Bull. 2009, 57, 428–432. [Google Scholar] [CrossRef] [Green Version]
- Li, F.; Awale, S.; Tezuka, Y.; Kadota, S. Cytotoxic Constituents from Brazilian Red Propolis and Their Structure–Activity Relationship. Bioorg. Med. Chem. 2008, 16, 5434–5440. [Google Scholar] [CrossRef] [PubMed]
- Jenkins, T.; Bhattacharyya, J.; Majetich, G.; Teng, Q.; de Fatima, A.M.; Almeida, R. Flavonoids from the Root-Bark of Dioclea grandiflora. Phytochemistry 1999, 52, 723–730. [Google Scholar] [CrossRef]
- Prawat, U.; Phupornprasert, D.; Butsuri, A.; Salae, A.-W.; Boonsri, S.; Tuntiwachwuttikul, P. Flavonoids from Friesodielsia discolor. Phytochemistry Lett. 2012, 5, 809–813. [Google Scholar] [CrossRef]
- Stompor, M.; Świtalska, M.; Wietrzyk, J. Synthesis and Biological Evaluation of Acyl Derivatives of Hydroxyflavones as Potent Antiproliferative Agents against Drug Resistance Cell Lines. Z. Naturforsch. C 2018, 73, 87–93. [Google Scholar] [CrossRef]
- Wu, B.-L.; Wu, Z.-W.; Yang, F.; Shen, X.-F.; Wang, L.; Chen, B.; Li, F.; Wang, M.-K. Flavonoids from the Seeds of Oroxylum indicum and Their Anti-Inflammatory and Cytotoxic Activities. Phytochem. Lett. 2019, 32, 66–69. [Google Scholar] [CrossRef]
- Zhu, X.; Li, R.; Wang, C.; Zhou, S.; Fan, Y.; Ma, S.; Gao, D.; Gai, N.; Yang, J. Pinocembrin Inhibits the Proliferation and Metastasis of Breast Cancer via Suppression of the PI3K/AKT Signaling Pathway. Front. Oncol. 2021, 11, 661184. [Google Scholar] [CrossRef]
- Park, M.H.; Hong, J.E.; Park, E.S.; Yoon, H.S.; Seo, D.W.; Hyun, B.K.; Han, S.-B.; Ham, Y.W.; Hwang, B.Y.; Hong, J.T. Anticancer Effect of Tectochrysin in Colon Cancer Cell via Suppression of NF-KappaB Activity and Enhancement of Death Receptor Expression. Mol. Cancer 2015, 14, 1–12. [Google Scholar] [CrossRef] [Green Version]
- Li, H.-J.; Wu, N.-L.; Pu, C.-M.; Hsiao, C.-Y.; Chang, D.-C.; Hung, C.-F. Chrysin Alleviates Imiquimod-Induced Psoriasis-like Skin Inflammation and Reduces the Release of CCL20 and Antimicrobial Peptides. Sci. Rep. 2020, 10, 2932. [Google Scholar] [CrossRef] [Green Version]
- Chokchaisiri, R.; Kunkaewom, S.; Chokchaisiri, S.; Ganranoo, L.; Chalermglin, R.; Suksamrarn, A. Potent Cytotoxicity against Human Small Cell Lung Cancer Cells of the Heptenes from the Stem Bark of Xylopia pierrei Hance. Med. Chem. Res. 2017, 26, 1291–1296. [Google Scholar] [CrossRef]
- Sichaem, J.; Aree, T.; Lugsanangarm, K.; Tip-Pyang, S. Identification of Highly Potent α-Glucosidase Inhibitory and Antioxidant Constituents from Zizyphus rugosa Bark: Enzyme Kinetic and Molecular Docking Studies with Active Metabolites. Pharm. Biol. 2017, 55, 1436–1441. [Google Scholar] [CrossRef] [Green Version]
- Nguyen, T.T.; Nguyen, H.L.; Pham, T.N.; Nguyen, P.K.; Huynh, T.T.; Sichaem, J.; Do, L.T. Bougainvinones NP, Three New Flavonoids from Bougainvillea spectabilis. Fitoterapia 2021, 149, 104832. [Google Scholar] [CrossRef] [PubMed]
- Stiborová, M.; Poljaková, J.; Martínková, E.; Bořek-Dohalská, L.; Eckschlager, T.; Kizek, R.; Frei, E. Ellipticine Cytotoxicity to Cancer Cell Lines—a Comparative Study. Interdiscip. Toxicol. 2011, 4, 98. [Google Scholar] [CrossRef] [PubMed] [Green Version]
- Su, X.-X.; Chen, Y.-R.; Wu, J.-Q.; Wu, X.-Z.; Li, K.-T.; Wang, X.-N.; Sun, J.-W.; Wang, H.; Ou, T.-M. Design, Synthesis, and Evaluation of 9-(Pyrimidin-2-Yl)-9H-Carbazole Derivatives Disrupting Mitochondrial Homeostasis in Human Lung Adenocarcinoma. Eur. J. Med. Chem. 2022, 232, 114200. [Google Scholar] [CrossRef] [PubMed]
- Nguyen, K.V.; Ho, D.V.; Le, N.T.; Van Phan, K.; Heinämäki, J.; Raal, A.; Nguyen, H.T. Flavonoids and Alkaloids from the Rhizomes of Zephyranthes ajax Hort. and Their Cytotoxicity. Sci. Rep. 2020, 10, 1–6. [Google Scholar] [CrossRef]


| Position | 1 a | 2 b | 3 a | |||
|---|---|---|---|---|---|---|
| δH (J in Hz) | δC | δH (J in Hz) | δC | δH (J in Hz) | δC | |
| 2 | 163.4 | 5.62, dd (12.6, 3.0) | 78.7 | 5.55, dd (13.0, 3.0) | 78.4 | |
| 3ax | 7.03, s | 104.9 | 3.31, dd (17.4, 13.2) | 42.2 | 3.31, overlapped | 42.8 |
| 3eq | 2.82, dd (16.8, 3.0) | 2.83, dd (17.0, 3.0) | ||||
| 4 | 182.4 | 197.1 | 198.7 | |||
| 5 | 152.8 | 154.4 | 148.3 | |||
| 6 | 130.6 | 128.3 | 136.1 | |||
| 7 | 159.3 | 161.1 | 139.5 | |||
| 8 | 6.97, s | 91.6 | 6.30, s | 92.0 | 6.27, s | 106.4 |
| 9 | 152.3 | 158.3 | 153.0 | |||
| 10 | 105.3 | 102.5 | 106.2 | |||
| 1′ | 130.6 | 138.5 | 138.8 | |||
| 2′ | 8.11, dd (7.0, 1.5) | 126.4 | 7.54, d (7.2) | 126.6 | 7.53, dd (8.5, 1.5) | 126.5 |
| 3′ | 7.58–7.63, m | 129.1 | 7.44, dd (7.2, 7.2) | 128.5 | 7.37–7.44, m | 128.5 |
| 4′ | 132.1 | 7.40, m | 128.6 | 128.4 | ||
| 5′ | 129.1 | 7.44, dd (7.2, 7.2) | 128.5 | 128.5 | ||
| 6′ | 8.11, dd (7.0, 1.5) | 126.4 | 7.54, d (7.2) | 126.6 | 7.53, dd (8.5, 1.5) | 126.5 |
| 1″ | 4.46, d (7.5) | 68.3 | 4.35, d (7.2) | 68.4 | 3.26, overlapped | 28.7 |
| 2″ | 5.45, m | 120.5 | 5.42, m | 120.6 | 5.24, m | 121.1 |
| 3″ | 137.4 | 137.1 | 132.7 | |||
| 4″ | 1.71, s | 25.4 | 1.70, s | 25.4 | 1.69, s | 25.4 |
| 5″ | 1.63, s | 17.7 | 1.61, s | 17.7 | 1.65, s | 17.6 |
| 5-OH | 12.77, s | 11.94, s | 11.71, s | |||
| 6-OH | 8.51, s | |||||
| 7-OCH3 | 3.94, s | 56.5 | 3.83, s | 56.3 | ||
| Compound | IC50 (μM) |
|---|---|
| 1 | 2.59 ± 0.15 |
| 2 | 3.33 ± 0.28 |
| 3 | 4.00 ± 0.20 |
| 4 | >256 |
| 5 | 3.67 ± 0.25 |
| 6 | 192 ± 8.78 |
| 7 | >256 |
| Acarbose | 179 ± 6.02 |
| Compound | IC50 ± SD (µM) a | ||
|---|---|---|---|
| KB | Hep G2 | MCF7 | |
| 1 | 23.5 ± 1.1 | 19.8 ± 1.5 | 23.7 ± 2.0 |
| 2 | 62.1 ± 4.5 | 44.8 ± 4.0 | 73.7 ± 2.8 |
| 3 | 59.0 ± 2.5 | 80.0 ± 3.0 | >100 |
| 4 | 64.7 ± 3.0 | 68.0 ± 2.5 | 80.9 ± 7.4 |
| 5 | 32.0 ± 0.0 | 71.4 ± 3.9 | 80.0 ± 4.5 |
| 6 | >100 | >100 | >100 |
| 7 | >100 | >100 | >100 |
| Ellipticine b | 0.31 ± 0.05 | 0.33 ± 0.05 | 0.40 ± 0.05 |
Publisher’s Note: MDPI stays neutral with regard to jurisdictional claims in published maps and institutional affiliations. |
© 2022 by the authors. Licensee MDPI, Basel, Switzerland. This article is an open access article distributed under the terms and conditions of the Creative Commons Attribution (CC BY) license (https://creativecommons.org/licenses/by/4.0/).
Share and Cite
Do, L.T.M.; Sichaem, J. New Flavonoid Derivatives from Melodorum fruticosum and Their α-Glucosidase Inhibitory and Cytotoxic Activities. Molecules 2022, 27, 4023. https://doi.org/10.3390/molecules27134023
Do LTM, Sichaem J. New Flavonoid Derivatives from Melodorum fruticosum and Their α-Glucosidase Inhibitory and Cytotoxic Activities. Molecules. 2022; 27(13):4023. https://doi.org/10.3390/molecules27134023
Chicago/Turabian StyleDo, Lien T. M., and Jirapast Sichaem. 2022. "New Flavonoid Derivatives from Melodorum fruticosum and Their α-Glucosidase Inhibitory and Cytotoxic Activities" Molecules 27, no. 13: 4023. https://doi.org/10.3390/molecules27134023
APA StyleDo, L. T. M., & Sichaem, J. (2022). New Flavonoid Derivatives from Melodorum fruticosum and Their α-Glucosidase Inhibitory and Cytotoxic Activities. Molecules, 27(13), 4023. https://doi.org/10.3390/molecules27134023
