Abstract
Intrahepatic cholangiocarcinoma (iCC) is a serious liver cancer threatening human health. However, there are a few chemotherapeutic drugs for the treatment of iCC in the clinic. It is extremely urgent to develop new drugs for iCC. In this study, twenty dinitroazetidine and coumarin hybrids were synthesized and evaluated anti-iCC bioactivity as a new type of nitric oxide (NO) donors. Among them, compounds 2–5 and 21 showed a higher antiproliferative activity against RBE cell lines (human intrahepatic cholangiocarcinoma cell lines) and low cytotoxicity in nontumor cells (HOSEpiC and T29). The preliminary study of pharmacology mechanism indicated that compounds 2–5 and 21 could release effective concentration of NO in RBE cell lines, which leaded to inhibit the proliferation of RBE cell lines. The research results revealed that compound 3 inhibited the proliferation of RBE cell lines by inducing apoptosis and arresting cell cycle at G2/M phase. Additionally, compound 3 had acceptable metabolic stability. Therefore, compound 3 was merited to further explore for developing a desirable NO donor lead with anti-iCC activity.
1. Introduction
Cholangiocarcinoma (CCA) is a highly heterogeneous malignant tumor of the biliary tract that originates from the epithelial cells of the biliary duct and can occur anywhere in the biliary tree. Based on the anatomical location, CCA has three subtypes: intrahepatic, perihilar, and extrahepatic cholangiocarcinoma [1]. Among them, intrahepatic cholangiocarcinoma (iCC) is a primary liver cancer with high malignancy degree, difficult treatment, and poor prognosis, the incidence of which is second to hepatocellular carcinoma, accounting for about 10–15% of all primary liver cancer [2]. In recent decades, the incidence of iCC has been on the rise in all regions of the world [3].
Currently, therapies for iCC include surgical resection, ablation treatment, targeted treatment, and immunotherapy. Surgical resection has been a cornerstone in the management of iCC, which is an effective treatment for patients with early intrahepatic cholangiocarcinoma to achieve long-term survival. For patients with primary or recurrent iCC, percutaneous radiofrequency ablation (RFA) and percutaneous microwave ablation can be used [4]. The recurrence rate for iCC after surgical resection is as high as 40–80%, prompting a much greater need to develop and support strategies for adjuvant chemotherapeutic and targeted-agent therapeutics. National Comprehensive Cancer Network (NCCN) and Chinese Society of Clinical Oncology (CSCO) guidelines suggest that gemcitabine combining cisplatin (GP) and gemcitabine combining diageo (GS) are used as first-line standard chemotherapy drugs in the clinic [5]. At present, the results of other large-sample clinical trials of adjuvant chemotherapy for iCC are still lacking. For a subgroup of patients with known genetic alterations, such as FGFR2 fusions or IDH1 mutations, FGFR2 inhibitor pemigatinib and IDH1 inhibitor ivosidenib, as new drugs, have recently been approved as efficient subsequent treatment options for patients failing the first line of systemic chemotherapies [6]. However, the efficacy of these inhibitors has been shown to be short-lived due to acquired resistance [7]. Moreover, immune checkpoint inhibitors (ICIs) targeting the programmed cell death 1 (PD-1), the cytotoxic T-lymphocyte associated antigen 4 (CTLA-4), and other immunotherapy approaches have become standards of care for many cancers. They have demonstrated unprecedented efficacy, whereas the role for immunotherapy in iCC remains to be established [2,8,9]. Then, the development of small molecule chemotherapeutic drugs against iCC is still a critical unmet medical challenge.
Coumarin (2H-1-benzopyran-2-one) is common in nature, and its derivatives exhibit a fascinating array of pharmacological properties such as antibacterial, antifungal, antimalarial, and anticancer activities [10]. Coumarin derivatives can trigger various anticancer mechanisms, such as cell cycle arresting, apoptosis induction, and kinase signal pathway inhibition in different cancer cell lines. In our previous research, several furoxan-coumarin hybrids were synthesized and showed good proliferation inhibition activities in various tumor cell lines [11,12]. However, these furoxan derivatives have poor metabolic stability and unsatisfactory druggability. As we known, RRx-001, a dinitroazetidine-type NO donor, was able to release NO slowly and persistently in hypoxic tumor tissues to kill multiple tumors and had a relatively good metabolic stability. Currently, RRx-001 is undergoing to study in clinical phase III trials for the treatment of small cell lung cancer and might be a first nitric oxide donor antitumor drug. Therefore, in this study, we designed a class of new NO donor compounds by coupling dinitroazetidine moiety of RRx-001 and coumarin scaffold through amide-bond and aliphatic carbon-chain linkers, aiming to obtain a new lead compound with anti-iCC activity (Figure 1). Herein, the novel dinitroazetidine-coumarin hybrids were prepared and evaluated the antiproliferative activities against RBE cell lines and the cytotoxicity in two nontumor cells (HOSEpiC and T29). Meanwhile, NO releasing levels of target compounds, the apoptotic pathway, and cell cycle arrest in the tested cancer cell lines were also studied in this work.
Figure 1.
Design of novel dinitroazetidine-coumarin hybrids.
2. Results and Discussion
2.1. Chemistry
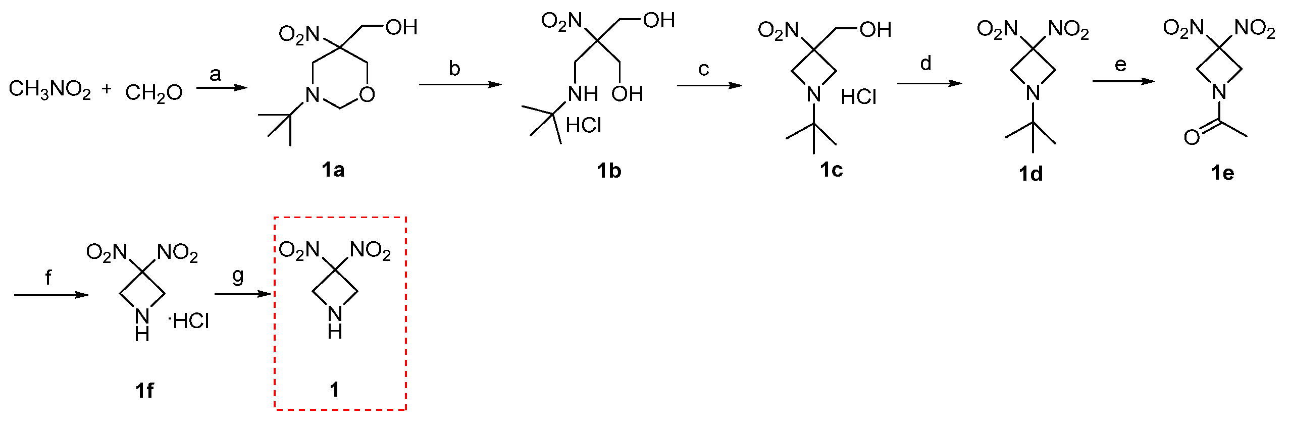
As shown in Scheme 1, the Mannich reaction of nitromethane, paraformaldehyde, and tert-Butylamine obtained intermediate 1a, which was hydrolyzed with 10% hydrochloric acid to generate 1b, further underwent the Mitsunobu reaction to get 1c in the present of diisopropyl azodicarboxylate (DIAD) and triphenylphosphine (Ph3P). Nitrification reaction of 1c with the NaNO2 and K3Fe(CN)6 of NaOH aqueous solution produced dinitroazetidine derivative 1d, which reacted with acetic anhydride using BF3·Et2O as a catalyst to form amide 1e. Finally, the key intermediate 1 was synthesized via the hydrolyzation of 1e forming intermediate 1f in the present of 10% hydrochloric acid and NaHCO3 aqueous solution, respectively.
Scheme 1.
Synthetic routes of key intermediate 1. Reagents and conditions: (a) NaOH, H2O, tert-butylamine, 60 °C→r.t.; (b) 10% HCl, reflux; (c) DIAD, Ph3P, MeOH, 50 °C, 3 h; (d) NaOH, NaNO2, K3Fe(CN)6, r.t.; (e) Ac2O, BF3·Et2O, 124 °C; (f) 10%HCl, reflux; (g) NaHCO3, H2O, 50 °C. The red box accentuates the intermediate.
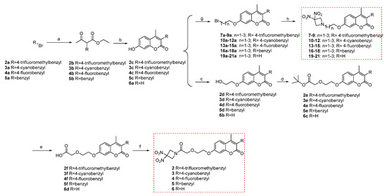
The target compounds 2–21 were synthesized from coumarin derivatives and dinitroazetidine 1 using amide and carbon-chain as linkers, respectively. As depicted in Scheme 2, under the catalysis of NaH, the nucleophilic substitution of ethyl acetoacetate with various commercially available bromides 2–5a formed intermediates 2–5b. At room temperature, the derivates 2–5c bearing different substituents at 3-position of coumarin were prepared via the cyclization reaction of intermediates 2–5b with resorcinol in 70–75% sulfuric acid. Moreover, 7-hydroxy in the compounds 2–5c and 6a were alkylated with 2-chloroethanol to get 2–5d and 6b. With the catalysis of NaH, the nucleophilic substitution of tert-butyl bromoacetate with various coumarin derivatives 2–5d and 6b formed intermediates 2–5e and 6c, from which removed the tert-butyl to obtain 2–5f and 6d. Then, in the presence of 2-(7-azabenzotriazol-1-yl)-N, N, N′, N′-tetramethyluronium hexafluorophosphate (HATU) and N, N-diisopropylethylamine (DIPEA), compounds 2–5f and 6d with carboxyl acid side chain were condensed with intermediate 1 to synthesize the amide linker target compounds 2–6. The aliphatic carbon linker type target compounds 7–21 were synthesized via the etherification reaction of 7-hydroxycoumarin derivatives 2–5c and 6a with dibromide to produce the monobromide 7–21a, and the nucleophilic substitution of 7–21a with intermediate 1 in the present of K2CO3 and NaI.
Scheme 2.
Synthetic routes of target compounds 2–21. Reagents and conditions: (a) ethyl acetoacetate, NaH, THF, 0–60 °C; (b) resorcinol, H2SO4 (70–75%), r.t.; (c) ClCH2CH2OH, NaI (cat.), K2CO3, DMF, reflux; (d) NaH, tert-butyl bromoacetate, anhydrous THF; (e) TFA, DCM, r.t.; (f) HATU, DIPEA, 3,3-dinitroazetidine, DMF; (g) haloalkane, K2CO3, NaI, DMF, or CH3CN; (h) 3,3-dinitroazetidine, K2CO3, NaI, DMF.
2.2. In Vitro Antiproliferation Activities
As Figure 2 and Table 1 show, twenty target compounds 2–21 were screened for cytotoxicity at the concentration of 10 μM against RBE cell lines and two nontumorigenic cell lines (HOSEpiC and T29) with RRx-001, paclitaxel (PTX) and doxorubicin (DOX) as references using the MTT assays. The results showed that five compounds 2–5 and 21 displayed more than 50% antiproliferation activity in RBE cell lines (Figure 2a). Subsequently, they were further evaluated to figure out the values of IC50. As Table 1 described, four amide bond linker compounds (2–5) bearing 4- trifluoromethyl-benzyl, 4-cyanobenzyl, 4-fluorobenzyl and benzyl substituted at 3-position of coumarin and 4C-chain linker compound 21 without group at 3-position of coumarin exhibited stronger antiproliferation effects in RBE cell lines with the values of IC50 ranging from 0.71 to 1.11 μM compared to RRx-001 with the 2.00 μM of IC50. Moreover, we evaluated the toxicity of the compounds 2–21 in HOSEpiC and T29. As Figure 2b,c shown, most of the target compounds did not exhibit significant cytotoxicity with cell viability higher than 95% in two nontumor cell lines, which indicated these newly synthesized dinitroazetidine-coumarin hybrids had a good safety.
Figure 2.
(a) The toxicity of RRx-001 and compounds 2–21 at 10 μM to RBE cell lines. (b) The toxicity of RRx-001 and compounds 2–21 at 10 μM to HOSEpiC cell lines. (c) The toxicity of RRx-001 and compounds 2–21 at 10 μM to T29 cell lines. The antiproliferation activities of individual compound to tumor cells were determined by the MTT assay.
Table 1.
Antiproliferation activities in RBE of RRx-001, compounds 2–5 and 21.
The antiproliferation activities of individual compound to tumor cells were determined by the MTT assay.
2.3. Nitric Oxide Releasing in RBE Cell Lines
As we known, anticancer activity of RRx-001 is relative to NO releasing level of its dinitroazetidine moiety [13]. Considering that compounds 2–21 were synthesized through the combination of dinitroazetidine moiety from RRx-001 and coumarin derivatives and that they showed better inhibitory activity in RBE cell lines compared with RRx-001, we then explored whether these compounds could also release NO comparable to RRx-001 in RBE cell lines. The nitric oxide release of RRx-001 and active compounds 2–5 and 21 in RBE cell lines was determined using the fluorescent probe DAF-FM DA. As Figure 3 presented, compared to RRx-001, the exposure of RBE cells to compounds 2–5 and 21 with the concentration of 2 μM for 2.5 h led to approximately same level of fluorescence intensity. This result implicated that these hybrids can release a relevant concentration of NO in RBE cells, which is closely related to their good inhibitory activities in RBE cell lines. Among them, compound 3 had the highest NO release concentration.
Figure 3.
Intracellular NO generated by the tested compounds using fluorescent indicator DAF-FM DA in RBE cells. After treatment with RRx-001 and compounds 2–5 and 21 (2 μM) for 2.5 h, cells were collected, followed by flow cytometric analysis.
2.4. Compound 3 Blocked Cell Cycle and Induced Apoptosis
The cell cycle of eukaryotic cells is the basic process of cell life action, in which DNA synthesis and cell division are the two main events [14]. Many reports showed that coumarin derivatives inhibited tumor cell proliferation through cell cycle arrest and inducing apoptosis [10,12,14]. In our previous study, furoxan-coumarin hybrids arrested A2780 cell cycle in G2/M phase [12]. Therefore, we performed the cell cycle arrest assay of these dinitroazetidine-coumarin hybrids in RBE cell lines. As Figure 4a shown, DMSO as a control, after treating RBE cell lines using compound 3 with the concentration of 1 μM, the mean percentage of cells in the G2/M phase increased from 18 to 23% and the percentages of cells in S and G0/G1 phase decreased concomitantly. This result implied that compound 3 was able to arrest the cell cycle at G2/M phase. Additionally, Western blotting analysis displayed that compound 3 apparently downregulated the expression of the antiapoptotic proteins PARP and Caspase-3 in a dose-dependent manner and cell cycle protein Cyclin B1, which is involved in the G2/M phase regulation [15] (Figure 4b). These results deduced that the antiproliferative ability of compound 3 might involve in the mechanism of arresting cell cycle in G2/M phase and inducing apoptotic pathway.
Figure 4.
(a) Target compounds induced cell cycle arrest in G2/M phase of RBE cell lines. After treatment with DMSO, 2–5 and 21 (1 μM) for 24 h, the cells were collected and sequentially stained with propidium iodide (PI), followed by flow cytometric analysis. (b) Compound 3 downregulated the expressions of cell-cycle-related and apoptosis-related proteins in RBE cell lines. The cells were incubated with DMSO and 3 (1 and 4 μM) for 48 h, and levels of Cyclin B1, PARP, and Caspase-3 were analyzed using Western blotting.
2.5. Metabolic Stability in Liver Microsomes
In this work, one of the purposes was to obtain new nitric oxide donor compounds with improved metabolic stability compared to furoxan derivatives. Therefore, we evaluated the metabolic stability of compound 3 and furoxan-coumarin hybrid CY-14S-4A83 in liver microsomes of human, rat, and mouse. The results showed that the newly synthesized dinitroazetidine-coumarin hybrid 3 has an obviously improved metabolic stability with 3.01, 9.44, and 6.48 of MF% (metabolic bioavailability) in the human, rat, and mouse, which were better than that furoxan-coumarin derivatives with lower than 0.5 of MF% in the same liver microsomes (Table 2).
Table 2.
Metabolic stability of target compounds in liver microsomes.
Compounds CY-14S-4A83 and 3 (0.1 μM) were incubated with liver microsomes of different species (0.33 mg/mL) at 37 °C; then, the samples were analyzed by LC-MS/MS.
3. Materials and Methods
3.1. General Information
Chemicals were purchased from the following suppliers: Sinopharm, Adamas, Merck, and Sigma Aldrich. Solvents were dried before use, if required. Air- and moisture-sensitive reactions were carried out under nitrogen atmosphere. Room temperature (r.t.) refers to 20–25 °C. The progress of a reaction was monitored by thin layer chromatography (TLC) using precoated TLC sheets purchased from Sinopharm. Detected spots were observed under UV light at λ 254 and 365 nm. Melting points were measured on a SGW X-4 microscopy melting point apparatus without correction. 1H-NMR and 13C-NMR spectral data (Supplementary Materials) were recorded with a Bruker DRX 600MHz spectrometer, both at 303 K using TMS as an internal standard. All chemical shifts are reported in ppm (δ) and coupling constants (J) are in hertz (Hz). Mass spectra were recorded on Agilent Technologies 1260 infinity LC/MS instrument. The chromatograms were conducted on silica gel (100–200 and 300–400 mesh) and visualized under UV light at λ 254 and 365 nm.
3.2. Synthesis
N-tert-butyl-5-hydroxymethyl-5-nitro-1,3-oxazine (1a): To aqueous solution of paraformaldehyde (24 g, 0.8 mol) and 40%NaOH (600 μL) in 120 mL of distilled water, nitromethane (10.5 mL, 0.195 mol) was added dropwise over 1 h at 40 °C. The reaction mixture was heated to 60 °C and stirred for 1 h. Then, the solution of tert-butylamine (20.3 mL, 0.262 mol) in distilled water (36 mL) was added dropwise slowly. The mixture was stirred for another 4 h, cooled to room temperature, and stirred for 1 h again. The precipitate was collected by vacuum filtration at room temperature, washed with distilled water, and vacuum freeze-dried to give 1a (yellow solid, 34 g, 78.8% yield). ESI-MS m/z 231.1 [M + H]+.
N-(tert-butylamino)methyl-2-nitro-1,3-propandiolhydrochloride (1b): To a solution of concentrated hydrochloric acid (6.71 mL, 81 mmol) in methanol (62.5 mL), 1a (17.4 g, 80 mmol) was added. The reaction solution was refluxed for 20 h. The solvent was removed through vacuum evaporation and the residue was dissolved in isopropyl alcohol (25 mL). The solution was recrystallized below 0 °C and the precipitate was filtered, washed with isopropanol, and vacuum freeze-dried to give 1b (white solid, 10.4 g, 54% yield). ESI-MS m/z 207.0 [M + H]+.
N-tert-butyl-3-hydroxymethyl-3-nitroazetidine hydrochloride (1c): To a solution of DIAD (5.15 mL, 25.98 mmol) and 1b (5.0 g, 20.60 mmol) in butanone (40 mL), Ph3P (29.89 g, 0.132 mol) in butanone was added dropwise over 1 h at 50 °C. The reaction mixture was stirred at 50 °C for 4 h, filtered, washed with cold butanone (30 mL), and vacuum freeze-dried to give 1c (white solid,3.0 g, 65% yield, m.p. 161.8–163.5 °C). ESI-MS m/z 189.0 [M + H]+.
N-tert-butyl-3,3-dinitroazetidine (1d): To a solution of 1c (1.35 g, 6 mmol) in distilled water (6 mL), NaOH aqueous solution (3 mL, 717 mg, 17.9 mmol) was added and was stirred for 3 h at room temperature. After cooling to 8 °C, cold NaNO2 solution (4.5 mL, 1.65 g, 23.9 mmol) and K3Fe(CN)6 (197 mg, 6 mmol) in distilled water were added slowly. Then, Na2S2O8 (1.78 g, 7.5 mmol) was added. The yellow solution was stirred for another 1 h at room temperature and extracted with dichloromethane (150 mL). The organic layer was dried with MgSO4 and the solvent was removed via vacuum evaporation to give 1d (yellow liquid, 858 mg, 70.5% yield). ESI-MS m/z 203.9 [M + H]+.
N-acetyl-3,3-dintroazetidine (1e): Compound 1d (1.0 g, 4.92 mmol) and acetic anhydride (1.8 mL, 19.98 mmol) were slowly added into the reaction system, followed by injecting boron trifluoride etherate (1.31 mL, 0.492 mmol) using syringe. The mixture was reacted at 115–125 °C for 3 h under nitrogen atmosphere. Excess acetic anhydride was removed by vacuum distillation. The residue was recrystallized in chloroform to give 1e (white crystal, 312 mg, 33.6% yield, m.p. 112.3–114.5 °C). ESI-MS m/z 189.9 [M + H]+. 1H NMR (600 MHz, DMSO) δ 5.07 (s, 2H), 4.74 (s, 2H), 1.87 (s, 3H).
3,3-Dintroazetidine hydrochloride (1f): To a solution of 1e (150 mg, 0.817 mmol) in distilled water (20 mL), 10% hydrochloric acid (1.5 mL) was added dropwise. The solution was stirred and refluxed for 4 h. The solvent was removed by vacuum evaporation to give 1f (white solid, 100 mg, 66.7% yield). ESI-MS m/z 148.1 [M + H]+.
3,3-Dintroazetidine (1): The solution of 1f (1.0 g, 5.45 mmol) in distilled water (32 mL) was heated to 50 °C, and 10% NaHCO3 was slowly added dropwise until pH-9. The mixture was extracted with chloroform (3 × 20 mL), and the organic layer was dried with MgSO4. The solvent was removed under lowered pressure to give intermediate 1 (light yellow oil, 400 mg, 50% yield). ESI-MS m/z 148.1 [M + H]+. 1H NMR (600 MHz, DMSO) δ 4.34 (s, 4H).
General Procedure for the Preparation of 2–5b. In an ice bath, a reaction solution of 60% NaH (680 mg, 17 mmol) in dry THF (40 mL) was stirred for 10 min. Ethyl acetoacetate (2.2 mL, 17 mmol) was added dropwise. After stirring the reaction for 30 min, starting materials 2–5a (15.3 mmol) were added and continued reaction at room temperature in the TLC monitor. After the reaction finished, the solids were filtered out, most of the solvents were removed, and water (100 mL) was added. The mixture was extracted with ethyl acetate, washed with saturated salt, dried over anhydrous sodium sulfate, and evaporated in vacuo to get compounds 2–5b. These products were directly used as the next reactants without any further purification.
Ethyl 3-oxo-2-(4-(trifluoromethyl)benzyl)butanoate (2b). The title compound was obtained starting from 2a and ethyl acetoacetate. Analytical data for 2b (a yellow oily substance, 4.2 g, 95% yield): ESI-MS m/z 289.2 [M + H]+.
Ethyl 2-(4-cyanobenzyl)-3-oxobutanoate (3b). The title compound was obtained starting from 3a and ethyl acetoacetate. Analytical data for 3b (a yellow oily substance, 3.7 g, 98% yield): ESI-MS m/z 245.9 [M + H]+.
Ethyl 2-(4-fluorobenzyl)-3-oxobutanoate (4b). The title compound was obtained starting from 4a and ethyl acetoacetate. Analytical data for 4b (a yellow oily substance, 3.6 g, 97% yield): ESI-MS m/z 260.9 [M + Na]+.
Ethyl 2-benzyl-3-oxobutanoate (5b). The title compound was obtained starting from 5a and ethyl acetoacetate. Analytical data for 5b (a yellow oily substance, 3.3 g, 98% yield): ESI-MS m/z 221.0 [M + H]+.
General Procedure for the Preparation of 2–5c. Resorcinol (1.35 g, 12.250 mmol) was added to a reaction flask containing 2–5b and 70% H2SO4 (30 mL) in the ice bath. After 30 min, the ice bath was removed and the reaction continued at room temperature. After the reaction finished, the solution was slowly added into ice water (300 mL) and stirred for 30 min to precipitate a large number of solids. After extraction, filtration, and drying, compounds 2–5c were obtained.
7-Hydroxy-4-methyl-3-(4-(trifluoromethyl)benzyl)-2H-chromen-2-one (2c). The title compound was obtained starting from 2b and resorcinol. Analytical data for 2c (white solid, 3.4 g 82% yield): ESI-MS m/z 335.2 [M + H]+.
4-((7-Hydroxy-4-methyl-2-oxo-2H-chromen-3-yl)methyl)benzonitrile (3c). The title compound was obtained starting from 3b and resorcinol. Analytical data for 3c (white solid, 3.0 g, 83% yield): ESI-MS m/z 292.3 [M + H]+.
3-(4-Fluorobenzyl)-7-hydroxy-4-methyl-2H-chromen-2-one (4c). The title compound was obtained starting from 4b and resorcinol. Analytical data for 4c (yellow solid, 3.2 g, 91% yield): ESI-MS m/z 284.9 [M + H]+.
3-Benzyl-7-hydroxy-4-methyl-2H-chromen-2-one (5c). The title compound was obtained starting from 5b and resorcinol. Analytical data for 5c (yellow solid, 2.7 g, 83% yield): ESI-MS m/z 266.9 [M + H]+.
General Procedure for the Preparation of 2–5d and 6b. To a stirred solution of 2–5c and 6a (3.517 mmol) in DMF (15 mL) at room temperature, corresponding halo alcohol (10.553 mmol), NaI (1.05 mmol), and K2CO3 (10.553 mmol) were added. The mixture was refluxed for 2–5 h and then poured into ice water (50 mL). After filtration, the residue was washed with water (3 × 10 mL) and dried to obtain 2–5d and 6b.
7-(2-hydroxyethoxy)-4-methyl-3-(4-(trifluoromethyl)benzyl)-2H-chromen-2-one (2d). The title compound was obtained starting from 2c and ethylene chlorohydrin. Analytical data for 2d (white solid, 1.1 g, 81% yield, m.p. 104–106 °C): ESI-MS m/z 379.1 [M + H]+.
4-((7-(2-hydroxyethoxy)-4-methyl-2-oxo-2H-chromen-3-yl)methyl)benzonitrile (3d). The title compound was obtained starting from 3c and ethylene chlorohydrin. Analytical data for 3d (white solid, 978 mg, 83% yield, m.p. 80–82 °C): ESI-MS m/z 336.3 [M + H]+.
3-(4-fluorobenzyl)-7-(2-hydroxyethoxy)-4-methyl-2H-chromen-2-one (4d). The title compound was obtained starting from 4c and ethylene chlorohydrin. Analytical data for 4d (white solid, 992 mg, 81% yield): ESI-MS m/z 329.1 [M + H]+.
3-benzyl-7-(2-hydroxyethoxy)-4-methyl-2H-chromen-2-one (5d). The title compound was obtained starting from 5c and ethylene chlorohydrin. Analytical data for 5d (white solid, 861 mg, 81% yield): ESI-MS m/z 311.1 [M + H]+.
7-(2-Hydroxyethoxy)-4-methyl-2H-chromen-2-one (6b). The title compound was obtained starting from 6a and ethylene chlorohydrin. Analytical data for 6b (white solid, 619 mg, 81% yield): ESI-MS m/z 221.1 [M + H]+.
General Procedure for the Preparation of 2–5e and 6c. To a stirred solution of 2–5d and 6b (4.54 mmol) in anhydrous DMF (15 mL) at 0 °C, NaH (60%, 363 mg, 9.08 mmol) was added. The mixture was stirred for 20 min and t-butylbromoacetate (1.34 mL, 9.08 mmol) was added. The reaction mixture was warmed to room temperature and stirred for 1.5 h, and then poured into a saturated aqueous solution of NH4Cl (10 mL) and extracted with ethyl acetate (3 × 30 mL). The combined extracts were washed with brine, dried over Na2SO4, filtered, and evaporated in vacuo. The residue was purified by column chromatography on silica gel to give compound 2–5e and 6c.
T-butyl 2-(2-((4-methyl-2-oxo-3-(4-(trifluoromethyl)benzyl)-2H-chromen-7-yl)oxy) ethoxy)acetate (2e): The title compound was obtained starting from 2d. Analytical data for 2e (colorless liquid, 446 mg, 25% yield): ESI-MS m/z 436.8 [M + H]+; 1H NMR (600 MHz, DMSO) δ 7.67 (d, J = 7.7 Hz, 2H), 7.57 (d, J = 7.7 Hz, 2H), 6.92 (d, J = 8.1 Hz, 1H), 6.47 (d, J = 13.2 Hz, 2H), 4.23 (s, 2H), 3.96 (s, 2H), 3.93 (s, 2H), 3.70 (d, J = 4.5 Hz, 2H), 2.05 (s, 3H), 1.43 (s, 9H).
Tert-butyl 2-(2-((3-(4-cyanobenzyl)-4-methyl-2-oxo-2H-chromen-7-yl)oxy)ethoxy) acetate (3e): The title compound was obtained starting from 3d. Analytical data for 3e (white acicular crystal, 239 mg, 13.4% yield, m.p. 90.5–92.4 °C): ESI-MS m/z 393.9 [M + H]+; 1H NMR (600 MHz, DMSO) δ 7.76 (t, J = 13.1 Hz, 3H), 7.44 (d, J = 7.5 Hz, 2H), 7.01 (dd, J = 20.5, 11.6 Hz, 2H), 4.24 (s, 2H), 4.07 (s, 2H), 4.04 (s, 2H), 3.84 (s, 2H), 2.44 (s, 3H), 1.43 (s, 9H).
Tert-butyl 2-(2-((3-(4-fluorobenzyl)-4-methyl-2-oxo-2H-chromen-7-yl)oxy)ethoxy) acetate (4e): The title compound was obtained starting from 4d. Analytical data for 4e (yellow liquid, 301 mg, 14.8% yield): ESI-MS m/z 442.9 [M + H]+, 1H NMR (600 MHz, DMSO) δ 7.35 (dd, J = 8.2, 5.8 Hz, 2H), 7.12 (t, J = 8.8 Hz, 2H), 6.89 (d, J = 8.2 Hz, 1H), 6.49–6.42 (m, 2H), 4.23 (s, 2H), 3.95 (t, J = 4.9 Hz, 2H), 3.81 (s, 2H), 3.70 (dd, J = 10.3, 5.2 Hz, 2H), 2.05 (s, 3H), 1.43 (s, 9H).
Tert-butyl 2-(2-((3-benzyl-4-methyl-2-oxo-2H-chromen-7-yl)oxy)ethoxy)acetate (5e): The title compound was obtained starting from 5d. Analytical data for 5e (yellow liquid, 442 mg, 23% yield): ESI-MS m/z 424.9 [M + H]+; 1H NMR (600 MHz, DMSO) δ 7.32 (t, J = 5.4 Hz, 2H), 7.29 (d, J = 7.8 Hz, 1H), 7.19 (t, J = 6.9 Hz, 1H), 6.89 (d, J = 8.2 Hz, 1H), 6.46 (dd, J = 12.7, 4.3 Hz, 2H), 4.23 (s, 2H), 3.95 (t, J = 4.9 Hz, 2H), 3.83 (s, 2H), 3.70 (dd, J = 10.2, 5.1 Hz, 2H), 2.05 (s, 3H), 1.32 (s, 9H).
Tert-butyl 2-(2-((4-methyl-2-oxo-2H-chromen-7-yl)oxy)ethoxy)acetate (6c): The title compound was obtained starting from 6b. Analytical data for 6c (white solid, 240 mg, 19% yield, m.p. 79.0–80.9 °C): ESI-MS m/z 279.1 [M + H]+; 1H NMR (600 MHz, DMSO) δ 7.69 (d, J = 8.7 Hz, 1H), 7.04–6.95 (m, 2H), 6.22 (s, 1H), 4.24 (s, 2H), 4.07 (s, 2H), 3.84 (s, 2H), 2.40 (s, 3H), 1.43 (s, 9H).
General Procedure for the Preparation of 2–5f and 6d. To a stirred solution of 2–5e and 6c (50 mg) in DCM (5 mL) at 0 °C was added TFA (100 μL). The reaction mixture was warmed to room temperature and stirred for 2 h. After the reaction finished, the solvent and unreacted TFA were evaporated in vacuo to get compounds 2–5f and 6d.
2-(2-((4-methyl-2-oxo-3-(4-(trifluoromethyl)benzyl)-2H-chromen-7-yl)oxy)ethoxy) acetic acid (2f): The title compound was obtained starting from 2e. Analytical data for 2f (brown solid, 48 mg, 99% yield): ESI-MS m/z 436.8 [M + H]+.
2-(2-((3-(4-cyanobenzyl)-4-methyl-2-oxo-2H-chromen-7-yl)oxy)ethoxy)acetic acid (3f): The title compound was obtained starting from 3e. Analytical data for 3f (brown solid, 43 mg, 100% yield): ESI-MS m/z 393.8 [M + H]+.
2-(2-((3-(4-fluorobenzyl)-4-methyl-2-oxo-2H-chromen-7-yl)oxy)ethoxy)acetic acid (4f): The title compound was obtained starting from 4e. Analytical data for 4f (brown solid, 39 mg, 88.8% yield): ESI-MS m/z 386.9 [M + H]+.
2-(2-((3-(4-fluorobenzyl)-4-methyl-2-oxo-2H-chromen-7-yl)oxy)ethoxy)acetic acid (5f): The title compound was obtained starting from 5e. Analytical data for 5f (yellow solid, 43 mg, 99% yield): ESI-MS m/z 368.9 [M + H]+.
2-(2-((4-methyl-2-oxo-2H-chromen-7-yl)oxy)ethoxy)acetic acid (6d): The title compound was obtained starting from 6c. Analytical data for 6d (brown solid, 41 mg, 98% yield): ESI-MS m/z 278.9 [M + H]+.
General Procedure for the Preparation of 2–6. Substituted carboxylic acid 2–5f and 6d (0.2031 mmol) were dissolved in DCM (10 mL) and stirred for 30 min at room temperature. DIPEA (71 μL, 0.4062 mmol) and HATU (154 mg, 0.4062 mmol) were added to the solution and stirred for 40 min at room temperature. After being added intermediate 1 (60 mg, 0.4062 mmol), the mixture was further stirred at room temperature for another 4 h, then water was added. The mixture was extracted with ethyl acetate, washed with saturated salt, and dried over anhydrous Na2SO4 to obtain crude product, which was purified by column chromatography on silica gel to give compounds 2–6.
7-(2-(2-(3,3-Dinitroazetidin-1-yl)-2-oxoethoxy)ethoxy)-4-methyl-3-(4-(trifluoromethyl)benzyl)-2H-chromen-2-one (2): The title compound was obtained starting from 2f and 3,3-dinitroazetidine. Analytical data for 2 (yellow solid, 34 mg, 30.7% yield, m.p. 65.3–67.0 °C): ESI-MS m/z 565.7 [M + H]+; 1H NMR (600 MHz, DMSO) δ 7.67 (d, J = 7.9 Hz, 2H), 7.55 (d, J = 7.9 Hz, 2H), 6.97 (d, J = 8.8 Hz, 1H), 6.52 (s, 2H), 5.13 (s, 2H), 4.91 (s, 2H), 4.37 (s, 2H), 3.97 (t, J = 4.7 Hz, 2H), 3.94 (s, 2H), 3.72 (t, J = 9.8, 4.8 Hz, 2H), 2.07 (s, 3H). 13C NMR (151 MHz, DMSO) δ 168.98, 167.58, 158.96, 154.28, 146.09, 143.92, 128.57, 127.09, 125.08, 125.06, 124.41, 107.41, 107.09, 105.59, 99.92, 69.41, 66.15, 60.43, 59.37, 34.52, 21.91.
4-((7-(2-(2-(3,3-Dinitroazetidin-1-yl)-2-oxoethoxy)ethoxy)-4-methyl-2-oxo-2H-chromen-3-yl)methyl)benzonitrile (3): The title compound was obtained starting from 3f and 3,3-dinitroazetidine. Analytical data for 3 (yellow solid, 30 mg, 28% yield, m.p. 74.9–76.3 °C): ESI-MS m/z 522.7 [M + H]+; 1H NMR (600 MHz, DMSO) δ 7.82–7.70 (m, 3H), 7.44 (d, J = 6.0 Hz, 2H), 7.07–6.97 (m, 2H), 5.15 (s, 2H), 4.80 (s, 2H), 4.28 (s, 2H), 4.18 (s, 2H), 4.05 (s, 2H), 3.83 (s, 2H), 2.44 (s, 3H). 13C NMR (151 MHz, DMSO) δ 170.16, 160.98, 160.79, 153.28, 149.02, 145.27, 132.18, 128.98, 126.66, 119.82, 118.74, 113.42, 112.35, 108.80, 107.68, 100.90, 69.54, 68.93, 67.36, 59.56, 56.77, 32.22, 15.10.
7-(2-(2-(3,3-Dinitroazetidin-1-yl)-2-oxoethoxy)ethoxy)-3-(4-fluorobenzyl)-4-methyl-2H-chromen-2-one (4): The title compound was obtained starting from 4f and 3,3-dinitroazetidine. Analytical data for 4 (yellow solid, 37 mg, 35% yield, m.p. 70.0–71.9 °C): ESI-MS m/z 515.8 [M + H]+; 1H NMR (600 MHz, DMSO) δ 7.39–7.31 (m, 2H), 7.11 (t, J = 8.6 Hz, 2H), 6.94 (d, J = 8.0 Hz, 1H), 6.51 (d, J = 8.5 Hz, 2H), 5.12 (s, 2H), 4.89 (s, 2H), 4.36 (s, 2H), 3.97 (t, J = 4.6 Hz, 2H), 3.82 (s, 2H), 3.71 (t, J = 4.7 Hz, 2H), 2.07 (s, 3H). 13C NMR (151 MHz, DMSO) δ 168.92, 167.60, 166.89, 158.92, 154.32, 144.95, 134.90, 129.57, 128.66, 128.07, 124.49, 114.96, 114.82, 107.43, 107.10, 105.59, 99.94, 69.40, 66.14, 60.42, 59.37, 58.95, 56.91, 33.87, 21.68.
3-Benzyl-7-(2-(2-(3,3-dinitroazetidin-1-yl)-2-oxoethoxy)ethoxy)-4-methyl-2H-chromen-2-one (5): The title compound was obtained starting from 5f and 3,3-dinitroazetidine. Analytical data for 5 (white solid, 30 mg, 30% yield, m.p. 82.5–84.5 °C): ESI-MS m/z 497.8 [M + H]+; 1H NMR (600 MHz, DMSO) δ 7.35–7.25 (m, 5H), 6.94 (d, J = 8.0 Hz, 1H), 6.51 (d, J = 7.8 Hz, 2H), 5.13 (s, 2H), 4.86 (s, 2H), 4.72 (s, 2H), 4.35 (s, 2H), 3.97 (t, J = 4.9 Hz, 2H), 3.84 (s, 2H), 3.71 (dd, J = 10.0, 5.0 Hz, 2H), 2.08 (s, 3H). 13C NMR (151 MHz, DMSO) δ 168.92, 167.63, 158.91, 154.36, 144.78, 138.83, 128.73, 128.23, 127.83, 125.81, 124.57, 107.45, 107.11, 105.61, 99.96, 69.40, 66.21, 60.47, 59.37, 34.70, 21.66.
7-(2-(2-(3,3-dinitroazetidin-1-yl)-2-oxoethoxy)ethoxy)-4-methyl-2H-chromen-2-one (6): The title compound was obtained starting from 5f and 3,3-dinitroazetidine. Analytical data for 5 (white solid, 37 mg, 30% yield, m.p. 82.5–84.5 °C): ESI-MS m/z 408.1 [M + H]+; 1H NMR (600 MHz, DMSO) δ 7.70 (d, J = 8.8 Hz, 1H), 7.06–6.95 (m, 2H), 6.22 (s, 1H), 5.16 (s, 2H), 4.80 (s, 2H), 4.33–4.24 (m, 2H), 4.18 (s, 2H), 3.87–3.78 (m, 2H), 2.41 (s, 3H). 13C NMR (151 MHz, DMSO) δ 170.16, 161.26, 159.97, 154.57, 153.25, 126.35, 113.08, 112.22, 111.05, 107.68, 101.11, 69.54, 68.91, 67.37, 59.56, 56.77, 17.97.
General Procedure for the Preparation of 7–21a. Compounds 2–5c and 6a (500 mg, 1.76 mmol) were dissolved in CH3CN (15 mL) in a three-necked flask. Then K2CO3 (1.2 g, 8.8 mmol) and various dibromo alkane (8.8 mmol) were added to the reaction mixture, which was heated to 80 °C and stirred for 7 h. After finishing, the mixture was cooled to room temperature and filtered. The filtrate was concentrated in vacuo; then, DCM (20 mL) and H2O (10 mL) were added. The mixture was extracted with DCM, washed with saturated salt and dried over anhydrous Na2SO4 to obtain compounds 7–21a.
7-(2-Bromoethoxy)-4-methyl-3-(4-(trifluoromethyl)benzyl)-2H-chromen-2-one (7a): The title compound was obtained starting from 2c and 1,2-dibromoethane. Analytical data for 7a (white solid, 658 mg, 85% yield): ESI-MS m/z 440.7 [M + H]+.
7-(3-Bromopropoxy)-4-methyl-3-(4-(trifluoromethyl)benzyl)-2H-chromen-2-one (8a): The title compound was obtained starting from 2c and 1,3-dibromopropane. Analytical data for 8a (white solid, 663 mg, 83% yield): ESI-MS m/z 454.7 [M + H]+.
7-(4-Bromobutoxy)-4-methyl-3-(4-(trifluoromethyl)benzyl)-2H-chromen-2-one (9a): The title compound was obtained starting from 2c and 1,4-dibromobutane. Analytical data for 9a (white solid, 750 mg, 91% yield): ESI-MS m/z 468.7 [M + H]+.
4-((7-(2-Bromoethoxy)-4-methyl-2-oxo-2H-chromen-3-yl)methyl)benzonitrile (10a): The title compound was obtained starting from 3c and 1,2-dibromoethane. Analytical data for 10a (white solid, 613 mg, 88% yield): ESI-MS m/z 397.0 [M + H]+.
4-((7-(3-Bromopropoxy)-4-methyl-2-oxo-2H-chromen-3-yl)methyl)benzonitrile (11a): The title compound was obtained starting from 3c and 1,3-dibromopropane. Analytical data for 11a (white solid, 434 mg, 83% yield): ESI-MS m/z 411.8 [M + H]+.
4-((7-(4-Bromobutoxy)-4-methyl-2-oxo-2H-chromen-3-yl)methyl)benzonitrile (12a): The title compound was obtained starting from 3c and 1,4-dibromobutane. Analytical data for 12a (yellow solid, 598 mg, 80% yield): ESI-MS m/z 425.9 [M + H]+.
7-(2-Bromoethoxy)-3-(4-fluorobenzyl)-4-methyl-2H-chromen-2-one (13a): The title compound was obtained starting from 4c and 1,2-dibromoethane. Analytical data for 13a (yellow solid, 665 mg, 97.3% yield): ESI-MS m/z 390.8 [M + H]+.
7-(3-Bromopropoxy)-3-(4-fluorobenzyl)-4-methyl-2H-chromen-2-one (14a): The title compound was obtained starting from 4c and 1,3-dibromopropane. Analytical data for 14a (white solid, 633 mg, 89% yield): ESI-MS m/z 404.8 [M + H]+.
7-(4-Bromobutoxy)-3-(4-fluorobenzyl)-4-methyl-2H-chromen-2-one (15a): The title compound was obtained starting from 4c and 1,4-dibromobutane. Analytical data for 15a (white solid, 625 mg, 77% yield): ESI-MS m/z 418.8 [M + H]+.
3-Benzyl-7-(2-bromoethoxy)-4-methyl-2H-chromen-2-one (16a): The title compound was obtained starting from 5c and 1,2-dibromoethane. Analytical data for 16a (white solid, 478 mg, 81% yield): ESI-MS m/z 336.3 [M + H]+.
3-Benzyl-7-(3-bromopropoxy)-4-methyl-2H-chromen-2-one (17a): The title compound was obtained starting from 5c and 1,3-dibromopropane. Analytical data for 17a (white solid, 530 mg, 78% yield): ESI-MS m/z 387.0 [M + H]+.
3-Benzyl-7-(4-bromobutoxy)-4-methyl-2H-chromen-2-one (18a): The title compound was obtained starting from 5c and 1,4-dibromobutane. Analytical data for 18a (white solid, 543 mg, 77% yield): ESI-MS m/z 402.4 [M + H]+.
7-(2-Bromoethoxy)-4-methyl-2H-chromen-2-one (19a): The title compound was obtained starting from 6a and 1,2-dibromoethane. Analytical data for 19a (white solid, 402 mg, 81% yield): ESI-MS m/z 283.0 [M + H]+.
7-(3-Bromopropoxy)-4-methyl-2H-chromen-2-one (20a): The title compound was obtained starting from 6a and 1,3-dibromopropane. Analytical data for 20a (white solid, 425 mg, 81% yield): ESI-MS m/z 298.9 [M + H]+.
7-(4-Bromobutoxy)-4-methyl-2H-chromen-2-one (21a): The title compound was obtained starting from 6a and 1,4-dibromobutane. Analytical data for 21a (white solid, 387 mg, 71% yield): ESI-MS m/z 310.8 [M + H]+.
General Procedure for the Preparation of 7–21. Compounds 7–21a (0.34 mmol), DMAP (166 mg, 1.36 mmol) and 3,3-dinitroazetidine (150 mg, 1.02 mmol) were dissolved in DMF (10 mL) in a three-necked flask. This mixture was heated to 40–80 °C and stirred for 6–8 h. After finishing, the mixture was cooled to room temperature and added water. Then, the reaction mixture was extracted with ethyl acetate, washed with saturated salt and dried over anhydrous Na2SO4 to obtain crude product, which was purified by column chromatography on silica gel to give the target compounds 7–21.
7-(2-(3,3-Dinitroazetidin-1-yl)ethoxy)-4-methyl-3-(4-(trifluoromethyl)benzyl)-2H-chromen-2-one (7): The title compound was obtained starting from 7a and 3,3-dinitroazetidine. Analytical data for 7 (yellow solid, 43 mg, 25% yield, m.p. 98.0–99.8 °C): ESI-MS m/z 507.8 [M + H]+; 1H NMR (600 MHz, DMSO) δ 7.76 (d, J = 8.8 Hz, 1H), 7.64 (d, J = 8.0 Hz, 2H), 7.46 (d, J = 7.9 Hz, 2H), 7.04–6.97 (m, 2H), 4.28 (s, 4H), 4.14 (t, J = 4.8 Hz, 2H), 4.05 (s, 2H), 3.04 (t, J = 4.8 Hz, 2H), 2.45 (s, 3H). 13C NMR (151 MHz, DMSO) δ 160.99, 160.62, 153.25, 148.86, 144.17, 128.67, 126.61, 125.09, 120.10, 113.44, 112.43, 109.34, 100.89, 67.24, 61.10, 55.14, 31.92, 15.09.
7-(3-(3,3-Dinitroazetidin-1-yl)propoxy)-4-methyl-3-(4-(trifluoromethyl)benzyl)-2H-chromen-2-one (8): The title compound was obtained starting from 8a and 3,3-dinitroazetidine. Analytical data for 8 (yellow liquid, 50 mg, 28% yield): ESI-MS m/z 521.7 [M + H]+; 1H NMR (600 MHz, DMSO) δ 7.75 (d, J = 8.3 Hz, 1H), 7.64 (d, J = 7.5 Hz, 2H), 7.46 (d, J = 7.5 Hz, 2H), 7.03–6.93 (m, 2H), 4.19 (s, 4H), 4.10 (t, 2H), 4.05 (s, 2H), 2.76 (t, J = 5.9 Hz, 2H), 2.45 (s, 3H), 1.85–1.77 (m, 2H). 13C NMR (151 MHz, DMSO) δ 161.02, 160.91, 153.29, 148.86, 144.18, 128.68, 126.59, 125.09, 120.01, 113.30, 112.35, 108.94, 100.83, 65.88, 60.40, 53.73, 31.91, 26.33, 15.08.
7-(4-(3,3-Dinitroazetidin-1-yl)butoxy)-4-methyl-3-(4-(trifluoromethyl)benzyl)-2H-chromen-2-one (9): The title compound was obtained starting from 9a and 3,3-dinitroazetidine. Analytical data for 9 (yellow liquid, 51 mg, 28% yield): ESI-MS m/z 536.2 [M + H]+; 1H NMR (600 MHz, DMSO) δ 7.74 (d, J = 8.0 Hz, 1H), 7.64 (d, J = 6.5 Hz, 2H), 7.46 (d, J = 6.5 Hz, 2H), 6.98 (d, J = 13.9 Hz, 2H), 5.76 (s, 1H), 4.15 (s, 4H), 4.08 (t, 2H), 4.05 (s, 2H), 2.65 (t, 2H), 2.45 (s, 3H), 1.79–1.71 (m, 2H), 1.51–1.43 (m, 2H). 13C NMR (151 MHz, DMSO) δ 161.03, 153.31, 148.88, 144.19, 128.68, 126.56, 125.11, 119.94, 113.22, 112.41, 109.01, 100.78, 67.81, 60.35, 56.72, 31.91, 25.86, 23.00, 15.08.
4-((7-(2-(3,3-Dinitroazetidin-1-yl)ethoxy)-4-methyl-2-oxo-2H-chromen-3-yl)methyl) benzonitrile (10): The title compound was obtained starting from 10a and 3,3-dinitroazetidine. Analytical data for 10 (yellow solid, 19 mg, 12% yield, m.p. 122.5–124.1 °C): ESI-MS m/z 464.8 [M + H]+; 1H NMR (600 MHz, DMSO) δ 7.83–7.72 (m, 3H), 7.44 (d, J = 7.7 Hz, 2H), 7.08–6.96 (m, 2H), 4.83 (s, 4H), 4.40 (t, J = 2.2 Hz, 2H), 4.33 (t, 2H), 4.04 (s, 2H), 2.44 (s, 3H). 13C NMR (151 MHz, DMSO) δ 160.96, 160.59, 153.24, 148.98, 145.25, 132.18, 128.98, 126.69, 119.93, 118.74, 113.56, 112.43, 108.81, 106.79, 101.06, 66.50, 63.67, 61.10, 32.22, 15.11.
4-((7-(3-(3,3-Dinitroazetidin-1-yl)propoxy)-4-methyl-2-oxo-2H-chromen-3-yl) methyl)benzonitrile (11): The title compound was obtained starting from 11a and 3,3-dinitroazetidine. Analytical data for 11 (yellow liquid, 16 mg, 10% yield): ESI-MS m/z 478.8 [M + H]+; 1H NMR (600 MHz, DMSO) δ 7.74 (d, J = 8.1 Hz, 3H), 7.43 (d, J = 8.1 Hz, 2H), 6.97 (dd, J = 11.4, 2.2 Hz, 2H), 4.19 (s, 4H), 4.10 (t, J = 6.2 Hz, 2H), 4.04 (s, 2H), 2.76 (t, J = 6.9 Hz, 2H), 2.43 (s, 3H), 1.81 (p, J = 6.5 Hz, 2H). 13C NMR (151 MHz, DMSO) δ 160.99, 160.93, 153.30, 149.02, 145.29, 132.18, 128.98, 126.62, 119.72, 118.74, 113.28, 112.36, 108.94, 108.80, 100.83, 65.88, 60.40, 53.73, 32.21, 26.32, 15.09.
4-((7-(4-(3,3-Dinitroazetidin-1-yl)butoxy)-4-methyl-2-oxo-2H-chromen-3-yl)methyl) benzonitrile (12): The title compound was obtained starting from 12a and 3,3-dinitroazetidine. Analytical data for 12 (yellow solid, 48 mg, 29% yield, m.p. 135.1–136.3 °C): ESI-MS m/z 492.8 [M + H]+; 1H NMR (600 MHz, DMSO) δ 7.74 (d, J = 8.1 Hz, 3H), 7.43 (d, J = 7.8 Hz, 2H), 6.97 (d, J = 11.1 Hz, 2H), 4.14 (s, 4H), 4.08 (t, J = 6.3 Hz, 2H), 4.04 (s, 2H), 2.65 (t, J = 6.9 Hz, 2H), 2.43 (s, 3H), 1.74 (dd, J = 13.5, 6.6 Hz, 2H), 1.52–1.43 (m, 2H). 13C NMR (151 MHz, DMSO) δ 161.06, 161.00, 153.32, 149.03, 145.30, 132.17, 128.97, 126.57, 119.66, 118.74, 113.20, 112.41, 109.01, 108.80, 100.77, 67.81, 60.35, 56.73, 32.21, 25.86, 23.00, 15.09.
7-(2-(3,3-Dinitroazetidin-1-yl)ethoxy)-3-(4-fluorobenzyl)-4-methyl-2H-chromen-2-one (13): The title compound was obtained starting from 13a and 3,3-dinitroazetidine. Analytical data for 13 (white solid, 47 mg, 30% yield, m.p. 137.9–139.2 °C): ESI-MS m/z 457.8 [M + H]+; 1H NMR (600 MHz, DMSO) δ 7.74 (d, J = 8.8 Hz, 1H), 7.30–7.22 (m, 2H), 7.09 (t, J = 8.6 Hz, 2H), 7.04–6.94 (m, 2H), 4.28 (s, 4H), 4.14 (t, J = 4.7 Hz, 2H), 3.93 (s, 2H), 3.04 (t, J = 4.7 Hz, 2H), 2.44 (s, 3H). 13C NMR (151 MHz, DMSO) δ 161.02, 160.51, 159.75, 153.17, 148.28, 135.25, 129.68, 129.63, 126.53, 120.89, 114.99, 114.85, 113.50, 112.37, 109.34, 100.86, 67.21, 61.09, 55.15, 31.18, 15.01.
7-(3-(3,3-Dinitroazetidin-1-yl)propoxy)-3-(4-fluorobenzyl)-4-methyl-2H-chromen-2-one (14): The title compound was obtained starting from 14a and 3,3-dinitroazetidine. Analytical data for 14 (yellow liquid, 16 mg, 10% yield): ESI-MS m/z 471.8 [M + H]+; 1H NMR (600 MHz, DMSO) δ 7.73 (d, J = 8.7 Hz, 1H), 7.28–7.24 (m, 2H), 7.08 (t, J = 8.7 Hz, 2H), 6.96 (d, J = 11.2 Hz, 2H), 4.18 (s, 4H), 4.09 (t, J = 6.2 Hz, 2H), 3.92 (s, 2H), 2.75 (t, J = 6.9 Hz, 2H), 2.43 (s, 3H), 1.80 (dt, J = 13.1, 6.6 Hz, 2H). 13C NMR (151 MHz, DMSO) δ 161.98, 161.68, 161.44, 153.85, 148.92, 135.90, 130.32, 130.27, 127.15, 121.44, 115.63, 115.49, 113.99, 112.93, 109.58, 101.44, 66.49, 61.03, 54.37, 31.81, 26.96, 15.64.
7-(4-(3,3-Dinitroazetidin-1-yl)butoxy)-3-(4-fluorobenzyl)-4-methyl-2H-chromen-2-one (15): The title compound was obtained starting from 15a and 3,3-dinitroazetidine. Analytical data for 15 (white solid, 45 mg, 27% yield, m.p. 113.3–115.1 °C): ESI-MS m/z 486.2 [M + H]+; 1H NMR (600 MHz, DMSO) δ 7.73 (s, 1H), 7.26 (d, 2H), 7.09 (d, 2H), 6.97 (d, 2H), 4.14 (s, 4H), 4.08 (t, 2H), 3.93 (s, 2H), 2.65 (t, 2H), 2.43 (s, 3H), 1.81–1.67 (m, 2H), 1.55–1.40 (m, 2H). 13C NMR (151 MHz, DMSO) δ 161.35, 161.05, 160.93, 153.23, 148.30, 135.28, 129.68, 129.63, 126.47, 120.74, 114.99, 114.85, 113.28, 112.35, 109.01, 100.75, 67.79, 60.35, 56.72, 31.18, 25.86, 23.00, 15.00.
3-Benzyl-7-(2-(3,3-dinitroazetidin-1-yl)ethoxy)-4-methyl-2H-chromen-2-one (16): The title compound was obtained starting from 16a and 3,3-dinitroazetidine. Analytical data for 16 (white solid, 31 mg, 21% yield, m.p. 173–175 °C): ESI-MS m/z 439.8 [M + H]+; 1H NMR (600 MHz, DMSO) δ 7.74 (d, J = 8.9 Hz, 1H), 7.27 (t, J = 7.5 Hz, 2H), 7.22 (d, J = 7.5 Hz, 2H), 7.18 (t, J = 7.2 Hz, 1H), 7.02–6.96 (m, 2H), 4.28 (s, 4H), 4.14 (t, J = 5.0 Hz, 2H), 3.95 (s, 2H), 3.04 (t, J = 5.0 Hz, 2H), 2.43 (s, 3H). 13C NMR (151 MHz, DMSO) δ 161.05, 160.48, 153.16, 148.20, 139.14, 128.26, 127.85, 126.49, 125.91, 120.96, 113.52, 112.35, 109.35, 100.86, 67.20, 61.09, 55.15, 31.97, 15.04.
3-Benzyl-7-(3-(3,3-dinitroazetidin-1-yl)propoxy)-4-methyl-2H-chromen-2-one (17): The title compound was obtained starting from 17a and 3,3-dinitroazetidine. Analytical data for 17 (white solid, 34 mg, 22% yield, m.p. 115.1–116.8 °C): ESI-MS m/z 453.8 [M + H]+; 1H NMR (600 MHz, DMSO) δ 7.73 (d, J = 8.7 Hz, 1H), 7.27 (t, J = 7.5 Hz, 2H), 7.22 (d, J = 7.4 Hz, 2H), 7.18 (t, J = 7.2 Hz, 1H), 7.00–6.92 (m, 2H), 4.19 (s, 4H), 4.09 (t, J = 6.3 Hz, 2H), 3.95 (s, 2H), 2.76 (t, J = 7.0 Hz, 2H), 2.43 (s, 3H), 1.84–1.77 (m, 2H). 13C NMR (151 MHz, DMSO) δ 161.08, 160.76, 153.20, 148.20, 139.15, 128.26, 127.85, 126.47, 125.90, 120.87, 113.38, 112.27, 108.94, 100.80, 65.84, 60.39, 54.74, 31.96, 26.32, 13.92.
3-Benzyl-7-(4-(3,3-dinitroazetidin-1-yl)butoxy)-4-methyl-2H-chromen-2-one (18): The title compound was obtained starting from 18a and 3,3-dinitroazetidine. Analytical data for 18 (yellow liquid, 22 mg, 14% yield): ESI-MS m/z 467.9 [M + H]+; 1H NMR (600 MHz, DMSO) δ 7.71 (d, J = 8.6 Hz, 1H), 7.26 (t, J = 7.3 Hz, 2H), 7.22 (d, J = 7.5 Hz, 2H), 7.17 (t, J = 7.1 Hz, 1H), 6.95 (d, J = 13.7 Hz, 2H), 4.14 (s, 4H), 4.07 (t, J = 6.3 Hz, 2H), 3.94 (s, 2H), 2.64 (t, J = 6.9 Hz, 2H), 2.42 (s, 3H), 1.78–1.69 (m, 2H), 1.52–1.42 (m, 2H). 13C NMR (151 MHz, DMSO) δ 161.09, 160.88, 153.21, 148.22, 139.16, 128.26, 127.85, 126.42, 125.90, 120.81, 113.30, 112.33, 108.94, 100.74, 67.77, 60.34, 56.69, 31.96, 25.85, 22.95, 15.02.
7-(2-(3,3-Dinitroazetidin-1-yl)ethoxy)-4-methyl-2H-chromen-2-one (19): The title compound was obtained starting from 19a and 3,3-dinitroazetidine. Analytical data for 19 (white solid, 18 mg, 15% yield, m.p. 91–93 °C): ESI-MS m/z 350.1 [M + H]+; 1H NMR (600 MHz, CDCl3) δ 7.51 (d, J = 8.8 Hz, 1H), 6.83 (dd, J = 8.8, 2.4 Hz, 1H), 6.78 (d, J = 2.3 Hz, 1H), 6.15 (s, 1H), 4.29 (s, 4H), 4.13 (t, 2H), 3.09 (t, 2H), 2.40 (s, 3H). 13C NMR (151 MHz, CDCl3) δ 160.47, 154.61, 151.80, 125.14, 113.48, 111.86, 111.75, 107.95, 100.61, 67.13, 61.77, 55.60, 18.06.
7-(3-(3,3-Dinitroazetidin-1-yl)propoxy)-4-methyl-2H-chromen-2-one (20): The title compound was obtained starting from 20a and 3,3-dinitroazetidine. Analytical data for 20 (yellow solid, 33 mg, 27% yield, m.p. 78.5–79.6 °C): ESI-MS m/z 364.1 [M + H]+; 1H NMR (600 MHz, DMSO) δ 7.69 (t, J = 8.3 Hz, 1H), 6.97 (t, J = 9.1 Hz, 2H), 6.22 (d, J = 7.0 Hz, 1H), 4.37 (s, 4H), 4.10 (t, J = 6.2 Hz, 2H), 2.76 (t, J = 6.9 Hz, 2H), 2.40 (s, 3H), 1.85–1.76 (m, 2H). 13C NMR (151 MHz, DMSO) δ 161.42, 159.99, 154.59, 153.26, 126.32, 112.22, 110.97, 108.94, 101.06, 65.89, 60.39, 53.74, 26.32, 17.97.
7-(4-(3,3-Dinitroazetidin-1-yl)butoxy)-4-methyl-2H-chromen-2-one (21): The title compound was obtained starting from 21a and 3,3-dinitroazetidine. Analytical data for 21 (yellow solid, 28 mg, 22% yield, m.p. 85.8–87.2 °C): ESI-MS m/z 378.1 [M + H]+; 1H NMR (600 MHz, DMSO) δ 7.68 (d, J = 8.7 Hz, 1H), 7.02–6.94 (m, 2H), 6.21 (s, 1H), 4.77 (s, 4H), 4.14 (t, 2H), 4.11 (t, 2H), 2.40 (s, 3H), 1.85–1.79 (m, 2H), 1.79–1.72 (m, 2H). 13C NMR (151 MHz, DMSO) δ 161.49, 160.00, 156.24, 154.60, 153.26, 126.29, 112.92, 112.27, 110.94, 106.85, 101.01, 67.66, 64.88, 24.92, 24.74, 17.96.
3.3. Biology
RBE (human intrahepatic cholangiocarcinoma cell lines), HOSEpiC (human ovarian surface epithelial cell lines) and T29 (immortalized but nontumorigenic ovarian epithelial cell lines) were cultured in RPMI-1640 medium (Servicebio, Wuhan, China), which was supplemented with 10% fetal bovine serum (Capricorn Scientific, Ebsdorfelgrund, Hesse, Germany) and 1% Penicillin-Streptomycin (BasalMedia, Shanghai, China). Tested compounds were dissolved into DMSO (Sigma-Aldrich, Shanghai, China) to prepare a solution with concentration of 2 mM for use.
3.3.1. In Vitro Anti-Proliferative Assay
The in vitro antiproliferation of the chemical compounds was measured by the MTT reagent, as described in the literature. Briefly, 4000–6000 cells in 100 μL of medium per well were plated in 96-well plates. After incubated for 24 h at 37 °C, the cells were treated with different concentration of tested compound or DMSO (as negative control) for 48 h. At the same time, blank group without adding cells was set. Then, the medium per well was replaced with 150 μL of fresh medium containing 10% MTT (5 mg/mL in PBS) in each well and incubated at 37 °C for 4 h. Last, the MTT-containing medium was discarded and 150 μL of DMSO per well was added to dissolve the formazan crystals newly formed. Absorbance of each well was determined by a microplate reader (Synergy H4, Bio-Tek) at a 570 nm wavelength. The inhibition rates of proliferation were calculated with the following equation:
Inhibition ratio (%) = (ODDMSO−ODcompd)/(ODDMSO−ODblank) × 100
The concentrations of the compounds that inhibited cell growth by 50% (IC50) were calculated using GraphPad Prism, version 6.0.
3.3.2. Measurement of Intracellular NO
Intracellular NO was measured with 3-amino,4-aminomethyl-2′,7′-diflfluorescein, diacetate (DAF-FM DA, Beyotime, Shanghai, China). In detail, RBE cells in the logarithmic growth phase were collected and spread on 6-well plate at a density of 150,000 per well overnight. The adherent cells were pretreated with 5 μM DAF-FM DA at 37 °C for 20 min and then incubated with RRx-001, compounds 2–6 and 21 for 2.5 h, followed by flow cytometer analysis (BD Accuri C6, Shanghai, China). Cells were washed three times with cold PBS between each step. The experiment was performed three times.
3.3.3. Cell Cycle Analysis
The experimental cells RBE were cultured and collected when the cells were in good growth state. After digesting with 0.25% trypsin (Beyotime), the cells were collected and centrifuged. The cells were inoculated in petri dishes (Φ = 6 cm) with an inoculation density of 500,000 cells per dish and 3 mL medium per dish. The cells were placed in the incubator, changed to serum-free RPMI 1640 medium after 12 h, left to continue to culture for 12 h, and then compounds were added. Compounds groups with the concentration of 1 μM and control group treated with DMSO were set. The original culture medium was removed, and the compounds were added. After incubation for 16h, the cells were collected and centrifuged at 1000 r for 5 min. The cells were rinsed twice with PBS, and the supernatant was removed by centrifugation. 75% ethanol (1 mL) was added and placed in a refrigerator at −20 °C overnight for cell fixation.
The fixed cells were centrifuged at 2000 r for 5 min, the supernatant was discarded, 1 mL of PBS solution was added, and the supernatant was resuspended and discarded. 0.5 mL of PI staining solution was added to each tube (staining buffer: 20 × PI staining solution: 50 × RNase A = 100:5:2) and stored at room temperature for 30 min in the dark for testing on the flow cytometry.
3.3.4. Western Blot Analysis
Approximately 2 × 105 cells of RBE were seeded in 6-well plates. After treated with compound 3 (1 and 4 μM) for 24 h, cells were lysed with ice-cold RIPA lysis buffer (Beyotime, Shanghai, China) for 30 min and then centrifuged at 12,000 rpm for 10 min at 4 °C. The total protein concentration was determined by BCA protein assay kit (Beyotime, Shanghai, China). Equal amounts (20 μg per load) of protein samples were subjected to 12% SDS-PAGE gel and transferred onto polyvinylidene fluoride (PVDF) membranes (Epizyme Biotech, Shanghai, China), which were then blocked with 5% bovine serum albumin (Ebsdorfelgrund, Hesse, Germany) for 1.5 h and reacted with primary antibodies (1: 1000 diluted) at 4 °C overnight. Subsequently, the PVDF membranes were incubated in the secondary antibody (1: 10,000 diluted) for 2 h at room temperature. ECL chemiluminescent solution was used for color rendering. The antibodies against Cyclin B1, Caspase 3, and PARP were purchased from Cell Signaling Technology. The secondary antibodies conjugated with horseradish peroxidase (HRP) were from AoWei Biology and CST. The protein bands were developed by the chemiluminescent reagents (Meilunbio, Shanghai, China).
3.3.5. Metabolic Stability in Liver Microsomes
Microsomes in 0.1 M TRIS buffer pH 7.4 (final concentration 0.33 mg/mL), cofactor MgCl2 (final concentration 5 mM), the tested compound (final concentration 0.1 μM, co-solvent (0.01% DMSO), and 0.005% Bovin serum albumin (BSA)) were incubated at 37 °C for 10 min. The reaction was started by the addition of NADPH (final concentration 1 mM). Aliquots were sampled at 0, 7, 17, 30, and 60 min, respectively, and methanol (cold in 4 °C) was added to terminate the reaction. After centrifugation (4000 rpm, 5 min), samples were then analyzed by LC-MS/MS.
4. Conclusions
In this study, twenty novel NO donor compounds 2–21 were synthesized by coupling dinitroazetidine moiety and coumarin scaffold with amide and aliphatic carbon chain linkers, respectively. The antiproliferation activity evaluation of them showed that five compounds 2–5 and 21 had a strong inhibition activity in human intrahepatic cholangiocarcinoma cell lines RBE comparable with RRx-001 and displayed weak cytotoxicity to two normal cell lines HOSEpiC and T29. These five hybrids and RRx-001 all could release effective concentrations of NO in RBE cell lines, which supposed that high anticancer potency of these NO donors was positively associated with their intracellular NO release levels. The preliminary mechanism research revealed that compound 3 could arrest RBE cells cycle at G2/M phase and apparently downregulate the expressions of cell-cycle- and apoptosis-related proteins Cyclin B1, Caspase-3, and PARP. Moreover, compared to furoxan-coumarin hybrid CY-14S-4A83, dinitroazetidine-coumarin compound 3 showed an obviously improved metabolic stability in the tested liver microsomes. Overall, compound 3 was deserved further to study for developing an ideal lead compound with anticancer activity.
Supplementary Materials
The following supporting information can be downloaded at: https://www.mdpi.com/article/10.3390/molecules27134021/s1. Figures S1–S20: Images of NMR spectrum of target compounds 2–21.
Author Contributions
Y.C. and H.L. oversaw all aspects of the experiments and manuscript preparation. Z.Y. designed new compounds and analyzed the data; Z.Y. performed chemical experiments; Z.Y. and M.L. proceeded the biological study of target compounds; Z.Y. wrote the draft manuscript; Y.C., Z.Y., M.L., S.G., W.W., F.Q. and Y.M. revised the manuscript. All authors have read and agreed to the published version of the manuscript.
Funding
This research received no external funding.
Institutional Review Board Statement
Not applicable.
Informed Consent Statement
Not applicable.
Data Availability Statement
Not applicable.
Acknowledgments
Many thanks to grants from the Basic Research Field of Shanghai Science and Technology Innovation Action Plan (No:20JC1419104) and Bio-pharmaceutical Research Project of Shanghai Science and Technology Commission (No:19DZ1910704) for supporting this study.
Conflicts of Interest
The authors declare no conflict of interest.
Abbreviations
The following abbreviations are used in this manuscript:
| iCC | Intrahepatic cholangiocarcinoma |
| NO | nitric oxide |
| RBE | human intrahepatic cholangiocarcinoma cell lines |
| CCA | Cholangiocarcinoma |
| RFA | percutaneous radiofrequency ablation |
| NCCN | National Comprehensive Cancer Network |
| CSCO | Chinese Society of Clinical Oncology |
| GP | gemcitabine combining cisplatin |
| GS | gemcitabine combining diageo |
| ICIs | immune checkpoint inhibitors |
| PD-1 | the programmed cell death 1 |
| CTLA-4 | the cytotoxic T-lymphocyte associated antigen 4 |
| DIAD | diisopropyl azodicarboxylate |
| Ph3P | triphenylphosphine |
| HATU | 2-(7-azabenzotriazol-1-yl)-N, N, N′, N′-tetramethyluronium hexafluorophosphate |
| DIPEA | N, N-diisopropylethylamine |
| PTX | paclitaxel |
| DOX | doxorubicin |
| MFI | Mean fluorescence intensity |
| MF | Metabolic bioavailability |
References
- Chong, D.Q.; Zhu, A.X. The landscape of targeted therapies for cholangiocarcinoma: Current status and emerging targets. Oncotarget 2016, 7, 46750–46767. [Google Scholar] [CrossRef] [PubMed] [Green Version]
- Kelley, R.K.; Bridgewater, J.; Gores, G.J.; Zhu, A.X. Systemic therapies for intrahepatic cholangiocarcinoma. J. Hepatol. 2020, 72, 353–363. [Google Scholar] [CrossRef] [PubMed] [Green Version]
- Sirica, A.E.; Gores, G.J.; Groopman, J.D.; Selaru, F.M.; Strazzabosco, M.; Wei Wang, X.; Zhu, A.X. Intrahepatic Cholangiocarcinoma: Continuing Challenges and Translational Advances. Hepatology 2019, 69, 1803–1815. [Google Scholar] [CrossRef] [PubMed]
- Shindoh, J. Ablative therapies for intrahepatic cholangiocarcinoma. Hepatobiliary Surg. Nutr. 2016, 6, 2–6. [Google Scholar] [CrossRef] [PubMed] [Green Version]
- Morizane, C.; Okusaka, T.; Mizusawa, J.; Katayama, H.; Ueno, M.; Ikeda, M.; Ozaka, M.; Okano, N.; Sugimori, K.; Fukutomi, A.; et al. Combination gemcitabine plus S-1 versus gemcitabine plus cisplatin for advanced/recurrent biliary tract cancer: The FUGA-BT (JCOG1113) randomized phase III clinical trial. Ann. Oncol. 2019, 30, 1950–1958. [Google Scholar] [CrossRef] [PubMed]
- Fostea, R.M.; Fontana, E.; Torga, G.; Arkenau, H.T. Recent Progress in the Systemic Treatment of Advanced/Metastatic Cholangiocarcinoma. Cancers 2020, 12, 2599. [Google Scholar] [CrossRef] [PubMed]
- Li, F.; Peiris, M.N.; Donoghue, D.J. Functions of FGFR2 corrupted by translocations in intrahepatic cholangiocarcinoma. Cytokine Growth Factor Rev. 2020, 52, 56–67. [Google Scholar] [CrossRef] [PubMed]
- Liu, X.; Yao, J.; Song, L.; Zhang, S.; Huang, T.; Li, Y. Local and abscopal responses in advanced intrahepatic cholangiocarcinoma with low TMB, MSS, pMMR and negative PD-L1 expression following combined therapy of SBRT with PD-1 blockade. J. Immunother. Cancer 2019, 7, 1–9. [Google Scholar] [CrossRef] [PubMed] [Green Version]
- Hargadon, K.M.; Johnson, C.E.; Williams, C.J. Immune checkpoint blockade therapy for cancer: An overview of FDA-approved immune checkpoint inhibitors. Int. Immunopharmacol. 2018, 62, 29–39. [Google Scholar] [CrossRef] [PubMed]
- Zhang, L.; Xu, Z. Coumarin-containing hybrids and their anticancer activities. Eur. J. Med. Chem. 2019, 181, 1–19. [Google Scholar] [CrossRef] [PubMed]
- Guo, Y.; Wang, Y.; Li, H.; Wang, K.; Wan, Q.; Li, J.; Zhou, Y.; Chen, Y. Novel Nitric Oxide Donors of Phenylsulfonylfuroxan and 3-Benzyl Coumarin Derivatives as Potent Antitumor Agents. ACS Med. Chem. Lett. 2018, 9, 502–506. [Google Scholar] [CrossRef] [PubMed]
- Liu, M.M.; Chen, X.Y.; Huang, Y.Q.; Feng, P.; Guo, Y.L.; Yang, G.; Chen, Y. Hybrids of phenylsulfonylfuroxan and coumarin as potent antitumor agents. J. Med. Chem. 2014, 57, 9343–9356. [Google Scholar] [CrossRef] [PubMed]
- Scicinski, J.; Oronsky, B.; Taylor, M.; Luo, G.; Musick, T.; Marini, J.; Adams, C.M.; Fitch, W.L. Preclinical Evaluation of the Metabolism and Disposition of RRx-001, a Novel Investigative Anticancer Agent. Drug Metab. Dispos. 2012, 40, 1810–1816. [Google Scholar] [CrossRef] [PubMed] [Green Version]
- Shi, Z.; Li, N.; Chen, C.; Wang, Y.; Lei, Z.; Chen, L.; Sun, J. Novel NO-releasing scopoletin derivatives induce cell death via mitochondrial apoptosis pathway and cell cycle arrest. Eur. J. Med. Chem. 2020, 200, 1–14. [Google Scholar] [CrossRef] [PubMed]
- Choi, H.J.; Lim, D.Y.; Park, J.H.Y. Induction of G1 and G2/M cell cycle arrests by the dietary compound 3,3′-diindolylmethane in HT-29 human colon cancer cells. BMC Gastroenterol. 2009, 9, 1–11. [Google Scholar] [CrossRef] [PubMed] [Green Version]
Publisher’s Note: MDPI stays neutral with regard to jurisdictional claims in published maps and institutional affiliations. |
© 2022 by the authors. Licensee MDPI, Basel, Switzerland. This article is an open access article distributed under the terms and conditions of the Creative Commons Attribution (CC BY) license (https://creativecommons.org/licenses/by/4.0/).







