Observation of Hyperpositive Non-Linear Effect in Asymmetric Organozinc Alkylation in Presence of N-Pyrrolidinyl Norephedrine
Abstract
1. Introduction
2. Results
2.1. Non-Linear Studies
2.2. Impact of Catalyst Loading
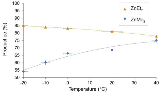
2.3. Impact of Temperature
3. Discussion
4. Materials and Methods
5. Conclusions
Supplementary Materials
Author Contributions
Funding
Data Availability Statement
Acknowledgments
Conflicts of Interest
References
- Jacobsen, E.N.; Pfaltz, A.; Yamamoto, H. Comprehensive Asymmetric Catalysis; Springer: Berlin/Heidelberg, Germany, 1999. [Google Scholar]
- Puchot, C.; Samuel, O.; Dunach, E.; Zhao, S.; Agami, C.; Kagan, H.B. Nonlinear effects in asymmetric synthesis. Examples in asymmetric oxidations and aldolization reactions. J. Am. Chem. Soc. 1986, 108, 2353–2357. [Google Scholar] [CrossRef] [PubMed]
- Guillaneux, D.; Zhao, S.-H.; Samuel, O.; Rainford, D.; Kagan, H.B. Nonlinear effects in asymmetric catalysis. J. Am. Chem. Soc. 1994, 116, 9430–9439. [Google Scholar] [CrossRef]
- Geiger, Y.; Achard, T.; Maisse-François, A.; Bellemin-Laponnaz, S. Hyperpositive nonlinear effects in asymmetric catalysis. Nat. Catal. 2020, 3, 422–426. [Google Scholar] [CrossRef]
- Girard, C.; Kagan, H.B. Nonlinear Effects in Asymmetric Synthesis and Stereoselective Reactions: Ten Years of Investigation. Angew. Chem. Int. Ed. 1998, 37, 2922–2959. [Google Scholar] [CrossRef]
- Satyanarayana, T.; Abraham, S.; Kagan, H.B. Nonlinear Effects in Asymmetric Catalysis. Angew. Chem. Int. Ed. 2009, 48, 456–494. [Google Scholar] [CrossRef] [PubMed]
- Geiger, Y.; Achard, T.; Maisse-François, A.; Bellemin-Laponnaz, S. Observation of hyperpositive non-linear effect in catalytic asymmetric organozinc additions to aldehydes. Chirality 2020, 32, 1250–1256. [Google Scholar] [CrossRef] [PubMed]
- Geiger, Y.; Achard, T.; Maisse-François, A.; Bellemin-Laponnaz, S. Absence of Non-Linear Effects despite evidence for catalyst aggregation. Eur. J. Org. Chem. 2021, 2019, 2916–2922. [Google Scholar] [CrossRef]
- Noble-Terán, M.E.; Buhse, T.; Cruz, J.-M.; Coudret, C.; Micheau, J.-C. Nonlinear Effects in Asymmetric Synthesis: A Practical Tool for the Discrimination between Monomer and Dimer Catalysis. ChemCatChem 2016, 8, 1836–1845. [Google Scholar] [CrossRef]
- Geiger, Y.; Achard, T.; Maisse-François, A.; Bellemin-Laponnaz, S. Hyperpositive non-linear effects: Enantiodivergence and modelling. Chem. Sci. 2020, 11, 12453–12463. [Google Scholar] [CrossRef] [PubMed]
- Soai, K.; Hayasaka, T.; Ugajin, S. Asymmetric synthesis of optically active β-substituted ketones by highly enantioselective catalytic conjugate addition of dialkylzinc reagents to enones using a catalyst system of nickel(II)-chiral ligand–achiral ligand in acetonitrile/toluene. J. Chem. Soc. Chem. Commun. 1989, 8, 516–517. [Google Scholar] [CrossRef]
- Niwa, S.; Soai, K. Catalytic asymmetric synthesis of optically active alkynyl alcohols by enantioselective alkynylation of aldehydes and by enantioselective alkylation of alkynyl aldehydes. J. Chem. Soc. Perkin Trans. 1 1990, 4, 937–943. [Google Scholar] [CrossRef]
- Pu, L.; Yu, H. Catalytic Asymmetric Organozinc Additions to Carbonyl Compounds. Chem. Rev. 2001, 101, 757–824. [Google Scholar] [CrossRef]
- Soai, K.; Yokoyama, S.; Hayasaka, T. Chiral N,N-Dialkylnorephedrines as Catalysts of the Highly Enantioselective Addition of Dialkylzincs to Aliphatic and Aromatic Aldehydes. The Asymmetric Synthesis of Secondary Aliphatic and Aromatic Alcohols of High Optical Purity. J. Org. Chem. 1991, 56, 4264–4268. [Google Scholar] [CrossRef]
- Cruz, A.; Irene Padilla-Martínez, I.; Esther Bautista-Ramirez, M. N-Substituted Ephedrines as Chiral Auxiliaries in Enantioselective Alkylation Reactions of Carbonyl Compounds. Curr. Org. Synth. 2016, 13, 2–40. [Google Scholar] [CrossRef][Green Version]
- Patel, N.R.; Nawrat, C.C.; McLaughlin, M.; Xu, Y.; Huffman, M.A.; Yang, H.; Li, H.; Whittaker, A.M.; Andreani, T.; Levesque, F.; et al. Synthesis of Islatravir Enabled by a Catalytic, Enantioselective Alkynylation of a Ketone. Org. Lett. 2020, 22, 4659–4664. [Google Scholar] [CrossRef] [PubMed]
- Sekiguchi, Y.; Yoshikai, N. Enantioselective Conjugate Addition of Catalytically Generated Zinc Homoenolate. J. Am. Chem. Soc. 2021, 143, 4775–4781. [Google Scholar] [CrossRef] [PubMed]
- Griffiths, G.J.; Warm, A. Proposed Mechanism for the Enantioselective Alkynylation of an Aryl Trifluoromethyl Ketone, the Key Step in the Synthesis of Efavirenz. Org. Process Res. Dev. 2016, 20, 803–813. [Google Scholar] [CrossRef]
- Geiger, Y.; Bellemin-Laponnaz, S. Non-linear effects in asymmetric catalysis: Impact of catalyst precipitation. ChemCatChem 2022, 14, e202200165. [Google Scholar] [CrossRef]
- Kitamura, M.; Suga, S.; Oka, H.; Noyori, R. Quantitative Analysis of the Chiral Amplification in the Amino Alcohol-Promoted Asymmetric Alkylation of Aldehydes with Dialkylzincs. J. Am. Chem. Soc. 1998, 120, 9800–9809. [Google Scholar] [CrossRef]









Publisher’s Note: MDPI stays neutral with regard to jurisdictional claims in published maps and institutional affiliations. |
© 2022 by the authors. Licensee MDPI, Basel, Switzerland. This article is an open access article distributed under the terms and conditions of the Creative Commons Attribution (CC BY) license (https://creativecommons.org/licenses/by/4.0/).
Share and Cite
Thierry, T.; Geiger, Y.; Bellemin-Laponnaz, S. Observation of Hyperpositive Non-Linear Effect in Asymmetric Organozinc Alkylation in Presence of N-Pyrrolidinyl Norephedrine. Molecules 2022, 27, 3780. https://doi.org/10.3390/molecules27123780
Thierry T, Geiger Y, Bellemin-Laponnaz S. Observation of Hyperpositive Non-Linear Effect in Asymmetric Organozinc Alkylation in Presence of N-Pyrrolidinyl Norephedrine. Molecules. 2022; 27(12):3780. https://doi.org/10.3390/molecules27123780
Chicago/Turabian StyleThierry, Thibault, Yannick Geiger, and Stéphane Bellemin-Laponnaz. 2022. "Observation of Hyperpositive Non-Linear Effect in Asymmetric Organozinc Alkylation in Presence of N-Pyrrolidinyl Norephedrine" Molecules 27, no. 12: 3780. https://doi.org/10.3390/molecules27123780
APA StyleThierry, T., Geiger, Y., & Bellemin-Laponnaz, S. (2022). Observation of Hyperpositive Non-Linear Effect in Asymmetric Organozinc Alkylation in Presence of N-Pyrrolidinyl Norephedrine. Molecules, 27(12), 3780. https://doi.org/10.3390/molecules27123780

