3-Aminopropylsilatrane and Its Derivatives: A Variety of Applications
Abstract
1. Introduction
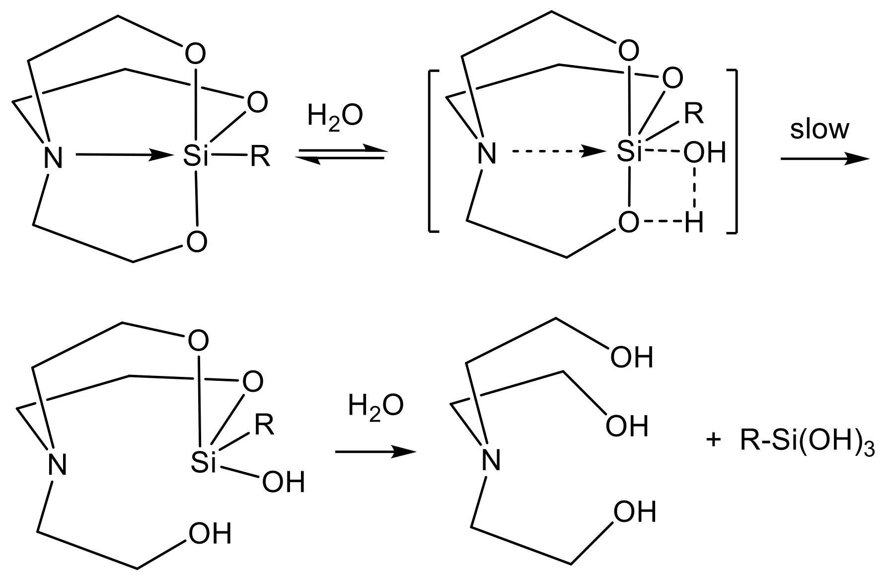
- (a)
 - The silatrane hydrolysis leading to the release of triethanolamine to afford silanol R-Si(OH)3;
 - (b)
 - Silanol condensation with the hydroxyl group of silica gel to generate a silanol intermediate;
 - (c)
 
2. Silatranyl Physiologically Active Compounds
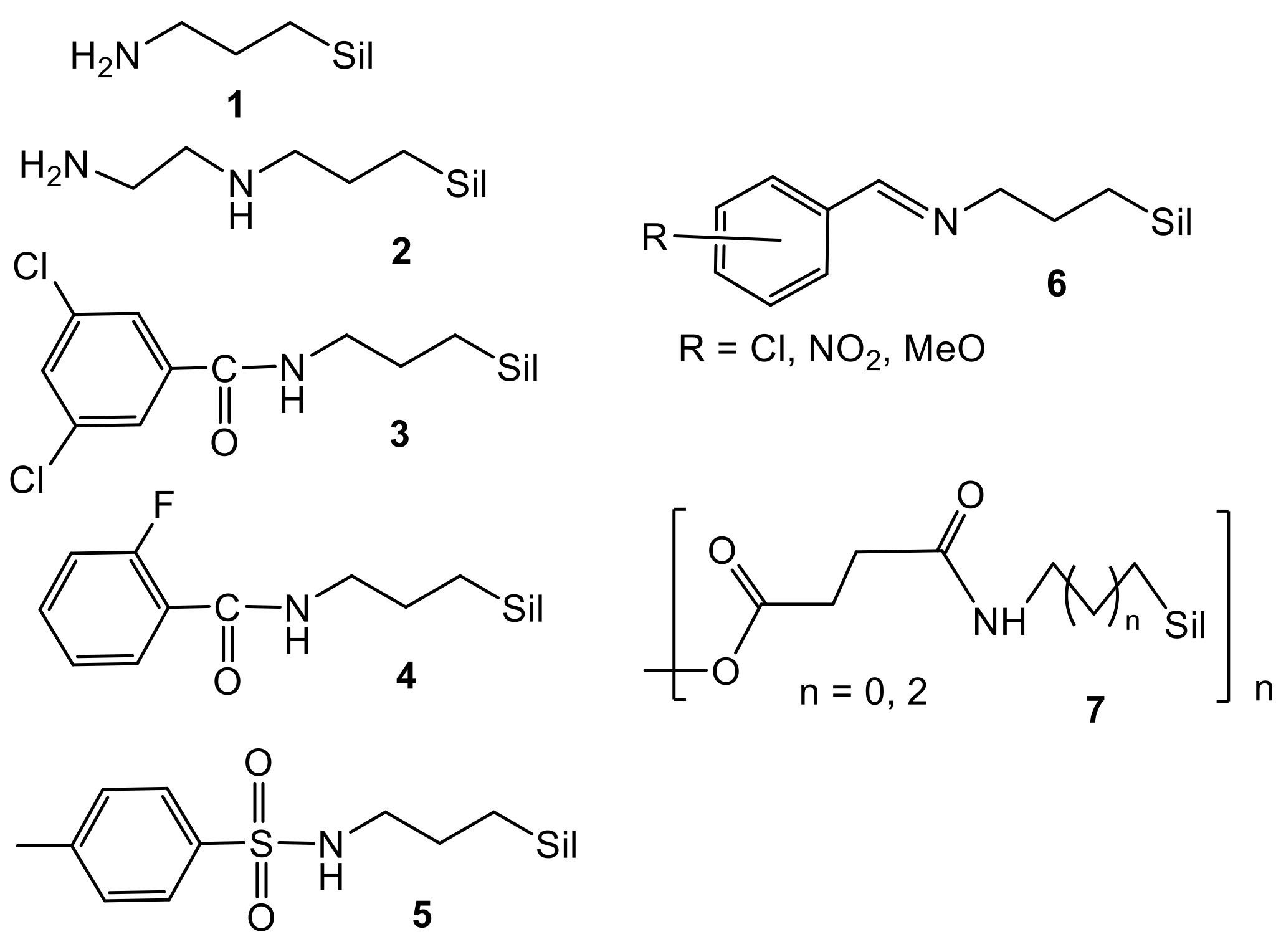
2.1. Silatranyl Plant Growth Regulators
2.2. Silatranyl Antifungal Agents
2.3. Silatranyl Antimicrobial Agents
2.4. Silatranyl Antiparasitic Agents
2.5. Silatranyl Anticancer Agents
3. Silatranyl Materials
3.1. Silatranyl Chemosensors
3.2. Silatranyl Dyes and Catalysts
3.3. Silatranyl Polymers, Films, Coatings, Materials, and Devices
4. Conclusions
- (a)
 - Biogenic amino alcohols,
 - (b)
 - Essential metals/elements: Si, Ge, V, Co, Zn, etc.
 - (c)
 - Organic substituents
 
Author Contributions
Funding
Institutional Review Board Statement
Informed Consent Statement
Data Availability Statement
Acknowledgments
Conflicts of Interest
References
- Voronkov, M.G.; Baryshok, V.P. Metallatranes. J. Organomet. Chem. 1982, 239, 199–249. [Google Scholar] [CrossRef]
 - Verkade, J.G. Atranes: New examples with unexpected properties. Acc. Chem. Res. 1993, 26, 483–489. [Google Scholar] [CrossRef]
 - Singh, A.; Mehrotra, R.C. Novel heterometallic alkoxide coordination systems of polyols (glycols, di- and tri-ethanolamines) derived from the corresponding homometallic moieties. Coord. Chem. Rev. 2004, 248, 101–118. [Google Scholar] [CrossRef]
 - Srivastav, N.; Kumar, K.; Singh, R.; Kaur, V. Tricyclic tin( IV) cages: Synthetic aspects and intriguing features of stannatranes and pseudostannatranes. New J. Chem. 2020, 44, 3168–3184. [Google Scholar] [CrossRef]
 - Adamovich, S.N. New atranes and similar ionic complexes. Synthesis, structure, properties. Appl. Organomet. Chem. 2019, 33, e4940. [Google Scholar] [CrossRef]
 - Kondratenko, Y.A.; Ignatyev, I.S.; Lezov, D.V.; Arsent’ev, M.Y.; Zolotarev, A.A.; Ugolkov, V.L.; Antuganov, D.; Kochina, T.A. Synthesis and characterization of hypercoordinated germanium complexes with hydroxyalkylethylenediamines. J. Organomet. Chem. 2022, 958, 122188. [Google Scholar] [CrossRef]
 - Finestone, A.B. Pentacoordinate Silicon Complexs. US Patent 2953545. Chem Abstr. 1961, 55, 4045. [Google Scholar]
 - Frye, C.L.; Vogel, G.E.; Hall, J.A. Triptich-siloxazolidines: Pentacoordinate bridgehead silanes resulting from transannular interaction of nitrogen and silicon. J. Am. Chem. Soc. 1961, 83, 996–997. [Google Scholar] [CrossRef]
 - Voronkov, M.G. Silatranes: Intra-complex heterocyclic compounds of pentacordinated silicon. Pure Appl. Chem. 1966, 13, 35–60. [Google Scholar] [CrossRef]
 - Voronkov, M.G.; Dyakov, V.M.; Kirpichenko, S.V. Silatranes. J. Organomet. Chem. 1982, 233, 1–147. [Google Scholar] [CrossRef]
 - Pestunovich, V.; Kirpichenko, S.; Voronkov, M. Silatranes and their tricyclic analogs. In The Chemistry of Organic Silicon Compounds; Rappoport, Z., Apeloig, Y., Eds.; Wiley: New York, NY, USA, 1998; Volume 2, Chapter 2; pp. 1447–1537. [Google Scholar] [CrossRef]
 - Puri, J.K.; Singh, R.; Chanal, V.K. Silatranes: A review on their synthesis, structure, reactivity and applications. Chem. Soc. Rev. 2011, 40, 1791–1840. [Google Scholar] [CrossRef] [PubMed]
 - Sidorkin, V.F.; Pestunovich, V.A.; Voronkov, M.G. The physical chemistry of silatranes. Russ. Chem. Rev. 1980, 49, 414–428. [Google Scholar] [CrossRef]
 - Gordon, M.S.; Carroll, M.T.; Jensen, J.H.; Davis, L.P.; Burggraf, L.W.; Guidry, R.M. Nature of the silicon-nitrogen bond in silatranes. Organometallics 1991, 10, 2657–2660. [Google Scholar] [CrossRef]
 - Marin-Luna, M.; Alkorta, I.; Elguero, J. Theoretical study of the geometrical, energetic and NMR properties of atranes. J. Organomet. Chem. 2015, 794, 206–215. [Google Scholar] [CrossRef]
 - Lazareva, N.F.; Sterkhova, I.V. 1-[N-phenyl(aminomethyl)]silatrane: Synthesis, reactivity and structure. J. Organomet. Chem. 2019, 898, 120870. [Google Scholar] [CrossRef]
 - Trofimova, O.; Grebneva, E.; Bolgova, Y.; Belogolova, E.; Emel’yanov, A.; Albanov, A.; Borodina, T.; Ivanova, A.; Korzhova, S.; Pozdnyakov, A. The synthesis, characterization, and theoretical analysis of novel Si-substituted silylethyl derivatives of 2-mercaptobenzoxazole and 2-mercaptobenzothiazole. New J. Chem. 2021, 45, 9416–9426. [Google Scholar] [CrossRef]
 - Geibel, C.; Theiner, J.; Wolter, M.; Kramer, M.; Lindner, W.; Lämmerhofer, M. Controllable organosilane monolayer density of surface bonding using silatranes for thiol functionalization of silica particles for liquid chromatography and validation of microanalytical method for elemental composition determination. J. Chromatogr. A 2021, 1653, 462418. [Google Scholar] [CrossRef]
 - Vlasova, N.N.; Sorokin, M.S.; Oborina, E.N. Carbofunctional sulfur-containing organosilicon compounds. Appl. Organometal. Chem. 2017, 31, e3668. [Google Scholar] [CrossRef]
 - Voronkov, M.G.; Belyaeva, V.V.; Abzaeva, K.A. Basicity of silatranes (Review). Chem. Heterocycl. Comp. 2012, 47, 1330–1338. [Google Scholar] [CrossRef]
 - Sok, S.; Gordon, M.S. A dash of protons: A theoretical study on the hydrolysis mechanism of 1-substituted silatranes and their protonated analogs. Comp. Theor. Chem. 2012, 987, 2–15. [Google Scholar] [CrossRef]
 - Chachkov, D.; Ismagilova, R.; Vereshchagina, Y. Mechanism of Reactions of 1-Substituted Silatranes and Germatranes, 2,2-Disubstituted Silocanes and Germocanes, 1,1,1-Trisubstituted Hyposilatranes and Hypogermatranes with Alcohols (Methanol, Ethanol): DFT Study. Molecules 2020, 25, 2803. [Google Scholar] [CrossRef] [PubMed]
 - Sidorkin, V.F.; Belogolova, E.F.; Doronina, E.P.; Liu, G.; Ciborowski, S.M.; Bowen, K.H. “Outlaw” Dipole-Bound Anions of Intra-Molecular Complexes. J. Am. Chem. Soc. 2020, 142, 2001–2011. [Google Scholar] [CrossRef] [PubMed]
 - Tseng, Y.-T.; Lu, H.-Y.; Li, J.-R.; Tung, W.J.; Chen, W.-H.; Chau, L.-K. Facile Functionalization of Polymer Surfaces in Aqueous and Polar Organic Solvents via 3-Mercaptopropylsilatrane. ACS Appl. Mater. Interfaces 2016, 49, 34159–34169. [Google Scholar] [CrossRef] [PubMed]
 - Lee, T.-J.; Chau, L.-K.; Huang, C.-J. Controlled Silanization: High Molecular Regularity of Functional Thiol Groups on Siloxane Coatings. Langmuir 2020, 36, 5935–5943. [Google Scholar] [CrossRef]
 - Li, L.; Li, B.; Dong, J.; Zhang, J. Roles of silanes and silicones in forming superhydrophobic and superoleophobic materials. J. Mater. Chem. A 2016, 4, 13677. [Google Scholar] [CrossRef]
 - Zapletalova, H.; Pribyl, J.; Ambroz, M.; Vujtek, M.; Skladal, P.; Kolarova, H. Improved method for Mica functionalization used in single molecule imaging of DNA with atomic force microscopy. Mediterr. J. Chem. 2016, 5, 589–598. [Google Scholar] [CrossRef]
 - Shafiq, M.; Sabir, A.; Islam, A.; Khan, S.M.; Hussain, S.N.; Butt, M.T.Z.Z.; Jamil, T. Development and performance characteristics of silane crosslinked poly(vinyl alcohol)/chitosan membranes for reverse osmosis. J. Industr. Engin. Chem. 2017, 48, 99–107. [Google Scholar] [CrossRef]
 - Voronkov, M.G. Biological activity of silatranes. In: Bioactive Organo-Silicon Compounds. Top. Curr. Chem. 1979, 84, 77–135. [Google Scholar] [CrossRef]
 - Voronkov, M.G.; Baryshok, V.P. Antitumor Activity of Silatranes (A Review). Pharm. Chem. J. 2004, 38, 3–9. [Google Scholar] [CrossRef]
 - Voronkov, M.G.; Baryshok, V.P. Silatranes in Medicine and Agriculture; SO RAN Publ.: Novosibirsk, Russia, 2005; p. 255. [Google Scholar]
 - Voronkov, M.G.; Baryshok, V.P. Atranes As a New Generation of Biologically Active Substances. Her. Russ. Acad. Sci. 2010, 80, 514–521. [Google Scholar] [CrossRef]
 - Viegas, C., Jr.; Danuello, A.; da Silva Bolzani, V.; Barreiro, E.J.; Fraga, C.A.M. Molecular Hybridization: A Useful Tool in the Design of New Drug Prototypes. Curr. Med. Chem. 2007, 14, 1829–1852. [Google Scholar]
 - Corson, T.W.; Aberle, N.; Crew, C.M. Design and Applications of Bifunctional Small Molecules: Why Two Heads Are Better Than One. ACS Chem. Biol. 2008, 3, 677–692. [Google Scholar] [CrossRef]
 - de Oliveira Pedrosa, M.; da Cruz, R.M.D.; de Oliveira Viana, J.; de Moura, R.O.; Ishiki, H.M.; Filho, J.M.B.; Diniz, M.F.F.M.; Scotti, M.T.; Scotti, L.; Mendonca, F.J.B. Hybrid Compounds as Direct Multitarget Ligands: A Review. Curr. Top. Med. Chem. 2017, 17, 1044–1079. [Google Scholar] [CrossRef] [PubMed]
 - Ivasiv, V.; Albertini, C.; Goncalves, A.E.; Rossi, M.; Bolognesi, M.L. Molecular Hybridization as a Tool for Designing Multitarget Drug Candidates for Complex Diseases. Curr. Top. Med. Chem. 2019, 19, 1694–1711. [Google Scholar] [CrossRef]
 - Gontijo, V.S.; Viegas, F.P.D.; Ortiz, C.J.C.; de Freitas Silva, M.; Damasio, C.M.; Rosa, M.C.; Campos, T.G.; Couto, D.S.; Dias, K.S.T.; Viegas, C., Jr. Molecular Hybridization as a Tool in the Design of Multi-target Directed Drug Candidates for Neurodegenerative Diseases. Curr. Neuropharmacol. 2020, 18, 348–407. [Google Scholar] [CrossRef] [PubMed]
 - Shang, H.; Li, L.; Ma, L.; Tian, Y.; Jia, H.; Zhang, T.; Yu, M.; Zou, Z. Design and Synthesis of Molecular Hybrids of Sophora Alkaloids and Cinnamic Acids as Potential Antitumor Agents. Molecules 2020, 25, 1168. [Google Scholar] [CrossRef] [PubMed]
 - Ebenezer, O.; Singh-Pillay, A.; Koorbanally, N.A.; Singh, P. Antibacterial evaluation and molecular docking studies of pyrazole–thiosemicarbazones and their pyrazole–thiazolidinone conjugates. Mol. Divers. 2021, 25, 191–204. [Google Scholar] [CrossRef] [PubMed]
 - Dumitriu, A.-M.-C.; Cazacu, M.; Shova, S.; Turta, C.; Simionescu, B.C. Synthesis and structural characterization of 1-(3-aminopropyl)silatrane and some new derivatives. Polyhedron 2012, 33, 119–126. [Google Scholar] [CrossRef]
 - Singh, G.; Sharma, G.; Sanchita; Kalra, P.; Batish, D.R.; Verma, V. Role of alkyl silatranes as plant growth regulators: Comparative substitution effecton root and shoot development of wheatand maize. J. Sci. Food Agric. 2018, 98, 5129–5133. [Google Scholar] [CrossRef]
 - Xie, Z.; Chen, L.; Wang, Y.; Song, X.; Qi, X.; Guo, P.; Ye, F. Synthesis and stimulation of seed germination of γ-aminopropylsilatrane derivatives. Phytochem. Lett. 2014, 8, 202–206. [Google Scholar] [CrossRef]
 - Lin, Y.; Bo, S.; Anyue, H.; Suwen, H.; Faqing, Y.; Zixin, X. Synthesis of γ-Arylmethylene-aminopropyl-3,7,10-trimethyl-silatrane Derivatives and Their Activities of Regulating Plant Growth. Phosphorus Sulfur Silicon 2011, 186, 298–303. [Google Scholar] [CrossRef]
 - Istratov, V.V.; Vasnev, V.A.; Markova, G.D. Biodegradable and Biocompatible Silatrane Polymers. Molecules 2021, 26, 1893. [Google Scholar] [CrossRef]
 - Wan, S.-G.; Yang, X.-Y.; Yu, Y.; Liu, C. Synthesis and Fugicidal Activities of 2-Silatranyl Propylamino-4-substitued Phenyl(Hydrogen)-5,5-dimethyl-1,3,2-dioxaphosphinanes-2-oxides (Sulfides). Phosphorus Sulfur Silicon 2005, 180, 2813–2821. [Google Scholar] [CrossRef]
 - Li, Z.; Song, X.; Su, H.; Chen, J. Synthesis of 1-substituted benzoyl aminopropyl silatrane and their biological activities. Heterocycl. Commun. 2005, 11, 475–478. [Google Scholar] [CrossRef][Green Version]
 - Li, Z.; Su, H.; Gao, X.; Tian, Q. Synthesis and Properties of 1-Substituted Benzoyl Aminopropyl Silatranes. Main Group Metal Chem. 2007, 30, 101–106. [Google Scholar] [CrossRef]
 - Bargan, A.; Zaltariov, M.F.; Vlad, A.; Dumitriu, A.-M.-C.; Soroceanu, A.; Macsim, A.-M.; Dascalu, M.; Varganici, C.D.; Cazacu, M.; Shova, S. Keto-enol tautomerism in new silatranes Schiff bases tailed with different substituted salicylic aldehyde. Arab. J. Chem. 2020, 13, 3100–3111. [Google Scholar] [CrossRef]
 - Singh, R.; Puri, J.K.; Chahal, V.K.; Sharma, R.P.; Kohli, S.; Kant, R.; Gill, B.S. Synthesis, Characterization, Reactivity, and Antibacterial Studies of Triethylammonium-3-silatranylpropyldithiocarbamate, Spectroscopic, and Quantum Mechanical Studies of 3-(Silatranyl)propylammonium Chloride. Synth. React. Inorg. Met.-Org. Nano-Met. Chem. 2012, 42, 823–832. [Google Scholar] [CrossRef]
 - Singh, G.; Saroa, A.; Girdhar, S.; Rani, S.; Sahoo, S.; Choquesillo-Lazarte, D. Synthesis, characterization, electronic absorption and antimicrobial studies of N-(silatranylpropyl)phthalimide derived from phthalic anhydride. Inorg. Chim. Acta. 2015, 427, 232–239. [Google Scholar] [CrossRef]
 - Adamovich, S.N.; Kondrashov, E.V.; Ushakov, I.A.; Shatokhina, N.S.; Oborina, E.N.; Vashchenko, A.V.; Belovezhets, L.A.; Rozentsveig, I.B.; Verpoort, F. Isoxazole derivatives of silatrane: Synthesis, characterization, in silico ADME profile, prediction of potential pharmacological activity and evaluation of antimicrobial action. Appl. Organomet. Chem. 2020, 34, e5976. [Google Scholar] [CrossRef]
 - Adamovich, S.N.; Sadykov, E.K.; Ushakov, I.A.; Oborina, E.N.; Belovezhets, L.A. Antibacterial activity of new silatrane pyrrole-2-carboxamide hybrids. Mendeleev Commun. 2021, 31, 204–206. [Google Scholar] [CrossRef]
 - Han, A.; Li, L.; Qing, K.; Qi, X.; Hou, L.; Luo, X.; Shi, S.; Ye, F. Synthesis and biological evaluation of nucleoside analogues than contain silatrane on the basis of the structure of acyclovir (ACV) as novel inhibitors of hepatitis B virus (HBV). Bioorg. Med. Chem. Lett. 2013, 23, 1310–1314. [Google Scholar] [CrossRef] [PubMed]
 - Ye, F.; Song, X.; Liu, J.; Xu, X.; Wang, Y.; Hu, L.; Wang, Y.; Liang, G.; Guo, P.; Xie, Z. Design, Synthesis, and Biological Evaluation of γ-Aminopropyl Silatrane–Acyclovir Hybrids with Immunomodulatory Effects. Chem. Biol. Drug Des. 2015, 86, 905–910. [Google Scholar] [CrossRef] [PubMed]
 - Tharmaraj, P.; Kodimunthiri, D.; Sheela, C.D.; Shanmuga Priya, C.S. Synthesis, spectral characterization, and antimicrobial activity of copper(II), cobalt(II), and nickel(II) complexes of 3-formylchromoniminopropylsilatrane. J. Coord. Chem. 2009, 62, 2220–2228. [Google Scholar] [CrossRef]
 - Singh, G.; Singh, A.; Singh, J.; Aulakh, D.; Wriedt, M.; Espinosa, C.; Esteban, M.A.; Sehgal, R.; Goyal, K.; Sinha, S. First synthesis of pyrene-functionalized silatranes for mechanistic insights into their potential anti-parasitic and anti-oxidation activities. New J. Chem. 2017, 41, 15165–15172. [Google Scholar] [CrossRef]
 - Singh, G.; Arora, A.; Mangat, S.S.; Rani, S.; Kaur, H.; Goyal, K.; Sehgal, R.; Maurya, I.K.; Tewari, R.; Choquesillo-Lazarte, D.; et al. Design, synthesis and biological evaluation of chalconyl blended triazole allied organosilatranes as giardicidal and trichomonacidal agents. Eur. J. Med. Chem. 2016, 108, 287–300. [Google Scholar] [CrossRef] [PubMed]
 - Singh, G.; Arora, A.; Kalra, P.; Maurya, I.K.; Ruizc, C.E.; Estebanc, M.A.; Sinha, S.; Goyal, K.; Sehgal, R. A strategic approach to the synthesis of ferrocene appended chalcone linked triazole allied organosilatranes: Antibacterial, antifungal, antiparasitic and antioxidant studies. Bioorg. Med. Chem. 2019, 27, 188–195. [Google Scholar] [CrossRef]
 - Kozlowski, H.; Radecki, A.; Lukasiak, J. Influence of 1-(alkylamino)silatranes and isoniazid on the antitumor activity of cyclophosphamide in mice bearing Sa 180 tumors. Exp. Patol. 1985, 28, 215–223. [Google Scholar] [CrossRef]
 - Ding, Q.; Luo, X.; Xhuo, R. Studies on the Synthesis and Antitumour Activity of γ-(Arylideneamino)propylsilatranes. Chem. J. Chin. Univ. 1989, 10, 369–372. [Google Scholar]
 - Ding, Q.; Luo, X.; Xhuo, R. Studies on the Synthesis and Antitumor Activity of 3-(Arylmethyleneamino)propylsilatrane-Metal Complexes. Chem. J. Chin. Univ. 1989, 10, 1254–1256. [Google Scholar]
 - Guo, P.; Wu, W.-Y.; Luo, X.-T.; Qi, X.-L.; Hou, L.-P.; Xie, Z.X.; Ye, F.-Q. Synthesis, Antitumor Activity, and SAR of N-Substituted γ-Aminopropylsilatrane Derivatives. Phosphorus Sulfur Silicon Relat. Elem. 2014, 189, 511–518. [Google Scholar] [CrossRef]
 - Shi, D.Q.; Chen, Q.; Li, Z.H.; Liu, X.P. Synthesis of Novel Phosphoramide-Tegafur Derivatives Containing Aminopropylsilatrane. Phosphorus Sulfur Silicon Relat. Elem. 2005, 180, 1621–1627. [Google Scholar] [CrossRef]
 - Singh, G.; Saroa, A.; Rani, S.; Promila; Choquesillo-Lazarte, D.; Sahoo, S. Unsymmetrically urea silatranes: Synthesis, characterization and a selective on–off fluorescence response to acetate anion. Arab. J. Chem. 2017, 10, 523–531. [Google Scholar] [CrossRef]
 - Singh, G.; Rani, S.; Saroa, A.; Promila; Arora, A.; Choquesillo-Lazarte, D. Amide-tethered organosilatranes: Syntheses, structural characterization and photophysical properties. Inorg. Chim. Acta. 2015, 433, 78–91. [Google Scholar] [CrossRef]
 - Singh, G.; Rani, S. Organosilatranes with Acylthiourea Derivatives—Metal-Ion Binding, Substituent-Dependent Sensitivity, and Prospects for the Fabrication of Magnetic Hybrids. Eur. J. Inorg. Chem. 2016, 3000–3011. [Google Scholar] [CrossRef]
 - Singh, G.; Sushma; Priyanka; Suman; Diksha; Kaur, J.D.; Saini, A.; Devi, A.; Satija, P. Synthesis, characterization and UV–visible study of schiff base-acetylene functionalized organosilatrane receptor for the dual detection of Zn2+ and Co2+ ions. Inorg. Chim. Acta 2021, 525, 120465. [Google Scholar] [CrossRef]
 - Singh, G.; Sanchita; Singh, A.; Sharma, G.; Kalra, P.; Satija, P.; Diksha; Soni, S.; Verma, V. Ester appended organosilatranes: Paradigm for the detection of Cu2+, Pb2+ and Hg2+ ion. Inorg. Chim. Acta 2019, 490, 85–92. [Google Scholar] [CrossRef]
 - Singh, G.; Singh, A.; Satija, P.; Sharma, G.; Shilpy; Singh, J.; Singh, J.; Singh, K.N.; Kaur, A. First report of silver ion recognition via a silatrane-based receptor: Excellent selectivity, low detection limit and good applicability. New J. Chem. 2019, 43, 5525–5530. [Google Scholar] [CrossRef]
 - Singh, H.; Singh, R.; Kaur, V. Prospects of silatranyl dye derivatives in cotton dyeing process and dye effluent treatment: A comparative study of methyl red and its silatranyl derivative. Cellulose 2019, 26, 2885–2894. [Google Scholar] [CrossRef]
 - Mutneja, R.; Singh, R.; Kaur, V.; Wagler, J.; Kroke, E. Development of new precursors for immobilizing dyes onto silica surfaces. Dye. Pigment. 2014, 108, 41–49. [Google Scholar] [CrossRef]
 - Mutneja, R.; Singh, R.; Kaur, V.; Wagler, J.; Kroke, E.; Kansal, S.K. Proton transfer assisted facile encapsulation of picric acid in sol-gel derived silica decorated with azo-azomethine hosts. Dye. Pigment. 2017, 139, 635–643. [Google Scholar] [CrossRef]
 - Mutneja, R.; Srivastav, N.; Singh, R.; Kaur, V.; Bette, N.; Klemm, V.; Rafaja, D.; Wagler, J.; Kroke, E. Exploring superiority of silatranyl moiety as anchoring unit over its trialkoxysilyl analogue for covalent grafting via fabrication of functionalized mesoporous silica possessing azomethinic pincers for dye adsorption. Micropor. Mesopor. Mater. 2019, 273, 265–272. [Google Scholar] [CrossRef]
 - Szpakolski, K.; Latham, K.; Rix, C.; Rani, R.A.; Kalantar-zadeh, K. Silane: A new linker for chromophores in dye-sensitised solar cells. Polyhedron 2013, 52, 719–732. [Google Scholar] [CrossRef]
 - Materna, K.L.; Brennan, B.J.; Brudvig, G.W. Silatranes for binding inorganic complexes to metal oxide surfaces. Dalton Trans. 2015, 44, 20312–20315. [Google Scholar] [CrossRef] [PubMed]
 - Materna, K.L.; Crabtree, R.H.; Brudvig, G.W. Anchoring groups for photocatalytic water oxidation on metal oxide surfaces. Chem. Soc. Rev. 2017, 46, 6099–6110. [Google Scholar] [CrossRef]
 - Materna, K.L.; Jiang, J.; Crabtree, R.H.; Brudvig, G.W. Silatrane Anchors for Metal Oxide Surfaces: Optimization for Potential Photocatalytic and Electrocatalytic Applications. ACS Appl. Mater. Interfaces 2019, 11, 5602–5609. [Google Scholar] [CrossRef] [PubMed]
 - Troiano, J.L.; Hu, G.; Crabtree, R.H.; Brudvig, G.W. Diazo coupling for surface attachment of small molecules to TiO2 nanoparticles. Chem. Commun. 2020, 56, 9340–9343. [Google Scholar] [CrossRef]
 - Troiano, J.L.; Crabtree, R.H.; Gary, W.; Brudvig, G.W. Optimization of Surface Loading of the Silatrane Anchoring Group on TiO2. ACS Appl. Mater. Interfaces 2022, 14, 6582–6589. [Google Scholar] [CrossRef]
 - Istratov, V.V.; Vasnev, V.A. Silatrane-containing poly(β-amino esters). Russ. Chem. Bull. 2020, 69, 1134–1137. [Google Scholar] [CrossRef]
 - Jain, N.; Tripathi, S.K.; Nasim, M. Preparation and Characterization of Aminopropylsilatrane Endcapped Polyimide Films. Int. J. Polym. Mater. Polym. Biomater. 2014, 63, 178–184. [Google Scholar] [CrossRef]
 - Hsieh, S.; Chao, W.-J.; Hsieh, C.-W. Improved Performance of Aminopropylsilatrane Over Aminopropyltriethoxysilane as an Adhesive Film for Anchoring Gold Nanoparticles on Silicon Surfaces. J. Nanosci. Nanotechnol. 2009, 9, 2894–2901. [Google Scholar] [CrossRef]
 - Huang, K.-W.; Hsieh, C.-W.; Kan, H.-C.; Hsieh, M.-L.; Hsieh, S.; Chau, L.-K.; Cheng, T.-E.; Lin, W.-T. Improved performance of aminopropylsilatrane over aminopropyltriethoxysilane as a linker for nanoparticle-based plasmon resonance sensors. Sens. Actuators B 2012, 163, 207–215. [Google Scholar] [CrossRef]
 - Chen, S.-W.; Hong, T.T.A.; Chiang, C.-T.; Chau, L.-K.; Huang, C.-J. Versatile Thiol- and Amino-Functionalized Silatranes for in-situ polymerization and Immobilization of Gold Nanoparticles. J. Taiwan Inst. Chem. Eng. 2022, 132, 104129. [Google Scholar] [CrossRef]
 - Huang, C.-J.; Zheng, Y.-Y. Controlled Silanization Using Functional Silatrane for Thin and Homogeneous Antifouling Coatings. Langmuir 2019, 35, 1662–1671. [Google Scholar] [CrossRef] [PubMed]
 - Wu, T.-H.; Wu, C.-H.; Huang, C.-J.; Chang, Y.-C. Anticlogging Hemofiltration Device for Mass Collection of Circulating Tumor Cells by Ligand-Free Size Selection. Langmuir 2021, 37, 3399–3409. [Google Scholar] [CrossRef] [PubMed]
 - Shlyakhtenko, L.S.; Gall, A.A.; Filonov, A.; Cerovac, Z.; Lushnikov, A.; Lyubchenko, Y.L. Silatrane-based surface chemistry for immobilization of DNA, protein-DNA complexes and other biological materials. Ultramicroscopy 2003, 97, 279–287. [Google Scholar] [CrossRef]
 - Lyubchenko, Y.L.; Shlyakhtenko, L.S.; Ando, T. Imaging of nucleic acids with atomic force microscopy. Methods 2011, 54, 274–283. [Google Scholar] [CrossRef] [PubMed]
 - Lyubchenko, Y.L.; Gall, A.A.; Shlyakhtenko, L.S. Visualization of DNA and Protein–DNA Complexes with Atomic Force Microscopy. In Electron Microscopy. Methods in Molecular Biology (Methods and Protocols); Kuo, J., Ed.; Humana Press: Totowa, NJ, USA, 2014; Volume 1117, pp. 367–384. [Google Scholar] [CrossRef]
 - Mathur, R.; Chauhan, R.P.; Singh, G.; Singh, S.; Varshney, R.; Kaul, A.; Jain, S.; Mishra, A.K. Tryptophan conjugated magnetic nanoparticles for targeting tumors overexpressing indoleamine 2,3 dioxygenase (IDO) and L-type amino acid transporter. J. Mater. Sci. Mater. Med. 2020, 31, 87. [Google Scholar] [CrossRef]
 - Garg, A.; Khupse, N.; Bordoloi, A.; Sarma, D. Ag–NHC anchored on silica: An efficient ultra-low loading catalyst for regioselective 1,2,3-triazole synthesis. New J. Chem. 2019, 43, 19331–19337. [Google Scholar] [CrossRef]
 - Puchnin, K.; Grudtsov, V.; Andrianova, M.; Bezzubov, S.; Kuznetsov, A. A Surface Modifier for the Production of Selectively Activated Amino Surface Groups. Coatings 2019, 9, 726. [Google Scholar] [CrossRef]
 - Aoyagi, N.; Endo, T. CO2 capture capacity of five- and six-membered cyclic amidines bearing silatranyl group under dry conditions. Tetrahedron 2017, 73, 1529–1533. [Google Scholar] [CrossRef]
 - Maeda, T.; Hamada, T.; Tsukada, S.; Katsura, D.; Okada, K.; Ohshita, J. Antifogging Hybrid Materials Based on Amino-Functionalized Polysilsesquioxanes. ACS Appl. Polym. Mater. 2021, 3, 2568–2575. [Google Scholar] [CrossRef]
 















Publisher’s Note: MDPI stays neutral with regard to jurisdictional claims in published maps and institutional affiliations.  | 
© 2022 by the authors. Licensee MDPI, Basel, Switzerland. This article is an open access article distributed under the terms and conditions of the Creative Commons Attribution (CC BY) license (https://creativecommons.org/licenses/by/4.0/).
Share and Cite
Adamovich, S.N.; Oborina, E.N.; Nalibayeva, A.M.; Rozentsveig, I.B. 3-Aminopropylsilatrane and Its Derivatives: A Variety of Applications. Molecules 2022, 27, 3549. https://doi.org/10.3390/molecules27113549
Adamovich SN, Oborina EN, Nalibayeva AM, Rozentsveig IB. 3-Aminopropylsilatrane and Its Derivatives: A Variety of Applications. Molecules. 2022; 27(11):3549. https://doi.org/10.3390/molecules27113549
Chicago/Turabian StyleAdamovich, Sergey N., Elizaveta N. Oborina, Arailym M. Nalibayeva, and Igor B. Rozentsveig. 2022. "3-Aminopropylsilatrane and Its Derivatives: A Variety of Applications" Molecules 27, no. 11: 3549. https://doi.org/10.3390/molecules27113549
APA StyleAdamovich, S. N., Oborina, E. N., Nalibayeva, A. M., & Rozentsveig, I. B. (2022). 3-Aminopropylsilatrane and Its Derivatives: A Variety of Applications. Molecules, 27(11), 3549. https://doi.org/10.3390/molecules27113549
        
                                                