Resonant Ionic, Covalent Bond, and Steric Characteristics Present in 1Σu+ States of Li2
Abstract
1. Introduction
2. Method of Computation
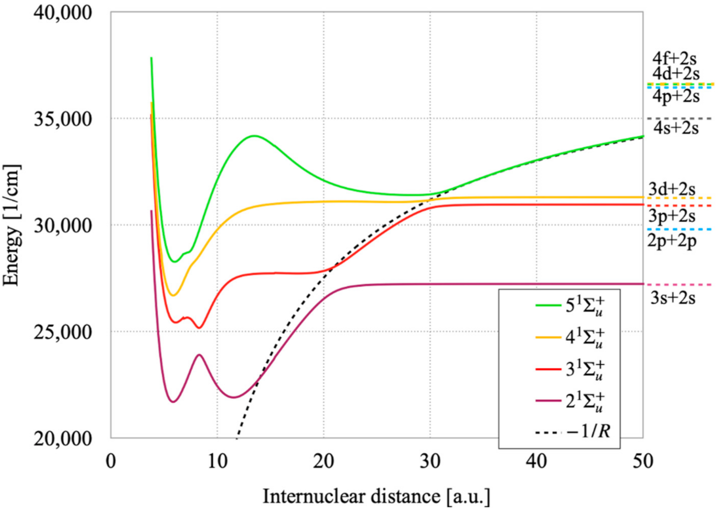
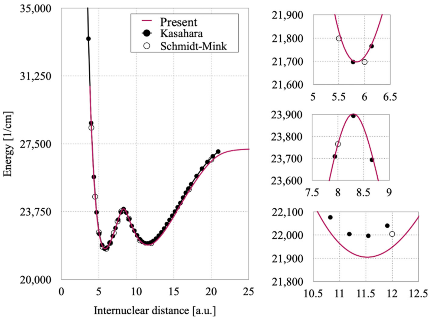
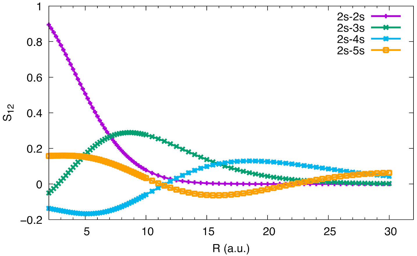
3. Results and Discussion
4. Conclusions
Author Contributions
Funding
Institutional Review Board Statement
Informed Consent Statement
Acknowledgments
Conflicts of Interest
References
- Jeung, G.-H.; Ross, A.J. Electronic structure of the lowest 1,3Σg+, 1,3Σu+, 1,3Πg,1,3Πu, 1,3Δg and 1,3Δu states of K2 from valence CI calculations. J. Phys. B At. Mol. Opt. Phys. 1988, 21, 1473–1487. [Google Scholar] [CrossRef]
- Yiannopoulou, A.; Jeung, G.-H.; Park, S.J.; Lee, H.S.; Lee, Y.S. Undulations of the potential-energy curves for highly excited electronic states in diatomic molecules related to the atomic orbital undulations. Phys. Rev. A 1999, 59, 1178–1186. [Google Scholar] [CrossRef]
- Konowalow, D.D.; Fish, J.L. The molecular electronic structure of the twenty-six lowest lying states of Li2 at short and intermediate internuclear separations. Chem. Phys. 1984, 84, 463–475. [Google Scholar] [CrossRef]
- Schmidt-Mink, I.; Müller, W.; Meyer, W. Ground- and excited-state properties of Li2 and Li2+ from ab initio calculations with effective core polarization potentials. Chem. Phys. 1985, 92, 263–285. [Google Scholar] [CrossRef]
- Linton, C.; Martin, F.; Bacis, R.; Vergès, J. Observation and analysis of the 2 1Σu+ “double minimum” state of Li2. J. Mol. Spectrosc. 1989, 137, 235–241. [Google Scholar] [CrossRef]
- Poteau, R.; Spiegelmann, F. Calculation of the Electronic Spectrum of Li2 Using Effective Core Pseudopotentials and l -Dependent Core Polarization Potentials. J. Mol. Spectrosc. 1995, 171, 299–308. [Google Scholar] [CrossRef]
- Ross, A.J.; Crozet, P.; Linton, C.; Martin, F.; Russier, I.; Yiannopoulou, A. On the 5d1Πg→ 21Σ+u and 5d1Πg→C1ΠuFluorescence in 7Li2. J. Mol. Spectrosc. 1998, 191, 28–31. [Google Scholar] [CrossRef] [PubMed]
- Kasahara, S.; Kowalczyk, P.; Kabir, H.; Baba, M.; Katô, H. Doppler-free UV-visible optical–optical double resonance polarization spectroscopy of the 2 1Σu+ double minimum state and the C1Πu state of Li2. J. Chem. Phys. 2000, 113, 6227–6234. [Google Scholar] [CrossRef]
- Jasik, P.; Sienkiewicz, J.E. Calculation of adiabatic potentials of Li2. Chem. Phys. 2006, 323, 563–573. [Google Scholar] [CrossRef]
- Jędrzejewski-Szmek, Z.; Grochola, A.; Jastrzebski, W.; Kowalczyk, P. The 51Πu electronic state of the lithium dimer. Chem. Phys. Lett. 2007, 444, 229–231. [Google Scholar] [CrossRef]
- Grochola, A.; Kowalczyk, P.; Jastrzebski, W. Rydberg states of the Li2 molecule studied by polarization labelling spectroscopy. J. Phys. B At. Mol. Opt. Phys. 2010, 43, 155102. [Google Scholar] [CrossRef][Green Version]
- Lee, C.-W. Study of the Valence and Rydberg States of a Lithium Dimer by the Multi-reference Configuration-interaction Method, Bull. Korean Chem. Soc. 2014, 35, 1422–1432. [Google Scholar] [CrossRef][Green Version]
- Musiał, M.; Kucharski, S.A. First Principle Calculations of the Potential Energy Curves for Electronic States of the Lithium Dimer. J. Chem. Theory Comput. 2014, 10, 1200–1211. [Google Scholar] [CrossRef] [PubMed]
- Kim, H.-J.; Lee, C.-W. Rydberg series of 1Σu+ and 1Δu states of the Li2 molecule studied by the promotion model. J. Phys. B At. Mol. Opt. Phys. 2015, 48, 015101. [Google Scholar] [CrossRef]
- Werner, H.-J.; Knowles, P.J.; Knizia, G.; Manby, F.R.; Schütz, M. Molpro: A general-purpose quantum chemistry program package. WIREs Comput. Mol. Sci. 2012, 2, 242–253. [Google Scholar] [CrossRef]
- Le Roy, R.J. LEVEL: A computer program for solving the radial Schrödinger equation for bound and quasibound levels. J. Quant. Spectrosc. Radiat. Transf. 2017, 186, 167–178. [Google Scholar] [CrossRef]
- Coxon, J.A.; Melville, T.C. Application of direct potential fitting to line position data for the X1Σg+ and A1Σu+ states of Li2. J. Mol. Spectrosc. 2006, 235, 235–247. [Google Scholar] [CrossRef]
- Kosman, W.M.; Hinze, J. Inverse perturbation analysis: Improving the accuracy of potential energy curves. J. Mol. Spectrosc. 1975, 56, 93–103. [Google Scholar] [CrossRef]
- Geum, N.; Jeung, G.-H. Undulating potential curves of the Rydberg states of NaHe. Chem. Phys. Lett. 2001, 333, 314–318. [Google Scholar] [CrossRef]





| Basis | 15s10p6d3f | 13s8p5d3f | |||
|---|---|---|---|---|---|
| States | R (a.u) | E (cm−1) | R (a.u) | E (cm−1) | |
| 5 1Σu+ | m | 6.00 | 28,271 | 6.000 | 28,298 |
| i | 6.925 | 28,657 | |||
| i | 7.175 | 28,702 | |||
| i | 8.525 | 30,098 | |||
| M | 13.50 | 34,177 | |||
| i | 16.125 | 33,428 | |||
| m | 28.35 | 31,404 | |||
| i | 33.30 | 31,924 | |||
| a | 100 | 35,030 | |||
| a (ex) | ∞ (4s + 2s) | 35,012 | |||
| 4 1Σu+ | m | 5.849 | 26,693 | 5.830 | 26,885 |
| i | 7.025 | 27,595 | |||
| i | 7.775 | 28,236 | |||
| i | 8.725 | 28,891 | |||
| a | 100 | 31,302 | |||
| a (ex) | ∞ (3d + 2s) | 31,283 | |||
| 3 1Σu+ | m | 6.091 | 25,424 | 6.099 | 25,439 |
| i | 6.925 | 25,622 | |||
| M | 7.184 | 25,652 | |||
| i | 7.875 | 25,359 | |||
| m | 8.281 | 25,170 | 8.311 | 25,251 | |
| i | 9.075 | 25,779 | |||
| i | 14.95 | 27,727 | |||
| M | 15.40 | 27,748 | |||
| i | 16.00 | 27,740 | |||
| m | 17.55 | 27,723 | |||
| i | 23.35 | 28,834 | |||
| a | 100 | 30,961 | |||
| a (ex) | ∞ (3p + 2s) | 30,925 | |||
| 2 1Σu+ | m | 5.844 | 21,697 | 5.843 | 21,702 |
| i | 7.375 | 23,039 | |||
| M | 8.300 | 23,904 | |||
| i | 9.025 | 23,346 | |||
| m | 11.526 | 21,904 | 11.505 | 21,937 | |
| i | 15.725 | 23,976 | |||
| a | 100 | 27,237 | |||
| a (ex) | ∞ (3s + 2s) | 27,206 | |||
| 21Σu+ (J = 0) Inner Well | |||||||
|---|---|---|---|---|---|---|---|
| Gv (cm−1) | Bv (cm−1) | ||||||
| vi | Present | vi | Kasahara | Present-Kasahara | Present | Kasahara | Present-Kasahara |
| 0 | 129.0231 | 0 | 129.0751 | −0.0520 | 0.49949 | 0.49865 | 0.00084 |
| 1 | 384.0727 | 1 | 384.1343 | −0.0616 | 0.49330 | 0.49232 | 0.00098 |
| 2 | 634.7832 | 2 | 634.9956 | −0.2124 | 0.48671 | 0.48587 | 0.00084 |
| 3 | 880.0632 | 3 | 881.4854 | −1.4222 | 0.47933 | 0.47924 | 0.00009 |
| 4 | 1119.3332 | 4 | 1123.3140 | −3.9808 | 0.47200 | 0.47231 | −0.00031 |
| 5 | 1354.0883 | 5 | 1359.9908 | −5.9025 | 0.46547 | 0.46490 | 0.00057 |
| 6 | 1583.9713 | 6 | 1590.6952 | −6.7239 | 0.45733 | 0.45670 | 0.00063 |
| 7 | 1806.1984 | 7 | 1814.0597 | −7.8613 | 0.43857 | 0.44691 | −0.00834 |
| 8 | 2019.1734 | 8 | 2026.9763 | −7.8029 | 0.39926 | 0.38556 | 0.01370 |
| 21Σu+ (J = 0) Outer Well | |||||||
| Gv (cm−1) | Bv (cm−1) | ||||||
| vo | Present | vo | Kasahara | Present-Kasahara | Present | Kasahara | Present-Kasahara |
| 0 | 266.2942 | - | - | 0.12910 | - | - | |
| 1 | 383.2602 | 0 | 361.8034 | 21.4568 | 0.12901 | 0.13129 | −0.00125 |
| 2 | 499.2858 | 1 | 483.0413 | 16.2445 | 0.12891 | 0.13061 | −0.00131 |
| 3 | 614.2992 | 2 | 603.7395 | 10.5597 | 0.12879 | 0.13016 | −0.00153 |
| 4 | 728.3109 | 3 | 722.3377 | 5.9732 | 0.12868 | 0.13010 | −0.00180 |
| 5 | 841.2961 | 4 | 839.1467 | 2.1494 | 0.12856 | 0.13021 | −0.00248 |
| 6 | 953.2471 | 5 | 953.5825 | −0.3354 | 0.12846 | 0.13036 | −0.00349 |
| 7 | 1064.1449 | 6 | 1065.6593 | −1.5144 | 0.12836 | 0.13094 | −0.00427 |
| 8 | 1173.9686 | 7 | 1175.8812 | −1.9126 | 0.12829 | 0.13185 | −0.00433 |
| 9 | 1282.6964 | 8 | 1285.0167 | −2.3203 | 0.12825 | 0.13256 | −0.00362 |
| 10 | 1390.3004 | 9 | 1393.7730 | −3.4726 | 0.12826 | 0.13258 | −0.00272 |
| 11 | 1496.7460 | 10 | 1502.0048 | −5.2588 | 0.12832 | 0.13188 | −0.00237 |
| 12 | 1601.9835 | 11 | 1608.7631 | −6.7796 | 0.12848 | 0.13104 | −0.01001 |
| 13 | 1705.9445 | 12 | 1713.5840 | −7.6395 | 0.12878 | 0.13085 | 0.00548 |
| 14 | 1808.6007 | 13 | 1816.8750 | −8.2743 | 0.13818 | 0.13879 | −0.04630 |
| 15 | 1909.5915 | 14 | 1918.2592 | −8.6677 | 0.13042 | 0.13270 | 0.02033 |
| 16 | 2007.7026 | 15 | 2015.4642 | −7.7616 | 0.16340 | 0.17672 | −0.08919 |
| 17 | 2105.6652 | 16 | 2112.3711 | −6.7059 | 0.14045 | 0.14307 | −0.00160 |
| 17 | 2193.0165 | - | - | 0.22964 | - | ||
| State | Re | De | Te | Be | αe | ωe | ωexe | |
| (Å) | (cm−1) | (cm−1) | (cm−1) | (cm−1) | (cm−1) | (cm−1) | ||
| 21Σu+ Inner | Present | 3.092 | 5540 | 29,986.74 | 0.502 | 0.0052 | 258.7 | 1.60 |
| Kim [14] | 3.078 | 5702.6 | 30,144.3 | 0.507 | 0.0062 | 259.7 | 2.01 | |
| Lee [12] | 3.125 | 5568 | 29,653 | |||||
| Musial [13] | 3.093 | 5608 | 30,044 | 260 | ||||
| Jasik [9] | 3.081 | 5674.0 | 30,094.0 | 259.82 | ||||
| Linton [5] | 3.094 | 30,100.3 | 0.502 | 0.0066 | 259.9 | 2.23 | ||
| Exp. [8] | 3.096 | 30,101.407 | 0.502 | 0.0062 | 259.003 | 1.71 | ||
| 21Σu+ Outer | Present | 6.100 | 5333 | 30,194.00 | 0.129 | 4.978 × 10−5 | 117.9 | 0.4579 |
| Lee [12] | 6.072 | 5367 | 29,853 | |||||
| Musial [13] | 6.088 | 5389 | 30,261 | 118 | ||||
| Jasik [9] | 6.072 | 5413 | 30,285 | 119.05 | ||||
| Exp. [8] | 6.037 | 30,400.137 | ||||||
| 31Σu+ Inner | Present | 3.223 | 5537 | 33,713.25 | 0.465 | 0.0248 | 188.9 | - |
| Lee [12] | 3.288 | 5663 | 33,300 | |||||
| Musial [13] | 3.250 | 5628 | 33,762 | 193 | ||||
| 31Σu+ Outer | Present | 4.382 | 5791 | 33,460.00 | 0.249 | −0.0033 | 272.9 | - |
| Kim [14] | 4.351 | 5894 | 33,669.8 | 304.0 | ||||
| Lee [12] | 4.384 | 5872 | 33,091 | 306 | ||||
| Musial [13] | 4.360 | 5874 | 33,512 | |||||
| Jasik [9] | 4.369 | 5854 | 33,668.0 | 295.3 | ||||
| 41Σu+ | Present | 3.095 | 4663 | 34,982.61 | 0.4993 | 0.00250 | 262.4 | 6.6591 |
| 51Σu+ | Present | 3.173 | 6759 | 36,554.79 | 0.4775 | 0.0106 | 228.6 | 2.4409 |
| State | 21Σu+ Inner | 21Σu+ Outer | |
|---|---|---|---|
| Present | Kasahara | Present | |
| vmax | 4 | 13 | |
| jmax | 6 | 6 | |
| Errmax | 5.789 × 10−2 | 4.336 × 10−2 | |
| RMS | 4.898 × 10−3 | 2.794 × 10−3 | |
| Y00 | 0.04751 | 0.1101 | 207.5 |
| Y10 | 258.762 | 259.003 | 117.9 |
| Y20 | −1.606 | −1.7124 | −0.4579 |
| Y30 | −1.386 × 10−1 | −1.811 × 10−1 | −3.774 × 10−3 |
| Y01 | 0.5031 | 0.5016 | 0.1289 |
| Y11 | −6.896 × 10−3 | −6.247 × 10−3 | −4.9781 × 10−5 |
Publisher’s Note: MDPI stays neutral with regard to jurisdictional claims in published maps and institutional affiliations. |
© 2022 by the authors. Licensee MDPI, Basel, Switzerland. This article is an open access article distributed under the terms and conditions of the Creative Commons Attribution (CC BY) license (https://creativecommons.org/licenses/by/4.0/).
Share and Cite
Ahn Furudate, M.; Hagebaum-Reignier, D.; Kim, J.-T.; Jeung, G.-H. Resonant Ionic, Covalent Bond, and Steric Characteristics Present in 1Σu+ States of Li2. Molecules 2022, 27, 3514. https://doi.org/10.3390/molecules27113514
Ahn Furudate M, Hagebaum-Reignier D, Kim J-T, Jeung G-H. Resonant Ionic, Covalent Bond, and Steric Characteristics Present in 1Σu+ States of Li2. Molecules. 2022; 27(11):3514. https://doi.org/10.3390/molecules27113514
Chicago/Turabian StyleAhn Furudate, Michiko, Denis Hagebaum-Reignier, Jin-Tae Kim, and Gwang-Hi Jeung. 2022. "Resonant Ionic, Covalent Bond, and Steric Characteristics Present in 1Σu+ States of Li2" Molecules 27, no. 11: 3514. https://doi.org/10.3390/molecules27113514
APA StyleAhn Furudate, M., Hagebaum-Reignier, D., Kim, J.-T., & Jeung, G.-H. (2022). Resonant Ionic, Covalent Bond, and Steric Characteristics Present in 1Σu+ States of Li2. Molecules, 27(11), 3514. https://doi.org/10.3390/molecules27113514

