Acylglycerols of Myristic Acid as New Candidates for Effective Stigmasterol Delivery—Design, Synthesis, and the Influence on Physicochemical Properties of Liposomes
Abstract
1. Introduction
2. Results
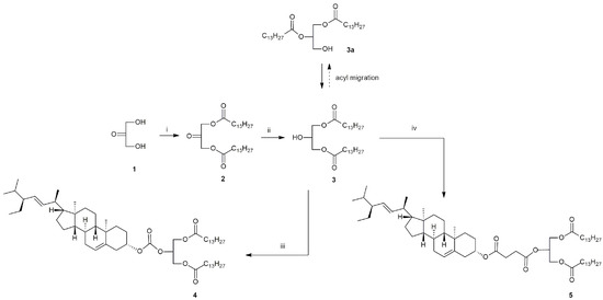
2.1. Synthesis
2.2. Biophysical Studies
2.2.1. Differential Scanning Calorimetry (DSC)
2.2.2. Steady-State Fluorescence Spectroscopy
3. Discussion
4. Materials and Methods
4.1. Chemicals
4.2. Analysis
4.3. Isolation of Trimyristin from Nutmeg
4.4. Hydrolysis of Trimyristin
4.5. Synthesis of Target Acylglycerols with Stigmasterol Residues
4.5.1. Preparation of 1,3-Dimyristoylpropanone (2)
4.5.2. Preparation of 1,3-Dimyristoylglycerol (3)
4.5.3. Preparation of 1,3-Dimyristoyl-2-stigmasterylcarbonoylglycerol (4)
4.5.4. Preparation of 1,3-Dimyristoyl-2-stigmasterylsuccinoylglycerol (5)
4.6. Liposome Preparation
4.7. Differential Scanning Calorimetry (DSC)
4.8. Steady-State Fluorescence Spectroscopy
5. Conclusions
Author Contributions
Funding
Institutional Review Board Statement
Informed Consent Statement
Data Availability Statement
Acknowledgments
Conflicts of Interest
Sample Availability
References
- Salehi, B.; Quispe, C.; Sharifi-Rad, J.; Cruz-Martins, N.; Nigam, M.; Mishra, A.P.; Konovalov, D.A.; Orobinskaya, V.; Abu-Reidah, I.M.; Zam, W.; et al. Phytosterols: From Preclinical Evidence to Potential Clinical Applications. Front. Pharmacol. 2021, 11, 599959. [Google Scholar] [CrossRef]
- Batta, A.K.; Xu, G.; Honda, A.; Miyazaki, T.; Salen, G. Stigmasterol reduces plasma cholesterol levels and inhibits hepatic synthesis and intestinal absorption in the rat. Metabolism 2006, 55, 292–299. [Google Scholar] [CrossRef] [PubMed]
- Lifsey, H.C.; Kaur, R.; Thompson, B.H.; Bennett, L.; Temel, R.E.; Graf, G.A. Stigmasterol stimulates transintestinal cholesterol excretion independent of liver X receptor activation in the small intestine. J. Nutr. Biochem. 2020, 76, 108263. [Google Scholar] [CrossRef] [PubMed]
- Feng, S.; Dai, Z.; Liu, A.B.; Huang, J.; Narsipur, N.; Guo, G.; Kong, B.; Reuhl, K.; Lu, W.; Luo, Z.; et al. Intake of stigmasterol and β-sitosterol alters lipid metabolism and alleviates NAFLD in mice fed a high-fat western-style diet. Biochim. Biophys. Acta-Mol. Cell Biol. Lipids 2018, 1863, 1274–1284. [Google Scholar] [CrossRef] [PubMed]
- Gabay, O.; Sanchez, C.; Salvat, C.; Chevy, F.; Breton, M.; Nourissat, G.; Wolf, C.; Jacques, C.; Berenbaum, F. Stigmasterol: A phytosterol with potential anti-osteoarthritic properties. Osteoarthr. Cartil. 2010, 18, 106–116. [Google Scholar] [CrossRef]
- Mo, Z.; Xu, P.; Li, H. Stigmasterol alleviates interleukin-1beta-induced chondrocyte injury by down-regulating sterol regulatory element binding transcription factor 2 to regulate ferroptosis. Bioengineered 2021, 12, 9332–9340. [Google Scholar] [CrossRef]
- Pratiwi, R.; Nantasenamat, C.; Ruankham, W.; Suwanjang, W.; Prachayasittikul, V.; Prachayasittikul, S.; Phopin, K. Mechanisms and Neuroprotective Activities of Stigmasterol Against Oxidative Stress-Induced Neuronal Cell Death via Sirtuin Family. Front. Nutr. 2021, 8, 648995. [Google Scholar] [CrossRef]
- Ward, M.G.; Li, G.; Barbosa-Lorenzi, V.C.; Hao, M. Stigmasterol prevents glucolipotoxicity induced defects in glucose-stimulated insulin secretion. Sci. Rep. 2017, 7, 9536. [Google Scholar] [CrossRef]
- Li, K.; Yuan, D.; Yan, R.; Meng, L.; Zhang, Y.; Zhu, K. Stigmasterol exhibits potent antitumor effects in human gastric cancer cells mediated via inhibition of cell migration, cell cycle arrest, mitochondrial mediated apoptosis and inhibition of JAK/STAT signalling pathway. J. BUON 2018, 23, 1420–1425. [Google Scholar]
- Kangsamaksin, T.; Chaithongyot, S.; Wootthichairangsan, C.; Hanchaina, R.; Tangshewinsirikul, C.; Svasti, J. Lupeol and stigmasterol suppress tumor angiogenesis and inhibit cholangiocarcinoma growth in mice via downregulation of tumor necrosis factor-α. PLoS ONE 2017, 12, e0189628. [Google Scholar] [CrossRef]
- Yenn, T.W.; Arslan Khan, M.; Amiera Syuhada, N.; Chean Ring, L.; Ibrahim, D.; Tan, W.N. Stigmasterol: An adjuvant for beta lactam antibiotics against beta-lactamase positive clinical isolates. Steroids 2017, 128, 68–71. [Google Scholar] [CrossRef]
- Torres, C.F.; Martin, D.; Torrelo, G.; Casado, V.; Fernandez, O.; Tenllado, D.; Vazquez, L.; I. Moran-Valero, M.; Reglero, G. Lipids as Delivery Systems to Improve the Biological Activity of Bioactive Ingredients. Curr. Nutr. Food Sci. 2011, 7, 160–169. [Google Scholar] [CrossRef]
- Maurelli, S.; Blasi, F.; Cossignani, L.; Bosi, A.; Simonetti, M.S.; Damiani, P. Enzymatic synthesis of structured triacylglycerols containing CLA isomers starting from sn-1,3-diacylglycerols. J. Am. Oil Chem. Soc. 2009, 86, 127–133. [Google Scholar] [CrossRef]
- Del Mar Muñío, M.; Robles, A.; Esteban, L.; González, P.A.; Molina, E. Synthesis of structured lipids by two enzymatic steps: Ethanolysis of fish oils and esterification of 2-monoacylglycerols. Process Biochem. 2009, 44, 723–730. [Google Scholar] [CrossRef]
- Houte, H.; Partali, V.; Sliwka, H.R.; Quartey, E.G.K. Synthesis of structured lipids and etherlipids with antioxidants: Combination of a selena fatty acid and a selena fatty alcohol with a carotenoic acid in glyceride molecules. Chem. Phys. Lipids 2000, 105, 105–113. [Google Scholar] [CrossRef]
- Sari, M.; Chung, Y.; Agatha, F.; Kim, H.K. Evaluation of antioxidant and antimicrobial activity of phenolic lipids produced by the transesterification of 4-hydroxyphenylacetic acid and triglycerides. Appl. Biol. Chem. 2019, 62. [Google Scholar] [CrossRef]
- Zhang, S.; Hyatt, J.R.; Akoh, C.C. Solvent-free enzymatic synthesis of 1,2-dipalmitoylgalloylglycerol: Characterization and optimization of reaction condition. Food Chem. 2021, 344, 128604. [Google Scholar] [CrossRef]
- Khan, M.S.Y.; Akhter, M. Synthesis, pharmacological activity and hydrolytic behavior of glyceride prodrugs of ibuprofen. Eur. J. Med. Chem. 2005, 40, 371–376. [Google Scholar] [CrossRef]
- Redasani, V.K.; Bari, S.B. Synthesis and evaluation of glyceride prodrugs of naproxen. Open J. Med. Chem. 2013, 3, 87–92. [Google Scholar] [CrossRef][Green Version]
- Huang, Z.; Jaafari, M.R.; Szoka, F.C. Disterolphospholipids: Nonexchangeable lipids and their application to liposomal drug delivery. Angew. Chem. Int. Ed. Engl. 2009, 48, 4146–4149. [Google Scholar] [CrossRef]
- Iman, M.; Huang, Z.; Szoka, F.C.; Jaafari, M.R. Characterization of the colloidal properties, in vitro antifungal activity, antileishmanial activity and toxicity in mice of a distigmasterylhemisuccinoyl- glycero-phosphocholine liposome-intercalated amphotericin B. Int. J. Pharm. 2011, 408, 163–172. [Google Scholar] [CrossRef] [PubMed]
- Rudzińska, M.; Grudniewska, A.; Chojnacka, A.; Gładkowski, W.; Maciejewska, G.; Olejnik, A.; Kowalska, K. Distigmasterol-Modified Acylglycerols as New Structured Lipids—Synthesis, Identification and Cytotoxicity. Molecules 2021, 26, 6837. [Google Scholar] [CrossRef] [PubMed]
- Rioux, V.; Pédrono, F.; Legrand, P. Regulation of mammalian desaturases by myristic acid: N-terminal myristoylation and other modulations. Biochim. Biophys. Acta-Mol. Cell Biol. Lipids 2011, 1811, 1–8. [Google Scholar] [CrossRef] [PubMed]
- Rioux, V. Fatty acid acylation of proteins: Specific roles for palmitic, myristic and caprylic acids. OCL—Oilseeds Fats Crop. Lipids 2016, 23, D304. [Google Scholar] [CrossRef]
- Contreras, C.M.; Rodríguez-Landa, J.F.; García-Ríos, R.I.; Cueto-Escobedo, J.; Guillen-Ruiz, G.; Bernal-Morales, B. Myristic Acid Produces Anxiolytic-Like Effects in Wistar Rats in the Elevated Plus Maze. BioMed Res. Int. 2014, 2014, 492141. [Google Scholar] [CrossRef]
- Neises, B.; Steglich, W. Simple Method for the Esterification of Carboxylic Acids. Angew. Chem. Int. Ed. Eng. 1978, 17, 522–524. [Google Scholar] [CrossRef]
- Cockman, S.J.; Joll, C.A.; Mortimer, B.C.; Redgrave, T.G.; Stick, R.V. The Synthesis of Some Esters of Glycerol with Special Attention to the Problem of Acyl Migration. Aust. J. Chem. 1990, 43, 2093–2097. [Google Scholar] [CrossRef]
- Yang, T.; Fruekilde, M.B.; Xu, X. Suppression of acyl migration in enzymatic production of structured lipids through temperature programming. Food Chem. 2005, 92, 101–107. [Google Scholar] [CrossRef]
- Mao, J.; Hu, Z.; Hu, J.; Zhu, X.; Xiong, H. A Density Functional Theory (DFT) study of the acyl migration occurring during lipase-catalyzed transesterifications. Int. J. Mol. Sci. 2019, 20, 3438. [Google Scholar] [CrossRef]
- Forgo, P.; Kövér, K.E. Gradient enhanced selective experiments in the 1H NMR chemical shift assignment of the skeleton and side-chain resonances of stigmasterol, a phytosterol derivative. Steroids 2004, 69, 43–50. [Google Scholar] [CrossRef]
- Parasassi, T.; De Stasio, G.; Ravagnan, G.; Rusch, R.M.; Gratton, E. Quantitation of lipid phases in phospholipid vesicles by the generalized polarization of Laurdan fluorescence. Biophys. J. 1991, 60, 179–189. [Google Scholar] [CrossRef]
- Parasassi, T.; Krasnowska, E.K.; Bagatolli, L.; Gratton, E. Laurdan and Prodan as Polarity-Sensitive Fluorescent Membrane Probes. J. Fluoresc. 1998, 8, 365–373. [Google Scholar] [CrossRef]
- McPhie, P. Principles of Fluorescence Spectroscopy, Second ed. Joseph R. Lakowicz. Anal. Biochem. 2000, 287, 353–354. [Google Scholar] [CrossRef]
- Wu, R.; Chen, L.; Yu, Z.; Quinn, P.J. Phase diagram of stigmasterol-dipalmitoylphosphatidylcholine mixtures dispersed in excess water. Biochim. Biophys. Acta-Biomembr. 2006, 1758, 764–771. [Google Scholar] [CrossRef] [PubMed]
- Jovanović, A.A.; Balanč, B.D.; Ota, A.; Ahlin Grabnar, P.; Djordjević, V.B.; Šavikin, K.P.; Bugarski, B.M.; Nedović, V.A.; Poklar Ulrih, N. Comparative Effects of Cholesterol and β-Sitosterol on the Liposome Membrane Characteristics. Eur. J. Lipid Sci. Technol. 2018, 120, 1800039. [Google Scholar] [CrossRef]
- Demel, R.; De Kruyff, B. The function of sterols in membranes. Biochim. Biophys. Acta 1976, 457, 109–132. [Google Scholar] [CrossRef]
- Papahadjopoulos, D.; Jacobson, K.; Nir, S.; Isac, I. Phase transitions in phospholipid vesicles fluorescence polarization and permeability measurements concerning the effect of temperature and cholesterol. BBA-Biomembr. 1973, 311, 330–348. [Google Scholar] [CrossRef]
- Virden, J.W.; Berg, J.C. NaCl-induced Aggregation of Dipalmitoylphosphatidylglycerol Small Unilamellar Vesicles with Varying Amounts of Incorporated Cholesterol. Langmuir 1992, 8, 1532–1537. [Google Scholar] [CrossRef]
- Liu, D.Z.; Chen, W.Y.; Tasi, L.M.; Yang, S.P. Microcalorimetric and shear studies on the effects of cholesterol on the physical stability of lipid vesicles. Colloids Surf. A Physicochem. Eng. Asp. 2000, 172, 57–67. [Google Scholar] [CrossRef]
- Mohammed, A.R.; Weston, N.; Coombes, A.G.A.; Fitzgerald, M.; Perrie, Y. Liposome formulation of poorly water soluble drugs: Optimisation of drug loading and ESEM analysis of stability. Int. J. Pharm. 2004, 285, 23–34. [Google Scholar] [CrossRef]
- Briuglia, M.L.; Rotella, C.; McFarlane, A.; Lamprou, D.A. Influence of cholesterol on liposome stability and on in vitro drug release. Drug Deliv. Transl. Res. 2015, 5, 231–242. [Google Scholar] [CrossRef] [PubMed]
- Halling, K.K.; Slotte, J.P. Membrane properties of plant sterols in phospholipid bilayers as determined by differential scanning calorimetry, resonance energy transfer and detergent-induced solubilization. Biochim. Biophys. Acta-Biomembr. 2004, 1664, 161–171. [Google Scholar] [CrossRef] [PubMed]
- Hodzic, A.; Rappolt, M.; Amenitsch, H.; Laggner, P.; Pabst, G. Differential modulation of membrane structure and fluctuations by plant sterols and cholesterol. Biophys. J. 2008, 94, 3935–3944. [Google Scholar] [CrossRef] [PubMed]
- Zhao, L.; Temelli, F.; Curtis, J.M.; Chen, L. Preparation of liposomes using supercritical carbon dioxide technology: Effects of phospholipids and sterols. Food Res. Int. 2015, 77, 63–72. [Google Scholar] [CrossRef]
- Silva, C.; Aranda, F.J.; Ortiz, A.; Martínez, V.; Carvajal, M.; Teruel, J.A. Molecular aspects of the interaction between plants sterols and DPPC bilayers. An experimental and theoretical approach. J. Colloid Interface Sci. 2011, 358, 192–201. [Google Scholar] [CrossRef]
- Altunayar Unsalan, C.; Sahin, I.; Kazanci, N. A concentration dependent spectroscopic study of binary mixtures of plant sterol stigmasterol and zwitterionic dimyristoyl phosphatidylcholine multilamellar vesicles: An FTIR study. J. Mol. Struct. 2018, 1174, 127–132. [Google Scholar] [CrossRef]
- Chojnacka, A.; Gładkowski, W. Production of structured phosphatidylcholine with high content of myristic acid by lipase-catalyzed acidolysis and interesterification. Catalysts 2018, 8, 281. [Google Scholar] [CrossRef]
- Kargar, M.; Hekmatshoar, R.; Ghandi, M.; Mostashari, A. Use of glycerol carbonate in an efficient, one-pot and solvent free synthesis of 1,3-sn-diglycerides. J. Am. Oil Chem. Soc. 2013, 90, 259–264. [Google Scholar] [CrossRef]
- Lee, J.D.; Ueno, M.; Miyajima, Y.; Nakamura, H. Synthesis of boron cluster lipids: Closo-dodecaborate as an alternative hydrophilic function of boronated liposomes for neutron capture therapy. Org. Lett. 2007, 9, 323–326. [Google Scholar] [CrossRef]
- Pruchnik, H.; Gliszczyńska, A.; Włoch, A. Evaluation of the physico-chemical properties of liposomes assembled from bioconjugates of anisic acid with phosphatidylcholine. Int. J. Mol. Sci. 2021, 22, 13146. [Google Scholar] [CrossRef]
- Pruchnik, H.; Włoch, A.; Zyłka, R.; Oszmiański, J.; Kleszczyńska, H. Interaction of skullcap (Scutellaria baicalensis Georgi) and buckwheat (Fagopyrum esculentum Moench) extracts with lipid bilayers. J. Therm. Anal. Calorim. 2015, 121, 475–484. [Google Scholar] [CrossRef][Green Version]





Publisher’s Note: MDPI stays neutral with regard to jurisdictional claims in published maps and institutional affiliations. |
© 2022 by the authors. Licensee MDPI, Basel, Switzerland. This article is an open access article distributed under the terms and conditions of the Creative Commons Attribution (CC BY) license (https://creativecommons.org/licenses/by/4.0/).
Share and Cite
Gładkowski, W.; Włoch, A.; Pruchnik, H.; Chojnacka, A.; Grudniewska, A.; Wysota, A.; Dunal, A.; Rubiano Castro, D.; Rudzińska, M. Acylglycerols of Myristic Acid as New Candidates for Effective Stigmasterol Delivery—Design, Synthesis, and the Influence on Physicochemical Properties of Liposomes. Molecules 2022, 27, 3406. https://doi.org/10.3390/molecules27113406
Gładkowski W, Włoch A, Pruchnik H, Chojnacka A, Grudniewska A, Wysota A, Dunal A, Rubiano Castro D, Rudzińska M. Acylglycerols of Myristic Acid as New Candidates for Effective Stigmasterol Delivery—Design, Synthesis, and the Influence on Physicochemical Properties of Liposomes. Molecules. 2022; 27(11):3406. https://doi.org/10.3390/molecules27113406
Chicago/Turabian StyleGładkowski, Witold, Aleksandra Włoch, Hanna Pruchnik, Anna Chojnacka, Aleksandra Grudniewska, Agnieszka Wysota, Anna Dunal, Daniel Rubiano Castro, and Magdalena Rudzińska. 2022. "Acylglycerols of Myristic Acid as New Candidates for Effective Stigmasterol Delivery—Design, Synthesis, and the Influence on Physicochemical Properties of Liposomes" Molecules 27, no. 11: 3406. https://doi.org/10.3390/molecules27113406
APA StyleGładkowski, W., Włoch, A., Pruchnik, H., Chojnacka, A., Grudniewska, A., Wysota, A., Dunal, A., Rubiano Castro, D., & Rudzińska, M. (2022). Acylglycerols of Myristic Acid as New Candidates for Effective Stigmasterol Delivery—Design, Synthesis, and the Influence on Physicochemical Properties of Liposomes. Molecules, 27(11), 3406. https://doi.org/10.3390/molecules27113406

