Modelling the Interaction between Carboxylic Acids and Zinc Oxide: Insight into Degradation of ZnO Pigments
Abstract
1. Introduction
2. Models and Computational Methodologies
3. Results and Discussion
3.1. Interaction between Acetic Acid/Acetate and ZnO
3.2. Zn Carboxylation Reactions
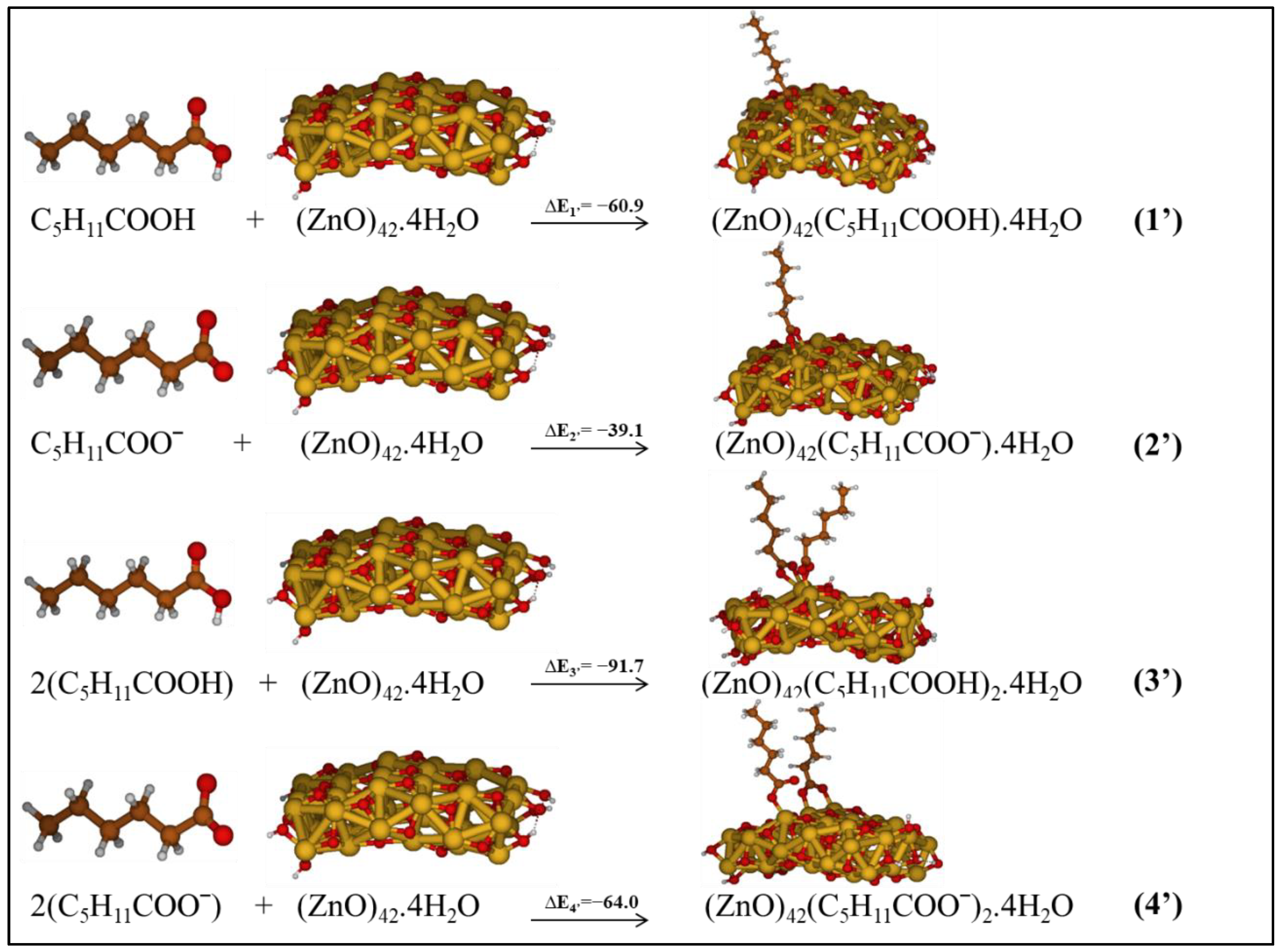
3.3. Acetic vs. Hexanoic Acid Reactivity
4. Conclusions
Supplementary Materials
Author Contributions
Funding
Institutional Review Board Statement
Informed Consent Statement
Data Availability Statement
Conflicts of Interest
Sample Availability
References
- Foster, G.M.; Ritchie, S.; Lowe, C. Controlled temperature and relative humidity dynamic mechanical analysis of paint films. J. Therm. Anal. Calorim. 2003, 73, 119–126. [Google Scholar] [CrossRef]
- Ormsby, B.; Foster, G.; Learner, T.; Ritchie, S.; Schilling, M. Improved controlled relative humidity dynamic mechanical analysis of artists’ acrylic emulsion paints—Part II. General properties and accelerated ageing. J. Therm. Anal. Calorim. 2007, 90, 503–508. [Google Scholar] [CrossRef]
- Garrappa, S.; Kočí, E.; Švarcová, S.; Bezdička, P.; Hradil, D. Initial stages of metal soaps’ formation in model paints: The role of humidity. Microchem. J. 2020, 156, 104842. [Google Scholar] [CrossRef]
- Miliani, C.; Monico, L.; Melo, M.J.; Fantacci, S.; Angelin, E.M.; Romani, A.; Janssens, K. Photochemistry of ArtistsQ Dyes and Pigments: Towards Better Understanding and Prevention of Colour Change in Works of Art. Angew. Chem. Int. Ed. 2018, 57, 7324–7334. [Google Scholar] [CrossRef]
- Hedley, G.; Odlyha, M.; Burnstock, A.; Tillinghast, J.; Husband, C. A study of the Mechanical and Surface Properties of Oil Paint Films Treated with Organic Solvents and Water. Stud. Conserv. 1990, 35, 98–105. [Google Scholar] [CrossRef]
- Phenix, A.; Sutherland, K. The cleaning of paintings: Effects of organic solvents on oil paint films. Stud. Conserv. 2001, 46, 47–60. [Google Scholar] [CrossRef]
- Baij, L.; Hermans, J.; Ormsby, B.; Noble, P.; Iedema, P.; Keune, K. A review of solvent action on oil paint. Herit. Sci. 2020, 8, 43. [Google Scholar] [CrossRef]
- Casadio, F.; Keune, K.; Noble, P.; van Loon, A.; Hendriks, E.; Centeno, S.A.; Osmond, G. Metal Soaps in Art: Conservation and Research; Springer International Publishing: Berlin/Heidelberg, Germany, 2019. [Google Scholar]
- Burnstock, A.; van den Berg, K.J. Twentieth Century Oil Paint. The Interface between Science and Conservation and the Challenges for Modern Oil Paint Research; Springer: New York, NY, USA, 2014. [Google Scholar]
- Osmond, G. Zinc white: A review of zinc oxide pigment properties and implications for stability in oil-based paintings. AICCM Bull. 2012, 33, 20–29. [Google Scholar] [CrossRef]
- Osmond, G.; Boon, J.J.; Puskar, L. Metal stearate distributions in modern artists’ oil paints: Surface and cross-sectional investigation of reference paint films using conventional and synchrotron infrared microspectroscopy. J. Drennan Appl. Spectrosc. 2012, 66, 1136–1144. [Google Scholar] [CrossRef]
- Baij, L.; Hermans, J.J.; Keune, K.; Iedema, P. Time-Dependent ATR-FTIR Spectroscopic Studies on Fatty Acid Diffusion and the Formation of Metal Soaps in Oil Paint Model Systems. Angew. Chem. Int. Ed. 2018, 57, 7351–7354. [Google Scholar] [CrossRef]
- Gabrieli, F.; Rosi, F.; Vichi, A.; Cartechini, L.; Buemi, L.P.; Kazarian, S.G.; Miliani, C. Revealing the Nature and Distribution of Metal Carboxylates in Jackson Pollock’s Alchemy (1947) by Micro-Attenuated Total Reflection FT-IR Spectroscopic Imaging. Anal. Chem. 2017, 89, 1283–1289. [Google Scholar] [CrossRef]
- Poli, T.; Chiantore, O.; Diana, E.; Piccirillo, A. Drying Oil and Natural Varnishes in Paintings: A Competition in the Metal Soap Formation. Coatings 2021, 11, 171. [Google Scholar] [CrossRef]
- Artesani, A. Zinc oxide instability in drying oil paint. Mater. Chem. Phys. 2020, 255, 123640. [Google Scholar] [CrossRef]
- Hermans, J.J. Metal Soaps in Oil Point Structure, Mechanisms and Dynamics. Ph.D. Thesis, University of Amsterdam, Amsterdam, The Netherlands, 2017. [Google Scholar]
- Hermans, J.J.; Keune, K.; van Loon, A.; Iedema, P.D. An infrared spectroscopic study of the nature of zinc carboxylates in oil paintings. J. Anal. At. Spectrom. 2015, 30, 1600–1608. [Google Scholar] [CrossRef]
- Hermans, J.J.; Keune, K.; van Loon, A.; Iedema, P.D. The crystallization of metal soaps and fatty acids in oil paint model systems. RSC Adv. 2016, 18, 10896–10905. [Google Scholar] [CrossRef]
- Hermans, J.J.; Keune, K.; van Loon, A.; Corkery, R.W.; Iedema, P.D. Ionomer-like structure in mature oil paint binding Media. RSC Adv. 2016, 6, 93363–93369. [Google Scholar] [CrossRef]
- Baij, L.; Chassouant, L.; Hermans, J.J.; Keune, K.; Iedema, P.D. The concentration and origins of carboxylic acid groups in oil paint. RSC Adv. 2019, 9, 35559–35564. [Google Scholar] [CrossRef]
- Beerse, M.; Keune, K.; Iedema, P.; Woutersen, S.; Hermans, J. Evolution of Zinc Carboxylate Species in Oil Paint Ionomers. ACS Appl. Polym. Mater. 2020, 2, 5674–5685. [Google Scholar] [CrossRef]
- Amat, A.; de Angelis, F. Challenges in the simulation of dye-sensitized ZnO solar cells: Quantum confinement, alignment of energy levels and excited state nature at the dye/semiconductor interface. Phys. Chem. Chem. Phys. 2012, 14, 10662–10668. [Google Scholar] [CrossRef][Green Version]
- Frisch, M.J.; Trucks, G.W.; Schlegel, H.B.; Scuseria, G.E.; Robb, M.A.; Cheeseman, J.R.; Scalmani, G.; Barone, V.; Mennucci, B.; Petersson, G.A.; et al. Gaussian 09; Gaussian, Inc.: Wallingford, CT, USA, 2009. [Google Scholar]
- Becke, A.D. Density-functional thermochemistry. III. The role of exact exchange. J. Chem. Phys. 1993, 98, 5648–5652. [Google Scholar] [CrossRef]
- Lee, C.; Yang, W.; Parr, R.G. Development of the Colle-Salvetti correlation-energy formula into a functional of the electron density. Phys. Rev. B 1988, 37, 785–789. [Google Scholar] [CrossRef] [PubMed]
- Godbout, N.; Salahub, D.R.; Andzelm, J.; Wimmer, E. Optimization of Gaussian-type basis sets for local spin density functional calculations. Part I. Boron through neon, optimization technique and validation. Can. J. Chem. 1992, 70, 560–571. [Google Scholar] [CrossRef]
- Sosa, C.; Andzelm, J.; Elkin, B.C.; Wimmer, E.; Dobbs, K.D.; Dixon, D.A. A local density functional study of the structure and vibrational frequencies of molecular transition-metal compounds. J. Phys. Chem. 1992, 96, 6630–6636. [Google Scholar] [CrossRef]
- Scalmani, G.; Frisch, M.J. Continuous surface charge polarizable continuum models of solvation. I. General formalism. J. Chem. Phys. 2010, 132, 114110. [Google Scholar] [CrossRef]
- O’hare, G.A.; Hess, P.S.; Kopacki, A.F. Industrial Oil and Fat Products. J. Am. Oil. Chem. Soc. 1949, 26, 484–488. [Google Scholar] [CrossRef]
- Kühne, T.D.; Iannuzzi, M.; Del Ben, M.; Rybkin, V.V.; Seewald, P.; Stein, F.; Laino, T.; Khaliullin, R.Z.; Schütt, O.; Schiffmann, F.; et al. CP2K: An electronic structure and molecular dynamics software package—Quickstep: Efficient and accurate electronic structure calculations. J. Chem. Phys. 2020, 152, 194103. [Google Scholar] [CrossRef]
- Perdew, J.P.; Burke, K.; Ernzerhof, M. Generalized Gradient Approximation Made Simple. Phys. Rev. Lett. 1996, 77, 3865. [Google Scholar] [CrossRef]
- Hermans, J.J.; Keune, K.; Van Loon, A.; Iedema, P.D. Towards a complete molecular model for the formation of metal soaps in oil paints. In Metal Soaps in Art; Casadio, F., Keune, K., Noble, P., van Loon, A., Hendriks, E., Centeno, S.A., Osmond, G., Eds.; Springer: Berlin/Heidelberg, Germany, 2019. [Google Scholar]
- Hedberg, J.; Henriquez, J.; Baldelli, S.; Johnson, C.M.; Leygraf, C. Initial Atmospheric Corrosion of Zinc Exposed to Formic Acid, Investigated by in Situ Vibrational Sum Frequency Spectroscopy and Density Functional Theory Calculations. J. Phys. Chem. C 2009, 113, 2088–2095. [Google Scholar] [CrossRef]
- Dominguez, A.; Holthaus, S.G.; Koppen, S.; Frauenheim, T.; da Rosa, A.L. The role of water co-adsorption on the modification of ZnO nanowires using acetic acid. Phys. Chem. Chem. Phys. 2014, 16, 8509–8514. [Google Scholar] [CrossRef]
- Persson, P.; Ojamae, L. Periodic Hartree–Fock study of the adsorption of formic acid on ZnO(1010). Chem. Phys. Lett. 2000, 321, 302–308. [Google Scholar] [CrossRef]
- Persson, P.; Lunell, S.; Ojamae, L. Quantum chemical prediction of the adsorption conformations and dynamics at HCOOH-covered ZnO(1010) surfaces. Int. J. Quantum Chem. 2002, 89, 172–180. [Google Scholar] [CrossRef]
- Sengul, M.Y.; Randall, C.A.; van Duin, A.C.T. ReaxFF Molecular Dynamics Study on the Influence of Temperature on Adsorption, Desorption, and Decomposition at the Acetic Acid/Water/ZnO() Interface Enabling Cold Sintering. ACS Appl. Mater. Interfaces 2018, 10, 37717–37724. [Google Scholar] [CrossRef]
- Nakatsuji, H.; Yoshimoto, M.; Umemura, Y.; Takagi, S.; Hada, M. Theoretical Study of the Chemisorption and Surface Reaction of HCOOH on a ZnO(1010) Surface. J. Phys. Chem. 1996, 100, 694–700. [Google Scholar] [CrossRef]
- Buchholz, M.; Li, Q.; Noei, H.; Nefedov, A.; Wang, Y.; Muhler, M.; Fink, K.; Woll, C. The Interaction of Formic Acid with Zinc Oxide: A Combined Experimental and Theoretical Study on Single Crystal and Powder Samples. Top. Catal. 2015, 58, 174–183. [Google Scholar] [CrossRef]
- Salimi, H.; Peyghan, A.A.; Noei, M. Adsorption of Formic Acid and Formate Anion on ZnO Nanocage: A DFT Study. J. Clust. Sci. 2015, 26, 609–621. [Google Scholar] [CrossRef]
- Li, Z.; Yuan, H.; Sun, Y.; Zhang, J.; Li, Z.; Shao, X. Dissociative adsorption and linear organization of formic acid on ZnO (10-10) surface. J. Catal. 2020, 390, 109–116. [Google Scholar] [CrossRef]
- Islam, M.M.; Diawara, B.; Marcus, P.; Costa, D. Synergy between iono-covalent bonds and van der Waals interactions in SAMs formation: A first-principles study of adsorption of carboxylic acids on the Zn-ZnO(0001) surface. Catal. Today 2011, 177, 39–49. [Google Scholar] [CrossRef]
- Zhang, T.; Wojtal, P.; Rubel, O.; Zhitomirsky, I. Density functional theory and experimental studies of caffeic acid adsorption on zinc oxide and titanium dioxide nanoparticles. RSC Adv. 2015, 5, 106877–106885. [Google Scholar] [CrossRef]
- Lenz, A.; Selegard, L.; Soderlind, F.; Larsson, A.; Holtz, P.O.; Uvdal, K.; Ojamae, L.; Kall, P. ZnO Nanoparticles Functionalized with Organic Acids: An Experimental and Quantum-Chemical Study. J. Phys. Chem. C 2009, 113, 17332–17341. [Google Scholar] [CrossRef]
- Hermans, J.J.; Baij, L.; Koenis, M.; Keune, K.; Iedema, P.D.; Woutersen, S. 2D-IR spectroscopy for oil paint conservation: Elucidating the water-sensitive structure of zinc carboxylate clusters in ionomers. Sci. Adv. 2019, 5, eaaw3592. [Google Scholar] [CrossRef]
- Hermans, J.J.; Keune, K.; van Loon, A.; Corkery, R.W.; Iedema, P.D. The molecular structure of three types of long-chain zinc(II) alkanoates for the study of oil paint degradation. Polyhedron 2014, 81, 335–340. [Google Scholar] [CrossRef]
- Hermans, J.; Osmond, G.; van Loon, A.; Iedema, P.; Chapman, R.; Drennan, J.; Jack, K.; Rasch, R.; Morgan, G.; Zhang, Z.; et al. Electron Microscopy Imaging of Zinc Soaps Nucleation in Oil Plant. Microsc. Microanal. 2018, 24, 318–322. [Google Scholar] [CrossRef] [PubMed]
- Eliseeva, A.A.; Ivanov, D.M.; Novikov, A.S.; Kukushkin, V.Y. Recognition of the π-hole donor ability of iodopentafluorobenzene—A conventional σ-hole donor for crystal engineering involving halogen bonding. CrystEngComm 2019, 21, 616. [Google Scholar] [CrossRef]
- Svahn, N.; Moro, A.J.; Roma-Rodrigues, C.; Puttreddy, R.; Rissanen, K.; Baptista, P.V.; Fernandes, A.R.; Lima, J.C.; Rodríguez, L. The Important Role of the Nuclearity, Rigidity, and Solubility of Phosphane Ligands in the Biological Activity of Gold(I) Complexes. Chem.—Eur. J. 2018, 24, 14707–14711. [Google Scholar] [CrossRef]
- Kolari, K.; Sahamies, J.; Kalenius, E.; Novikov, A.S.; Kukushkin, V.Y.; Haukka, M. Metallophilic interactions in polymeric group 11 thiols. Solid State Sci. 2016, 60, 92–98. [Google Scholar] [CrossRef]









Publisher’s Note: MDPI stays neutral with regard to jurisdictional claims in published maps and institutional affiliations. |
© 2022 by the authors. Licensee MDPI, Basel, Switzerland. This article is an open access article distributed under the terms and conditions of the Creative Commons Attribution (CC BY) license (https://creativecommons.org/licenses/by/4.0/).
Share and Cite
Lubani, J.; De Angelis, F.; Meggiolaro, D.; Cartechini, L.; Fantacci, S. Modelling the Interaction between Carboxylic Acids and Zinc Oxide: Insight into Degradation of ZnO Pigments. Molecules 2022, 27, 3362. https://doi.org/10.3390/molecules27113362
Lubani J, De Angelis F, Meggiolaro D, Cartechini L, Fantacci S. Modelling the Interaction between Carboxylic Acids and Zinc Oxide: Insight into Degradation of ZnO Pigments. Molecules. 2022; 27(11):3362. https://doi.org/10.3390/molecules27113362
Chicago/Turabian StyleLubani, Jihan, Filippo De Angelis, Daniele Meggiolaro, Laura Cartechini, and Simona Fantacci. 2022. "Modelling the Interaction between Carboxylic Acids and Zinc Oxide: Insight into Degradation of ZnO Pigments" Molecules 27, no. 11: 3362. https://doi.org/10.3390/molecules27113362
APA StyleLubani, J., De Angelis, F., Meggiolaro, D., Cartechini, L., & Fantacci, S. (2022). Modelling the Interaction between Carboxylic Acids and Zinc Oxide: Insight into Degradation of ZnO Pigments. Molecules, 27(11), 3362. https://doi.org/10.3390/molecules27113362

