New Screening Protocol for Effective Green Solvents Selection of Benzamide, Salicylamide and Ethenzamide
Abstract
1. Introduction
2. Results and Discussion
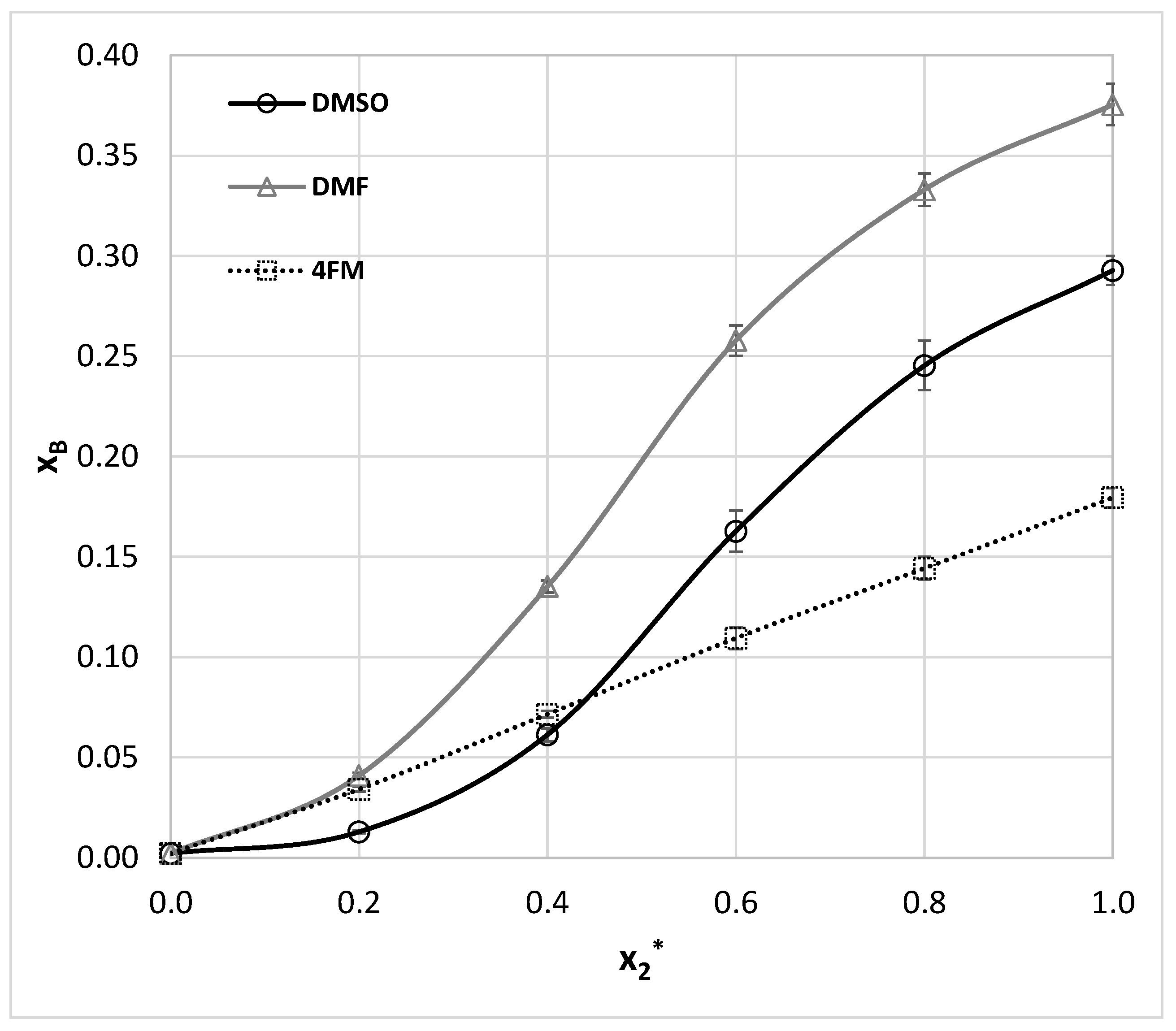
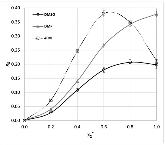
2.1. Benzamide
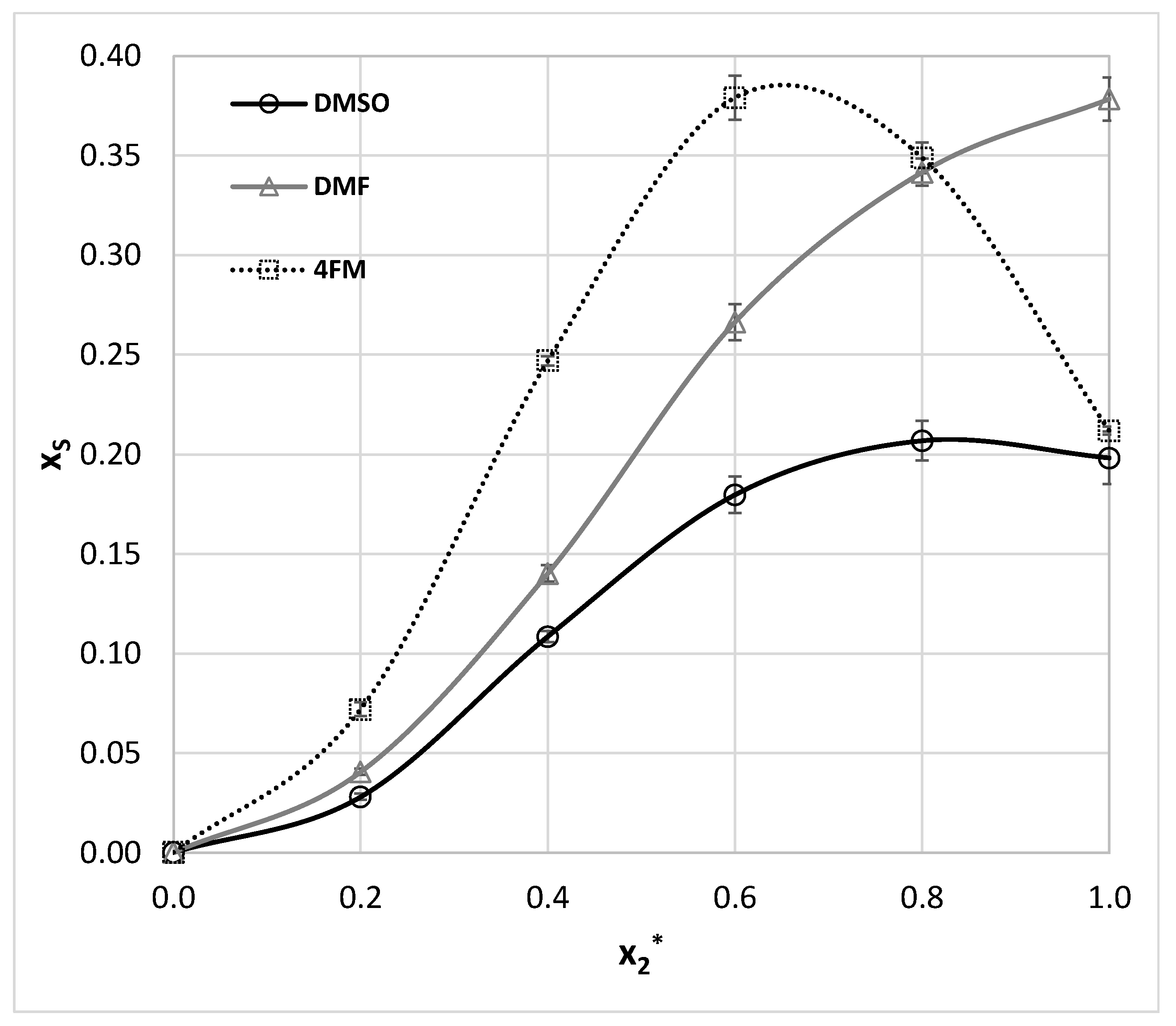
2.2. Salicylamide
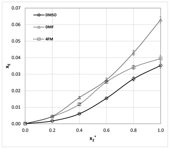
2.3. Ethenzamide
3. Materials and Methods
3.1. Chemicals
3.2. Solubility Measurements Procedure
3.3. Solid Residues Analysis
3.4. Calculation Details
4. Conclusions
Supplementary Materials
Author Contributions
Funding
Institutional Review Board Statement
Informed Consent Statement
Data Availability Statement
Conflicts of Interest
References
- Janardhan, S.; Ram Vivek, M.; Narahari Sastry, G. Modeling the permeability of drug-like molecules through the cell wall of: Mycobacterium tuberculosis: An analogue based approach. Mol. Biosyst. 2016, 12, 3377–3384. [Google Scholar] [CrossRef] [PubMed]
- DrugBank. Available online: https://go.drugbank.com/ (accessed on 25 April 2022).
- Wishart, D.S.; Knox, C.; Guo, A.C.; Shrivastava, S.; Hassanali, M.; Stothard, P.; Chang, Z.; Woolsey, J. DrugBank: A comprehensive resource for in silico drug discovery and exploration. Nucl. Acids Res. 2006, 34, D668–D672. [Google Scholar] [CrossRef] [PubMed]
- Wang, P.J.; Guo, H.R. Frequent analgesics consumption in migraineurs: Comparison between chronic and episodic migraineurs. J. Headache Pain 2004, 5, 30–35. [Google Scholar] [CrossRef]
- Huang, B.C.; Lien, M.H.; Wang, P.Y.; Chang, B.L. Interference by drugs contained in over-the-counter cold syrups on methamphetamine immunoassay test kits used in drug abuse assessment. J. Food Drug Anal. 1995, 3, 259–268. [Google Scholar] [CrossRef]
- Batterman, R.C.; Grossman, A.J. Effectiveness of salicylamide as an analgesic and antirheumatic agent: Evaluation of the double blindfold technique for studying analgesic drugs. J. Am. Med. Assoc. 1955, 159, 1619–1622. [Google Scholar] [CrossRef]
- Kozak, A.; Marek, P.H.; Pindelska, E. Structural Characterization and Pharmaceutical Properties of Three Novel Cocrystals of Ethenzamide With Aliphatic Dicarboxylic Acids. J. Pharm. Sci. 2019, 108, 1476–1485. [Google Scholar] [CrossRef]
- Surov, A.O.; Manin, A.N.; Voronin, A.P.; Churakov, A.V.; Perlovich, G.L.; Vener, M.V. Weak Interactions Cause Packing Polymorphism in Pharmaceutical Two-Component Crystals. the Case Study of the Salicylamide Cocrystal. Cryst. Growth Des. 2017, 17, 1425–1437. [Google Scholar] [CrossRef]
- Ouyang, J.; Zhou, L.; Liu, Z.; Xiao, S.; Huang, X.; Heng, J.Y.Y. Solubility determination and modelling of benzamide in organic solvents at temperatures from 283.15 K and 323.15 K, and ternary phase diagrams of benzamide-benzoic acid cocrystals in ethanol at 298.15 K. J. Mol. Liq. 2019, 286, 110855. [Google Scholar] [CrossRef]
- Przybyłek, M.; Ziółkowska, D.; Mroczyńska, K.; Cysewski, P. Propensity of salicylamide and ethenzamide cocrystallization with aromatic carboxylic acids. Eur. J. Pharm. Sci. 2016, 85, 132–140. [Google Scholar] [CrossRef]
- Cysewski, P.; Przybyłek, M.; Ziółkowska, D.; Mroczyńska, K. Exploring the cocrystallization potential of urea and benzamide. J. Mol. Model. 2016, 22, 103. [Google Scholar] [CrossRef]
- Przybyłek, M.; Ziółkowska, D.; Kobierski, M.; Mroczyńska, K.; Cysewski, P. Utilization of oriented crystal growth for screening of aromatic carboxylic acids cocrystallization with urea. J. Cryst. Growth 2016, 433, 128–138. [Google Scholar] [CrossRef]
- Mujika, J.I.; Matxain, J.M.; Eriksson, L.A.; Lopez, X. Resonance structures of the amide bond: The advantages of planarity. Chem. A Eur. J. 2006, 12, 7215–7224. [Google Scholar] [CrossRef] [PubMed]
- Vallejo Narváez, W.E.; Jiménez, E.I.; Romero-Montalvo, E.; Sauza-De La Vega, A.; Quiroz-García, B.; Hernández-Rodríguez, M.; Rocha-Rinza, T. Acidity and basicity interplay in amide and imide self-association. Chem. Sci. 2018, 9, 4402–4413. [Google Scholar] [CrossRef]
- Molchanov, S.; Gryff-Keller, A. Solvation of Amides in DMSO and CDCl3: An Attempt at Quantitative DFT-Based Interpretation of 1H and 13C NMR Chemical Shifts. J. Phys. Chem. A 2017, 121, 9645–9653. [Google Scholar] [CrossRef] [PubMed]
- Chand, A.; Chowdhuri, S. Effects of dimethyl sulfoxide on the hydrogen bonding structure and dynamics of aqueous N-methylacetamide solution. J. Chem. Sci. 2016, 128, 991–1001. [Google Scholar] [CrossRef]
- McQuade, D.T.; McKay, S.L.; Powell, D.R.; Gellman, S.H. Indifference to hydrogen bonding in a family of secondary amides. J. Am. Chem. Soc. 1997, 119, 8528–8532. [Google Scholar] [CrossRef]
- Cysewski, P.; Przybyłek, M.; Kowalska, A.; Tymorek, N. Thermodynamics and intermolecular interactions of nicotinamide in neat and binary solutions: Experimental measurements and COSMO-RS concentration dependent reactions investigations. Int. J. Mol. Sci. 2021, 22, 7365. [Google Scholar] [CrossRef]
- Almeida, G.G.; Borges, A.; Cordeiro, J.M.M. On the hydrogen bonding between N-methylformamide and acetone and tetrahydrofuran. Chem. Phys. 2014, 434, 25–29. [Google Scholar] [CrossRef]
- Nain, A.K. Densities and volumetric properties of (acetonitrile + an amide) binary mixtures at temperatures between 293.15 K and 318.15 K. J. Chem. Thermodyn. 2006, 38, 1362–1370. [Google Scholar] [CrossRef]
- Fink, C.; Sun, D.; Wagner, K.; Schneider, M.; Bauer, H.; Dolgos, H.; Mäder, K.; Peters, S.A. Evaluating the Role of Solubility in Oral Absorption of Poorly Water-Soluble Drugs Using Physiologically-Based Pharmacokinetic Modeling. Clin. Pharmacol. Ther. 2020, 107, 650–661. [Google Scholar] [CrossRef]
- Fade, V. Link between drug absorption solubility and permeability measurements in Caco-2 cells. J. Pharm. Sci. 1998, 87, 1604–1607. [Google Scholar]
- Dahan, A.; Miller, J.M. The solubility-permeability interplay and its implications in formulation design and development for poorly soluble drugs. AAPS J. 2012, 14, 244–251. [Google Scholar] [CrossRef] [PubMed]
- Omachi, F.; Kaneko, M.; Iijima, R.; Watanabe, M.; Itagaki, F. Relationship between the effects of food on the pharmacokinetics of oral antineoplastic drugs and their physicochemical properties. J. Pharm. Health Care Sci. 2019, 5, 26. [Google Scholar] [CrossRef] [PubMed]
- Kopach, M.; Leahy, D.; Manley, J. The green chemistry approach to pharma manufacturing. Innov. Pharm. Technol. 2012, 43, 72–75. [Google Scholar]
- Płotka-Wasylka, J.; Rutkowska, M.; Owczarek, K.; Tobiszewski, M.; Namieśnik, J. Extraction with environmentally friendly solvents. TrAC Trends Anal. Chem. 2017, 91, 12–25. [Google Scholar] [CrossRef]
- Laboukhi-Khorsi, S.; Daoud, K.; Chemat, S. Efficient Solvent Selection Approach for High Solubility of Active Phytochemicals: Application for the Extraction of an Antimalarial Compound from Medicinal Plants. ACS Sustain. Chem. Eng. 2017, 5, 4332–4339. [Google Scholar] [CrossRef]
- Pedro, S.N.; Freire, C.S.R.; Silvestre, A.J.D.; Freire, M.G. The role of ionic liquids in the pharmaceutical field: An overview of relevant applications. Int. J. Mol. Sci. 2020, 21, 8298. [Google Scholar] [CrossRef]
- Egorova, K.S.; Gordeev, E.G.; Ananikov, V.P. Biological Activity of Ionic Liquids and Their Application in Pharmaceutics and Medicine. Chem. Rev. 2017, 117, 7132–7189. [Google Scholar] [CrossRef]
- Hough, W.L.; Rogers, R.D. Ionic liquids then and now: From solvents to materials to active pharmaceutical ingredients. Bull. Chem. Soc. Jpn. 2007, 80, 2262–2269. [Google Scholar] [CrossRef]
- Md Moshikur, R.; Chowdhury, M.R.; Moniruzzaman, M.; Goto, M. Biocompatible ionic liquids and their applications in pharmaceutics. Green Chem. 2020, 22, 8116–8139. [Google Scholar] [CrossRef]
- Resende De Azevedo, J.; Letourneau, J.J.; Espitalier, F.; Ré, M.I. Solubility of a new cardioactive prototype drug in ionic liquids. J. Chem. Eng. Data 2014, 59, 1766–1773. [Google Scholar] [CrossRef]
- Cysewski, P.; Jeliński, T.; Cymerman, P.; Przybyłek, M. Solvent screening for solubility enhancement of theophylline in neat, binary and ternary NADES solvents: New measurements and ensemble machine learning. Int. J. Mol. Sci. 2021, 22, 7347. [Google Scholar] [CrossRef] [PubMed]
- Zhang, X.; Su, J.; Chu, X.; Wang, X. A Green Method of Extracting and Recovering Flavonoids from Acanthopanax senticosus Using Deep Eutectic Solvents. Molecules 2022, 27, 923. [Google Scholar] [CrossRef] [PubMed]
- Vanda, H.; Dai, Y.; Wilson, E.G.; Verpoorte, R.; Choi, Y.H. Green solvents from ionic liquids and deep eutectic solvents to natural deep eutectic solvents. Comptes Rendus Chim. 2018, 21, 628–638. [Google Scholar] [CrossRef]
- Hilali, S.; Wils, L.; Chevalley, A.; Clément-Larosière, B.; Boudesocque-Delaye, L. Glycerol-based NaDES as green solvents for ultrasound-assisted extraction of phycocyanin from Arthrospira platensis—RSM optimization and ANN modelling. Biomass Convers. Biorefinery 2022, 1–14. [Google Scholar] [CrossRef]
- Pavlić, B.; Mrkonjić, Ž.; Teslić, N.; Kljakić, A.C.; Pojić, M.; Mandić, A.; Stupar, A.; Santos, F.; Duarte, A.R.C.; Mišan, A. Natural Deep Eutectic Solvent (NADES) Extraction Improves Polyphenol Yield and Antioxidant Activity of Wild Thyme (Thymus serpyllum L.) Extracts. Molecules 2022, 27, 1508. [Google Scholar] [CrossRef]
- Adaka, I.C.; Uzor, P.F. Cyrene as a green solvent in the pharmaceutical industry. In Green Sustainable Process for Chemical and Environmental Engineering and Science: Solvents for the Pharmaceutical Industry; Inamuddin, Boddula, R., Ahamed, M.I., Asiri, A.M., Eds.; 2020; pp. 243–248. ISBN 9780128218853. [Google Scholar]
- Muheem, A.; Jahangir, M.A.; Baboota, S.; Ali, J. Recent patents and a market overview on green or bio-based solvents for chromatographic analysis: A review. Pharm. Pat. Anal. 2021, 10, 227–235. [Google Scholar] [CrossRef]
- Cysewski, P.; Przybyłek, M.; Rozalski, R. Experimental and theoretical screening for green solvents improving sulfamethizole solubility. Materials 2021, 14, 5915. [Google Scholar] [CrossRef]
- Duereh, A.; Sato, Y.; Smith, R.L.; Inomata, H. Methodology for replacing dipolar aprotic solvents used in API processing with safe hydrogen-bond donor and acceptor solvent-pair mixtures. Org. Process Res. Dev. 2017, 21, 114–124. [Google Scholar] [CrossRef]
- Derrien, M.; Badr, A.; Gosselin, A.; Desjardins, Y.; Angers, P. Optimization of a green process for the extraction of lutein and chlorophyll from spinach by-products using response surface methodology (RSM). LWT Food Sci. Technol. 2017, 79, 170–177. [Google Scholar] [CrossRef]
- Chaves, J.O.; de Souza, M.C.; da Silva, L.C.; Lachos-Perez, D.; Torres-Mayanga, P.C.; Machado, A.P.D.F.; Forster-Carneiro, T.; Vázquez-Espinosa, M.; González-de-Peredo, A.V.; Barbero, G.F.; et al. Extraction of Flavonoids From Natural Sources Using Modern Techniques. Front. Chem. 2020, 8, 507887. [Google Scholar] [CrossRef] [PubMed]
- Delgado, D.R.; Peña Fernández, M.Á.; Martínez, F. Preferential solvation of some sulfonamides in 1,4-dioxane + water co-solvent mixtures at 298.15 K according to the inverse Kirkwood-Buff integrals method. Rev. Acad. Colomb. Ciencias Exactas Físicas y Nat. 2014, 38, 104–114. [Google Scholar] [CrossRef][Green Version]
- Jeliński, T.; Bugalska, N.; Koszucka, K.; Przybyłek, M.; Cysewski, P. Solubility of sulfanilamide in binary solvents containing water: Measurements and prediction using Buchowski-Ksiazczak solubility model. J. Mol. Liq. 2020, 319, 114342. [Google Scholar] [CrossRef]
- Bustamante, P.; Ochoa, R.; Reillo, A.; Escalera, J.B. Chameleonic Effect of Sulfanilamide and Sulfamethazine in Solvent Mixtures. Solubility Curves with Two Maxima. Chem. Pharm. Bull. 1994, 42, 1129–1133. [Google Scholar] [CrossRef]
- Przybyłek, M.; Kowalska, A.; Tymorek, N.; Dziaman, T.; Cysewski, P. Thermodynamic characteristics of phenacetin in solid state and saturated solutions in several neat and binary solvents. Molecules 2021, 26, 4078. [Google Scholar] [CrossRef]
- Bustamante, C.; Bustamante, P. Nonlinear enthalpy-entropy compensation for the solubility of phenacetin in dioxane-water solvent mixtures. J. Pharm. Sci. 1996, 85, 1109–1111. [Google Scholar] [CrossRef]
- Li, W.; Farajtabar, A.; Xing, R.; Zhu, Y.; Zhao, H. Equilibrium solubility determination, solvent effect and preferential solvation of amoxicillin in aqueous co-solvent mixtures of N,N-dimethylformamide, isopropanol, N-methyl pyrrolidone and ethylene glycol. J. Chem. Thermodyn. 2020, 142, 106010. [Google Scholar] [CrossRef]
- Cárdenas, Z.J.; Jiménez, D.M.; Almanza, O.A.; Jouyban, A.; Martínez, F.; Acree, W.E. Solubility and Preferential Solvation of Caffeine and Theophylline in {Methanol + Water} Mixtures at 298.15 K. J. Solut. Chem. 2017, 46, 1605–1624. [Google Scholar] [CrossRef]
- Liu, C.; Dang, L.; Bai, W.; Wang, R.; Wei, H. Solid-liquid equilibrium of theophylline in solvent mixtures. J. Chem. Eng. Data 2014, 59, 263–268. [Google Scholar] [CrossRef]
- Shi, P.; Ma, Y.; Han, D.; Du, S.; Zhang, T.; Li, Z. Uncovering the solubility behavior of vitamin B6 hydrochloride in three aqueous binary solvents by thermodynamic analysis and molecular dynamic simulation. J. Mol. Liq. 2019, 283, 584–595. [Google Scholar] [CrossRef]
- Zhou, Y.; Han, D.; Tao, T.; Zhang, S.; Wang, J.; Gong, J.; Wang, Y. Solubility measurement, thermodynamic correlation and molecular simulations of uracil in (alcohol + water) binary solvents at (283.15–318.15) K. J. Mol. Liq. 2020, 318, 114259. [Google Scholar] [CrossRef]
- Liu, Q.; an, C.; Huang, Q.; Liu, B.; Xu, R.; Kong, S.; Wang, J.; Wang, M.; Liu, N. Solubility determination and prediction for FOX-7 in three binary solvents at different temperatures. J. Energ. Mater. 2022, 1–16. [Google Scholar] [CrossRef]
- Jeliński, T.; Kubsik, M.; Cysewski, P. Application of the Solute–Solvent Intermolecular Interactions as Indicator of Caffeine Solubility in Aqueous Binary Aprotic and Proton Acceptor Solvents: Measurements and Quantum Chemistry Computations. Materials 2022, 15, 2472. [Google Scholar] [CrossRef]
- Hyttinen, N.; Heshmatnezhad, R.; Elm, J.; Kurtén, T.; Prisle, N.L. Technical note: Estimating aqueous solubilities and activity coefficients of mono- And α,ω-dicarboxylic acids using COSMOtherm. Atmos. Chem. Phys. 2020, 20, 13131–13143. [Google Scholar] [CrossRef]
- Salmar, S.; Vaalma, M.; Vider, H.; Tenno, T.; Kuznetsov, A.; Järv, J.; Tuulmets, A. Reaction kinetics and solubility in water-organic binary solutions are governed by similar solvation equilibria. J. Phys. Org. Chem. 2016, 29, 118–126. [Google Scholar] [CrossRef]
- Paluch, A.S.; Parameswaran, S.; Liu, S.; Kolavennu, A.; Mobley, D.L. Predicting the excess solubility of acetanilide, acetaminophen, phenacetin, benzocaine, and caffeine in binary water/ethanol mixtures via molecular simulation. J. Chem. Phys. 2015, 142, 044508. [Google Scholar] [CrossRef] [PubMed]
- Chinta, S.; Rengaswamy, R. Machine Learning Derived Quantitative Structure Property Relationship (QSPR) to Predict Drug Solubility in Binary Solvent Systems. Ind. Eng. Chem. Res. 2019, 58, 3082–3092. [Google Scholar] [CrossRef]
- Cao, Z.; Wang, Z.; Gao, F.; Zhu, L.; Sha, J.; Li, Y.; Li, T.; Ren, B. Thermodynamic analysis and molecular dynamic simulation of the solubility of risperidone (form I) in the pure and binary solvents. J. Mol. Liq. 2022, 359, 119061. [Google Scholar] [CrossRef]
- Cysewski, P.; Jeliński, T.; Procek, D.; Dratwa, A. Solubility of Sulfanilamide and Sulfacetamide in neat solvents: Measurements and interpretation using theoretical predictive models, first principle approach and artificial neural networks. Fluid Phase Equilib. 2021, 529, 112883. [Google Scholar] [CrossRef]
- Rahimpour, E.; Acree, W.E.; Jouyban, A. Prediction of sulfonamides’ solubilities in the mixed solvents using solvation parameters. J. Mol. Liq. 2021, 339, 116269. [Google Scholar] [CrossRef]
- Rahimpour, E.; Alvani-Alamdari, S.; Acree, W.E.; Jouyban, A. Drug Solubility Correlation Using the Jouyban–Acree Model: Effects of Concentration Units and Error Criteria. Molecules 2022, 27, 1998. [Google Scholar] [CrossRef] [PubMed]
- Rezaei, H.; Rahimpour, E.; Zhao, H.; Martinez, F.; Jouyban, A. Solubility measurement and thermodynamic modeling of caffeine in N-methyl-2-pyrrolidone + isopropanol mixtures at different temperatures. J. Mol. Liq. 2021, 336, 116519. [Google Scholar] [CrossRef]
- Zhang, C.; Wu, J.; Wang, R.; Ma, E.; Wu, L.; Bai, J.; Wang, J. Study of the toluene absorption capacity and mechanism of ionic liquids using COSMO-RS prediction and experimental verification. Green Energ. Environ. 2021, 6, 339–349. [Google Scholar] [CrossRef]
- Chu, Y.; He, X. MoDoop: An Automated Computational Approach for COSMO-RS Prediction of Biopolymer Solubilities in Ionic Liquids. ACS Omega 2019, 4, 2337–2343. [Google Scholar] [CrossRef] [PubMed]
- Klamt, A. Conductor-like screening model for real solvents: A new approach to the quantitative calculation of solvation phenomena. J. Phys. Chem. 1995, 99, 2224–2235. [Google Scholar] [CrossRef]
- Putnam, R.; Taylor, R.; Klamt, A.; Eckert, F.; Schiller, M. Prediction of infinite dilution activity coefficients using COSMO-RS. Ind. Eng. Chem. Res. 2003, 42, 3635–3641. [Google Scholar] [CrossRef]
- Diedenhofen, M.; Eckert, F.; Klamt, A. Prediction of infinite dilution activity coefficients of organic compounds in ionic liquids using COSMO-RS. J. Chem. Eng. Data 2003, 48, 475–479. [Google Scholar] [CrossRef]
- Fermeglia, M.; Braiuca, P.; Gardossi, L.; Pricl, S.; Halling, P.J. In silico prediction of medium effects on esterification equilibrium using the COSMO-RS method. Biotechnol. Prog. 2006, 22, 1146–1152. [Google Scholar] [CrossRef]
- Eckert, F.; Diedenhofen, M.; Klamt, A. Towards a first principles prediction of pKa: COSMO-RS and the cluster-continuum approach. Mol. Phys. 2010, 108, 229–241. [Google Scholar] [CrossRef]
- Andersson, M.P.; Jensen, J.H.; Stipp, S.L.S. Predicting pKa for proteins using COSMO-RS. PeerJ. 2013, 1, e198. [Google Scholar] [CrossRef]
- Klamt, A. Solvent-screening and co-crystal screening for drug development with COSMO-RS. J. Cheminform. 2012, 4, O14. [Google Scholar] [CrossRef]
- Loschen, C.; Klamt, A. Solubility prediction, solvate and cocrystal screening as tools for rational crystal engineering. J. Pharm. Pharmacol. 2015, 67, 803–811. [Google Scholar] [CrossRef] [PubMed]
- Chapman, C.J.; Groven, L.J. Evaluation of solvate and co-crystal screening methods for CL-20 containing energetic materials. J. Energ. Mater. 2021, 1–15. [Google Scholar] [CrossRef]
- Przybyłek, M.; Ziółkowska, D.; Mroczyńska, K.; Cysewski, P. Applicability of Phenolic Acids as Effective Enhancers of Cocrystal Solubility of Methylxanthines. Cryst. Growth Des. 2017, 17, 2186–2193. [Google Scholar] [CrossRef]
- Cysewski, P.; Przybyłek, M. Selection of effective cocrystals former for dissolution rate improvement of active pharmaceutical ingredients based on lipoaffinity index. Eur. J. Pharm. Sci. 2017, 107, 87–96. [Google Scholar] [CrossRef]
- Abdallah, M.M.; Müller, S.; González de Castilla, A.; Gurikov, P.; Matias, A.A.; Bronze, M.D.R.; Fernández, N. Physicochemical characterization and simulation of the solid–liquid equilibrium phase diagram of terpene-based eutectic solvent systems. Molecules 2021, 26, 1801. [Google Scholar] [CrossRef]
- Przybyłek, M.; Walczak, P.; Ziółkowska, D.; Grela, I.; Cysewski, P. Studies on the solid–liquid equilibria and intermolecular interactions Urea binary mixtures with Sulfanilamide and Sulfacetamide. J. Chem. Thermodyn. 2021, 153, 106308. [Google Scholar] [CrossRef]
- Freire, M.G.; Santos, L.M.N.B.F.; Marrucho, I.M.; Coutinho, J.A.P. Evaluation of COSMO-RS for the prediction of LLE and VLE of alcohols + ionic liquids. Fluid Phase Equilib. 2007, 255, 167–178. [Google Scholar] [CrossRef]
- Song, Z.; Wang, J.; Sundmacher, K. Evaluation of COSMO-RS for solid–liquid equilibria prediction of binary eutectic solvent systems. Green Energ. Environ. 2021, 6, 371–379. [Google Scholar] [CrossRef]
- Klamt, A. The COSMO and COSMO-RS solvation models. Wiley Interdiscip. Rev. Comput. Mol. Sci. 2011, 1, 699–709. [Google Scholar] [CrossRef]
- Freire, M.G.; Ventura, S.P.M.; Santos, L.M.N.B.F.; Marrucho, I.M.; Coutinho, J.A.P. Evaluation of COSMO-RS for the prediction of LLE and VLE of water and ionic liquids binary systems. Fluid Phase Equilib. 2008, 268, 74–84. [Google Scholar] [CrossRef]
- Abranches, D.O.; Larriba, M.; Silva, L.P.; Melle-Franco, M.; Palomar, J.F.; Pinho, S.P.; Coutinho, J.A.P. Using COSMO-RS to design choline chloride pharmaceutical eutectic solvents. Fluid Phase Equilib. 2019, 497, 71–78. [Google Scholar] [CrossRef]
- Silva, L.P.; Fernandez, L.; Conceiçao, J.H.F.; Martins, M.A.R.; Sosa, A.; Ortega, J.; Pinho, S.P.; Coutinho, J.A.P. Design and Characterization of Sugar-Based Deep Eutectic Solvents Using Conductor-like Screening Model for Real Solvents. ACS Sustain. Chem. Eng. 2018, 6, 10724–10734. [Google Scholar] [CrossRef]
- Loschen, C.; Klamt, A. Cocrystal Ternary Phase Diagrams from Density Functional Theory and Solvation Thermodynamics. Cryst. Growth Des. 2018, 18, 5600–5608. [Google Scholar] [CrossRef]
- Nakaoka, M.; Tran, K.V.B.; Yanase, K.; MacHida, H.; Norinaga, K. Prediction of Phase Behavior of CO2 Absorbents Using Conductor-like Screening Model for Real Solvents (COSMO-RS): An Approach to Identify Phase Separation Solvents of Amine/Ether/Water Systems upon CO2Absorption. Ind. Eng. Chem. Res. 2020, 59, 19020–19029. [Google Scholar] [CrossRef]
- Qin, Y.; Chen, X.; Wang, L.; Wei, X.; Nong, W.; Wei, X.; Liang, J. Experimental Determination and Computational Prediction of Dehydroabietic Acid Solubility in (−)-α-Pinene + (−)-β-Caryophyllene + P-Cymene System. Molecules 2022, 27, 1220. [Google Scholar] [CrossRef] [PubMed]
- Wahab, O.O.; Olasunkanmi, L.O.; Govender, K.K.; Govender, P.P. Prediction of aqueous solubility by treatment of COSMO-RS data with empirical solubility equations: The roles of global orbital cut-off and COSMO solvent radius. Theor. Chem. Acc. 2019, 138, 80. [Google Scholar] [CrossRef]
- Klamt, A.; Eckert, F.; Hornig, M.; Beck, M.E.; Brger, T. Prediction of aqueous solubility of drugs and pesticides with COSMO-RS. J. Comput. Chem. 2002, 23, 275–281. [Google Scholar] [CrossRef]
- Guo, Z.; Lue, B.M.; Thomasen, K.; Meyer, A.S.; Xu, X. Predictions of flavonoid solubility in ionic liquids by COSMO-RS: Experimental verification, structural elucidation, and solvation characterization. Green Chem. 2007, 9, 1362–1373. [Google Scholar] [CrossRef]
- Loschen, C.; Klamt, A. Prediction of solubilities and partition coefficients in polymers using COSMO-RS. Ind. Eng. Chem. Res. 2014, 53, 11478–11487. [Google Scholar] [CrossRef]
- Cysewski, P. Prediction of ethenzamide solubility in organic solvents by explicit inclusions of intermolecular interactions within the framework of COSMO-RS-DARE. J. Mol. Liq. 2019, 290, 111163. [Google Scholar] [CrossRef]
- Balchandani, S.; Singh, R. COSMO-RS Analysis of CO2 Solubility in N-Methyldiethanolamine, Sulfolane, and 1-Butyl-3-methyl-imidazolium Acetate Activated by 2-Methylpiperazine for Postcombustion Carbon Capture. ACS Omega 2021, 6, 747–761. [Google Scholar] [CrossRef] [PubMed]
- Motlagh, S.R.; Harun, R.; Biak, D.R.A.; Hussain, S.A.; Ghani, W.A.W.A.K.; Khezri, R.; Wilfred, C.D.; Elgharbawy, A.A.M. Screening of suitable ionic liquids as green solvents for extraction of eicosapentaenoic acid (EPA) from microalgae biomass using COSMO-RS model. Molecules 2019, 24, 713. [Google Scholar] [CrossRef] [PubMed]
- Panayiotou, C. Redefining solubility parameters: The partial solvation parameters. Phys. Chem. Chem. Phys. 2012, 14, 3882–3908. [Google Scholar] [CrossRef] [PubMed]
- Hernández-Bravo, R.; Miranda, A.D.; Martínez-Mora, O.; Domínguez, Z.; Martínez-Magadán, J.M.; García-Chávez, R.; Domínguez-Esquivel, J.M. Calculation of the Solubility Parameter by COSMO-RS Methods and Its Influence on Asphaltene-Ionic Liquid Interactions. Ind. Eng. Chem. Res. 2017, 56, 5107–5115. [Google Scholar] [CrossRef]
- Járvás, G.; Quellet, C.; Dallos, A. Estimation of Hansen solubility parameters using multivariate nonlinear QSPR modeling with COSMO screening charge density moments. Fluid Phase Equilib. 2011, 309, 8–14. [Google Scholar] [CrossRef]
- Boucher, D.S. Solubility parameters and solvent affinities for polycaprolactone: A comparison of methods. J. Appl. Polym. Sci. 2020, 137, 48908. [Google Scholar] [CrossRef]
- Spieß, A.C.; Eberhard, W.; Peters, M.; Eckstein, M.F.; Greiner, L.; Büchs, J. Prediction of partition coefficients using COSMO-RS: Solvent screening for maximum conversion in biocatalytic two-phase reaction systems. Chem. Eng. Proc. Proc. Intensif. 2008, 47, 1034–1041. [Google Scholar] [CrossRef]
- Buggert, M.; Cadena, C.; Mokrushina, L.; Smirnova, I.; Maginn, E.J.; Arlt, W. COSMO-RS calculations of partition coefficients: Different tools for conformational search. Chem. Eng. Technol. 2009, 32, 977–986. [Google Scholar] [CrossRef]
- Tshepelevitsh, S.; Hernits, K.; Leito, I. Prediction of partition and distribution coefficients in various solvent pairs with COSMO-RS. J. Comput. Aided. Mol. Des. 2018, 32, 711–722. [Google Scholar] [CrossRef]
- Tong, Y.; Shi, F.; Wang, W.; Li, H.; Zhai, S.; Wang, K.; An, Q. Experimental measurement and thermodynamic modelling of ethenzamide solubility in three binary solvent systems. J. Chem. Thermodyn. 2021, 161, 106553. [Google Scholar] [CrossRef]
- Nordström, F.L.; Rasmuson, Å.C. Solubility and melting properties of salicylamide. J. Chem. Eng. Data 2006, 51, 1775–1777. [Google Scholar] [CrossRef]
- Sadeghi, M.; Rasmuson, Å.C. Solubility of Salicylic Acid, Salicylamide, and Fenofibrate in Organic Solvents at Low Temperatures. J. Chem. Eng. Data 2020, 65, 4855–4861. [Google Scholar] [CrossRef]
- Tong, Y.; Wang, Z.; Yang, E.; Pan, B.; Jiang, J.; Dang, L.; Wei, H. Determination and correlation of solubility and solution thermodynamics of ethenzamide in different pure solvents. Fluid Phase Equilib. 2016, 427, 549–556. [Google Scholar] [CrossRef]
- Blake-Taylor, B.H.; Deleon, V.H.; Acree, W.E.; Abraham, M.H. Mathematical correlation of salicylamide solubilities in organic solvents with the Abraham solvation parameter model. Phys. Chem. Liq. 2007, 45, 389–398. [Google Scholar] [CrossRef]
- Wang, K.; Shang, Z.; Zhang, J.; Liu, Y.; Han, J.; Tang, W. Solubility Determination and Thermodynamic Correlation of 2-Ethoxybenzamide in 12 Pure Solvents from 288.15 to 328.15 K. J. Chem. Eng. Data 2021, 66, 1508–1514. [Google Scholar] [CrossRef]
- Wilkes, J.B.; Manning, J.F. Solubility of Benzamide in m-Xylene. J. Chem. Eng. Data 1963, 8, 234. [Google Scholar] [CrossRef]
- Johnstone, R.D.L.; Lennie, A.R.; Parker, S.F.; Parsons, S.; Pidcock, E.; Richardson, P.R.; Warren, J.E.; Wood, P.A. High-pressure polymorphism in salicylamide. CrystEngComm 2010, 12, 1065–1078. [Google Scholar] [CrossRef]
- Imran, S.; Hossain, A.; Mahali, K.; Guin, P.S.; Datta, A.; Roy, S. Solubility and peculiar thermodynamical behaviour of 2-aminobenzoic acid in aqueous binary solvent mixtures at 288.15 to 308.15 K. J. Mol. Liq. 2020, 302, 112566. [Google Scholar] [CrossRef]
- Shakeel, F.; Haq, N.; Salem-Bekhit, M.M.; Raish, M. Solubility and dissolution thermodynamics of sinapic acid in (DMSO + water) binary solvent mixtures at different temperatures. J. Mol. Liq. 2017, 225, 833–839. [Google Scholar] [CrossRef]
- Lei, Y.; Xiao, S.; Chen, S.; Zhang, H.; Li, H.; Lu, Y. N,N-dimethylformamide-induced acute hepatic failure: A case report and literature review. Exp. Ther. Med. 2017, 14, 5659–5663. [Google Scholar] [CrossRef] [PubMed][Green Version]
- Ponomarev, I.I.; Blagodatskikh, I.V.; Muranov, A.V.; Volkova, Y.A.; Razorenov, D.Y.; Ponomarev, I.I.; Skupov, K.M. Dimethyl sulfoxide as a green solvent for successful precipitative polyheterocyclization based on nucleophilic aromatic substitution, resulting in high molecular weight PIM-1. Mendeleev Commun. 2016, 26, 362–364. [Google Scholar] [CrossRef]
- Doolin, A.J.; Charles, R.G.; De Castro, C.S.P.; Rodriguez, R.G.; Péan, E.V.; Patidar, R.; Dunlop, T.; Charbonneau, C.; Watson, T.; Davies, M.L. Sustainable solvent selection for the manufacture of methylammonium lead triiodide (MAPbI3) perovskite solar cells. Green Chem. 2021, 23, 2471–2486. [Google Scholar] [CrossRef]
- Xie, W.; Li, T.; Chen, C.; Wu, H.; Liang, S.; Chang, H.; Liu, B.; Drioli, E.; Wang, Q.; Crittenden, J.C. Using the Green Solvent Dimethyl Sulfoxide to Replace Traditional Solvents Partly and Fabricating PVC/PVC- g-PEGMA Blended Ultrafiltration Membranes with High Permeability and Rejection. Ind. Eng. Chem. Res. 2019, 58, 6413–6423. [Google Scholar] [CrossRef]
- Camp, J.E.; Nyamini, S.B.; Scott, F.J. CyreneTM is a green alternative to DMSO as a solvent for antibacterial drug discovery against ESKAPE pathogens. RSC Med. Chem. 2020, 11, 111–117. [Google Scholar] [CrossRef]
- Verheijen, M.; Lienhard, M.; Schrooders, Y.; Clayton, O.; Nudischer, R.; Boerno, S.; Timmermann, B.; Selevsek, N.; Schlapbach, R.; Gmuender, H.; et al. DMSO induces drastic changes in human cellular processes and epigenetic landscape in vitro. Sci. Rep. 2019, 9, 4641. [Google Scholar] [CrossRef]
- Martin, V.; Jadhav, S.; Egelund, P.H.G.; Liffert, R.; Johansson Castro, H.; Krüger, T.; Haselmann, K.F.; Thordal Le Quement, S.; Albericio, F.; Dettner, F.; et al. Harnessing polarity and viscosity to identify green binary solvent mixtures as viable alternatives to DMF in solid-phase peptide synthesis. Green Chem. 2021, 23, 3295–3311. [Google Scholar] [CrossRef]
- Ferrazzano, L.; Corbisiero, D.; Martelli, G.; Tolomelli, A.; Viola, A.; Ricci, A.; Cabri, W. Green solvent mixtures for solid-phase peptide synthesis: A dimethylformamide-free highly efficient synthesis of pharmaceutical-grade peptides. ACS Sustain. Chem. Eng. 2019, 7, 12867–12877. [Google Scholar] [CrossRef]
- Kumar, A.; Jad, Y.E.; El-Faham, A.; de la Torre, B.G.; Albericio, F. Green solid-phase peptide synthesis 4. γ-Valerolactone and N-formylmorpholine as green solvents for solid phase peptide synthesis. Tetrahedron Lett. 2017, 58, 2986–2988. [Google Scholar] [CrossRef]
- Jad, Y.E.; Govender, T.; Kruger, H.G.; El-Faham, A.; De La Torre, B.G.; Albericio, F. Green Solid-Phase Peptide Synthesis (GSPPS) 3. Green Solvents for Fmoc Removal in Peptide Chemistry. Org. Proc. Res. Dev. 2017, 21, 365–369. [Google Scholar] [CrossRef]
- Wegner, K.; Barnes, D.; Manzor, K.; Jardine, A.; Moran, D. Evaluation of greener solvents for solid-phase peptide synthesis. Green Chem. Lett. Rev. 2021, 14, 152–163. [Google Scholar] [CrossRef]
- Bryan, M.C.; Dunn, P.J.; Entwistle, D.; Gallou, F.; Koenig, S.G.; Hayler, J.D.; Hickey, M.R.; Hughes, S.; Kopach, M.E.; Moine, G.; et al. Key Green Chemistry research areas from a pharmaceutical manufacturers’ perspective revisited. Green Chem. 2018, 20, 5082–5103. [Google Scholar] [CrossRef]
- Jou, F.Y.; Deshmukh, R.D.; Otto, F.D.; Mather, A.E. Solubility of H2S, CO2 and CH4 in N-formyl morpholine. J. Chem. Soc. Faraday Trans. Phys. Chem. Condens. Phases 1989, 85, 2675–2682. [Google Scholar] [CrossRef]
- Jou, F.Y.; Schmidt, K.A.G.; Mather, A.E. Solubility of ethane in N-formyl morpholine. J. Chem. Eng. Data 2003, 48, 224–225. [Google Scholar] [CrossRef]
- Jou, F.Y.; Mather, A.E.; Schmidt, K.A.G. Solubility of propane in N-formyl morpholine. Can. J. Chem. Eng. 2020, 98, 998–1002. [Google Scholar] [CrossRef]
- Miller, M.B.; Chen, D.L.; Luebke, D.R.; Johnson, J.K.; Enick, R.M. Critical assessment of CO2 solubility in volatile solvents at 298.15 K. J. Chem. Eng. Data 2011, 56, 1565–1572. [Google Scholar] [CrossRef]
- Freire, M.G.; Carvalho, P.J.; Santos, L.M.N.B.F.; Gomes, L.R.; Marrucho, I.M.; Coutinho, J.A.P. Solubility of water in fluorocarbons: Experimental and COSMO-RS prediction results. J. Chem. Thermodyn. 2010, 42, 213–219. [Google Scholar] [CrossRef]
- Reinisch, J.; Klamt, A.; Eckert, F.; Diedenhofen, M. Prediction of the temperature dependence of a polyether-water mixture using COSMOtherm. Fluid Phase Equilib. 2011, 310, 7–10. [Google Scholar] [CrossRef]
- Vilas-Boas, S.M.; Abranches, D.O.; Crespo, E.A.; Ferreira, O.; Coutinho, J.A.P.; Pinho, S.P. Experimental solubility and density studies on aqueous solutions of quaternary ammonium halides, and thermodynamic modelling for melting enthalpy estimations. J. Mol. Liq. 2020, 300, 112281. [Google Scholar] [CrossRef]
- Arenas, P.; Suárez, I.; Coto, B. Combination of molecular dynamics simulation, COSMO-RS, and experimental study to understand extraction of naphthenic acid. Sep. Purif. Technol. 2022, 280, 119810. [Google Scholar] [CrossRef]
- Cysewski, P.; Walczak, P.; Ziółkowska, D.; Grela, I.; Przybyłek, M. Experimental and theoretical studies on the Sulfamethazine-Urea and Sulfamethizole-Urea solid-liquid equilibria. J. Drug Deliv. Sci. Technol. 2021, 61, 102186. [Google Scholar] [CrossRef]
- Salleh, M.Z.M.; Hadj-Kali, M.K.; Hizaddin, H.F.; Ali Hashim, M. Extraction of nitrogen compounds from model fuel using 1-ethyl-3-methylimidazolium methanesulfonate. Sep. Purif. Technol. 2018, 196, 61–70. [Google Scholar] [CrossRef]
- Sicaire, A.G.; Abert Vian, M.; Fine, F.; Carré, P.; Tostain, S.; Chemat, F. Experimental approach versus COSMO-RS assisted solvent screening for predicting the solubility of rapeseed oil. OCL Oilseeds Fats Crop. Lipids 2015, 22, D404. [Google Scholar]
- Han, J.; Dai, C.; Yu, G.; Lei, Z. Parameterization of COSMO-RS model for ionic liquids. Green Energy Environ. 2018, 3, 247–265. [Google Scholar] [CrossRef]
- Jeschke, S.; Johansson, P. Predicting the Solubility of Sulfur: A COSMO-RS-Based Approach to Investigate Electrolytes for Li–S Batteries. Chem. A Eur. J. 2017, 23, 9130–9136. [Google Scholar] [CrossRef] [PubMed]
- Prat, D.; Wells, A.; Hayler, J.; Sneddon, H.; McElroy, C.R.; Abou-Shehada, S.; Dunn, P.J. CHEM21 selection guide of classical- and less classical-solvents. Green Chem. 2015, 18, 288–296. [Google Scholar] [CrossRef]
- Prat, D.; Hayler, J.; Wells, A. A survey of solvent selection guides. Green Chem. 2014, 16, 4546–4551. [Google Scholar] [CrossRef]
- Byrne, F.P.; Jin, S.; Paggiola, G.; Petchey, T.H.M.; Clark, J.H.; Farmer, T.J.; Hunt, A.J.; Robert McElroy, C.; Sherwood, J. Tools and techniques for solvent selection: Green solvent selection guides. Sustain. Chem. Proc. 2016, 4, 7. [Google Scholar] [CrossRef]
- Jessop, P.G. Searching for green solvents. Green Chem. 2011, 13, 1391–1398. [Google Scholar] [CrossRef]
- Welton, T. Solvents and sustainable chemistry. Proc. R. Soc. A Math. Phys. Eng. Sci. 2015, 471, 1–15. [Google Scholar] [CrossRef]
- Larsen, C.; Lundberg, P.; Tang, S.; Ràfols-Ribé, J.; Sandström, A.; Mattias Lindh, E.; Wang, J.; Edman, L. A tool for identifying green solvents for printed electronics. Nat. Commun. 2021, 12, 4510. [Google Scholar] [CrossRef] [PubMed]
- Venturi, D.M.; Campana, F.; Marmottini, F.; Costantino, F.; Vaccaro, L. Extensive screening of green solvents for safe and sustainable UiO-66 synthesis. ACS Sustain. Chem. Eng. 2020, 8, 17154–17164. [Google Scholar] [CrossRef]
- U.S. Environmental Protection Agency. Available online: https://www.epa.gov/ (accessed on 25 April 2022).
- Cabezas, H.; Harten, P.F.; Green, M.R. Designing Greener Solvents. Chem. Eng. 2000, 107, 107–109. [Google Scholar]
- Harten, P.; Martin, T.; Gonzalez, M.; Young, D. The software tool to find greener solvent replacements, PARIS III. Environ. Prog. Sustain. Energy 2020, 39, e13331. [Google Scholar] [CrossRef] [PubMed]
- Li, M.; Harten, P.F.; Cabezas, H. Experiences in designing solvents for the environment. Ind. Eng. Chem. Res. 2002, 41, 5867–5877. [Google Scholar] [CrossRef]
- Harten, P.F. Program for Assisting the Replacement of Industrial Solvents (PARIS III). In Proceedings of the 18th Annual Green Chemistry & Engineering Conference, North Bethesda, MD, USA, 17–19 June 2014. [Google Scholar]
- Harten, P. Finding greener solvent mixtures to replace those used in manufacturing processes -Paris III. In Proceedings of the 3rd International Congress on Sustainability Science and Engineering, ICOSSE, Cincinnati, OH, USA, 11–15 August 2013; pp. 311–331. [Google Scholar]
- Kim, S.; Thiessen, P.A.; Bolton, E.E.; Chen, J.; Fu, G.; Gindulyte, A.; Han, L.; He, J.; He, S.; Shoemaker, B.A.; et al. PubChem substance and compound databases. Nucl. Acids Res. 2016, 44, D1202–D1213. [Google Scholar] [CrossRef] [PubMed]
- COSMOtherm. version 21.0.0. Dassault Systèmes; Biovia: San Diego, CA, USA, 2020.
- TURBOMOLE. version 7.5.1. TURBOMOLE GmbH: Frankfurt, Germany, 2020.
- Grimme, S.; Antony, J.; Ehrlich, S.; Krieg, H. A consistent and accurate ab initio parametrization of density functional dispersion correction (DFT-D) for the 94 elements H-Pu. J. Chem. Phys. 2010, 132, 154104. [Google Scholar] [CrossRef]
- Neau, S.H.; Flynn, G.L. Solid and Liquid Heat Capacities of n-Alkyl Para-aminobenzoates Near the Melting Point. Pharm. Res. An Off. J. Am. Assoc. Pharm. Sci. 1990, 7, 1157–1162. [Google Scholar]
- Svärd, M.; Hjorth, T.; Bohlin, M.; Rasmuson, Å.C. Calorimetric Properties and Solubility in Five Pure Organic Solvents of N-Methyl- d -Glucamine (Meglumine). J. Chem. Eng. Data 2016, 61, 1199–1204. [Google Scholar] [CrossRef]
- Neau, S.H.; Bhandarkar, S.V.; Hellmuth, E.W. Differential molar heat capacities to test ideal solubility estimations. Pharm. Res. 1997, 14, 601–605. [Google Scholar] [CrossRef]
- Svärd, M.; Ahuja, D.; Rasmuson, Å.C. Calorimetric Determination of Cocrystal Thermodynamic Stability: Sulfamethazine-Salicylic Acid Case Study. Cryst. Growth Des. 2020, 20, 4243–4251. [Google Scholar] [CrossRef]
- Acree, W.; Chickos, J.S. Phase Transition Enthalpy Measurements of Organic and Organometallic Compounds. Sublimation, Vaporization and Fusion Enthalpies From 1880 to 2015. Part 1. C1-C10. J. Phys. Chem. Ref. Data 2016, 45, 033101. [Google Scholar] [CrossRef]









| Neat Solvent | Benzamide | Salicylamide | Ethenzamide |
|---|---|---|---|
| water | [9] | [104] | |
| methanol | [9] | [104,105] | [103,106] |
| ethanol | [9] | [107] | [103,106] |
| 1-propanol | [9] | [107] | [106] |
| isopropanol | [9] | [107] | [103,108] |
| 1-butanol | [9] | [107] | [108] |
| 2-butanol | [107] | [108] | |
| isobutanol | [9] | [107] | [106] |
| 2-methyl-2-Propanol | [107] | ||
| 1-pentanol | [107] | [108] | |
| 3-methyl-1-butanol | [107] | ||
| 1-hexanol | [107] | ||
| 1-heptanol | [107] | ||
| 1-octanol | [107] | ||
| 2-ethyl-1-hexanol | [107] | ||
| 1-decanol | [107] | ||
| methyl acetate | [9] | [107] | [108] |
| ethyl acetate | [9] | [104,105] | [106] |
| ethyl formate | [108] | ||
| propyl acetate | [107] | [108] | |
| butyl acetate | [9] | [107] | [108] |
| acetonitrile | [9] | [104,105] | [103,106] |
| DMF | [108] | ||
| tetrahydrofuran | [107] | ||
| acetic acid | [104] | ||
| acetone | [9] | [105] | [108] |
| 1,4-dioxane | [107] | [108] | |
| 2-butanone | [108] | ||
| m-xylene | [109] | ||
| dibutyl ether | [107] |
| Solvent | X2 | HTPIng × 10 | HTPInh | TTP | ATP × 105 | GWP | ODP | PCOP | AR | EI | Rank |
|---|---|---|---|---|---|---|---|---|---|---|---|
| DMSO | 0.2 | 0.73 | 0.00 | 0.07 | 3.23 | 0.0 | 0.0 | 5.94 | 0.0 | 6.09 (0.15) | 12(2) |
| 0.4 | 0.99 | 0.00 | 0.10 | 4.61 | 0.0 | 0.0 | 8.49 | 0.0 | 8.69 (0.20) | 13(3) | |
| 0.6 | 1.14 | 0.00 | 0.11 | 5.38 | 0.0 | 0.0 | 9.90 | 0.0 | 10.10 (0.23) | 14(4) | |
| 0.8 | 1.24 | 0.00 | 0.12 | 5.87 | 0.0 | 0.0 | 10.80 | 0.0 | 11.00 (0.25) | 15(5) | |
| 1.0 | 1.30 | 0.00 | 0.13 | 6.20 | 0.0 | 0.0 | 11.40 | 0.0 | 11.70 (0.26) | 16(6) | |
| DMF | 0.2 | 3.45 | 0.41 | 0.35 | 10.10 | 0.0 | 0.0 | 0.00 | 0.0 | 1.10 (1.10) | 7(12) |
| 0.4 | 4.96 | 0.59 | 0.50 | 14.60 | 0.0 | 0.0 | 0.00 | 0.0 | 1.58 (1.58) | 8(13) | |
| 0.6 | 5.81 | 0.69 | 0.58 | 17.20 | 0.0 | 0.0 | 0.00 | 0.0 | 1.85 (1.85) | 9(14) | |
| 0.8 | 6.36 | 0.76 | 0.64 | 18.90 | 0.0 | 0.0 | 0.00 | 0.0 | 2.03 (2.03) | 10(15) | |
| 1.0 | 6.75 | 0.81 | 0.68 | 20.00 | 0.0 | 0.0 | 0.00 | 0.0 | 2.16 (2.16) | 11(16) | |
| 4FM | 0.2 | 1.60 | 0.00 | 0.16 | 61.40 | 0.0 | 0.0 | 0.00 | 0.0 | 0.32 (0.32) | 2(7) |
| 0.4 | 2.07 | 0.00 | 0.21 | 80.90 | 0.0 | 0.0 | 0.00 | 0.0 | 0.42 (0.41) | 3(8) | |
| 0.6 | 2.31 | 0.00 | 0.23 | 90.50 | 0.0 | 0.0 | 0.00 | 0.0 | 0.46 (0.46) | 4(9) | |
| 0.8 | 2.44 | 0.00 | 0.24 | 96.10 | 0.0 | 0.0 | 0.00 | 0.0 | 0.49 (0.49) | 5(10) | |
| 1.0 | 2.54 | 0.00 | 0.25 | 99.90 | 0.0 | 0.0 | 0.00 | 0.0 | 0.51 (0.51) | 6(11) |
Publisher’s Note: MDPI stays neutral with regard to jurisdictional claims in published maps and institutional affiliations. |
© 2022 by the authors. Licensee MDPI, Basel, Switzerland. This article is an open access article distributed under the terms and conditions of the Creative Commons Attribution (CC BY) license (https://creativecommons.org/licenses/by/4.0/).
Share and Cite
Przybyłek, M.; Miernicka, A.; Nowak, M.; Cysewski, P. New Screening Protocol for Effective Green Solvents Selection of Benzamide, Salicylamide and Ethenzamide. Molecules 2022, 27, 3323. https://doi.org/10.3390/molecules27103323
Przybyłek M, Miernicka A, Nowak M, Cysewski P. New Screening Protocol for Effective Green Solvents Selection of Benzamide, Salicylamide and Ethenzamide. Molecules. 2022; 27(10):3323. https://doi.org/10.3390/molecules27103323
Chicago/Turabian StylePrzybyłek, Maciej, Anna Miernicka, Mateusz Nowak, and Piotr Cysewski. 2022. "New Screening Protocol for Effective Green Solvents Selection of Benzamide, Salicylamide and Ethenzamide" Molecules 27, no. 10: 3323. https://doi.org/10.3390/molecules27103323
APA StylePrzybyłek, M., Miernicka, A., Nowak, M., & Cysewski, P. (2022). New Screening Protocol for Effective Green Solvents Selection of Benzamide, Salicylamide and Ethenzamide. Molecules, 27(10), 3323. https://doi.org/10.3390/molecules27103323

